Spatial and Temporal Variability Patterns of the Urban Heat Island in São Paulo
Abstract
:1. Introduction
2. Materials and Methods
2.1. Study Area and Datasets
2.2. Statistical Analysis
2.2.1. EOF Analysis
2.2.2. Cluster Analysis
2.2.3. Urban Heat Island Intensity
3. Results
3.1. MASP Local Climate
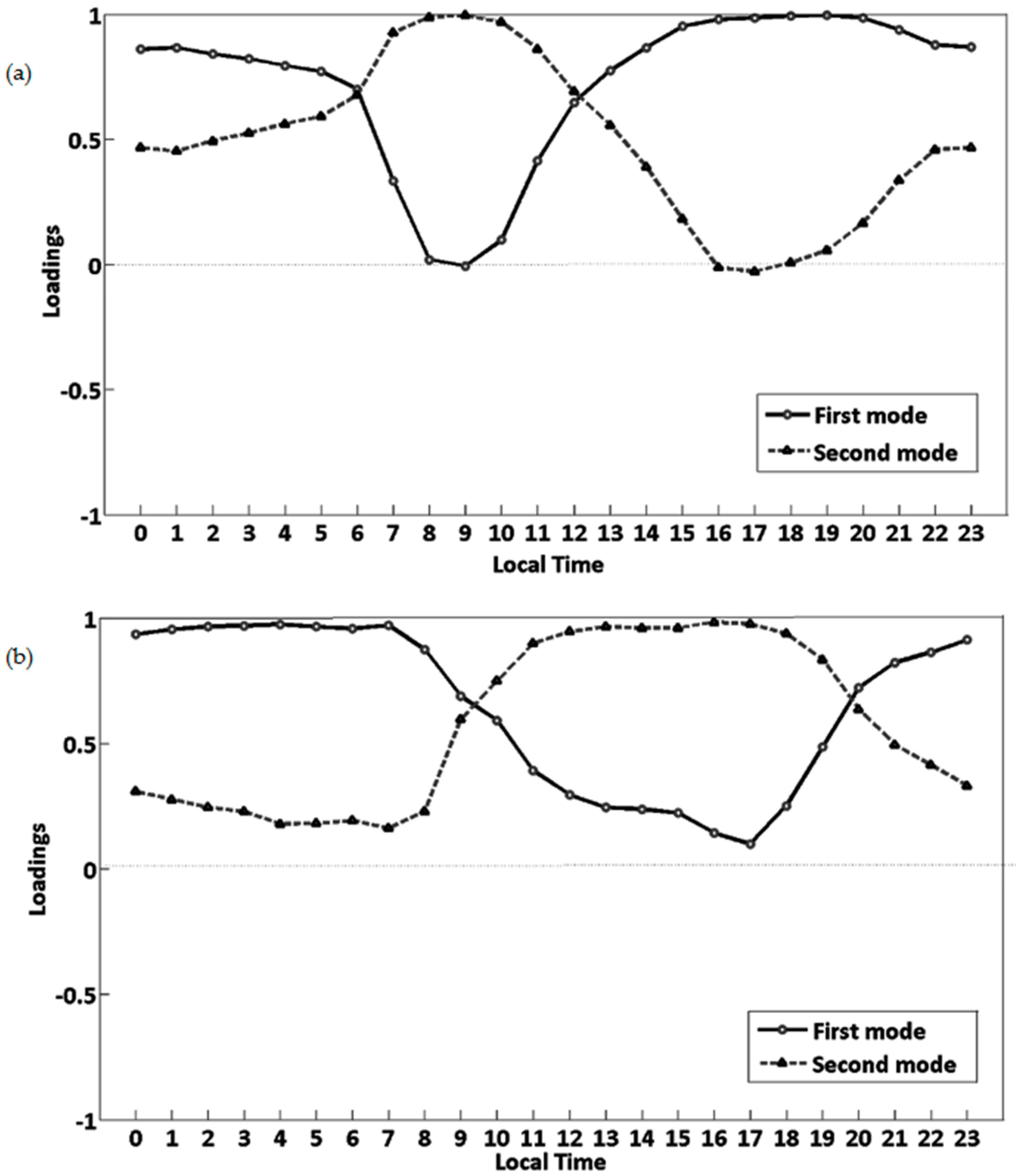
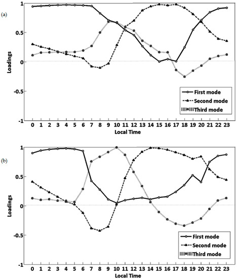
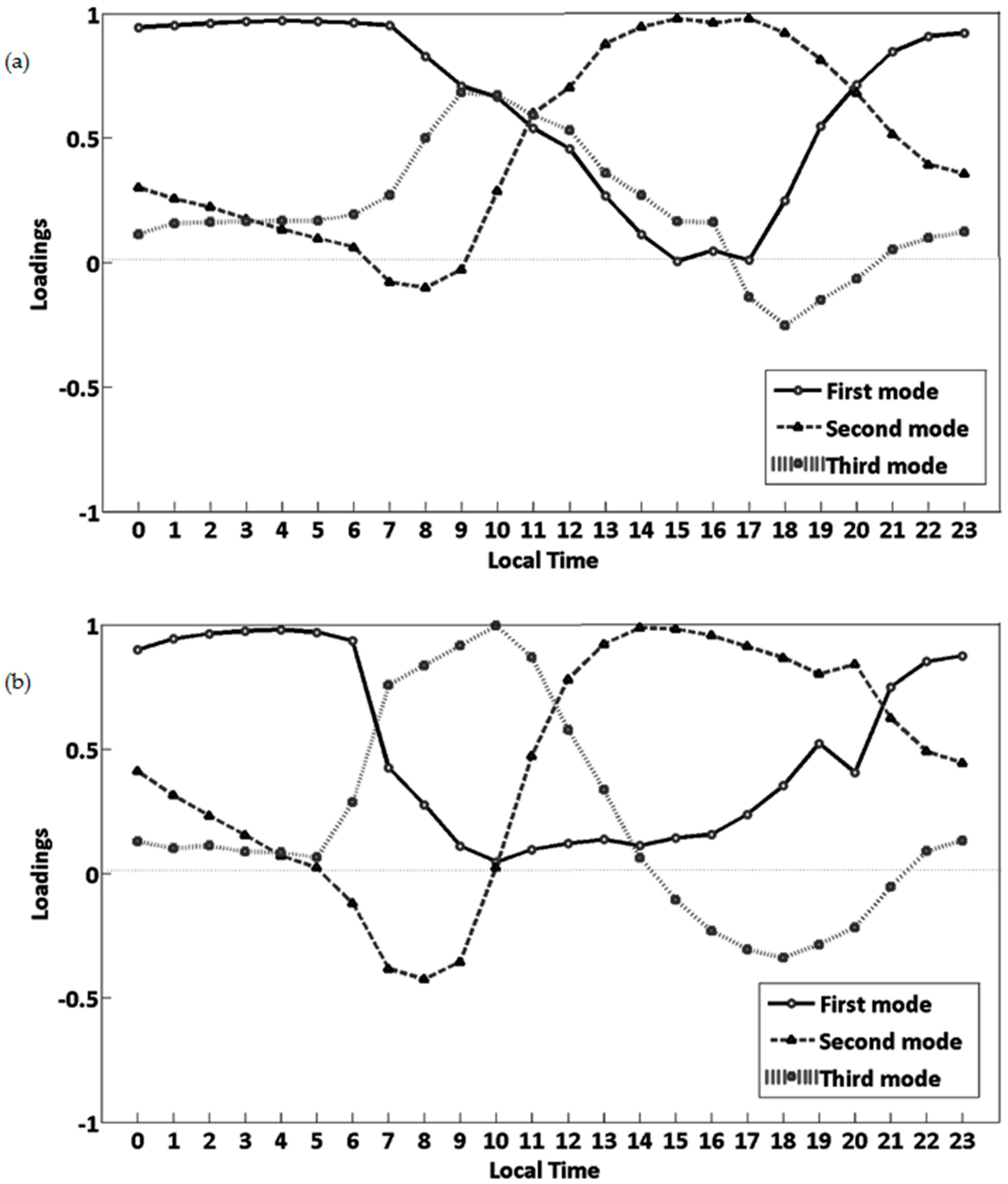
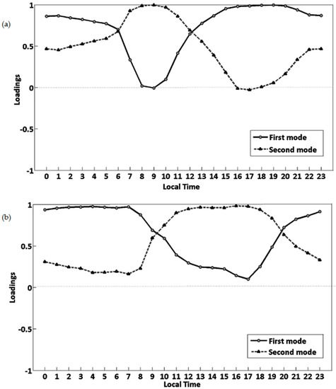
3.2. EOF Analysis
3.3. Cluster Analysis
3.4. UHI Intensity
4. Conclusions
Acknowledgments
Author Contributions
Conflicts of Interest
Appendix A
EOF Analysis
Appendix B
Cluster Analysis
References
- Oke, T.R. The energetic basis of the urban heat island. Q. J. R. Meteorol. Soc. 1982, 108, 1–24. [Google Scholar] [CrossRef]
- Oke, T.R. Boundary Layer Climates, 2nd ed.; Routledge: London, UK, 1987. [Google Scholar]
- Arya, S.P. Introduction to Micrometeorology; Academic Press: San Diego, CA, USA, 2001; Volume 79. [Google Scholar]
- Arnfield, A.J. Two decades of urban climate research: A review of turbulence, exchanges of energy and water, and the urban heat island. Int. J. Climatol. 2003, 23, 1–26. [Google Scholar] [CrossRef]
- Kim, Y.; Baik, J. Spatial and temporal structure of the urban heat island in Seoul. J. Appl. Meteorol. 2005, 5, 591–605. [Google Scholar] [CrossRef]
- Sun, C.Y.; Brazel, A.J.; Chow, W.T.L.; Hedquist, B.C.; Prashad, L. Desert heat island study in winter by mobile transect and remote sensing techniques. Theor. Appl. Climatol. 2009, 98, 323–335. [Google Scholar] [CrossRef]
- Roth, M. Review of urban climate research in (sub) tropical regions. Int. J. Climatol. 2007, 27, 1859–1873. [Google Scholar] [CrossRef]
- Landsberg, H.E. The Urban Climate; Academic Press: New York, NY, USA, 1981; Volume 28. [Google Scholar]
- Oke, T.R.; Johnson, G.T.; Steyn, D.G.; Watson, I.D. Simulation of surface urban heat islands under “ideal” conditions at night. Part 2: Diagnosis of causation. Bound. Layer Meteorol. 1991, 56, 339–358. [Google Scholar] [CrossRef]
- Yoshikado, H. High levels of winter air pollution under the influence of the urban heat island along the shore of Tokyo Bay. J. Appl. Meteorol. 1996, 35, 1804–1813. [Google Scholar] [CrossRef]
- Taha, H. Urban climates and heat islands: Albedo, evapotranspiration, and anthropogenic heat. Energy Build. 1997, 25, 99–103. [Google Scholar] [CrossRef]
- Grimmond, C.S.B. Progress in measuring and observing the urban atmosphere. Theor. Appl. Climatol. 2006, 84, 3–22. [Google Scholar] [CrossRef]
- Rosenzweig, C.; Solecki, W.; Slosberg, R. Mitigating New York City’s Heat Island with Urban Forestry, Living Roofs, and Light Surfaces; A Report to the New York State Energy Research and Development Authority; American Meteorological Society: Boston, MA, USA, 2006. [Google Scholar]
- Sarrat, C.; Lemonsu, A.; Masson, V.; Guedalia, D. Impact of urban heat island on regional atmospheric pollution. Atmos. Environ. 2006, 40, 1743–1758. [Google Scholar] [CrossRef]
- Rizwan, A.M.; Dennis, L.; Liu, C. A review on the generation, determination and mitigation of Urban Heat Island. J. Environ. Sci. 2008, 20, 120–128. [Google Scholar] [CrossRef]
- Hidalgo, J.; Masson, V.; Baklanov, A.; Pigeon, G.; Gimeno, L. Advances in urban climate modeling. Ann. N. Y. Acad. Sci. 2008, 1146, 354–374. [Google Scholar] [CrossRef] [PubMed]
- Onishi, A.; Cao, X.; Ito, T.; Shi, F.; Imura, H. Evaluating the potential for urban heat-island mitigation by greening parking lots. Urban For. Urban Green. 2010, 9, 323–332. [Google Scholar] [CrossRef]
- Sailor, D.J. A review of methods for estimating anthropogenic heat and moisture emissions in the urban environment. Int. J. Climatol. 2011, 31, 189–199. [Google Scholar] [CrossRef]
- Kolokotroni, M.; Ren, X.; Davies, M.; Mavroganni, A. London’s urban heat island: Impact on current and future energy consumption in office buildings. Energy Build. 2012, 47, 302–311. [Google Scholar] [CrossRef]
- Montávez, J.P.; Rodríguez, A.; Jiménez, J.I. A Study of the Urban Heat Island of Granada. Int. J. Climatol. 2000, 20, 899–911. [Google Scholar] [CrossRef]
- Oliveira, A.P.; Bornstein, R.D.; Soares, J. Annual and diurnal wind patterns in the city of São Paulo. Water Air Soil Pollut. Focus 2003, 3, 3–15. [Google Scholar] [CrossRef]
- Fujibe, F. Detection of urban warming in recent temperature trends in Japan. Int. J. Climatol. 2009, 29, 1811–1822. [Google Scholar] [CrossRef]
- Hicks, B.B.; Callahan, W.J.; Hoekzema, M.A. On the Heat Islands of Washington, DC, and New York City, NY. Bound. Layer Meteorol. 2010, 135, 291–300. [Google Scholar] [CrossRef]
- Murphy, D.J.; Hall, M.H.; Hall, C.A.; Heisler, G.M.; Stehman, S.V.; Anselmi-Molina, C. The relationship between land cover and the urban heat island in northeastern Puerto Rico. Int. J. Climatol. 2011, 31, 1222–1239. [Google Scholar] [CrossRef]
- Camilloni, I.; Barrucand, M. Temporal variability of the Buenos Aires, Argentina, urban heat island. Int. J. Climatol. 2011, 31, 1222–1239. [Google Scholar] [CrossRef]
- Ozdemir, H.; Unal, A.; Kindap, T.; Turuncoglu, U.U.; Demir, G.; Tayanc, M.; Karaca, M. Quantification of the urban heat island under a changing climate over Anatolian Peninsula. Theor. Appl. Climatol. 2012, 108, 31–38. [Google Scholar] [CrossRef]
- Pereira Filho, A.J. Summer convection in urban environments and the flash floods. An. Acad. Bras. Ciênc. 2000, 72, 289–290. [Google Scholar] [CrossRef]
- Freitas, E.D. Circulações Locais em São Paulo e Sua Influência Sobre a Dispersão de Poluentes. Ph.D. Thesis, Department of Atmospheric Sciences, University of São Paulo, São Paulo, Brazil, 2003; p. 165. Available online: http://www.teses.usp.br/teses/disponiveis/14/14133/tde-16032006–160700/pt-br.php (accessed on 18 January 2017).
- Freitas, E.D.; Rozoff, C.; Cotton, W.R.; Silva Dias, P.L. Interactions of urban heat island and sea breeze circulations during winter over The Metropolitan Area of São Paulo—Brazil. Bound.-Layer Meteorol. 2007, 122, 43–65. [Google Scholar] [CrossRef]
- Ferreira, M.J.; de Oliveira, A.P.; Soares, J.; Codato, G.; Bárbaro, E.W.; Escobedo, J.F. Radiation balance at the surface in the city of São Paulo, Brazil: Diurnal and seasonal variations. Theor. Appl. Climatol. 2012, 107, 229–246. [Google Scholar] [CrossRef]
- Monteiro, C.A.F. Some aspects of the urban climates of tropical South America: The Brazilian contribution. In Urban Climatology and Its Applications with Special Regard to Tropical Areas; WMO No. 652; Oke, T.R., Ed.; World Meteorological Organization: Geneva, Switzerland, 1986; pp. 166–198. [Google Scholar]
- Gonçalves, F.L.T.; Silva Dias, P.L.; Araújo, G.P. Climatological analysis of wintertime extreme low temperatures in São Paulo City, Brazil: Impact of sea-surface temperature anomalies. Int. J. Climatol. 2002, 22, 1511–1526. [Google Scholar] [CrossRef]
- Ferreira, M.J.; de Oliveira, A.P.; Soares, J. Anthropogenic heat in the city of São Paulo, Brazil. Theor. Appl. Climatol. 2011, 104, 43–56. [Google Scholar] [CrossRef]
- Ogashawara, I.; Bastos, V.D.S.B. A quantitative approach for analyzing the relationship between urban heat islands and land cover. Remote Sens. 2012, 4, 3596–3618. [Google Scholar]
- Johansson, E.; Spangenberg, J.; Gouvêa, M.L.; Freitas, E.D. Scale-integrated atmospheric simulations to assess thermal comfort in different urban tissues in the warm humid summer of São Paulo, Brazil. Urban Clim. 2013, 6, 24–43. [Google Scholar] [CrossRef]
- Araujo, R.V.; Albertini, M.R.; Costa-da-Silva, A.L.; Suesdek, L.; Franceschi, N.C.; Bastos, N.M.; Katz, G.; Cardoso, V.A.; Castro, B.C.; Capurro, M.L.; et al. São Paulo urban heat islands have a higher incidence of dengue than other urban areas. Braz. J. Infect. Dis. 2015, 19, 146–155. [Google Scholar] [CrossRef] [PubMed]
- SVMA—Municipal Secretariat for Environment, Environmental Atlas of São Paulo, São Paulo City Hall. Available online: http://atlasambiental.prefeitura.sp.gov.br/mapas/105.pdf (accessed on 3 March 2017).
- NASA LP DAAC, 2010, Combined MODIS—Land Cover Type Yearly L3 Global 500 m SIN Grid (MCD12Q1). Version 5.1. NASA EOSDIS Land Processes DAAC, USGS Earth Resources Observation and Science (EROS) Center: Sioux Falls, South Dakota. Available online: http://dx.doi.org/10.5067/modis/modis_products_table/MCD12Q1 (accessed on 3 March 2017).
- Simmons, A.J.; Poli, P.; Dee, D.P.; Berrisford, P.; Hersbach, H.; Kobayashi, S.; Peubey, C. Estimating low-frequency variability and trends in atmospheric temperature using ERA-Interim. Q. J. R. Meteorol. Soc. 2014, 140, 329–353. [Google Scholar] [CrossRef]
- Preisendorfer, R.W. Principal Component Analysis in Meteorology and Oceanography; Mobley, C.D., Ed.; Elsevier: Amsterdam, The Netherlands, 1988. [Google Scholar]
- Hannachi, A.; Jolliffe, I.T.; Stephenson, D.B. Empirical orthogonal functions and related techniques in atmospheric science: A review. Int. J. Climatol. 2007, 27, 1119–1152. [Google Scholar] [CrossRef]
- Lorenz, E.N. Empirical Orthogonal Functions and Statistical Weather Prediction; Scientific Report No. 1, Statistical Forecasting Project; Massachusetts Institute of Technology: Cambridge, MA, USA, 1956. [Google Scholar]
- Wilks, D.S. Statistical Methods in the Atmospheric Sciences; Academic Press: Amsterdam, The Netherlands, 2006; Volume 100. [Google Scholar]
- Cattell, R.B. Factor Analysis; Harper and Row: New York, NY, USA, 1952. [Google Scholar]
- Green, P. Analyzing Multivariate Data; The Dryden Press: Oak Brook, IL, USA, 1978. [Google Scholar]
- Richman, M. Rotation of Principal Components. J. Climatol. 1986, 6, 293–335. [Google Scholar] [CrossRef]
- Salles, M.A.; Canziani, P.O.; Compagnucci, R.H. The spatial and temporal behaviour of the lower stratospheric temperature over the Southern Hemisphere: The MSU view. Part II: Spatial behaviour. Int. J. Climatol. 2001, 21, 439–454. [Google Scholar] [CrossRef]
- Harman, H. Modern Factor Analysis; The University of Chicago Press: Chicago, IL, USA, 1976. [Google Scholar]
- Cattell, R.B. The Scientific Use of Factor Analysis: In Behavioral and Life Sciences; Plenum Press: New York, NY, USA; London, UK, 1978. [Google Scholar]
- Compagnucci, R.H.; Salles, M.A.; Canziani, P.O. The spatial and temporal behaviour of the lower stratospheric temperature over the Southern Hemisphere: The MSU view. Part I: Data, methodology and temporal behaviour. Int. J. Climato. 2001, 21, 419–437. [Google Scholar] [CrossRef]
- Everitt, B.S. Cluster Analysis. In Heinemann Educational Books; Academic Press: London, UK, 1993. [Google Scholar]
- Duran, B.S.; Odell, P.L. Cluster Analysis: A Survey; Volume 100 of Lecture Notes in Economics and Mathematical Systems; Springer: Berlin/Heidelberg, Germany, 1974. [Google Scholar]
- Memon, R.A.; Leung, D.Y.; Liu, C.H. An investigation of urban heat island intensity (UHII) as an indicator of urban heating. Atmos. Res. 2009, 94, 491–500. [Google Scholar] [CrossRef]
- Grimm, A.M.; Ambrizzi, T. Teleconnections into South America from the tropics and extratropics on interannual and intraseasonal timescales. In Past Climate Variability in South America and Surrounding Regions; Springer: Dordrecht, The Netherland, 2009; pp. 159–191. [Google Scholar]
- Oliveira, A.P.; Escobedo, J.F.; Machado, A.J.; Soares, J. Diurnal evolution of solar radiation at the surface in the City of São Paulo. Seasonal variation and modeling. Theor. Appl. Climatol. 2002, 71, 231–249. [Google Scholar] [CrossRef]
- Kaiser, H.F. The varimax criterion for analytic rotation in factor analysis. Psychometrika 1958, 23, 187–200. [Google Scholar] [CrossRef]
- Ward, J.H. Hierarchical grouping of otimize an objetive function. J. Am. Stat. Assoc. 1963, 58, 236–244. [Google Scholar] [CrossRef]

















(red—group 1);
(yellow—group 2);
(orange—group 3);
(green—group 4);
(purple—group 5) and
(blue—group 6).
(red—group 1);
(yellow—group 2);
(orange—group 3);
(green—group 4);
(purple—group 5) and
(blue—group 6).


© 2017 by the authors. Licensee MDPI, Basel, Switzerland. This article is an open access article distributed under the terms and conditions of the Creative Commons Attribution (CC BY) license (http://creativecommons.org/licenses/by/4.0/).
Share and Cite
Silva, F.B.; Longo, K.M.; De Andrade, F.M. Spatial and Temporal Variability Patterns of the Urban Heat Island in São Paulo. Environments 2017, 4, 27. https://doi.org/10.3390/environments4020027
Silva FB, Longo KM, De Andrade FM. Spatial and Temporal Variability Patterns of the Urban Heat Island in São Paulo. Environments. 2017; 4(2):27. https://doi.org/10.3390/environments4020027
Chicago/Turabian StyleSilva, Fernanda Batista, Karla Maria Longo, and Felipe Marques De Andrade. 2017. "Spatial and Temporal Variability Patterns of the Urban Heat Island in São Paulo" Environments 4, no. 2: 27. https://doi.org/10.3390/environments4020027
APA StyleSilva, F. B., Longo, K. M., & De Andrade, F. M. (2017). Spatial and Temporal Variability Patterns of the Urban Heat Island in São Paulo. Environments, 4(2), 27. https://doi.org/10.3390/environments4020027

