Evaluation of Organic Matter Removal Efficiency and Microbial Enzyme Activity in Vertical-Flow Constructed Wetland Systems
Abstract
:1. Introduction
2. Materials and Methods
2.1. Wetland Design
2.2. Operation and Monitoring
2.3. Water Sampling and Chemical Analysis
2.4. Statistical Analysis
3. Results and Discussion
3.1. Removal Efficiency of COD in Vertical Flow Constructed Wetlands
3.2. Variation of Dissolved Oxygen (DO) in Vertical Flow Constructed Wetlands
3.3. The Changes of Organic Matter in Wetland Systems
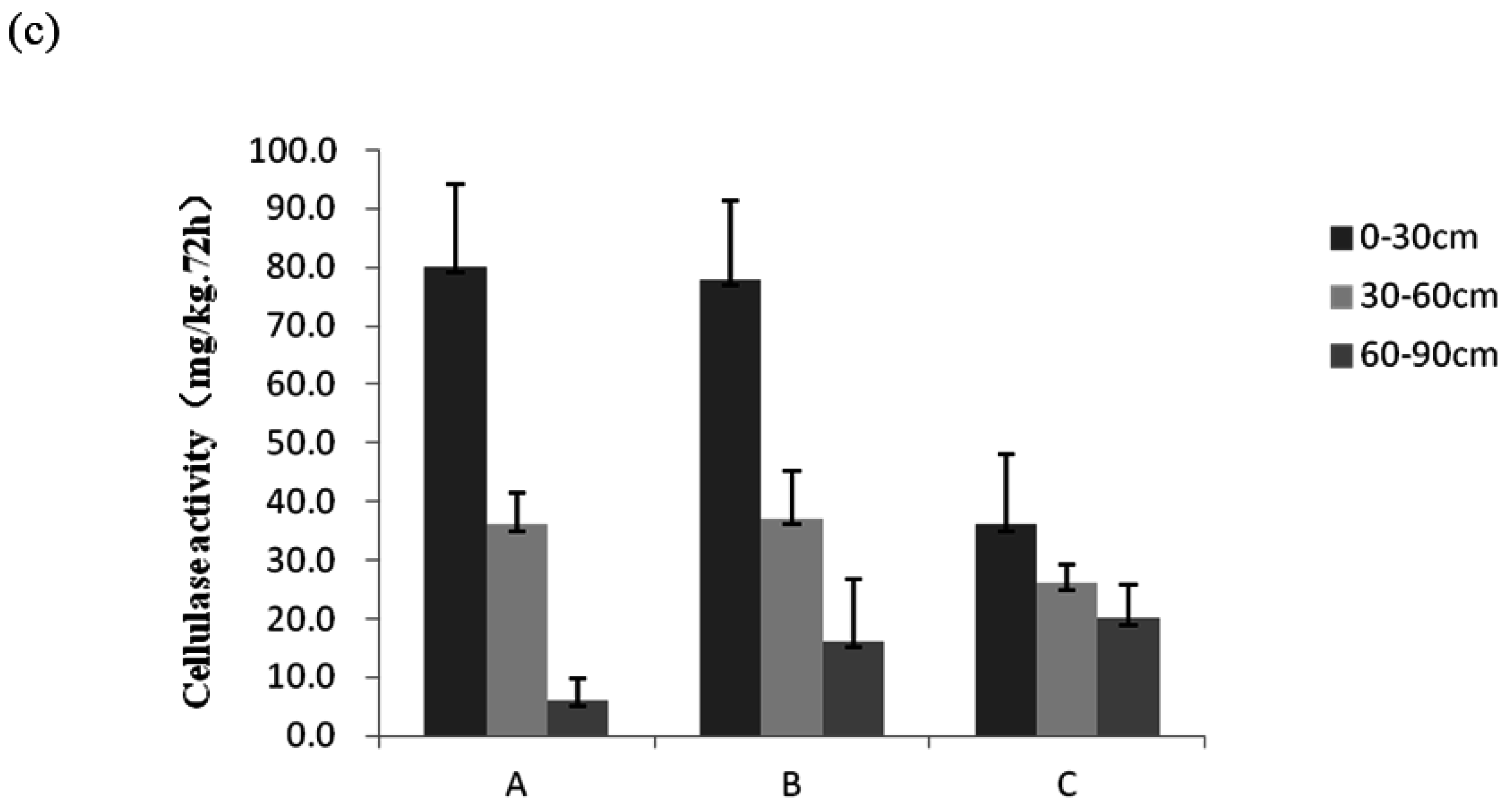
3.4. Enzyme Activity in Constructed Wetland Systems
3.5. The Relationship between Enzyme Activity and COD Removal
4. Conclusions
Acknowledgments
Author Contributions
Conflicts of Interest
References
- Cui, L.H.; Ouyang, Y.; Lou, Q.; Yang, F.L.; Chen, Y.; Zhu, W.L.; Luo, S.M. Removal of nutrients from wastewater with Canna indica L. under different vertical-flow constructed wetland conditions. Ecol. Eng. 2010, 36, 1083–1088. [Google Scholar] [CrossRef]
- Vymazal, J. Horizontal sub-surface flow and hybrid constructed wetlands systems for wastewater treatment. Ecol. Eng. 2009, 25, 478–490. [Google Scholar] [CrossRef]
- Liu, W.; Dahab, M.F.; Surampalli, R.Y. Nitrogen transformations modeling in subsurface-flow constructed wetlands. Water Environ. Res. 2005, 77, 246–258. [Google Scholar] [CrossRef] [PubMed]
- Tang, X.; Huang, S.; Scholz, M.; Li, J.Z. Nutrient removal in vertical subsurface flow constructed wetlands treating eutrophic river water. Int. J. Environ. Anal. Chem. 2011, 91, 727–739. [Google Scholar] [CrossRef]
- Cooper, P. The performance of vertical flow constructed wetland systems with special reference to the significance of oxygen transfer and hydraulic loading rates. Water Sci. Technol. 2005, 51, 81–90. [Google Scholar] [PubMed]
- Zhao, Y.J.; Zhang, H.; Chao, X.; Nie, E.; Li, H.J.; He, J.; Zheng, Z. Efficiency of two-stage combinations of subsurface vertical down-flow and up-flow constructed wetland systems for treating variation in influent C/N ratios of domestic wastewater. Ecol. Eng. 2011, 37, 1546–1554. [Google Scholar] [CrossRef]
- Tanner, C.C.; Sukias, J.P. Accumulation of organic solids in gravel-bed constructed wetlands. Water Sci. Technol. 1995, 32, 229–239. [Google Scholar] [CrossRef]
- Fu, G.P.; Zhang, J.H.; Chen, W.; Chen, Z.R. Medium clogging and the dynamics of organic matter accumulation in constructed wetlands. Ecol. Eng. 2013, 60, 393–398. [Google Scholar] [CrossRef]
- Brix, H. Do macrophytes play a role in constructed treatment wetlands? Water Sci. Technol. 1997, 35, 11–17. [Google Scholar] [CrossRef]
- Wang, S.; Xu, Z.X.; Li, H.Z.; Zhou, D.X. Effect of plant tillering and root development on hydrodynamics and wastewater purification of vertical down flow wetlands. J. Tongji Univ. (Nat. Sci.) 2008, 36, 519–524. [Google Scholar]
- Zhang, C.B.; Wang, J.; Liu, W.L.; Zhu, S.X.; Ge, H.L.; Chang, J.; Ge, Y. Effects of plant diversity on microbial biomass and community metabolic profiles in a full-scale constructed wetland. Ecol. Eng. 2010, 36, 62–68. [Google Scholar] [CrossRef]
- Cui, L.H.; Ouyang, Y.; Chen, Y.; Zhu, X.Z.; Zhu, W.L. Removal of total nitrogen by Cyperus alternifolius from wastewaters in simulated vertical-flow constructed wetlands. Ecol. Eng. 2009, 35, 1271–1274. [Google Scholar] [CrossRef]
- Cui, L.H.; Zhu, X.Z.; Ouyang, Y.; Chen, Y.; Yang, F.L. Total phosphorus removal from domestic wastewater with cyperus alternifolius in vertical-flow constructed wetland wetlands at the microcosm level. Int. J. Phytoremediation 2011, 13, 692–701. [Google Scholar] [CrossRef] [PubMed]
- Korkusuz, E.A.; Beklioğlu, M.; Demirer, G.N. Comparison of the treatment performances of blast furnace slag-based and gravel-based vertical flow wetlands operated identically for domestic wastewater treatment in Turkey. Ecol. Eng. 2005, 24, 187–200. [Google Scholar] [CrossRef]
- Gersberg, R.M.; Elkins, B.V.; Lyon, S.R.; Goldman, C.R. Role of Role of aquatic plants in wastewater treatment by artificial wetlands. Water Res. 1986, 20, 363–368. [Google Scholar] [CrossRef]
- Hoppe, H.G.; Emerick, L.C.; Gocke, K. Microbial decomposition in aquatic environments: Combined processes of extra cellular activity and substrate uptake. Appl. Environ. Microbiol. 1988, 54, 784–790. [Google Scholar] [PubMed]
- Savin, M.C.; Amador, L.A. Biodegradation of norflurazon in a bog soil. Soil Biol. Biochem. 1998, 30, 275–284. [Google Scholar] [CrossRef]
- Corbitt, A.; Bowen, P.T. Constructed wetlands for wastewater treatment. In Applied Wetlands Science and Technology; Ke, D.M., Ed.; Lewis Publishers: Boca Raton, FL, USA, 1994; pp. 221–241. [Google Scholar]
- Bachand, P.A.M.; Home, A.J. Denitrification in constructed free-water surface wetlands: I. Very high nitrate removal rates in a macrocosm study. Ecol. Eng. 2000, 14, 9–15. [Google Scholar] [CrossRef]
- Stottmeister, U.; Wießner, A.; Kuschk, P.; Kappelmeyer, U.; Kästner, M.; Bederski, O.; Müller, R.A. Effects of plants and microorganisms in constructed wetlands for wastewater treatment. Biotechnol. Adv. 2003, 22, 93–117. [Google Scholar] [CrossRef] [PubMed]
- National Environmental Protection Agency Water and Wastewater Monitoring Analysis Method Editorial Board. Water and Wastewater Monitoring Analysis Method, 3rd ed.China Environmental Science Press: Beijing, China, 1989.
- Bao, S.D. Agricultural Soil Analysis, 3rd ed.; China Agriculture Press: Beijing, China, 1981. [Google Scholar]
- Zhang, J.; Shao, W.S.; He, M.; Hu, H.Y.; Gao, B.Y. Treatment performance and enhancement of subsurface constructed wetland treating polluted river water in winter. Environ. Sci. 2006, 27, 1560–1564. (In Chinese) [Google Scholar]
- Fan, J.L.; Liang, S.; Zhang, B.; Zhang, J. Enhanced organics and nitrogen removal in batch-operated vertical flow constructed wetlands by combination of intermittent aeration and step feeding strategy. Environ. Sci. Pollut. Res. 2013, 20, 2448–2455. [Google Scholar] [CrossRef] [PubMed]
- Torrens, A.; Molle, P.; Boutin, C.; Salgot, M. Impact of design and operation variables on the performance of vertical-flow constructed wetlands and intermittent sand filters treating pond effluent. Water Res. 2009, 43, 1851–1858. [Google Scholar] [CrossRef] [PubMed]
- Sani, A.; Scholz, M.; Babatunde, A.; Wang, Y. Impact of Water Quality Parameters on the Clogging of Vertical-Flow Constructed Wetlands Treating Urban Wastewater. Water Air Soil Pollut. 2013, 224, 1488. [Google Scholar] [CrossRef]
- Wang, S.H. Artificial Wetland Sewage Treatment Theory and Technology; Science Press: Beijing, China, 2007. [Google Scholar]
- Nikolausz, M.; Kappelmeyer, U.; Székely, A.; Rusznyák, A.; Márialigeti, K. Diurnal redox fluctuation and microbial activityin the rhizosphere of wetland plants. Eur. J. Soil Biol. 2008, 44, 324–333. [Google Scholar] [CrossRef]
- Brisson, J.; Chazarenc, F. Maxinizing pollutant removal in constructed wetlands: Should we pay more attention to macrophyte species selection? Sci. Total Environ. 2009, 407, 3923–3930. [Google Scholar] [CrossRef] [PubMed]
- Cui, L.H.; Ouyang, Y.; Gu, W.J.; Yang, W.Z.; Xu, Q.L. Evaluation of nutrient removal efficiency and microbial enzyme activity in a baffled subsurface-flow constructed wetland system. Bioresour. Technol. 2013, 146, 656–662. [Google Scholar] [CrossRef] [PubMed]
- Shackle, V.J.; Freeman, C.; Reynolds, B. Carbon supply and the regulation of enzyme activity in constructed wetlands. Soil Biol. Biochem. 2000, 32, 1935–1940. [Google Scholar] [CrossRef]
- Sangave, P.C.; Pandit, A.B. Ultrasound and enzyme assisted biodegradation of distillery wastewater. J. Environ. Manag. 2006, 80, 36–46. [Google Scholar] [CrossRef] [PubMed]






| Parameters | pH | TN (mg/L) | TP (mg/L) | COD (mg/L) | DO (mg/L) |
|---|---|---|---|---|---|
| Variation range | 6.39–6.7 | 30–50 | 3–5 | 235–359 | 4–6 |
| Average value | / | 40 | 4 | 330 | / |
| Urease | Phosphatase | Cellulase | COD | |
|---|---|---|---|---|
| Urease (NH3-N mg/kg·24 h) | 1 | 0.824 ** | 0.762 *. | 0.815 ** |
| Phosphatase (mg/kg·24 h) | 0.824 ** | 1 | 0.968 ** | 0.961 ** |
| Cellulose (mg/kg·72 h) | 0.762 * | 0.968 ** | 1 | 0.973 ** |
| COD (%) | 0.815 ** | 0.961 ** | 0.973 ** | 1 |
© 2016 by the authors; licensee MDPI, Basel, Switzerland. This article is an open access article distributed under the terms and conditions of the Creative Commons Attribution (CC-BY) license (http://creativecommons.org/licenses/by/4.0/).
Share and Cite
Xu, Q.; Chen, S.; Huang, Z.; Cui, L.; Wang, X. Evaluation of Organic Matter Removal Efficiency and Microbial Enzyme Activity in Vertical-Flow Constructed Wetland Systems. Environments 2016, 3, 26. https://doi.org/10.3390/environments3040026
Xu Q, Chen S, Huang Z, Cui L, Wang X. Evaluation of Organic Matter Removal Efficiency and Microbial Enzyme Activity in Vertical-Flow Constructed Wetland Systems. Environments. 2016; 3(4):26. https://doi.org/10.3390/environments3040026
Chicago/Turabian StyleXu, Qiaoling, Shuona Chen, Zhujian Huang, Lihua Cui, and Xiaomao Wang. 2016. "Evaluation of Organic Matter Removal Efficiency and Microbial Enzyme Activity in Vertical-Flow Constructed Wetland Systems" Environments 3, no. 4: 26. https://doi.org/10.3390/environments3040026
APA StyleXu, Q., Chen, S., Huang, Z., Cui, L., & Wang, X. (2016). Evaluation of Organic Matter Removal Efficiency and Microbial Enzyme Activity in Vertical-Flow Constructed Wetland Systems. Environments, 3(4), 26. https://doi.org/10.3390/environments3040026
