Effect of Temperature and Organic Load on the Performance of Anaerobic Bioreactors Treating Grasses
Abstract
1. Introduction
2. Materials and Methods
2.1. Inoculum and Substrates
2.2. Batch Tests
2.3. Analytical Methods
2.4. Kinetics Models
2.5. Statistical Analysis
3. Results and Discussion
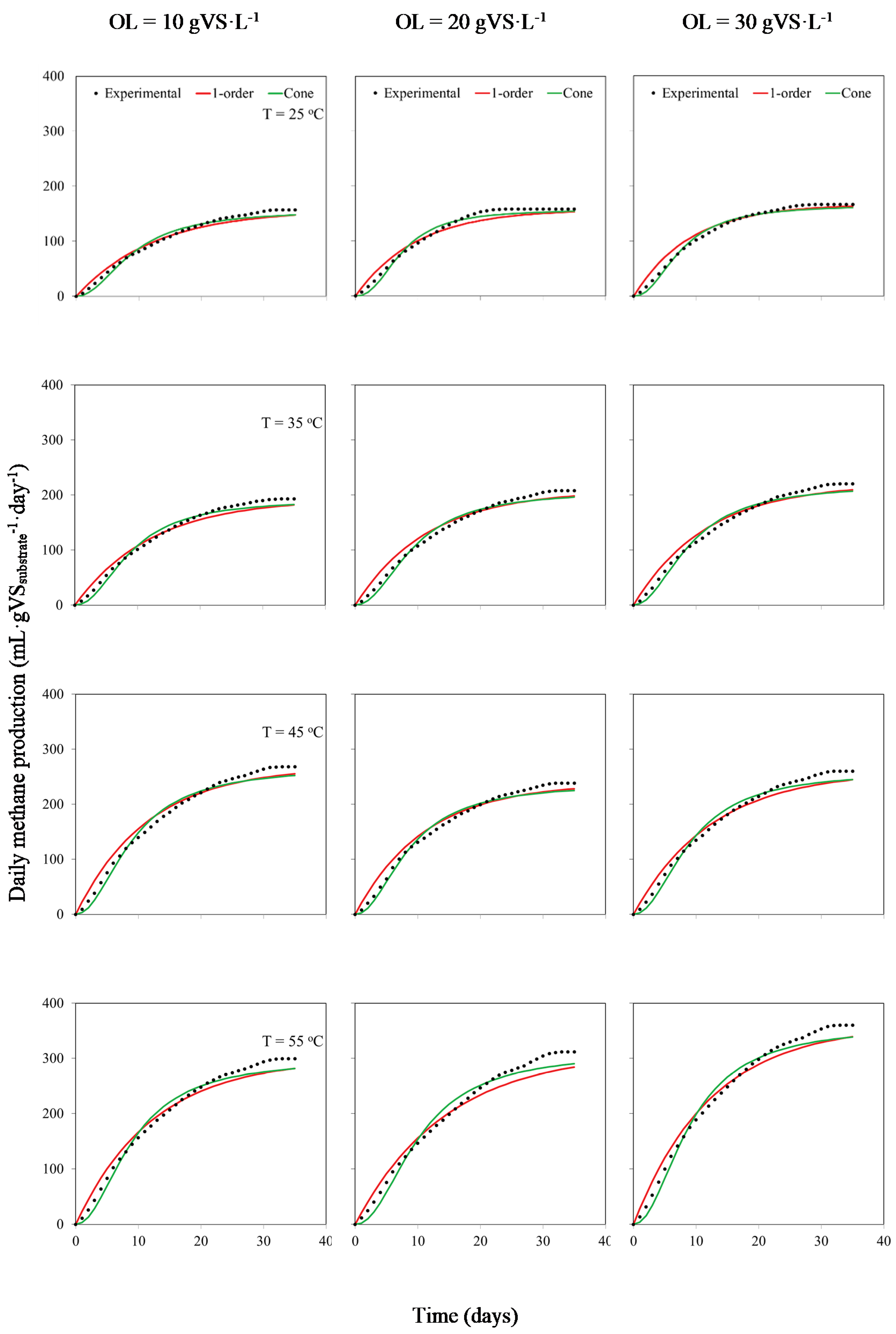
3.1. Daily Methane Production
3.2. Cumulative Methane Production
3.3. pH, Alkalinity and Volatile Solids Removal
3.4. Kinetics Results
4. Conclusions
Author Contributions
Funding
Conflicts of Interest
References
- Bezama, A.; Agamuthu, P. Addressing the big issues in waste management. Waste Manag. Res. 2019, 37, 1–3. [Google Scholar] [CrossRef]
- Demichelis, F.; Piovano, F.; Fiore, S. Biowaste management in Italy: Challenges and perspectives. Sustainability 2019, 11, 4213. [Google Scholar] [CrossRef]
- Deletic, A.; Wang, H. Water pollution control for sustainable development. Engineering 2019, 5, 839–840. [Google Scholar] [CrossRef]
- Valenti, F.; Porto, S.M.C. Net electricity and heat generated by reusing Mediterranean agro-industrial by-products. Energies 2019, 12, 470. [Google Scholar] [CrossRef]
- Achinas, S.; Horjus, J.; Achinas, V.; Euverink, G.J.W. A PESTLE analysis of biofuels energy industry in Europe. Sustainability 2019, 11, 5981. [Google Scholar] [CrossRef]
- Zambon, I.; Colantoni, A.; Cecchini, M.; Mosconi, E.M. Rethinking sustainability within the viticulture realities integrating economy, landscape and energy. Sustainability 2018, 10, 320. [Google Scholar] [CrossRef]
- Provolo, G.; Mattachini, G.; Finzi, A.; Cattaneo, M.; Guido, V.; Riva, E. Global warming and acidification potential assessment of a collective manure management system for bioenergy production and nitrogen removal in northern Italy. Sustainability 2018, 10, 3653. [Google Scholar] [CrossRef]
- Ghanimeh, S.; Khalil, A.C.; Ibrahim, E. Anaerobic digestion of food waste with aerobic post-treatment: Effect of fruit and vegetable content. Waste Manag. Res. 2018, 36, 965–974. [Google Scholar] [CrossRef]
- Rosero-Henao, J.C.; Bueno, B.E.; De Souza, R.; Ribeiro, R.; De Oliveira, A.L.; Gomide, C.A.; Gomes, T.M.; Tommaso, G. Potential benefits of near critical and supercritical pre-treatment of lignocellulosic biomass towards anaerobic digestion. Waste Manag. Res. 2019, 37, 74–82. [Google Scholar] [CrossRef]
- Lemões, J.S.; Silva, E.C.F.L.; Avila, S.P.F.; Montero, C.R.S.; Silva, S.D.D.A.E.; Samios, D.; Peralba, M.D.C.R. Chemical pretreatment of Arundo donax L. for second-generation ethanol production. Electron. J. Biotechnol. 2018, 31, 67–74. [Google Scholar]
- Reißmann, D.; Thrän, D.; Bezama, A. How to identify suitable ways for the hydrothermal treatment of wet bio-waste? A critical review and methods proposal. Waste Manag. Res. 2018, 36, 912–923. [Google Scholar] [CrossRef] [PubMed]
- Makarichi, L.; Kan, R.; Jutidamrongphan, W.; Techato, K.-A. Suitability of municipal solid waste in African cities for thermochemical waste-to-energy conversion: The case of Harare Metropolitan City, Zimbabwe. Waste Manag. Res. 2019, 37, 83–94. [Google Scholar] [CrossRef] [PubMed]
- Efferth, T. Biotechnology applications of plant Callus cultures. Engineering 2019, 5, 50–59. [Google Scholar] [CrossRef]
- Hildebrandt, J.; Bezama, A. Cross-fertilisation of ideas for a more sustainable fertiliser market: The need to incubate business concepts for harnessing organic residues and fertilisers on biotechnological conversion platforms in a circular bioeconomy. Waste Manag. Res. 2018, 36, 1125–1126. [Google Scholar] [CrossRef] [PubMed]
- Morales-Polo, C.; Cledera-Castro, M.D.M.; Moratilla Soria, B.Y. Reviewing the anaerobic digestion of food waste: From waste generation and anaerobic process to its perspectives. Appl. Sci. 2018, 8, 1804. [Google Scholar] [CrossRef]
- Ruggero, F.; Gori, R.; Lubello, C. Methodologies to assess biodegradation of bioplastics during aerobic composting and anaerobic digestion: A review. Waste Manag. Res. 2019, 37, 959–975. [Google Scholar] [CrossRef]
- Sahajwalla, V. Green processes: Transforming waste into valuable resources. Engineering 2018, 4, 309–310. [Google Scholar] [CrossRef]
- Solarte-Toro, J.C.; Chacón-Pérez, Y.; Cardona-Alzate, C.A. Evaluation of biogas and syngas as energy vectors for heat and power generation using lignocellulosic biomass as raw material. Electron. J. Biotechnol. 2018, 33, 52–62. [Google Scholar] [CrossRef]
- Chatzikonstantinou, D.; Tremouli, A.; Papadopoulou, K.; Kanellos, G.; Lampropoulos, I.; Lyberatos, G. Bioelectricity production from fermentable household waste in a dual-chamber microbial fuel cell. Waste Manag. Res. 2018, 1037–1042. [Google Scholar] [CrossRef]
- Mahdisoozani, H.; Mohsenizadeh, M.; Bahiraei, M.; Kasaeian, A.; Daneshvar, A.; Goodarzi, M.; Safaei, M.R. Performance enhancement of internal combustion engines through vibration control: State of the art and challenges. Appl. Sci. 2019, 9, 406. [Google Scholar] [CrossRef]
- Wang, H.; Fu, P.; Li, J.; Huang, Y.; Zhao, Y.; Jiang, L.; Fang, X.; Yang, T.; Huang, Z.; Huang, C. Separation-and recovery technology for organic waste liquid with a high concentration of inorganic particles. Engineering 2018, 4, 406–415. [Google Scholar] [CrossRef]
- Wang, J.; Wang, H.; Fan, Y. Techno-economic challenges of fuel cell commercialization. Engineering 2018, 4, 352–360. [Google Scholar] [CrossRef]
- Koçer, A.T.; Özçimen, D. Investigation of the biogas production potential from algal wastes. Waste Manag. Res. 2018, 36, 1100–1105. [Google Scholar] [CrossRef] [PubMed]
- Vaskalis, I.; Skoulou, V.; Stavropoulos, G.; Zabaniotou, A. Towards circular economy solutions for the management of rice processing residues to bioenergy via gasification. Sustainability 2019, 11, 6433. [Google Scholar] [CrossRef]
- Davis, L.A. The shale oil and gas revolution. Engineering 2018, 4, 438–439. [Google Scholar] [CrossRef]
- Liu, A.; Teo, I.; Chen, D.; Lu, S.; Wuest, T.; Zhang, Z.; Tao, F. Biologically inspired design of context-aware smart products. Engineering 2019, 5, 637–645. [Google Scholar] [CrossRef]
- Chen, P.; Anderson, E.; Addy, M.; Zhang, R.; Cheng, Y.; Peng, P.; Ma, Y.; Fan, L.; Zhang, Y.; Lu, Q.; et al. Breakthrough technologies for the biorefining of organic solid and liquid wastes. Engineering 2018, 4, 574–580. [Google Scholar] [CrossRef]
- Achinas, S.; Leenders, N.; Krooneman, J.; Euverink, G.J.W. Feasibility assessment of a bioethanol plant in the northern Netherlands. Appl. Sci. 2019, 9, 4586. [Google Scholar] [CrossRef]
- Franco, R.T.; Coarita, H.; Bayard, R.; Buffière, P. An improved procedure to assess the organic biodegradability and the biomethane potential of organic wastes for anaerobic digestion. Waste Manag. Res. 2019, 37, 746–754. [Google Scholar] [CrossRef]
- RedCorn, R.; Fatemi, S.; Engelberth, A.S. Comparing end-use potential for industrial food-waste sources. Engineering 2018, 4, 371–380. [Google Scholar] [CrossRef]
- Balkau, F.; Bezama, A. Life cycle methodologies for building circular economy in cities and regions. Waste Manag. Res. 2019, 37, 765–766. [Google Scholar] [CrossRef] [PubMed]
- Pérez-Gimeno, A.; Navarro-Pedreño, J.; Almendro-Candel, M.B.; Gómez, I.; Zorpas, A.A. The use of wastes (organic and inorganic) in land restoration in relation to their characteristics and cost. Waste Manag. Res. 2019, 37, 502–507. [Google Scholar] [CrossRef] [PubMed]
- Smuga-Kogut, M.; Piskier, T.; Walendzik, B.; Szymanowska-Powałowska, D. Assessment of wasteland derived biomass for bioethanol production. Electron. J. Biotechnol. 2019, 41, 1–8. [Google Scholar] [CrossRef]
- Stanton, B.J.; Gustafson, R.R. Advanced hardwood biofuels northwest: Commercialization challenges for the renewable aviation fuel industry. Appl. Sci. 2019, 9, 4644. [Google Scholar] [CrossRef]
- Dalmo, F.C.; Simao, N.; Nebra, S.; Santana, P.D.M. Energy recovery from municipal solid waste of intermunicipal public consortia identified in São Paulo State. Waste Manag. Res. 2019, 37, 301–310. [Google Scholar] [CrossRef]
- Borowski, S.; Kucner, M. The use of sugar beet pulp stillage for co-digestion with sewage sludge and poultry manure. Waste Manag. Res. 2019, 7, 1025–1032. [Google Scholar] [CrossRef]
- Rabii, A.; Aldin, S.; Dahman, Y.; Elbeshbishy, E. A review on anaerobic co-digestion with a focus on the microbial populations and the effect of multi-stage digester configuration. Energies 2019, 12, 1106. [Google Scholar] [CrossRef]
- Luo, L.; Kaur, G.; Wong, J.W.C. A mini-review on the metabolic pathways of food waste two-phase anaerobic digestion system. Waste Manag. Res. 2019, 37, 333–346. [Google Scholar] [CrossRef]
- Vikrant, U.D.; Ajit, C.C.; Yogesh, V.A. Temperature, pH and Loading Rate Effect on Biogas Generation From Domestic Waste; International Conference on Advances in Engineering and Technology (ICAET): Nagapattinam, India, 2014; pp. 1–6. [Google Scholar]
- Achinas, S.; Euverink, G.J.W. Rambling facets of manure-based biogas production in Europe: A briefing. Renew. Sustain. Energy Rev. 2020, 119, 109566. [Google Scholar] [CrossRef]
- Kromus, S.; Wachter, B.; Koschuh, W.; Mandle, M.; Krotscheck, C.; Narodoslawsky, M. The green biorefinery Austria-development of an integrated system for green biomass utilization. Chem. Biochem. Eng. Q. 2004, 18, 7–12. [Google Scholar]
- Achinas, S.; Krooneman, J.; Euverink, G.J.W. Enhanced biogas production from the anaerobic batch treatment of banana peels. Engineering 2019, 5, 970–978. [Google Scholar] [CrossRef]
- Hames, B.; Scarlata, C.; Sluiter, A. Determination of protein content in biomass. In Laboratory Analytical Procedure (LAP); Technical Report NREL/TP-510-42625; National Renewable Energy Laborator: Golden, CO, USA, 2008. [Google Scholar]
- Achinas, S.; Euverink, G.J.W. Elevated biogas production from the anaerobic co-digestion of farmhouse waste: Insight into the process performance and kinetics. Waste Manag. Res. 2019, 37, 1240–1249. [Google Scholar] [CrossRef] [PubMed]
- Chiumenti, A.; Boscaro, D.; Da Borso, F.; Sartori, L.; Pezzuolo, A. Biogas from fresh spring and summer grass: Effect of the harvesting period. Energies 2018, 11, 1466. [Google Scholar] [CrossRef]
- Hidaka, T.; Arai, S.; Okamoto, S.; Uchida, T. Anaerobic co-digestion of sewage sludge with shredded grass from public green spaces. Bioresour. Technol. 2013, 130, 667–672. [Google Scholar] [CrossRef] [PubMed]
- Yu, H.W.; Samani, Z.; Hanson, A.; Smith, G. Energy recovery from grass using two-phase anaerobic digestion. Waste Manag. 2002, 22, 1–5. [Google Scholar] [CrossRef]
- Nizami, A.S.; Orozco, A.; Groom, E.; Dieterich, B.; Murphy, J.D. How much gas can we get from grass. Appl. Energy 2012, 92, 783–790. [Google Scholar] [CrossRef]
- Ghatak, M.D.; Mahanta, P. Effect of temperature on biogas production from lignocellulosic biomasses. In Proceedings of the 1st International Conference on Non Conventional Energy (ICONCE 2014), Kalyani, India, 16–17 January 2014; pp. 117–121. [Google Scholar]
- Ramaraj, R.; Unpaprom, Y. Effect of temperature on the performance of biogas production from Duckweed. Chem. Res. J. 2016, 1, 58–66. [Google Scholar]
- Ahn, H.K.; Smith, M.C.; Kondrad, S.L.; White, J.W. Evaluation of biogas production potential by dry anaerobic digestion of switchgrass-animal manure mixtures. Appl. Biochem. Biotechnol. 2010, 160, 965–975. [Google Scholar] [CrossRef]
- Lehtomäki, A.; Huttunen, S.; Lehtinen, T.; Rintala, J. Anaerobic digestion of grass silage in batch leach bed processes for methane production. Bioresour. Technol. 2008, 99, 3267–3278. [Google Scholar] [CrossRef]
- Önen, S.; Nsair, A.; Kuchta, K. Innovative operational strategies for biogas plant including temperature and stirring management. Waste Manag. Res. 2019, 37, 237–246. [Google Scholar] [CrossRef] [PubMed]
- Świątek, M.; Lewicki, A.; Szymanowska-Powałowska, D.; Kubiak, P. The effect of introduction of chicken manure on the biodiversity and performance of an anaerobic digester. Electron. J. Biotechnol. 2019, 37, 25–33. [Google Scholar] [CrossRef]
- Guo, X.; Kang, K.; Shang, G.; Yu, X.; Qiu, L.; Sun, G. Influence of mesophilic and thermophilic conditions on the anaerobic digestion of food waste: Focus on the microbial activity and removal of long chain fatty acids. Waste Manag. Res. 2018, 36, 1106–1112. [Google Scholar] [CrossRef] [PubMed]
- Reyes-Contreras, C.; Leiva, A.M.; Vidal, G. Evaluation of triclosan toxic effects on the methanogenic activity. Electron. J. Biotechnol. 2019, 39, 61–66. [Google Scholar] [CrossRef]
- Llewellyn, D. Does global agriculture need another green revolution? Engineering 2018, 4, 449–451. [Google Scholar] [CrossRef]
- Longjan, G.G.; Dehouche, Z. Nutrient characterisation and bioenergy potential of common Nigerian food wastes. Waste Manag. Res. 2018, 36, 426–435. [Google Scholar] [CrossRef]
- Weber, R.S.; Holladay, J.E. Modularized production of value-added products and fuels from distributed waste carbon-rich feedstocks. Engineering 2018, 4, 330–335. [Google Scholar] [CrossRef]
- Dal’ Magro, G.P.; Talamini, E. Estimating the magnitude of the food loss and waste generated in Brazil. Waste Manag. Res. 2019, 37, 706–716. [Google Scholar] [CrossRef]
- Baccioli, A.; Ferrari, L.; Guiller, R.; Yousfi, O.; Vizza, F.; Desideri, U. Feasibility analysis of bio-methane production in a biogas plant: A case study. Energies 2019, 12, 473. [Google Scholar] [CrossRef]
- Benato, A.; Macor, A. Italian biogas plants: Trend, subsidies, cost, biogas composition and engine emissions. Energies 2019, 12, 979. [Google Scholar] [CrossRef]
- Salas, L.D.M.; González, E.C.; Giraldi, M.R.; Jamed-Boza, L.O. Valorisation of the organic fraction of municipal solid waste. Waste Manag. Res. 2019, 37, 59–73. [Google Scholar] [CrossRef]
- Feng, S.; Hou, S.X.; Huang, X.; Fang, Z.; Tong, Y.; Yang, H. Insights into the microbial community structure of anaerobic digestion of municipal solid waste landfill leachate for methane production by adaptive thermophilic granular sludge. Electron. J. Biotechnol. 2019, 39, 98–106. [Google Scholar] [CrossRef]
- Franchi, O.; Rosenkranz, F.; Chamy, R. Key microbial populations involved in anaerobic degradation of phenol and p-cresol using different inocula. Electron. J. Biotechnol. 2018, 35, 33–38. [Google Scholar] [CrossRef]
- Achinas, S.; Euverink, G.J.W. Feasibility study of biogas production from hardly degradable material in co-inoculated bioreactor. Energies 2019, 12, 1040. [Google Scholar] [CrossRef]





| Parameter | Unit | Inoculum | DC | CG |
|---|---|---|---|---|
| pH | - | 7.23 (0.21) | n.d. | n.d. |
| VS | g VS/kg biomass | 31.9 (1.1) | 153.9 (11.5) | 244.5 (8.5) |
| TS | g TS/kg biomass | 77.5 (3.6) | 165.2 (9.7) | 268.7 (9.9) |
| C | % (based on TS) | n.d. | 42.6 (0.1) | 43.0 (0.1) |
| O | % (based on TS) | n.d. | 47.1 (0.1) | 46.7 (0.2) |
| H | % (based on TS) | n.d. | 6.0 (0.0) | 6.1 (0.1) |
| N | % (based on TS) | n.d. | 3.9 (0.1) | 4.0 (0.00) |
| S | % (based on TS) | n.d. | 0.5 (0.2) | 0.3 (0.1) |
| Total carbohydrates | % w/w | n.d. | 34.6 (4.5) | 51.3 (2.3) |
| Protein | % w/w | n.d. | 24.3 (0.3) | 24.7 (0.0) |
| Lignin | % w/w | n.d. | 31.9 | 11.5 |
| Ash | % w/w | n.d. | 9.2 (0.8) | 12.5 (1.6) |
| Reactors | Temperature (°C) | Organic Load (g VSsubstrate L−1 | I/S Ratio | Replicates |
|---|---|---|---|---|
| R1 | 25 | 10 | 2 | 3 |
| R2 | 25 | 20 | 2 | 3 |
| R3 | 25 | 30 | 2 | 3 |
| R4 | 35 | 10 | 2 | 3 |
| R5 | 35 | 20 | 2 | 3 |
| R6 | 35 | 30 | 2 | 3 |
| R7 | 45 | 10 | 2 | 3 |
| R8 | 45 | 20 | 2 | 3 |
| R9 | 45 | 30 | 2 | 3 |
| R10 | 55 | 10 | 2 | 3 |
| R11 | 55 | 20 | 2 | 3 |
| R12 | 55 | 30 | 2 | 3 |
| Reactor | Measured (mL g VSsubstrate−1) | K (day−1) | R2 | RMSE | Predicted (mL g VSsubstrate−1) |
|---|---|---|---|---|---|
| R1 | 157.3 | 0.0803 | 0.9989 | 8.16 | 154.7 |
| R2 | 157.9 | 0.1018 | 0.9945 | 10.77 | 156.7 |
| R3 | 166.7 | 0.1116 | 0.995 | 9.76 | 163.6 |
| R4 | 193.3 | 0.0817 | 0.9983 | 10.62 | 193.2 |
| R5 | 208.2 | 0.0867 | 0.9962 | 12.19 | 198.2 |
| R6 | 220.4 | 0.0859 | 0.9966 | 11.66 | 209.5 |
| R7 | 268.4 | 0.0900 | 0.9918 | 12.26 | 255.5 |
| R8 | 238.6 | 0.1826 | 0.9951 | 12.90 | 228.4 |
| R9 | 260.5 | 0.0801 | 0.9974 | 13.65 | 249.2 |
| R10 | 299.1 | 0.0815 | 0.999 | 15.25 | 281.8 |
| R11 | 311.7 | 0.0694 | 0.9985 | 20.43 | 284.2 |
| R12 | 360.4 | 0.0811 | 0.999 | 18.34 | 339.3 |
| Reactor | Measured (mL g VSsubstrate−1) | K (day−1) | n | R2 | RMSE | Predicted (mL g VSsubstrate−1) |
|---|---|---|---|---|---|---|
| R1 | 157.3 | 0.1112 | 2.04 | 0.9783 | 6.90 | 148.0 |
| R2 | 157.9 | 0.1356 | 2.38 | 0.9775 | 7.22 | 154.1 |
| R3 | 166.7 | 0.1329 | 2.18 | 0.9857 | 5.91 | 161.0 |
| R4 | 193.3 | 0.1123 | 2.11 | 0.9805 | 8.11 | 183.1 |
| R5 | 208.2 | 0.1085 | 2.10 | 0.9812 | 8.63 | 196.3 |
| R6 | 220.4 | 0.1109 | 2.04 | 0.9785 | 9.63 | 207.3 |
| R7 | 268.4 | 0.1113 | 2.03 | 0.9783 | 11.76 | 252.5 |
| R8 | 238.6 | 0.1157 | 2.03 | 0.9825 | 9.37 | 225.4 |
| R9 | 260.5 | 0.1105 | 2.05 | 0.9791 | 11.25 | 245.2 |
| R10 | 299.1 | 0.1109 | 2.04 | 0.9792 | 12.84 | 281.4 |
| R11 | 311.7 | 0.0988 | 2.10 | 0.9733 | 15.44 | 290.2 |
| R12 | 360.4 | 0.1107 | 2.04 | 0.9789 | 15.59 | 339.0 |
© 2020 by the authors. Licensee MDPI, Basel, Switzerland. This article is an open access article distributed under the terms and conditions of the Creative Commons Attribution (CC BY) license (http://creativecommons.org/licenses/by/4.0/).
Share and Cite
Achinas, S.; Euverink, G.J.W. Effect of Temperature and Organic Load on the Performance of Anaerobic Bioreactors Treating Grasses. Environments 2020, 7, 82. https://doi.org/10.3390/environments7100082
Achinas S, Euverink GJW. Effect of Temperature and Organic Load on the Performance of Anaerobic Bioreactors Treating Grasses. Environments. 2020; 7(10):82. https://doi.org/10.3390/environments7100082
Chicago/Turabian StyleAchinas, Spyridon, and Gerrit Jan Willem Euverink. 2020. "Effect of Temperature and Organic Load on the Performance of Anaerobic Bioreactors Treating Grasses" Environments 7, no. 10: 82. https://doi.org/10.3390/environments7100082
APA StyleAchinas, S., & Euverink, G. J. W. (2020). Effect of Temperature and Organic Load on the Performance of Anaerobic Bioreactors Treating Grasses. Environments, 7(10), 82. https://doi.org/10.3390/environments7100082

