Stormwater Quality Benefits of Permeable Pavement Systems with Deep Aggregate Layers
Abstract
1. Introduction
2. Materials and Methods
2.1. Project Background and Monitoring Site
- -
- A layer of 14.35-cm articulating concrete blocks/mats (ACBM) on top, leveled with the existing asphalt. The ACBMs, unlike permeable interlocking concrete pavements (PICPs), do not require fine aggregates between their joints.
- -
- A 61-cm deep storage gallery, filled with 30.5 cm of American Association of State Highway and Transportation (AASHTO) #3 stone on the bottom, and 30.5 cm of AASHTO #57 aggregate on top. A geogrid was installed between the two aggregate layers.
- -
- Either a series of drilled shafts (17H) or a trench (17G) was excavated underneath and along the storage gallery as additional storage, as well as an access method to deeper permeable sandy soils, which were backfilled with AASHTO #3 aggregate.
2.2. Sampling and Testing Methods
2.3. Field and Laboratory Analysis
2.4. Statistical Analysis
3. Results and Discussion
3.1. Rainfall Characterstics
3.2. In Situ Measurements
3.3. Pollutant Concentrations
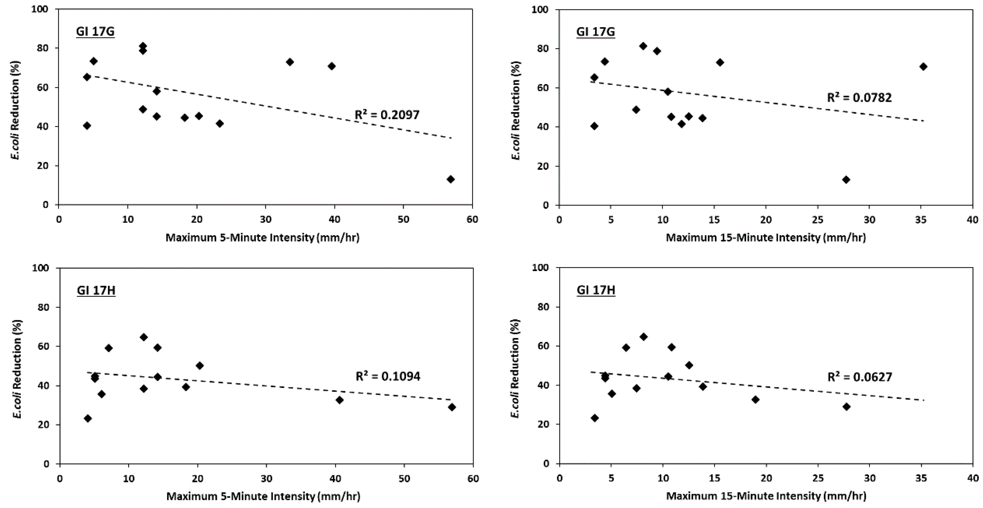
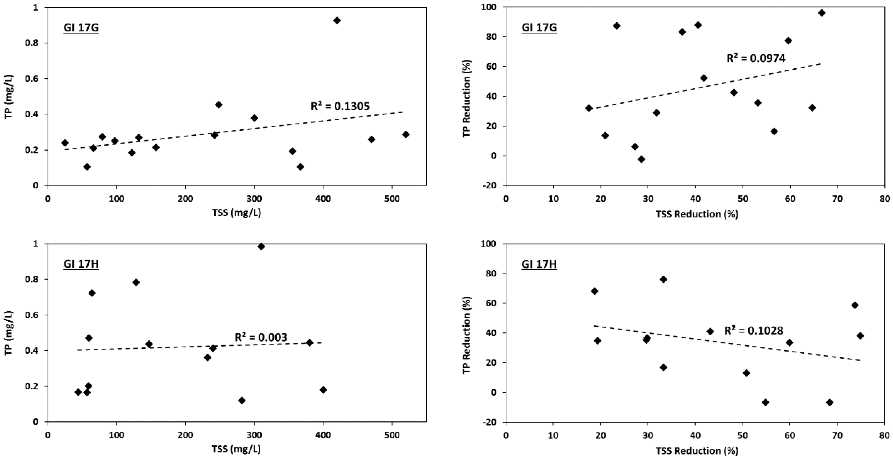
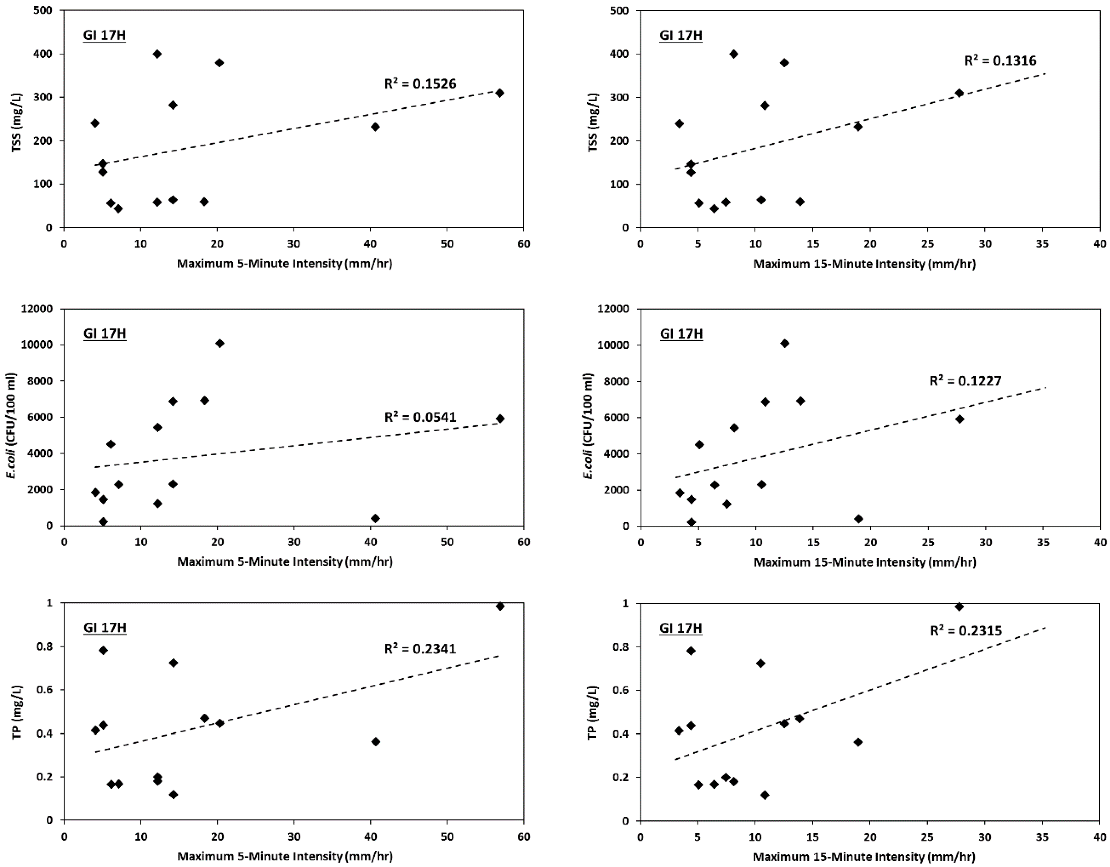
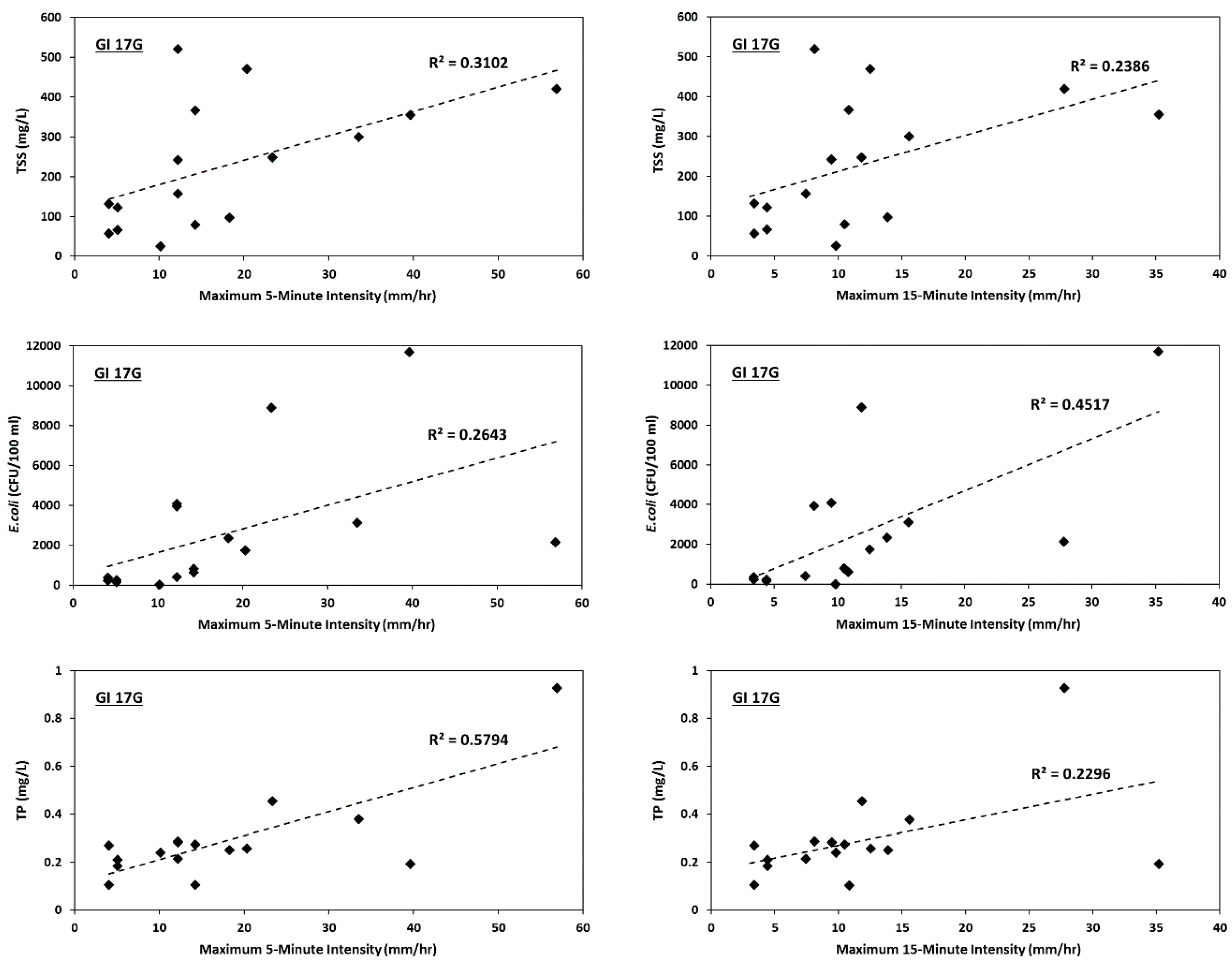
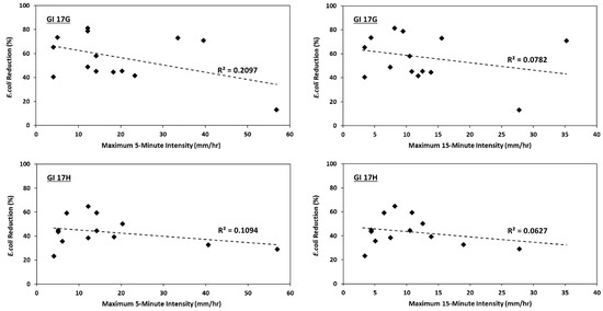
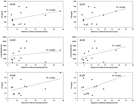
3.4. Effect of Rainfall Characteristics
3.5. Limitations of This Study
4. Conclusions
Author Contributions
Acknowledgments
Conflicts of Interest
References
- United States Department of Agriculture, Natural Resource Conservation Service (USDA NRCS). Urban Hydrology for Small Watersheds: TR-55; USDA NRCS: Washington, DC, USA, 1986.
- Bean, E.Z.; Hunt, W.F.; Bidelspach, D. Evaluation of four permeable pavement sites in eastern North Carolina for runoff reduction and water quality impacts. J. Irrig. Drain. Eng. 2007, 133, 583–592. [Google Scholar] [CrossRef]
- Goonetilleke, A.; Thomas, E.; Ginn, S.; Gilbert, D. Understanding the role of land use in urban stormwater quality management. J. Environ. Manag. 2005, 74, 31–42. [Google Scholar] [CrossRef] [PubMed]
- VanWoert, N.D.; Rowe, D.B.; Andresen, J.A.; Rugh, C.L.; Fernandez, R.T.; Xiao, L. Green roof stormwater retention: Effects of roof surface, slope, and media depth. J. Environ. Qual. 2005, 34, 1036–1044. [Google Scholar] [CrossRef] [PubMed]
- Aryal, R.; Vigneswaran, S.; Kandasamy, J.; Naidu, R. Urban stormwater quality and treatment. Korean J. Chem. Eng. 2010, 27, 1343–1359. [Google Scholar] [CrossRef]
- Moglen, G.E. Hydrology and impervious areas. J. Hydrol. Eng. 2009, 14, 303–304. [Google Scholar] [CrossRef]
- Todeschini, S. Hydrologic and environmental impacts of imperviousness in an industrial catchment of northern Italy. J. Hydrol. Eng. 2016, 21, 05016013. [Google Scholar] [CrossRef]
- Shaver, E.; Horner, R.; Skupien, J.; May, C.; Ridley, G. Fundamentals of Urban Runoff Management; North American Lake Management Society (NALMS): Madison, WI, USA, 2007; pp. 44–52. [Google Scholar]
- Schueler, T. Impacts of Impervious Cover on Aquatic Systems; Center for Watershed Protection: Ellicott City, MD, USA, 2003. [Google Scholar]
- Burns, S.E. Stormwater Controls for Pollutant Removal on GDOT Right-of-Way; GDOT Project No. 07-27; Georgia Department of Transportation, Office of Materials and Research: Forest Park, GA, USA, 2012.
- Granata, F.; Papirio, S.; Esposito, G.; Gargano, R.; de Marinis, G. Machine Learning Algorithms for the Forecasting of Wastewater Quality Indicators. Water 2017, 9, 105. [Google Scholar] [CrossRef]
- United States Environmental Protection Agency (US EPA). Stormwater Phase II Final Rule: Small MS4 Stormwater Program Overview. Factsheet 2.0.; EPA 833/F-00-002; US EPA: Washington, DC, USA, 2000.
- US EPA. Overview of the Stormwater Program; EPA 833/R-96-008; US EPA: Washington, DC, USA, 1996.
- Winer, R. National Pollutant Removal Performance Database for Stormwater Treatment Practices; Center for Watershed Protection: Ellicot City, MD, USA, 2000. [Google Scholar]
- Brattebo, B.O.; Booth, D.B. Long-term stormwater quantity and quality performance of permeable pavement systems. Water Res. 2003, 37, 4369–4376. [Google Scholar] [CrossRef]
- Legret, M.; Colandini, V. Effects of a porous pavement with reservoir structure on runoff water: Water quality and fate of heavy metals. Water Sci. Technol. 1999, 39, 111–117. [Google Scholar] [CrossRef]
- Kaseva, M. Performance of a sub-surface flow constructed wetland in polishing pre-treated wastewater—A tropical case study. Water Res. 2004, 38, 681–687. [Google Scholar] [CrossRef] [PubMed]
- Hunt, W.; Smith, J.; Jadlocki, S.; Hathaway, J.; Eubanks, P. Pollutant removal and peak flow mitigation by a bioretention cell in urban Charlotte, NC. J. Environ. Eng. 2008, 134, 403–408. [Google Scholar] [CrossRef]
- Kazemi, F.; Hill, K. Effect of permeable pavement basecourse aggregates on stormwater quality for irrigation reuse. Ecol. Eng. 2015, 77, 189–195. [Google Scholar] [CrossRef]
- US EPA. Stormwater Technology Fact Sheet: Porous Pavement; US EPA: Washington, DC, USA, 1999.
- Selvakumar, A.; O’Connor, T.P. Organism detection in permeable pavement parking lot infiltrates at the Edison Environmental Center, New Jersey. Water Environ. Res. 2018, 90, 21–29. [Google Scholar] [CrossRef] [PubMed]
- Prince Georges County. Low-Impact Development Hydrologic Analysis; Prince Georges County Department of Environmental Resources: Largo, MD, USA, 1999.
- Maestre, A.; Pitt, R. The National Stormwater Quality Database, Version 1.1, a Compilation and Analysis of NPDES Stormwater Monitoring Information; Center for Watershed Protection: Ellicott City, MA, USA, 2005. [Google Scholar]
- Law, N.L.; Fraley-McNeal, L.; Cappiella, K.; Pitt, R. Monitoring to Demonstrate Environmental Results: Guidance to Develop Local Stormwater Monitoring Studies Using Six Example Study Designs; Center for Watershed Protection: Ellicott City, MD, USA, 2008. [Google Scholar]
- Roseen, R.M.; Ballestero, T.P.; Houle, J.J.; Avelleneda, P.; Wildey, R.; Briggs, J. Storm water low-impact development, conventional structural, and manufactured treatment strategies for parking lot runoff: Performance evaluations under varied mass loading conditions. Transp. Res. Rec. J. Transp. Res. Board 2006, 1984, 135–147. [Google Scholar] [CrossRef]
- Roseen, R.M.; Ballestero, T.P.; Houle, J.J.; Briggs, J.F.; Houle, K.M. Water quality and hydrologic performance of a porous asphalt pavement as a storm-water treatment strategy in a cold climate. J. Environ. Eng. 2011, 138, 81–89. [Google Scholar] [CrossRef]
- Helsel, D.; Hirsch, R. Statistical methods in water resources. In Techniques of Water-Resources Investigations of the United States Geological Survey, Book 4: Hydrologic Analysis and Interpretation; US Geological Survey: Reston, VA, USA, 2002. [Google Scholar]
- Pagotto, C.; Legret, M.; Le Cloirec, P. Comparison of the hydraulic behaviour and the quality of highway runoff water according to the type of pavement. Water Res. 2000, 34, 4446–4454. [Google Scholar] [CrossRef]
- Schillinger, J.E.; Gannon, J.J. Bacterial adsorption and suspended particles in urban stormwater. J. Water Pollut. Control Fed. 1985, 57, 384–389. [Google Scholar]
- Mallin, M.A.; Williams, K.E.; Esham, E.C.; Lowe, R.P. Effect of human development on bacteriological water quality in coastal watersheds. Ecol. Appl. 2000, 10, 1047–1056. [Google Scholar] [CrossRef]
- Anderson, C.W.; Rounds, S.A. Phosphorus and E. coli and Their Relation to Selected Constituents during Storm Runoff Conditions in Fanno Creek, Oregon, 1998–99; 02-4232; US Geological Survey: Denver, CO, USA, 2003.
- Barrett, M.E.; Irish, L.B.; Malina, J.F.; Charbeneau, R. Characterization of highway runoff in Austin, Texas, area. J. Environ. Eng. 1998, 124, 131–137. [Google Scholar] [CrossRef]
- Chui, P. Characteristics of stormwater quality from two urban watersheds in Singapore. Environ. Monit. Assess. 1997, 44, 173–181. [Google Scholar] [CrossRef]
- Horner, R.; Guedry, J.; Kortenhof, M.H. Improving the Cost Effectiveness of Highway Construction Site Erosion and Pollution Control; Washington State Department of Transportation: Olympia, WA, UAS, 1990.
- Stevik, T.K.; Aa, K.; Ausland, G.; Hanssen, J.F. Retention and removal of pathogenic bacteria in wastewater percolating through porous media: A review. Water Res. 2004, 38, 1355–1367. [Google Scholar] [CrossRef] [PubMed]
- Rutter, P.; Vincent, B. Physicochemical interactions of the substratum, microorganisms, and the fluid phase. In Microbial Adhesion and Aggregation; Springer: Berlin, Germany, 1984; pp. 21–38. [Google Scholar]
- Horner, R.R.; Burges, S.J.; Ferguson, J.F.; Mar, B.W.; Welch, E.B. Highway Runoff Monitoring: The Initial Year; WA-RD-39.3; Washington State Department of Transportation, Public Transportation and Planning: Olympia, WA, USA, 1979.
- Barrett, M.E.; Zuber, R.D.; Collins, E.R.; Malina, J.F.; Charbeneau, R.J.; Ward, G.H. A Review and Evaluation of Literature Pertaining to the Quantity and Control of Pollution from Highway Runoff and Construction; Center for Research in Water Resources, Bureau of Engineering Research, the University of Texas at Austin: Austin, TX, USA, 1995. [Google Scholar]
- Clar, M.L.; Barfield, B.J.; O’Connor, T.P. Stormwater Best Management Practice Design Guide. Volume 2: Vegatative Biofilters; EPA/600/R-04/121A; The US Environmental Protenction Agency: Cincinatti, OH, USA, 2004.










| Green Infrastructure Identifier (GI ID) | Length (m) | Width (m) | Method to Access Deep Soils | Trench Width (m) or Number of Shafts | Total Drainage Area (ha) 1 | Percent Imperviousness 1 | Impervious Drainage Area (ha) | Impermeable Area: Pavement Surface Area |
|---|---|---|---|---|---|---|---|---|
| 17G | 21.3 | 2.4 | Trench | 0.7 m | 0.43 | 65% | 0.28 | 53:1 |
| 17H | 27.4 | 2.4 | Shafts | 10 | 0.36 | 65% | 0.25 | 37:1 |
| Parameter | Standard Method | MDL |
|---|---|---|
| Total suspended solids (TSS) | Standard Methods procedure 2540D | 1.0 mg/L |
| Escherichia coli (E. coli) | EPA Method 1604 | 1 CFU/100 mL |
| Total phosphorus (TP) | Hach TNT843, Equivalent to EPA 365.1 | 0.05 mg/L |
| Nitrate (NO3) | Hach, TNT835 Approved by EPA | 0.23 mg/L |
| Nitrite (NO2) | Hach TNT839, Equivalent to EPA 353.2 | 0.015 mg/L |
| Ammonia (NH3) | Hach TNT831, Equivalent to EPA 353.2 | 0.015 mg/L |
| Copper dissolved (Cu) | ICP-OES Spectrometer EPA Method 200.7 | 5.4 μg/L |
| Iron dissolved (Fe) | ICP-OES Spectrometer EPA Method 200.7 | 6.2 μg/L |
| Zinc dissolved (Zn) | ICP-OES Spectrometer EPA Method 200.7 | 1.8 μg/L |
| Event Number | Date | Total Rainfall Duration (h) | Total Rainfall Depth (mm) | Sampled Maximum Rainfall Intensity (mm/h) 1 | Antecedent Dry Period (Day) | 7-Day Antecedent Rainfall Depth (mm) | |
|---|---|---|---|---|---|---|---|
| 5-min Duration | 15-min Duration | ||||||
| 1 | 9 May 2014 | 12.00 | 20.8 | 46.7 | 21.3 | 9.68 | 1.9 |
| 2 | 10 May 2014 | 3.00 | 21.8 | 56.9 | 27.7 | 0.25 | 22.8 |
| 3 | 7 July 2014 | 0.67 | 12.4 | 39.6 | 35.3 | 5.09 | 8.1 |
| 4 | 14 July 2014 | 1.58 | 9.1 | 20.3 | 12.4 | 0.38 | 40.0 |
| 5 | 16 August 2014 | 29.25 | 18.0 | 12.2 | 8.1 | 4.97 | 25.0 |
| 6 | 22 August 2014 | 3.33 | 6.6 | 33.5 | 15.5 | 4.80 | 18.8 |
| 7 | 6 October 2014 | 6.58 | 6.4 | 23.4 | 11.9 | 2.40 | 6.4 |
| 8 | 7 October 2014 | 2.50 | 5.6 | 12.2 | 9.4 | 0.86 | 13.3 |
| 9 | 13 October 2014 | 13.42 | 22.9 | 17.3 | 10.9 | 0.59 | 46.7 |
| 10 | 16 November 2014 | 14.00 | 8.8 | 5.1 | 4.3 | 11.65 | 1.6 |
| 11 | 23 November 2014 | 14.42 | 18.9 | 14.2 | 10.4 | 6.04 | 9.6 |
| 12 | 5 December 2014 | 34.42 | 38.4 | 12.2 | 3.0 | 0.26 | 31.1 |
| 13 | 23 December 2014 | 3.92 | 25 | 6.1 | 7.5 | 0.48 | 5.6 |
| 14 | 1 February 2015 | 8.92 | 10.2 | 5.1 | 5.1 | 6.43 | 5.1 |
| 15 | 3 March 2015 | 50.58 | 43.9 | 4.1 | 9.8 | 9.73 | 2.6 |
| 16 | 13 March 2015 | 28.17 | 45.1 | 7.1 | 3.4 | 2.61 | 28.0 |
| 17 | 2 April 2015 | 33.42 | 110.8 | 40.6 | 6.4 | 6.63 | 4.1 |
| 18 | 13 April 2015 | 22.50 | 10.1 | 4.1 | 19.0 | 3.56 | 37.8 |
| 19 | 16 May 2015 | 14.17 | 11.0 | 18.3 | 3.0 | 15.55 | 2.9 |
| Parameter | 17G (Trench) | 17H (Shaft) | ||||
|---|---|---|---|---|---|---|
| Runoff | Captured | p-Value | Runoff | Captured | p-Value | |
| Average Temperature (°C) | 16.8 (n = 15) | 17.3 (n = 15) | 0.315 | 14.9 (n = 13) | 15.5 (n = 13) | 0.270 |
| Average pH | 7.3 (n = 15) | 7.4 (n = 15) | 0.001 | 7.0 (n = 13) | 7.1 (n = 13) | 0.001 |
| Average Specific Conductivity (μS/cm) | 120 (n = 15) | 185 (n = 15) | 0.196 | 114 (n = 13) | 120 (n = 13) | 0.509 |
| Pollutant | Number of Rainfall Events Sampled | Events Sampled | Mean Concentration Values | Median Concentration Values | Mean Reduction % | p-Value 1 | ||
|---|---|---|---|---|---|---|---|---|
| Runoff | Captured | Runoff | Captured | |||||
| E. coli (CFU/100 mL) | 15 | 2–12, 14, 15, 18, 19 | 2719 | 1095 | 1740 | 740 | 59.7 | <0.0012 |
| TSS (mg/L) | 15 | 2–12, 14, 15, 18, 19 | 242.1 | 139.4 | 242.1 | 100.3 | 42.6 | <0.0012 |
| Nitrate (mg/L) | 15 | 2–12, 14, 15, 18, 19 | 0.667 | 0.671 | 0.606 | 0.499 | −0.6 | 0.965 |
| Nitrite (mg/L) | 15 | 2–12, 14, 15, 18, 19 | 0.073 | 0.043 | 0.043 | 0.031 | 41.1 | 0.0462 |
| Ammonia (mg/L) | 15 | 2–12, 14, 15, 18, 19 | 0.229 | 0.124 | 0.153 | 0.112 | 45.9 | N/A 3 |
| TP (mg/L) | 15 | 2–12, 14, 15, 18, 19 | 0.293 | 0.164 | 0.258 | 0.091 | 44.0 | 0.002 |
| Cu dissolved (μg/L) | 4 | 1–4 | 5.80 | 1.06 | 2.96 | 0.92 | 81.7 | N/A 4 |
| Zn dissolved (μg/L) | 4 | 1–4 | 51.40 | 4.76 | 32.61 | 2.94 | 90.7 | N/A 4 |
| Fe dissolved (μg/L) | 4 | 1–4 | 23.01 | 9.16 | 16.92 | 9.02 | 60.2 | N/A 4 |
| Pollutant | Number of Rainfall Events Sampled | Events Sampled | Mean Concentration Values | Median Concentration Values | Mean Reduction % | p-Value 1 | ||
|---|---|---|---|---|---|---|---|---|
| Runoff | Captured | Runoff | Captured | |||||
| E. coli (CFU/100 mL) | 13 | 2, 4, 5, 9–14, 15–17, 19 | 3810 | 845 | 2300 | 1400 | 77.8 | 0.002 |
| TSS (mg/L) | 13 | 2, 4, 5, 9–14, 15–17, 19 | 184.8 | 89.9 | 147.2 | 98.1 | 51.4 | <0.0012 |
| Nitrate (mg/L) | 13 | 2, 4, 5, 9–14, 15–17, 19 | 0.723 | 0.685 | 0.550 | 0.521 | 5.3 | 0.586 |
| Nitrite (mg/L) | 13 | 2, 4, 5, 9–14, 15–17, 19 | 0.040 | 0.027 | 0.036 | 0.025 | 32.5 | N/A 3 |
| Ammonia (mg/L) | 13 | 2, 4, 5, 9–14, 15–17, 19 | 0.168 | 0.139 | 0.077 | 0.045 | 17.3 | <0.001 |
| TP (mg/L) | 13 | 2, 4, 5, 9–14, 15–17, 19 | 0.420 | 0.297 | 0.414 | 0.175 | 29.3 | 0.005 |
© 2018 by the authors. Licensee MDPI, Basel, Switzerland. This article is an open access article distributed under the terms and conditions of the Creative Commons Attribution (CC BY) license (http://creativecommons.org/licenses/by/4.0/).
Share and Cite
Abdollahian, S.; Kazemi, H.; Rockaway, T.; Gullapalli, V. Stormwater Quality Benefits of Permeable Pavement Systems with Deep Aggregate Layers. Environments 2018, 5, 68. https://doi.org/10.3390/environments5060068
Abdollahian S, Kazemi H, Rockaway T, Gullapalli V. Stormwater Quality Benefits of Permeable Pavement Systems with Deep Aggregate Layers. Environments. 2018; 5(6):68. https://doi.org/10.3390/environments5060068
Chicago/Turabian StyleAbdollahian, Sam, Hamidreza Kazemi, Thomas Rockaway, and Venkata Gullapalli. 2018. "Stormwater Quality Benefits of Permeable Pavement Systems with Deep Aggregate Layers" Environments 5, no. 6: 68. https://doi.org/10.3390/environments5060068
APA StyleAbdollahian, S., Kazemi, H., Rockaway, T., & Gullapalli, V. (2018). Stormwater Quality Benefits of Permeable Pavement Systems with Deep Aggregate Layers. Environments, 5(6), 68. https://doi.org/10.3390/environments5060068

