Abstract
This work investigates the spatiotemporal variation of suspended particles with aerodynamic diameter less than or equal to 10 μm (PM10) during a nineteen years period. Mean daily PM10 concentrations between 2001 and 2018, from five monitoring stations within the greater Athens area (GAA) are used. The aim is to investigate the impact of the economic crisis and the actions taken by the Greek state over the past decade on the distribution of PM10 within the GAA. Seasonality, intraweek, intraday and spatial variations of the PM10 concentrations as well as trends of data, are statistically studied. The work may assist the formation of PM10 forecasting models of hourly, daily, weekly, monthly and annual horizon. Innovations are alternative ways of statistical treatment and the extended period of data, which, importantly, includes major economic and social events for the GAA. Significant decreasing trend in PM10 series concentrations at all examined stations were found. This may be due to economic and social reasons but also due to measures taken by the state so as to be harmonised with the European Directives concerning the protection of public health and the atmospheric environment of the European Union (EU) members.
1. Introduction
Over recent decades, many scientists all over the world have investigated the health impact due to PM10 Lee et al. (2020) [1] studied the adverse health effects of particulate matter (PM) in the mortality of patients diagnosed with asthma in Seoul, Korea. They have found that average PM10 exposures are associated with non-accidental mortality in patients with chronic obstructive pulmonary disease (COPD) and especially those diagnosed with asthma-chronic obstructive (ACO). In addition, the adverse effects of PM10 exposure are reported to be more severe in women and never-smokers. Hwang et al. (2020) [2] studied the impact of air pollution on breast cancer incidence and mortality in South Korea. According to their results, no significant association is found between air pollutant exposure and breast cancer mortality rate except the exposure that is due to PM10 pollutants. Zanobetti and Schwartz (2009) [3] applied a city- and season-specific Poisson regression in 112 U.S.A cities in order to examine the association of the mean PM2.5 and PM coarse exposure with daily deaths. They also combined the city-specific estimates using a total approach of random effects by season and region. According to their results, there is an increased risk of mortality for all causes associated with the exposure to PM2.5, the corresponding risks are higher than those previously observed for PM10 exposure and the coarse particles are also associated with more deaths. Pope et al. (1992) [4], studied the daily mortality in relation to the PM10 pollution in Utah Valley (U.S.A) between April 1985 and December 1989. It was found that a local steel mill was a major source of particulate air pollution in the area, in which concentrations of ozone, sulphur dioxide and nitrogen dioxide are generally low. The total respiratory and cardiovascular mortality were found to be related to the 5-day moving average PM10 concentration. The 24-hour average concentrations ranged up to 365 μg/m3, with 5-day moving average concentrations of up to 297 μg/m3 in the observation period [4,5]. Finally, epidemiological studies have traditionally played an important role in deriving guideline values for airborne suspended particulate matter [6].
Due to the major concern on the adverse health effects of PM10 exposure, many researchers have studied the variations of PM10 time series concentrations in cities all over the world. For Athens, the Capital of Greece, a large number of papers have been published, which depict that PM10 pollutants are among the most problematic ones for its inhabitants [6,7,8,9,10,11,12]. The recordings of PM10 concentrations started in 2001 in the GAA. The measurements are performed by the Department of Environmental Protection of the Hellenic Ministry of Environment and Energy with a sampling frequency of 1 min−1. The present study employs a sub-series of the whole data-set; specifically, the average daily concentrations between 2001 and 2018 from five different PM10 monitoring stations installed within the GAA. This sub-series is considered more suitable for a long-term analysis because it averages the intra-day variations and minimises, consequently, the overall bias to the estimations. The methodological approach is multi-level. Descriptive statistics are employed to outline the general behaviour of the series. Mean monthly PM10 concentrations are utilised for each one of the five monitoring stations to find the seasonality of PM10 time-series. Furthermore, the annual trend of PM10 concentrations is investigated in order to be related with some measures that have been taken by the state during the examined time period, as well as with the Greek economic crisis. Then, the correlation between the mean annual PM10 concentrations with the annual number of exceedances (days with mean daily concentration above the European threshold of 50 μg/m3) is studied. Finally, the intraday variation of PM10 concentrations at the five examined locations is extracted to investigate the sources influence on the formation of hourly concentrations. The different approaches are analysed and discussed.
2. Materials and Methods
2.1. Experimental Aspects
The urban complex of Athens and Piraeus (the port of Athens city) is a large urban area in the Attica peninsula which includes Athens city, Piraeus city and their suburbs. It extends mainly to the Attica basin and within the administrative boundaries of five Regional Units of the Attica Region: Central Sector of Athens, Southern Sector of Athens, Northern Sector of Athens, Western Sector of Athens and Piraeus. In a similar meaning, the term greater Athens area (GAA) is often used. The GAA has a population of about 2.6 million inhabitants, which corresponds to 69% of the total population of the Attica Region (National Census 2011). The GAA basin is surrounded by high mountains. More specifically, at the west side of GAA the mountain Egaleo (468 m a.s.l.) is located. At the north north-west side of GAA there is Parnitha mountain (1,413 m a.s.l.), at the north north-east side the Penteli mountain (1,109 m a.s.l.) and at the east side Ymittos mountain (1,026 m a.s.l.). The only opening of the GAA is located at the south region, the seaside of Saronic Gulf which is a part of Aegean Sea. The climate of the GAA is temperate and is characterised as a typical Mediterranean climate. In general, and according to the Hellenic National Meteorological Service (HNMS) [13], sunny days are very common, even in winter covering about 65.0% of the days of the year. Rains occur mainly from October to April but overall, the annual rainfall is very low and does not exceed 400–450 mm. The minimum monthly temperature (mean of daily minimum by month) is about 7.0 °C (January and February) and the maximum monthly temperature (mean of daily maximum by month) is about 32.0 °C (July and August) [13]. Finally, the prevailing winds are southerly (winds that blow from south to north) [13]. Taking into account the topography of the west, north and east high mountains (Figure 1), a major air pollution problem occurs due to the bad air circulation and the dispersion of the air pollutants in GAA.
Figure 1.
The map of the GAA and the location of the five air pollution monitoring stations.
The bulk of the industry (over 95%) is located in the west and southwestern extremities of the industrial areas of the GAA (Figure 1). More specifically, the industrial area is outside the urban area (yellow line in Figure 1) and is located on the west-southwest direction. The remaining 5% of the industry corresponds to a large number of small industries and handicrafts, which are scattered throughout the city. This creates particular difficulties, both in the research of air pollution problems and their control.
As aforementioned, this work utilises the mean daily PM10 concentrations between 2001 and 2018 from five air pollution monitoring stations (Figure 1) located in the GAA. These stations are a part of the air pollution monitoring network which operates under the Hellenic Ministry of Environment and Energy (HMEE). The measuring technology of PM10 pollutants is performed via the absorption of β-radiation [14]. The calibration of PM10 analysers is done through the absorption of β-radiation emitted by a standard sample of pre-determined concentration. Figure 1 depicts the map of the GAA and the location of the five air pollution monitoring stations. Table 1 shows the characteristics of the five examined air pollution monitoring stations.
Table 1.
The characteristics of the examined air pollution monitoring stations within the GAA. Abbr. stands for abbreviation and Alt. for altitude a.s.I.
2.2. Statistical Analysis
Initially descriptive statistical analysis is applied to the mean daily PM10 concentrations calculated from the full data set recorded by all examined air pollution monitoring station. Then, the mean monthly PM10 concentrations of each one of the five monitoring stations are extracted to investigate if seasonality trends exist in the PM10 concentration series. Thereafter, the intra-week variation of each one of the PM10 concentration series is calculated. After, the annual variation as well as the annual trend of PM10 concentrations for the five examined locations is extracted and investigated. Furthermore, the annual variation of the PM10 50 μg/m3-threshold concentration exceedances (days with mean daily PM10 concentration greater than or equal to 50 μg/m3) is extracted and studied, in agreement with the European Council directive on ambient air quality and cleaner air for Europe [15]. Finally, the relation between the annual number of PM10 daily exceedances versus the mean PM10 annual concentration for each one of the five locations is calculated and investigated.
Table 1 presents the characteristics of the examined air pollution monitoring stations within the GAA.
3. Results
Figure 2 presents the mean monthly PM10 concentrations and the standard deviation of the mean monthly PM10 concentrations through the examined time period 2001–2018 for the five locations within the GAA. As can be observed from Figure 2, the AGP and THR stations present two different types of seasonality. The first type refers to the high concentrations which appear during the warm periods of the year (May-September), while the second type, to the low concentrations during the cold periods of the year (October-April). Both stations are characterised as Suburban-Background (SB) sites which means that they are affected indirectly from the sources of pollutants. Note that the pollution level of SB stations is not influenced, significantly, by any single source or street, but rather, by the integrated contribution from all sources around these, e.g., by all traffic and nearby combustion sources in a city. The other three examined air pollution stations, namely ARI, MAR and LYK, exhibit a totally different kind of seasonality. It is important that both ARI and MAR stations are referred by the HMEE as Urban-Traffic (UT) stations. These types of stations (UT) are characterised by a continuously built-up urban area with medium and high buildings, such that their pollution level is determined, predominantly, by the emissions from the nearby traffic (roads, motorways, highways). In contrast, although the LYK station is mentioned by the Hellenic authorities (HMEE) as an SB station, according to Figure 2a, the station behaves, more or less, as a UT station. Due to this, according to the opinion of the authors, the LYK station should be characterised as a UT station. This claim is reinforced by the station's position within the GAA (Figure 1). Further arguments will be presented later in text. In addition, the LYK station is located within an urban environment 500 ~ 600 meters from two main boulevards and about 1.5 km from the highway connecting the central and northern Greece.
Figure 2.
Mean (a) and Standard Deviation (b) of PM10 monthly concentrations. GAA, period 2001–2018.
Concerning the standard deviation of the mean monthly PM10 concentrations (Figure 2b) it can be observed that during summer months is lower than the winter months. This is maybe due to the fact that during summer months, the PM10 sources present a more “stable” behaviour than the winter months where the weather conditions determine oil consumption for heating purposes, thus increasing or decreasing particulate emissions. Moreover, during summer the meteorological conditions are stable, presenting a very similar synoptic pattern with no abrupt changes from day to day. In addition, on cold nights with clear skies during the winter, there is often very strong thermal stability that captures air pollutants near the ground and results in very high concentrations. January and February are the coldest months of the year for the GAA. February, for example, often presents great temperature differences and weather changes from day to day leading, according to the opinion of the authors, to great daily differences of oil and wood consumption for heating purpose and, as a result, to daily differences of PM10 emissions. The reader should note that a further statistical investigation of potential associations between PM10 concentrations and meteorological parameters such as wind speed, rain, etc. would provide additional evidence but this is out of the scope of the specific paper and is left as a future work. Finally, the high standard deviation during spring months (March, April and May) could be due to the Saharan dust event which mainly occurs in Athens during spring period [16,17,18]. According to Dimitriou et al. (2019) [18], the maximum probability of dust events, during the period 2018–2018, was detected in spring, when the dust transport pathways were also vertically extended. Dust intrusions from the Sahara Desert, mainly from areas in Egypt and Libya, were associated with daily PM10 episodes (PM10 > 50 μg/m3) during all seasons, mainly through back trajectories within the layer up to 1000 m above ground level. Nevertheless, during spring the frequency of occurrence of the dust episodes was the highest and the dust pathways were vertically extended in comparison with the other seasons. The daily PM10 episodes in winter were mainly connected to northern air masses approaching from the Balkan Peninsula and North Greece [18]. The phenomenon is not observed so often in summer because in Greece, strong north winds, known as the “Etesians” or “Meltemia”, prevail [19,20].
The intra-week variation of PM10 concentrations is presented in Figure 3. As can be observed, there is no significant change of PM10 concentrations from day to day during the week. The PM10 levels seem to be constant with not any substantial variation at the working days of the week as well as during the weekend. However, in urban traffic monitoring stations (ARI, LYK and MAR), a slight decrease of PM10 mean daily concentration occurs during Sunday. However, this reduction is very small and is possibly due to changes in traffic volumes between working and not working days, such as Sunday. Finally, it is obvious that at the two SB monitoring stations (AGP and THR) the daily PM10 levels are about 40.0% lower than the levels at the three other stations (ARI, MAR and LYK). This provides further evidence that LYK station presents similar behaviour with UT stations and not with SB stations. Concerning the standard deviation of the intra-week mean daily PM10 concentrations (Figure 3b), it can be observed that there are non-significant differences between each day of a week and each station between the five examined ones. The slightly greater concentration values during Sunday, could be due to the fact that on Sundays the traffic is lower and, hence, the “momentum” of the concentrations of the previous days and the PM10 transportation from neighbouring areas could be significant.
Figure 3.
Intra-week PM10 variation. Mean (a) and standard deviation (b) of intra-week PM10 concentrations. GAA, Period 2001–2018.
Table 2 presents the correlation coefficient between the mean daily PM10 concentrations at the five monitoring during the examined period 2001–2018 (N = 2999 available days with no gaps for all of the five monitoring sites).
Table 2.
Correlation analysis among the five examined monitoring stations. Period 2001–2018.
According to Table 2, there is a very strong linear correlation among the mean daily PM10 concentrations of the five examined stations.
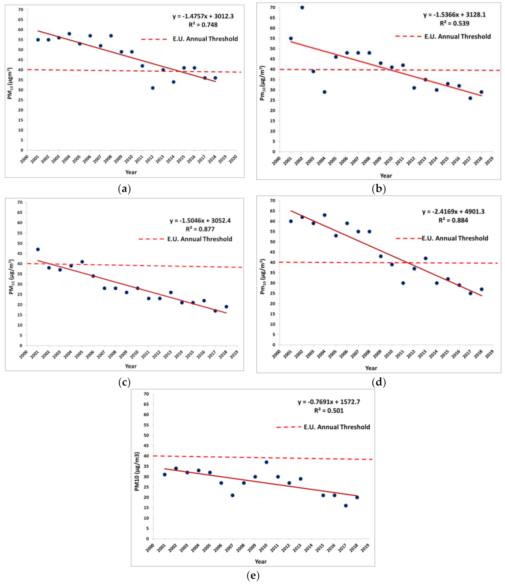
In order to investigate further the decreasing tendency of the data series, Figure 4 presents the annual trends of the examined PM10 concentration series during the last two decades. To produce Figure 4, the mean annual PM10 concentration was calculated for each one of the five examined monitoring stations within the GAA during the period 2001–2018. The reader should note that according to the EU directive 2008/50/EC for the protection of public health, clean air and environment, the mean annual PM10 concentrations have to be lower than 40 μg/m3 [15]. This threshold is depicted as a dashed line in Figure 4. As can be observed from Figure 4, the ARI, AGP and LYK stations present a noteworthy decreasing annual linear trend with R2 ranging between 0.75 and 0.88. The other two stations, namely MAR and THR, show a decreasing annual linear trend, as well, however, with R2 around 0.5. More specifically, the ARI, MAR and LYK stations exhibit decreasing annual linear trend with slopes between −1.4 μg/m3 per year and −2.4 μg/m3 per year. For the SB stations AGP and THR the annual decreasing trend is −1.5 μg/m3 per year and −0.77 μg/m3 per year, respectively. Finally, according to Figure 4, big differences in trends among the five examined monitoring stations are observed. This could be due to the fact that the monitoring stations that are impacted more by traffic and local emissions, exhibit more pronounced annual fluctuations, especially, during the years of the economic crisis of Greece. In general terms, the decreasing annual trends that are observed in the mean annual PM10 concentrations, can be splinted in two different periods.
Figure 4.
Annual variation of PM10 concentrations. GAA, Period 2001–2018. Stations: (a) ARI; (b) MAR; (c) AGP; (d) LYK; (e) THR.
Period 1 (2001–2009), during which a number of different measures have been taken by the Greek State that are considered to have influenced significantly the PM10 concentration distribution. More specifically:
- Two new lines of the underground train (metro lines) which started to operate in 2000 and, thereafter, serve daily about 1.0 ~ 1.5 million passengers. This means that on a daily basis, at least hundreds of thousands of cars move a few million kilometres less and, hence, a few million tons of CO2 less are emitted to the atmosphere of the capital.
- In 2001, the new international airport “Eleftherios Venizelos”, located away from the urban fabric on the east side of the GAA, started to operate in substitution of the old international airport, located within the GAA, on its south coast (now completely ruined). Furthermore, the new airport is connected with the city centre the majority of GAA’s suburban areas the new underground train and the new, highly used, GAA’s urban-suburban connecting highway called “Attiki Odos”. Prior to the above, transportation to and from the old airport, could be only via a private car, a taxi or a public bus that, all, crossed the city from one side to the other, in most times, through the city’s centre.
- In 2001, “Attiki Odos”, which is the main regional ring of the GAA and the backbone of the Attica basin road network (length about 70 km), provides fewer traffic jams, higher speeds and, hence, lower emissions.
- Around 2002~2003, new bus lanes were established on the right side of the roads, where the public buses move exclusively at higher speeds and, as a result, have lower emissions. For example, it was observed that the speed of the public buses inside the new lanes was increased from 5~10 km/h to 23 km/h, improving, hence, the quality of the transport by bus, making it more attractive to the public [21]. Furthermore, with an increase that has been observed [21] in the use of the new-lane moving buses by the GAA’s inhabitants [21], the use of private vehicles was reduced, and, as a result, fuel consumption and pollutant emissions.
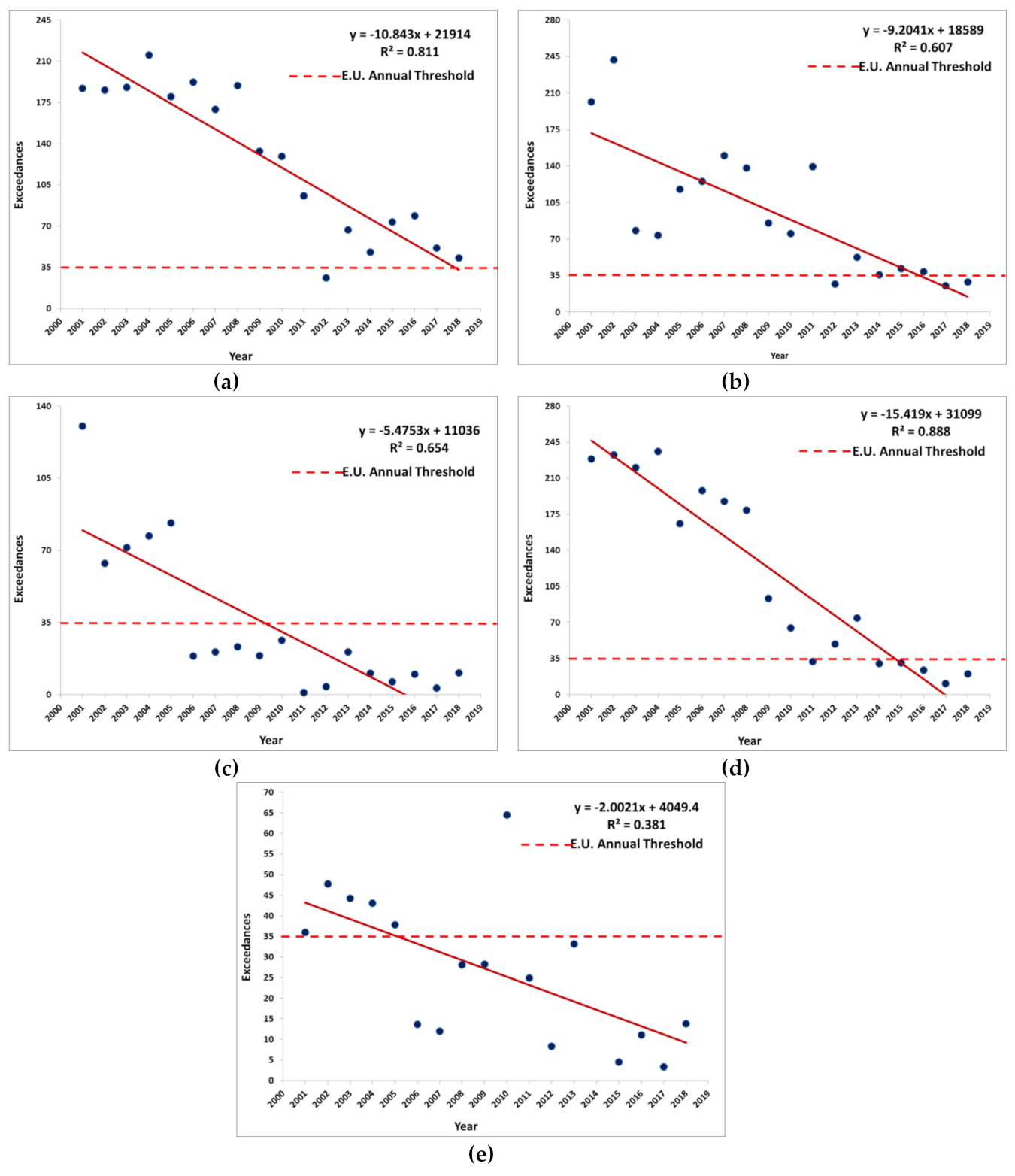
Period 2 (2010–2018), during which the use of private vehicles and the fuel consumption for heating were reduced by significant levels, possibly due to the Greek economic crisis [22]. In this way, the annual decreasing trend of PM10 concentrations was continued at a steady rate. Moreover, concerning the annual threshold proposed in the EU Directive 2008/50/EC [15], it seems that, in all monitoring stations, the mean annual PM10 concentration is less than 40 μg/m3. Especially, for the cases of the two SB monitoring stations (AGP and THR), it can be observed that, in most of the years of the examined period 2001–2018, the mean annual PM10 concentrations are lower than the EU annual threshold of 40 μg/m3. This fact can be considered as additional evidence of the view that LYK station is a UT station, rather than an SB one. Apart from the annual threshold of PM10 concentration another threshold was established by the EU through the Directive 2008/50/EC [15]. More specifically, the mean daily PM10 concentrations have to be less than 50 μg/m3. So, if the mean daily concentration exceeds this threshold, this day is considered as an exceedance day. Finally, the maximum number of exceedances during the year has to be lower than 35 days. By this concept, the annual number of exceedances during the period 2001–2018 for each one of the five examined monitoring stations was calculated. Figure 5 depicts the annual variation of PM10 exceedances for the five stations within the GAA during the period 2001–2018. The least squares method was applied, and the annual trend of the exceedances was estimated. According to Figure 5, there is a significant decreasing trend, in all cases. More specifically, for the five monitoring stations, it seems that every year, there is a reduction in exceedances, from 2 up to 15 exceedance days per year. The coefficient of determination is 0.381 ≤ R2 ≤ 0.888 which means that the decreasing trend of the exceedances can explain from 38.1% up to 88.8% of the data variance.
Figure 5.
Annual variation of PM10 threshold concentration exceedances. GAA, Period 2001–2018. Stations: (a) ARI; (b) MAR; (c) AGP; (d) LYK; (e) THR.
It should be noted also that the two SB monitoring stations AGP and THR, exhibit lower decreasing annual linear trend in the concentration exceedances compared to the ones of the other stations. The corresponding decreasing trend ranges between 2 (case of THR) and 5.5 (case of AGP) exceedance days per year. Regarding the threshold of 35 annual exceedances (days with PM10 mean daily concentration greater than 50 μg/m3), it can be observed that in the case of ARI, MAR and LYK monitoring sites there are no violations during the last 3 ~ 4 years of the examined period 2001–2018. On the other hand, for the two stations of AGP and THR there are no violations of the threshold of the 35 exceedances per year from 2006 and more specifically after the Greek economic crisis. This provides further evidence that the LYK monitoring station has to be characterised as a UT station and not as an SB one.
As can be observed from Figure 6, from 59.6% up to 95.5% of the data variance can be explained indicating, thus, a very strong correlation in each case. Furthermore, the three monitoring stations of ARI, MAR and LYK, during most of the years, do not meet the corresponding requirements and limits of the EU directive. On the contrary, this is not observed in the other two SB stations, namely AGP and THR, for which, during most of the years, the requirements and limits of the EU directive are met. The common tendencies of the ARI, MAR and LYK stations versus the AGP and THR ones can be interpreted as additional evidence that the LYK monitoring station has to be characterised as a UT station instead of an SB station. In association to the above, Figure 7 depicts the annual variation of gasoline, vehicle diesel and heating oil total consumption in Greece [22]. It can be observed that during the years of the Greek economic crisis, there is a significant decreasing trend. Despite the fact that Figure 7 concerns the total Greek population, it can be assumed that the decreasing trend within GAA is similar, because almost half of the population of Greece lives and works in the GAA. Interpreting the limits of Figure 6 (horizontal orange dashed lines) in view of the data of Figure 7, it can be supported in the years after 2010 where the EU thresholds are met (Greek economic crisis), gasoline, vehicle diesel and heating oil consumption was significantly reduced (Figure 7) [22].
Figure 6.
Annual number of PM10 daily exceedances versus mean PM10 annual concentration. GAA, Period 2001–2018. Stations: (a) ARI; (b) MAR; (c) AGP; (d) LYK; (e) THR.
Figure 7.
Gasoline, vehicle diesel and heating oil consumption. Greece, 2001–2018. Hellenic Statistical Authority [21].
Figure 8 shows the intraday variation of PM10 concentrations. As it can be observed, ARI, MAR and LYK monitoring stations within the GAA exhibit similar intraday variation shape. Between 08:00am and 10:00am there is a maximum and a second one late in the night hours. According to the opinion of the authors, the first maximum is due to the traffic and transportation in general where all the people move to their jobs. The second intraday maximum of PM10 concentration is, most probably, due to heating when the residents are in their home and apartments. This intraday variation shape of the LYK monitoring station provide addition evidence that this station has be characterised as a UT station and not an SB station. For the other two stations (AGP and THR) the intraday variation is different. This may be due to the characterisation of these two stations as SB monitoring sites (see Table 1) where there is a strong influence from neighbouring areas and, due to this, there is a delay in the appearance of a maximum during the day.

Figure 8.
Intraday variation of PM10 concentrations. GAA, Period 2001–2010. Stations: (a) ARI; (b) MAR; (c) AGP; (d) LYK; (e) THR.
4. Conclusions
The aim of the specific work was the statistical analysis and the spatiotemporal evaluation of a 19-year data series of mean daily PM10 concentrations within the GAA. For this purpose, mean daily PM10 concentrations were used. These concentrations have been recorded by the HMEE and concern five different monitoring station-sites within the GAA, covering the period 2001–2018. The innovation of this work consists of the fact that this is the first attempt for such an investigation for the time period 2001–2018 within the GAA. This study was conducted to investigate the trend of PM10 time series concentrations in the last twenty years in the GAA and the possible reasons and causes for this trend. The key implications of the study can be summarised in the appearance of seasonality, in the existence of a clear decreasing annual trend, as well as in a strong correlation between the mean annual PM10 concentrations and the exceedances, i.e., the days where the daily threshold concentration of 50 μg/m3 according to the EU directive is violated. Furthermore, an important element was the intraday variation where traffic seems to play an important role to the formation of PM10 hourly concentrations.
According to the results, there are two different kinds of seasonality of PM10 concentrations. At the urban-traffic (UT) monitoring sites was found seasonality with high values during the cold period of the year and lower values during the hot period of the year. A totally different seasonality was found at the suburban (SB) monitoring sites with high concentrations during the hot period of the year and lower values during the cold period of the year. There was not observed any significant variation and difference between the working and no-working days of the week. Concerning the mean annual PM10 concentration trend, a substantial reduction was found. This encourages the view that some specific measures that have been taken by the state as well as the Greek economy crisis of the last decade influenced the mean annual PM10 concentrations, creating a significant reduction. Taking into account the number of annual exceedances of the daily PM10 threshold according to the EU, it was found that there was also a substantial decreasing trend which was further strengthened due to the Greek economic crisis. Furthermore, a very strong correlation between the annual number of exceedances with the mean annual PM10 concentrations was found. This finding leads to the conclusion that within the GAA, for every 1 μg/m3 decreasing or increasing of the mean annual PM10 concentration, there is a corresponding decrease or increase of the annual number of exceedances from about 2 days to 5 days.
Finally, further investigation is required which has to be combined with the results of the specific work in order for the health adverse effects of PM10 concentrations within the GAA to be studied.
Author Contributions
Conceptualization, K.P.M., D.N., E.P.; Data curation, K.P.M., D.N.; Formal analysis, K.P.M., D.N., E.P.; Investigation, K.P.M., D.N., E.P., K.N., G.P.; Resources, E.P., K.N., G.P.; Software, D.N.; Supervision, K.P.M., D.N.; Visualization, D.N.; Writing—original draft, K.P.M., D.N., E.P.; Writing—review & editing, D.N., E.P., K.N., G.P. All authors have read and agreed to the published version of the manuscript.
Funding
This research received no external funding.
Conflicts of Interest
The authors declare no conflict of interest.
References
- Lee, Y.M.; Lee, J.H.; Kim, H.-C.; Ha, E.-H. Effects of PM10 on mortality in pure COPD and asthma-COPD overlap: Difference in exposure duration, gender, and smoking status. Sci. Rep. 2020, 10, 1–10. [Google Scholar] [CrossRef] [PubMed]
- Hwang, J.; Bae, H.-J.; Choi, S.; Yi, H.; Ko, B.; Kim, N. Impact of air pollution on breast cancer incidence and mortality: A nationwide analysis in South Korea. Sci. Rep. 2020, 10, 1–7. [Google Scholar] [CrossRef] [PubMed]
- Zanobetti, A.; Schwartz, J. The Effect of Fine and Coarse Particulate Air Pollution on Mortality: A National Analysis. Environ. Health Perspect. 2009, 117, 898–903. [Google Scholar] [CrossRef] [PubMed]
- Pope, C.A.; Schwartz, J.; Ransom, M.R. Daily Mortality and PM 10 Pollution in Utah Valley. Arch. Environ. Heal. Int. J. 1992, 47, 211–217. [Google Scholar] [CrossRef] [PubMed]
- WHO. Regional Office for Europe, Copenhagen, Denmark. Air Quality Guidelines-Second Edition. Chapter 7.3, Particulate Matter. 2000, pp. 1–40. Available online: http://www.euro.who.int/en/health-topics/environment-and-health/air-quality/publications/pre2009/who-air-quality-guidelines-for-europe,-2nd-edition,-2000-cd-rom-version (accessed on 15 April 2020).
- Raptis, P.I.; Kazadzis, S.; Amiridis, V.; Gkikas, A.; Gerasopoulos, E.; Mihalopoulos, N. A Decade of Aerosol Optical Properties Measurements over Athens, Greece. Atmosphere 2020, 11, 154. [Google Scholar] [CrossRef]
- Matthaios, V.N.; Triantafyllou, A.G.; Koutrakis, P. PM10episodes in Greece: Local sources versus long-range transport—observations and model simulations. J. Air Waste Manag. Assoc. 2016, 67, 105–126. [Google Scholar] [CrossRef] [PubMed]
- Diapouli, E.; Manousakas, M.I.; Vratolis, S.; Vasilatou, V.; Maggos, T.; Saraga, D.; Grigoratos, T.; Argyropoulos, G.; Voutsa, D.; Samara, C.; et al. Evolution of air pollution source contributions over one decade, derived by PM10 and PM2.5 source apportionment in two metropolitan urban areas in Greece. Atmos. Environ. 2017, 164, 416–430. [Google Scholar] [CrossRef]
- Gryparis, A.; Dimakopoulou, K.; Pedeli, X.; Katsouyanni, K. Spatio-temporal semiparametric models for NO2 and PM10 concentration levels in Athens, Greece. Sci. Total. Environ. 2014, 479, 21–30. [Google Scholar] [CrossRef] [PubMed]
- Aleksandropoulou, V.; Lazaridis, M. Identification of the Influence of African Dust on PM10 Concentrations at the Athens Air Quality Monitoring Network during the Period 2001–2010. Aerosol Air Qual. Res. 2013, 13, 1492–1503. [Google Scholar] [CrossRef]
- Theodosi, C.; Grivas, G.; Zarmpas, P.; Chaloulakou, A.; Mihalopoulos, N. Mass and chemical composition of size-segregated aerosols (PM1, PM2.5, PM10) over Athens, Greece: Local versus regional sources. Atmos. Chem. Phys. Discuss. 2011, 11, 11895–11911. [Google Scholar] [CrossRef]
- Larissi, I.K.; Koukouletsos, K.V.; Moustris, K.P.; Antoniou, A.; Paliatsos, A.G. PM10 concentration levels in the greater Athens area, Greece. Fresen. Environ. Bull. 2010, 19, 226–231. [Google Scholar]
- Climatic Data for Selected Stations in Greece Hellenic National Meteorological Service (HNMS). Available online: http://www.hnms.gr/emy/en/climatology/climatology_city?perifereia=Attiki&poli=Athens_Hellinikon (accessed on 15 April 2020).
- Amaral, S.S.; Carvalho, J.; Costa, M.A.M.; Pinheiro, C. An Overview of Particulate Matter Measurement Instruments. Atmosphere 2015, 6, 1327–1345. [Google Scholar] [CrossRef]
- Directive 2008/50/EC of the European Parliament and of the Council of 21 May 2008 on Ambient Air Quality and Cleaner Air for Europe. Official Journal of the European Union, 11 June 2008, L152/1-44. Available online: https://eur-lex.europa.eu/legal-content/en/ALL/?uri=CELEX%3A32008L0050 (accessed on 2 April 2020).
- Achilleos, S.; Mouzourides, P.; Kalivitis, N.; Katra, I.; Kloog, I.; Kouis, P.; Middleton, N.; Mihalopoulos, N.; Neophytou, M.; Panayiotou, A.; et al. Spatio-temporal variability of desert dust storms in Eastern Mediterranean (Crete, Cyprus, Israel) between 2006 and 2017 using a uniform methodology. Sci. Total. Environ. 2020, 714, 136693. [Google Scholar] [CrossRef] [PubMed]
- Dimitriou, K.; Kassomenos, P. Estimation of North African dust contribution on PM10 episodes at four continental Greek cities. Ecol. Indic. 2019, 106, 105530. [Google Scholar] [CrossRef]
- Dimitriou, K.; Grivas, G.; Liakakou, E.; Gerasopoulos, E.; Mihalopoulos, N. Assessing the contribution of regional sources to urban air pollution by applying 3D-PSCF modeling. Atmos. Res. 2020, 248, 105187. [Google Scholar] [CrossRef]
- Katopodis, T.; Vlachogiannis, D.; Politi, N.; Gounaris, N.; Karozis, S.; Sfetsos, A. Assessment of climate change impacts on wind resource characteristics and wind energy potential in Greece. J. Renew. Sustain. Energy 2019, 11, 066502. [Google Scholar] [CrossRef]
- Dafka, S.; Toreti, A.; Luterbacher, J.; Zanis, P.; Tyrlis, E.; Xoplaki, E. Simulating Extreme Etesians over the Aegean and Implications for Wind Energy Production in Southeastern Europe. J. Appl. Meteorol. Clim. 2018, 57, 1123–1134. [Google Scholar] [CrossRef]
- Athens Public Transport Organization (O.A.S.A. S.A.). Available online: https://www.oasa.gr/content.php?id=leofstripes&lang=en (accessed on 17 April 2020).
- Hellenic Statistical Authority. Available online: https://www.statistics.gr/en/statistics/-/publication/SDE15/ (accessed on 17 April 2020).
© 2020 by the authors. Licensee MDPI, Basel, Switzerland. This article is an open access article distributed under the terms and conditions of the Creative Commons Attribution (CC BY) license (http://creativecommons.org/licenses/by/4.0/).