Distribution of Polybrominated Diphenyl Ethers in Sewage Sludge, Sediments, and Fish from Latvia
Abstract
:1. Introduction
2. Materials and Methods
2.1. Sample Collection
2.2. Analytical Procedures
2.2.1. Sample Preparation and Clean-Up for PBDEs Analysis
2.2.2. Instrumental Analysis and Quantification of PBDEs by GC-HRMS
2.2.3. Analysis of Dry Matter Content, Total Carbon, and Lipid Content
2.3. Data Exploration and Statistical Assessment
3. Results
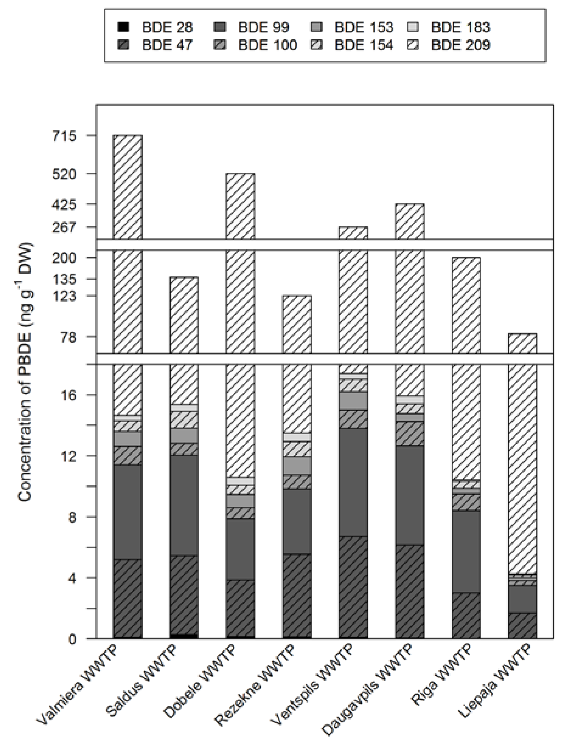
3.1. WWTP Sludge
3.2. Water and Sediments
3.3. Fish
4. Discussion
5. Conclusions
Supplementary Materials
Acknowledgments
Author Contributions
Conflicts of Interest
References
- EU. Stockholm Convention on Persistent Organic Pollutants. Adoption of Amendments to Annexes A, B, and C. UNEP/POPS/COP/SC-4/13. 2009. Available online: chm.pops.int/Portals/0/download.aspx?d=UNEP-POPS-COP.4-SC-4-13.English.pdf (accessed on 1 December 2016).
- Jones, K.C.; de Voogt, P. Persistent organic pollutants (POPs): State of the science. Environ. Pollut. 1999, 100, 209–221. [Google Scholar] [CrossRef]
- Ssebugere, P.; Sillanpaa, M.; Wang, P.; Li, Y.; Kiremire, B.T.; Kasozi, G.N.; Zhu, C.; Ren, D.; Shang, H.; Zhang, Q.; et al. Polychlorinated dibenzo-p-dioxins, polychlorinated dibenzofurans and polybrominated diphenyl ethers in sediments and fish species from the Murchison Bay of Lake Victoria, Uganda. Sci. Total Environ. 2014, 500–501, 1–10. [Google Scholar] [CrossRef] [PubMed]
- Ruiz-Fernandez, A.C.; Ontiveros-Cuadras, J.F.; Sericano, J.L.; Sanchez-Cabeza, J.A.; Liong Wee Kwong, L.; Dunbar, R.B.; Mucciarone, D.A.; Perez-Bernal, L.H.; Paez-Osuna, F. Long-range atmospheric transport of persistent organic pollutants to remote lacustrine environments. Sci. Total Environ. 2014, 493, 505–520. [Google Scholar] [CrossRef] [PubMed]
- De Wit, C.A. An overview of brominated flame retardants in the environment. Chemosphere 2002, 46, 583–624. [Google Scholar] [CrossRef]
- Cincinelli, A.; Martellini, T.; Misuri, L.; Lanciotti, E.; Sweetman, A.; Laschi, S.; Palchetti, I. PBDEs in Italian sewage sludge and environmental risk of using sewage sludge for land application. Environ. Pollut. 2012, 161, 229–234. [Google Scholar] [CrossRef] [PubMed]
- Alcock, R.E.; Sweetman, A.J.; Prevedouros, K.; Jones, K.C. Understanding levels and trends of BDE-47 in the UK and North America: An assessment of principal reservoirs and source inputs. Environ. Int. 2003, 29, 691–698. [Google Scholar] [CrossRef]
- Darnerud, P.O.; Eriksen, G.S.; Johannesson, T.; Larsen, P.B.; Viluksela, M. Polybrominated diphenyl ethers: Occurrence, dietary exposure, and toxicology. Environ. Health Perspect. 2001, 109, 49–68. [Google Scholar] [CrossRef] [PubMed]
- Gevao, B.; Muzaini, S.; Helaleh, M. Occurrence and concentrations of polybrominated diphenyl ethers in sewage sludge from three wastewater treatment plants in Kuwait. Chemosphere 2008, 71, 242–247. [Google Scholar] [CrossRef] [PubMed]
- Song, W.; Ford, J.C.; Li, A.; Mills, W.J.; Buckley, D.R.; Rockne, K.J. Polybrominated diphenyl ethers in the sediments of the Great Lakes. 1. Lake Superior. Environ. Sci. Technol. 2004, 38, 3286–3293. [Google Scholar] [CrossRef] [PubMed]
- Andersson, O.B.; Blomqvist, G. Polybrominated aromatic pollutants found in fish in Sweden. Chemosphere 1981, 10, 1051–1060. [Google Scholar] [CrossRef]
- Nouira, T.; Risso, C.; Chouba, L.; Budzinski, H.; Boussetta, H. Polychlorinated biphenyls (PCBs) and Polybrominated Diphenyl Ethers (PBDEs) in surface sediments from Monastir Bay (Tunisia, Central Mediterranean): Occurrence, distribution and seasonal variations. Chemosphere 2013, 93, 487–493. [Google Scholar] [CrossRef] [PubMed]
- Julshamn, K.; Duinker, A.; Berntssen, M.; Nilsen, B.M.; Frantzen, S.; Nedreaas, K.; Maage, A. A baseline study on levels of polychlorinated dibenzo-p-dioxins, polychlorinated dibenzofurans, non-ortho and mono-ortho PCBs, non-dioxin-like PCBs and polybrominated diphenyl ethers in Northeast Arctic cod (Gadus morhua) from different parts of the Barents Sea. Mar. Pollut. Bull. 2013, 75, 250–258. [Google Scholar] [PubMed]
- Hites, R.A. Polybrominated diphenyl ethers in the environment and in people: A meta-analysis of concentrations. Environ. Sci. Technol. 2004, 38, 945–956. [Google Scholar] [CrossRef] [PubMed]
- Wong, F.; Robson, M.; Diamond, M.L.; Harrad, S.; Truong, J. Concentrations and chiral signatures of POs in soils and sediments: A comparative urban versus rural study in Canada and UK. Chemosphere 2009, 74, 404–411. [Google Scholar] [CrossRef] [PubMed]
- Ter Schure, A.F.H.; Agrell, C.; Bokenstrand, A.; Sveder, J.; Larsson, P.; Zegers, B.N. Polybrominated diphenyl ethers at a solid waste incineration plant II: Atmospheric deposition. Atmos. Environ. 2004, 38, 5149–5155. [Google Scholar] [CrossRef]
- Covaci, A.; Harrad, S.; Abdallah, M.A.; Ali, N.; Law, R.J.; Herzke, D.; de Wit, C.A. Novel brominated flame retardants: A review of their analysis, environmental fate and behaviour. Environ. Int. 2011, 37, 532–556. [Google Scholar] [CrossRef] [PubMed]
- Binelli, A.; Provini, A. POPs in edible clams from different Italian and European markets and possible human health risk. Mar. Pollut. Bull. 2003, 46, 879–886. [Google Scholar] [PubMed]
- Thomas, G.O.; Moss, S.E.W.; Asplund, L.; Hall, A.J. Absorption of decabromodiphenyl ether and other organohalogen chemicals by grey seals (Halichoerus. grypus). Environ. Pollut. 2005, 133, 581–586. [Google Scholar] [CrossRef] [PubMed]
- Alava, J.J.; Ross, P.S.; Gobas, F.A.P.C. Food web bioaccumulation model for resident killer whales from the Northeastern Pacific Ocean as a tool for the derivation of PBDE-sediment quality guidelines. Arch. Environ. Contam. Toxicol. 2016, 70, 155–168. [Google Scholar] [CrossRef] [PubMed]
- McDonald, T.A. A perspective on the potential health risks of PBDEs. Chemosphere 2002, 46, 745–755. [Google Scholar] [CrossRef]
- Reinen, J.; Suter, M.J.; Vogeli, A.C.; Fernandez, M.F.; Kiviranta, H.; Eggen, R.I.; Vermeulen, N.P. Endocrine disrupting chemicals-Linking internal exposure to vitellogenin levels and ovotestis in Abramis brama from Dutch surface waters. Environ. Toxicol. Pharmacol. 2010, 30, 209–223. [Google Scholar] [CrossRef] [PubMed]
- Mezcua, M.; Martinez-Uroz, M.A.; Gomez-Ramos, M.M.; Gomez, M.J.; Navas, J.M.; Fernandez-Alba, A.R. Analysis of synthetic endocrine-disrupting chemicals in food: A review. Talanta 2012, 100, 90–106. [Google Scholar] [CrossRef] [PubMed]
- Branchi, I.; Capone, F.; Alleva, E.; Costa, L.G. Polybrominated diphenyl ethers: Neurobehavioral effects following developmental exposure. Neurotoxicology 2003, 24, 449–462. [Google Scholar] [CrossRef]
- Darnerud, P.O. Toxic effects of brominated flame retardants in man and in wildlife. Environ. Int. 2003, 29, 841–853. [Google Scholar] [CrossRef]
- Tseng, L.H.; Li, M.H.; Tsai, S.S.; Lee, C.W.; Pan, M.H.; Yao, W.J.; Hsu, P.C. Developmental exposure to decabromodiphenyl ether (PBDE 209): Effects on thyroid hormone and hepatic enzyme activity in male mouse offspring. Chemosphere 2008, 70, 640–647. [Google Scholar] [CrossRef]
- Albina, M.L.; Alonso, V.; Linares, V.; Belles, M.; Sirvent, J.J.; Domingo, J.L.; Sanchez, D.J. Effects of exposure to BDE-99 on oxidative status of liver and kidney in adult rats. Toxicology 2010, 271, 51–56. [Google Scholar] [CrossRef] [PubMed]
- Alonso, V.; Linares, V.; Belles, M.; Albina, M.L.; Pujol, A.; Domingo, J.L.; Sanchez, D.J. Effects of BDE-99 on hormone homeostasis and biochemical parameters in adult male rats. Food Chem. Toxicol. 2010, 48, 2206–2211. [Google Scholar] [CrossRef] [PubMed]
- Belles, M.; Alonso, V.; Linares, V.; Albina, M.L.; Sirvent, J.J.; Domingo, J.L.; Sanchez, D.J. Behavioral effects and oxidative status in brain regions of adult rats exposed to BDE-99. Toxicol. Lett. 2010, 194, 1–7. [Google Scholar] [CrossRef] [PubMed]
- Council of the European Communities (CEC). Directive 76/769/EEC of the European Parliament and of the Council of 27 July 1976 on the Approximation of the Laws, Regulations and Administrative Provisions of the Member States Relating to Restrictions on the Marketing and Use of Certain Dangerous Substances and Preparations; European Union: Brussels, Belgium, 1976. [Google Scholar]
- Council of the European Communities (CEC). Directive 2003/11/EC of the European Parliament and of the Council of 6 February 2003 Amending for the 24th Time Council Directive 76/769/EEC Relating to Restrictions on the Marketing and Use of Certain Dangerous Substances and Preparations (Pentabromodiphenyl Ether, Octabromodiphenylether); European Union: Brussels, Belgium, 2003. [Google Scholar]
- Court of Justice of the European Union (CJEU). Court Proceeding 2008/c116/02; European Union: Kirchberg, Luxembourg, 2008. [Google Scholar]
- Schuster, J.K.; Gioia, R.; Moeckel, C.; Agarwal, T.; Bucheli, T.D.; Breivik, K.; Steinnes, E.; Jones, K.C. Has the burden and distribution of PCBs and PBDEs changed in European background soils between 1998 and 2008? Implications for sources and processes. Environ. Sci. Technol. 2011, 45, 7291–7297. [Google Scholar] [CrossRef] [PubMed]
- Olofsson, U.; Bignert, A.; Haglund, P. Time-trends of metals and organic contaminants in sewage sludge. Water Res. 2012, 46, 4841–4851. [Google Scholar] [CrossRef] [PubMed]
- Munschy, C.; Heas-Moisan, K.; Tixier, C.; Olivier, N.; Gastineau, O.; Le Bayon, N.; Buchet, V. Dietary exposure of juvenile common sole (Solea solea L.) to polybrominated diphenyl ethers (PBDEs): Part 1. Bioaccumulation and elimination kinetics of individual congeners and their debrominated metabolites. Environ. Pollut. 2011, 159, 229–237. [Google Scholar] [CrossRef] [PubMed]
- Echols, K.R.; Peterman, P.H.; Hinck, J.E.; Orazio, C.E. Polybrominated diphenyl ether metabolism in field collected fish from the Gila River, Arizona, USA—Levels, possible sources, and patterns. Chemosphere 2013, 90, 20–27. [Google Scholar] [CrossRef] [PubMed]
- Josefsson, S.; Leonardsson, K.; Gunnarsson, J.S.; Wiberg, K. Bioturbation-driven release of buried PCBs and PBDEs from different depths in contaminated sediments. Environ. Sci. Technol. 2010, 44, 7456–7464. [Google Scholar] [CrossRef] [PubMed]
- Zacs, D.; Rjabova, J.; Viksna, A.; Bartkevics, V. Method development for the simultaneous determination of polybrominated, polychlorinated, mixed polybrominated/chlorinated dibenzo-p-dioxins and dibenzofurans, polychlorinated biphenyls and polybrominated diphenyl ethers in fish. Chemosphere 2015, 118, 72–80. [Google Scholar] [CrossRef] [PubMed]
- Hamm, S. Polybrominated diphenyl ethers in sewage sludge and effluents of sewage plants from a central region of Germany. Organohalog. Compd. 2004, 66, 1629–1634. [Google Scholar]
- Fabrellas, B.; Larrazabali, D.; Martinez, M.A.; Eljarat, E.; Barcelo, D. Presence of polybrominated diphenylethers in Spanish sewage sludges: Important contribution of deca-BDE. Organohalog. Compd. 2004, 66, 3755–3760. [Google Scholar]
- Chen, L.; Huang, Y.; Peng, X.; Xu, Z.; Zhang, S.; Ren, M.; Ye, Z.; Wang, X. PBDEs in sediments of the Beijiang River, China: Levels, distribution, and influence of total organic carbon. Chemosphere 2009, 76, 226–231. [Google Scholar] [CrossRef] [PubMed]
- Zhou, P.; Lin, K.; Zhou, X.; Zhang, W.; Huang, K.; Liu, L.; Guo, J.; Xu, F. Distribution of polybrominated diphenyl ethers in the surface sediments of the Taihu Lake, China. Chemosphere 2012, 88, 1375–1382. [Google Scholar] [CrossRef] [PubMed]
- Shanmuganathan, D.; Megharaj, M.; Chen, Z.; Naidu, R. Polybrominated diphenyl ethers (PBDEs) in marine foodstuffs in Australia: Residue levels and contamination status of PBDEs. Mar. Pollut. Bull. 2011, 63, 154–159. [Google Scholar] [CrossRef] [PubMed]
- Mackintosh, S.A.; Wallace, J.S.; Gross, M.S.; Navarro, D.D.; Pérez-Fuentetaja, A.; Alaee, M.; Montecastro, D.; Aga, D.S. Review on the occurrence and profiles of polybrominated diphenyl ethers in Philippines. Environ. Int. 2015, 85, 314–326. [Google Scholar] [CrossRef] [PubMed]
- Ondarza, P.M.; Gonzalez, M.; Fillmann, G.; Miglioranza, K.S. Polybrominated diphenyl ethers and organochlorine compound levels in brown trout (Salmo trutta) from Andean Patagonia, Argentina. Chemosphere 2011, 83, 1597–1602. [Google Scholar] [CrossRef] [PubMed]
- Bertelsen, S.L.; Hoffman, A.D.; Gallinat, C.A.; Elonen, C.M.; Nichols, J.W. Evaluation of log KOW and tissue lipid content as predictors of chemical partitioning to fish tissue. Environ. Toxicol. Chem. 1998, 17, 1447–1455. [Google Scholar] [CrossRef]
- Knoth, W.; Mann, W.; Meyer, R.; Nebhuth, J. Polybrominated diphenyl ether in sewage sludge in Germany. Chemosphere 2007, 67, 1831–1837. [Google Scholar] [CrossRef] [PubMed]
- Li, Y.; Zhou, Q.; Wang, Y.; Xie, X. Fate of tetrabromobisphenol A and hexabromocyclododecane brominated flame retardants in soil and uptake by plants. Chemosphere 2011, 82, 204–209. [Google Scholar] [CrossRef] [PubMed]
- Zhao, M.; Zhang, S.; Wang, S.; Huang, H. Uptake, translocation, and debromination of polybrominated diphenyl ethers in maize. J. Environ. Sci. 2012, 24, 402–409. [Google Scholar] [CrossRef]





| WWTP | Population, Inhabitants | Treatment, m3/Day | Waste Water Type |
|---|---|---|---|
| Riga WWTP | 696,593 | 350,000 | Municipal and industrial waste water |
| Daugavpils WWTP | 96,028 | 12,600 | Municipal and manufacturing waste water, rain water |
| Liepaja WWTP | 78,413 | 18,400 | Municipal waste water, manufacturing and industrial waste water |
| Ventspils WWTP | 40,057 | 19,200 | Municipal and manufacturing waste water |
| Rezekne WWTP | 31,591 | 5600 | Municipal waste water and bio-toilets, manufacturing and industrial waste water |
| Valmiera WWTP | 25,318 | 5000 | Municipal waste water |
| Saldus WWTP | 11,625 | 2900 | Municipal waste water only |
| Dobele WWTP | 10,231 | 3500 | Industrial and municipal waste water |
| Name | Type | Coordinates WGS84 | Mean Depth, m | Length, km | Surface Area, ha | Biota Sampled | Sediments DM (%) OC (%) | |
|---|---|---|---|---|---|---|---|---|
| Salaca | river | 57.756183, 24.351069 | 0.15 | 95 | NA | Yes | 61.1 | 1.88 |
| Mazsalaca | river | 57.857745, 25.051484 | 0.15 | 95 | NA | Yes | 80.0 | 0.17 |
| Pedele | river | 57.778913, 26.024400 | 0.3 | 31 | NA | No | 81.3 | 0.16 |
| Gauja | river | 57.160162, 24.265724 | 2.0 | 452 | NA | Yes | 68.0 | 0.47 |
| Abuls | river | 57.549172, 25.680512 | 0.4 | 52 | NA | No | 58.9 | 1.92 |
| Dūņezers | lake | 57.150275, 24.358443 | 1.1 | NA | 145.6 | Yes | 17.6 | 18.9 |
| Burtnieks | lake | 57.740413, 25.241186 | 2.9 | NA | 4006.0 | Yes | 14.0 | 10.5 |
| Murāts | lake | 57.575807, 27.085749 | 2.2 | NA | 77.5 | Yes | 15,2 | 14.7 |
| Juveris | lake | 57.218670, 25.676606 | 8.5 | NA | 77.5 | Yes | 16.4 | 11.2 |
| Lizdoles | lake | 57.293444, 25.838392 | 4.4 | NA | 53.9 | Yes | 8.8 | 15.7 |
| Trikātas | lake | 57.541006, 25.714902 | 1.8 | NA | 13.0 | Yes | 8.1 | 10.5 |
| Alauksts | lake | 57.091547, 25.774342 | 3.3 | NA | 774.8 | No | 7.0 | 16.4 |
| Limbažu | lake | 57.486541, 24.699041 | 3.8 | NA | 24.8 | Yes | 47.2 | 15.4 |
| Sludge | BDE 28 | BDE 47 | BDE 99 | BDE 100 | BDE 153 | BDE 154 | BDE 183 | BDE 209 | ∑7PBDE | BDE 209 6 WWTPs 1 | DM 2 | |
|---|---|---|---|---|---|---|---|---|---|---|---|---|
| BDE 28 | 1.00 | −0.50 | −0.20 | −0.86 | 0.31 | 0.63 | 0.14 | −0.44 | −0.32 | 0.25 | −0.39 | R |
| BDE 47 | 0.3172 | 1.00 | 0.82 | 0.72 | 0.74 | 0.78 | 0.72 | 0.25 | 0.97 | 0.45 | −0.55 | |
| BDE 99 | 0.7065 | 0.0121 | 1.00 | 0.78 | 0.51 | 0.64 | 0.39 | 0.31 | 0.93 | 0.42 | −0.38 | |
| BDE 100 | 0.0263 | 0.0455 | 0.0217 | 1.00 | 0.20 | 0.28 | 0.35 | 0.47 | 0.75 | 0.42 | −0.19 | |
| BDE 153 | 0.5495 | 0.0370 | 0.2013 | 0.6338 | 1.00 | 0.85 | 0.71 | 0.19 | 0.72 | 0.59 | −0.74 | |
| BDE 154 | 0.1808 | 0.0234 | 0.0887 | 0.4967 | 0.0074 | 1.00 | 0.74 | −0.03 | 0.80 | 0.60 | −0.73 | |
| BDE 183 | 0.7874 | 0.0450 | 0.3415 | 0.3899 | 0.0491 | 0.0356 | 1.00 | 0.31 | 0.65 | 0.69 | −0.73 | |
| BDE 209 | 0.3796 | 0.5518 | 0.4547 | 0.2435 | 0.6458 | 0.9394 | 0.4613 | 1.00 | 0.30 | − | −0.48 | |
| ∑7PBDE | 0.5378 | <0.0001 | 0.0008 | 0.0312 | 0.0449 | 0.0179 | 0.0792 | 0.4693 | 1.00 | 0.50 | −0.56 | |
| BDE 209 6WWTPs 1 | 0.7531 | 0.3667 | 0.4048 | 0.4099 | 0.2187 | 0.2035 | 0.1293 | - | 0.3084 | 1.00 | −0.98 | |
| DM2 | 0.4495 | 0.1606 | 0.3550 | 0.6557 | 0.0355 | 0.0391 | 0.0417 | 0.2256 | 0.1509 | 0.0008 | 1.00 | |
| p | ||||||||||||
| Sediments | BDE 28 | BDE 47 | BDE 99 | BDE 100 | BDE 153 | BDE 154 | BDE 183 | DW 1 | ∑7PBDE | TOC 2 | |
|---|---|---|---|---|---|---|---|---|---|---|---|
| BDE 28 | 1.00 | −0.15 | −0.04 | 0.10 | 0.12 | −0.16 | −0.01 | 0.07 | −0.07 | 0.36 | R |
| BDE 47 | 0.6352 | 1.00 | 0.96 | 0.77 | 0.82 | 0.78 | 0.79 | −0.74 | 0.98 | 0.57 | |
| BDE 99 | 0.9065 | <0.0001 | 1.00 | 0.88 | 0.84 | 0.67 | 0.70 | −0.67 | 0.94 | 0.51 | |
| BDE 100 | 0.7358 | 0.0021 | <0.0001 | 1.00 | 0.75 | 0.61 | 0.63 | −0.52 | 0.77 | 0.42 | |
| BDE 153 | 0.6871 | 0.0006 | 0.0003 | 0.0034 | 1.00 | 0.43 | 0.44 | −0.37 | 0.78 | 0.34 | |
| BDE 154 | 0.6048 | 0.0015 | 0.0128 | 0.0274 | 0.1440 | 1.00 | 0.98 | −0.80 | 0.83 | 0.70 | |
| BDE 183 | 0.9677 | 0.0013 | 0.0083 | 0.0201 | 0.1279 | <0.0001 | 1.00 | −0.84 | 0.85 | 0.80 | |
| DW 1 | 0.8080 | 0.0036 | 0.0122 | 0.0682 | 0.2174 | 0.0011 | 0.0004 | 1.00 | −0.82 | −0.86 | |
| ∑7PBDE | 0.8104 | <0.0001 | <0.0001 | 0.0022 | 0.0017 | 0.0005 | 0.0003 | 0.0006 | 1.00 | 0.68 | |
| TOC 2 | 0.2335 | 0.0426 | 0.0778 | 0.1580 | 0.2519 | 0.0077 | 0.0011 | 0.0002 | 0.0107 | 1.00 | |
| p | |||||||||||
| Fish | BDE 28 | BDE 47 | BDE 99 | BDE 100 | BDE 153 | BDE 154 | BDE 183 | BDE 209 | ∑7PBDE | Lipids (%) | |
|---|---|---|---|---|---|---|---|---|---|---|---|
| BDE 28 | 1.00 | 0.96 | 0.80 | 0.91 | 0.84 | 0.97 | 0.62 | 0.15 | 0.93 | 0.24 | R |
| BDE 47 | <0.0001 | 1.00 | 0.92 | 0.98 | 0.94 | 0.99 | 0.52 | 0.11 | 0.99 | 0.06 | |
| BDE 99 | 0.0060 | 0.0002 | 1.00 | 0.92 | 0.96 | 0.90 | 0.40 | 0.03 | 0.95 | −0.22 | |
| BDE 100 | 0.0003 | <0.0001 | 0.0002 | 1.00 | 0.97 | 0.98 | 0.45 | 0.08 | 0.98 | −0.03 | |
| BDE 153 | 0.0024 | <0.0001 | <0.0001 | <0.0001 | 1.00 | 0.95 | 0.44 | 0.02 | 0.97 | −0.09 | |
| BDE 154 | <0.0001 | <0.0001 | 0.0003 | <0.0001 | <0.0001 | 1.00 | 0.55 | 0.11 | 0.99 | 0.10 | |
| BDE 183 | 0.0574 | 0.1271 | 0.2558 | 0.1921 | 0.2017 | 0.0995 | 1.00 | 0.00 | 0.49 | 0.46 | |
| BDE 209 | 0.6694 | 0.7670 | 0.9373 | 0.8186 | 0.9489 | 0.7712 | 0.9963 | 1.00 | 0.09 | 0.23 | |
| ∑7PBDE | 0.0001 | <0.0001 | <0.0001 | <0.0001 | <0.0001 | <0.0001 | 0.1497 | 0.8146 | 1.00 | −0.01 | |
| Lipids (%) | 0.4965 | 0.8612 | 0.5478 | 0.9336 | 0.8135 | 0.7747 | 0.1803 | 0.5147 | 0.9729 | 1.00 | |
| p | |||||||||||
© 2017 by the authors. Licensee MDPI, Basel, Switzerland. This article is an open access article distributed under the terms and conditions of the Creative Commons Attribution (CC BY) license ( http://creativecommons.org/licenses/by/4.0/).
Share and Cite
Aigars, J.; Suhareva, N.; Poikane, R. Distribution of Polybrominated Diphenyl Ethers in Sewage Sludge, Sediments, and Fish from Latvia. Environments 2017, 4, 12. https://doi.org/10.3390/environments4010012
Aigars J, Suhareva N, Poikane R. Distribution of Polybrominated Diphenyl Ethers in Sewage Sludge, Sediments, and Fish from Latvia. Environments. 2017; 4(1):12. https://doi.org/10.3390/environments4010012
Chicago/Turabian StyleAigars, Juris, Natalija Suhareva, and Rita Poikane. 2017. "Distribution of Polybrominated Diphenyl Ethers in Sewage Sludge, Sediments, and Fish from Latvia" Environments 4, no. 1: 12. https://doi.org/10.3390/environments4010012
APA StyleAigars, J., Suhareva, N., & Poikane, R. (2017). Distribution of Polybrominated Diphenyl Ethers in Sewage Sludge, Sediments, and Fish from Latvia. Environments, 4(1), 12. https://doi.org/10.3390/environments4010012
