Study of Reedbed System Planted with Phragmites australis for the Treatment of Groundwater Contaminated with 1,2-Dichloroethane (1,2-DCA) and Its Microbial Analysis at a Former Industrial Plant
Abstract
1. Introduction
2. Materials and Methods
2.1. Site Description
2.2. Groundwater Sampling & Analysis
2.3. Natural Attenuation Analysis
2.4. Microbial Community Assessment
2.5. Heatmap and Unweighted Pair Group Method with Arithmetic Mean (UPGMA) Analysis
3. Results
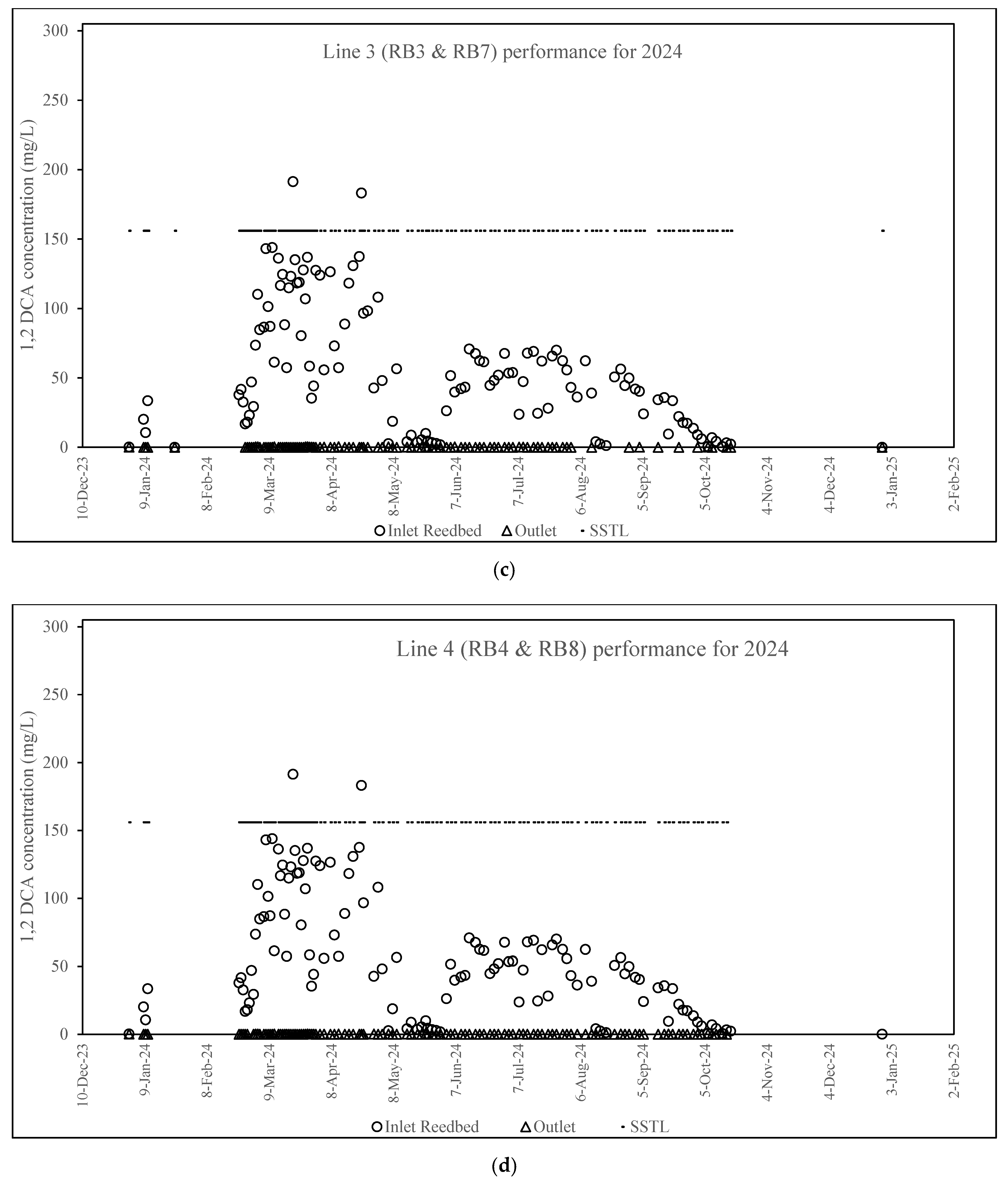
3.1. Performance of the Reedbed System
3.2. Natural Attenuation of 1,2 DCA in Groundwater
3.3. Overall Microbial Community Assessment for Groundwater
3.4. Overall Microbial Community Assessment for Reedbed Soil
3.5. Heatmap Analysis
3.6. Unweighted Pair Group Method with Arithmetic Mean (UPGMA) Analysis
4. Discussions
5. Conclusions
Author Contributions
Funding
Data Availability Statement
Acknowledgments
Conflicts of Interest
References
- Wang, D.; Ma, J.; Li, H.; Zhang, X. Concentration and Potential Ecological Risk of PAHs in Different Layers of Soil in the Petroleum-Contaminated Areas of the Loess Plateau, China. Int. J. Environ. Res. Public Health 2018, 15, 1785. [Google Scholar] [CrossRef]
- Cai, Y.; Wang, R.; Rao, P.; Wu, B.; Yan, L.; Hu, L.; Park, S.; Ryu, M.; Zhou, X. Bioremediation of Petroleum Hydrocarbons Using Acinetobacter Sp. SCYY-5 Isolated from Contaminated Oil Sludge: Strategy and Effectiveness Study. Int. J. Environ. Res. Public Health 2021, 18, 819. [Google Scholar] [CrossRef] [PubMed]
- Xie, W.; Zhang, Y.; Li, R.; Yang, H.; Wu, T.; Zhao, L.; Lu, Z. The Responses of Two Native Plant Species to Soil Petroleum Contamination in the Yellow River Delta, China. Environ. Sci. Pollut. Res. 2017, 24, 24438–24446. [Google Scholar] [CrossRef] [PubMed]
- Muyoma, W.; Ododkuma, L.; Ibisime, E.; Ramkat, R. Oil-Gas and Environmental Nexus: Impact of Human Actions on Selected Soil Physicochemical Parameters in Port Harcourt and Its Environment, Nigeria. J. Appl. Sci. Environ. Manag. 2019, 22, 1863. [Google Scholar] [CrossRef]
- Abd-Elaty, I.; Pugliese, L.; Zelenakova, M.; Mesaros, P.; Shinawi, A. El Simulation-Based Solutions Reducing Soil and Groundwater Contamination from Fertilizers in Arid and Semi-Arid Regions: Case Study the Eastern Nile Delta, Egypt. Int. J. Environ. Res. Public Health 2020, 17, 9373. [Google Scholar] [CrossRef]
- Alquwaizany, A.S.; Alfadul, S.M.; Khan, M.A.; Alabdulaaly, A.I. Occurrence of Organic Compounds in Groundwater of Saudi Arabia. Environ. Monit. Assess. 2019, 191, 601. [Google Scholar] [CrossRef]
- Fonkwe, M.L.D.; Trapp, S. Analyzing Tree Cores to Detect Petroleum Hydrocarbon-Contaminated Groundwater at a Former Landfill Site in the Community of Happy Valley-Goose Bay, Eastern Canadian Subarctic. Environ. Sci. Pollut. Res. 2016, 23, 16137–16151. [Google Scholar] [CrossRef]
- Park, J.J.; Kim, H.J. Use of a Forensic Geochemical Technique and a Hydrogeological Assessment to Determine the Source of Petroleum Hydrocarbon Contamination at a Foreshore Site in Korea. Environ. Earth Sci. 2018, 77, 742. [Google Scholar] [CrossRef]
- Herman, J.P.; Redfern, L.; Teaf, C.; Covert, D.; Michael, P.R.; Missimer, T.M. Cumene Contamination in Groundwater: Observed Concentrations, Evaluation of Remediation by Sulfate Enhanced Bioremediation (SEB), and Public Health Issues. Int. J. Environ. Res. Public Health 2020, 17, 8380. [Google Scholar] [CrossRef]
- Rezaei, A.; Hassani, H.; Hayati, M.; Jabbari, N.; Barzegar, R. Risk Assessment and Ranking of Heavy Metals Concentration in Iran’s Rayen Groundwater Basin Using Linear Assignment Method. Stoch. Environ. Res. Risk Assess. 2018, 32, 1317–1336. [Google Scholar] [CrossRef]
- Bruckberger, M.C.; Morgan, M.J.; Walsh, T.; Bastow, T.P.; Prommer, H.; Mukhopadhyay, A.; Kaksonen, A.H.; Davis, G.; Puzon, G.J. Biodegradability of Legacy Crude Oil Contamination in Gulf War Damaged Groundwater Wells in Northern Kuwait. Biodegradation 2019, 30, 71–85. [Google Scholar] [CrossRef] [PubMed]
- Syed, I.; Ray, S.D. Dichloroethane, 1,2-. In Encyclopedia of Toxicology, 3rd ed.; Elsvier: Amsterdam, The Netherlands, 2014; pp. 86–89. [Google Scholar] [CrossRef]
- Boudewijns, T.; Piccinini, M.; Degraeve, P.; Liebens, A.; De Vos, D. Pathway to Vinyl Chloride Production via Dehydrochlorination of 1,2-Dichloroethane in Ionic Liquid Media. ACS Catal. 2015, 5, 4043–4047. [Google Scholar] [CrossRef]
- Al-Baldawi, I.A. Removal of 1,2-Dichloroethane from Real Industrial Wastewater Using a Sub-Surface Batch System with Typha Angustifolia L. Ecotoxicol. Environ. Saf. 2018, 147, 260–265. [Google Scholar] [CrossRef] [PubMed]
- Nobre, R.C.M.; Nobre, M.M.M.; Campos, T.M.P.; Ogles, D. In-Situ Biodegradation Potential of 1,2-DCA and VC at Sites with Different Hydrogeological Settings. J. Hazard. Mater. 2017, 340, 417–426. [Google Scholar] [CrossRef]
- Mena-Benitez, G.L.; Gandia-Herrero, F.; Graham, S.; Larson, T.R.; McQueen-Mason, S.J.; French, C.E.; Rylott, E.L.; Bruce, N.C. Engineering a Catabolic Pathway in Plants for the Degradation of 1,2-Dichloroethane. Plant Physiol. 2008, 147, 1192–1198. [Google Scholar] [CrossRef]
- Ahmad, J.; Abdullah, S.R.S.; Hasan, H.A.; Othman, A.R.; Kurniawan, S.B. Effect of Ludwigia Octovalvis Biomass Ratio on Hydrocarbon Phytotoxicity. J. Water Process Eng. 2024, 60, 105177. [Google Scholar] [CrossRef]
- Ahmad, J.; Marsidi, N.; Sheikh Abdullah, S.R.; Hasan, H.A.; Othman, A.R.; Ismail, N.I.; Kurniawan, S.B. Integrating Phytoremediation and Mycoremediation with Biosurfactant-Producing Fungi for Hydrocarbon Removal and the Potential Production of Secondary Resources. Chemosphere 2024, 349, 140881. [Google Scholar] [CrossRef]
- Kumar, V.; Agrawal, S.; Bhat, S.A.; Américo-Pinheiro, J.H.P.; Shahi, S.K.; Kumar, S. Environmental Impact, Health Hazards, and Plant-Microbes Synergism in Remediation of Emerging Contaminants. Clean. Chem. Eng. 2022, 2, 100030. [Google Scholar] [CrossRef]
- Park, J.K.; Oh, K. Advancements in Phytoremediation Research for Soil and Water Resources: Harnessing Plant Power for Environmental Cleanup. Sustainability 2023, 15, 13901. [Google Scholar] [CrossRef]
- Pathak, V.M.; Verma, V.K.; Rawat, B.S.; Kaur, B.; Babu, N.; Sharma, A.; Dewali, S.; Yadav, M.; Kumari, R.; Singh, S.; et al. Current Status of Pesticide Effects on Environment, Human Health and It’s Eco-Friendly Management as Bioremediation: A Comprehensive Review. Front. Microbiol. 2022, 13, 1–29. [Google Scholar] [CrossRef]
- Al-Homaidan, A.A.; Al-Otaibi, T.G.; El-Sheikh, M.A.; Al-Ghanayem, A.A.; Ameen, F. Accumulation of Heavy Metals in a Macrophyte Phragmites Australis: Implications to Phytoremediation in the Arabian Peninsula Wadis. Environ. Monit. Assess. 2020, 192, 202. [Google Scholar] [CrossRef] [PubMed]
- Lei, Y.; Carlucci, L.; Rijnaarts, H.; Langenhoff, A. Phytoremediation of Micropollutants by Phragmites Australis, Typha Angustifolia, and Juncus Effuses. Int. J. Phytoremediation 2023, 25, 82–88. [Google Scholar] [CrossRef] [PubMed]
- Huang, X.F.; Ye, G.Y.; Yi, N.K.; Lu, L.J.; Zhang, L.; Yang, L.Y.; Xiao, L.; Liu, J. Effect of Plant Physiological Characteristics on the Removal of Conventional and Emerging Pollutants from Aquaculture Wastewater by Constructed Wetlands. Ecol. Eng. 2019, 135, 45–53. [Google Scholar] [CrossRef]
- Gerhardt, K.E.; Huang, X.D.; Glick, B.R.; Greenberg, B.M. Phytoremediation and Rhizoremediation of Organic Soil Contaminants: Potential and Challenges. Plant Sci. 2009, 176, 20–30. [Google Scholar] [CrossRef]
- Farouk, O.Y.; Fahim, J.R.; Attia, E.Z.; Kamel, M.S. Phytochemical and Biological Profiles of the Genus Phragmites (Family Poaceae): A Review. S. Afr. J. Bot. 2023, 163, 659–672. [Google Scholar] [CrossRef]
- Borruso, L.; Esposito, A.; Bani, A.; Ciccazzo, S.; Papa, M.; Zerbe, S.; Brusetti, L. Ecological Diversity of Sediment Rhizobacteria Associated with Phragmites Australis along a Drainage Canal in the Yellow River Watershed. J. Soils Sediments 2017, 17, 253–265. [Google Scholar] [CrossRef]
- Kotoky, R.; Rajkumari, J.; Pandey, P. The Rhizosphere Microbiome: Significance in Rhizoremediation of Polyaromatic Hydrocarbon Contaminated Soil. J. Environ. Manag. 2018, 217, 858–870. [Google Scholar] [CrossRef]
- Basit, A.; Shah, S.T.; Ullah, I.; Muntha, S.T.; Mohamed, H.I. Microbe-Assisted Phytoremediation of Environmental Pollutants and Energy Recycling in Sustainable Agriculture. Arch. Microbiol. 2021, 203, 5859–5885. [Google Scholar] [CrossRef]
- Gao, T.; Shi, X.Y. Taxonomic Structure and Function of Seed-Inhabiting Bacterial Microbiota from Common Reed (Phragmites Australis) and Narrowleaf Cattail (Typha Angustifolia L.). Arch. Microbiol. 2018, 200, 869–876. [Google Scholar] [CrossRef]
- Abed, R.M.M.; Al-Kharusi, S.; Gkorezis, P.; Prigent, S.; Headley, T. Bacterial Communities in the Rhizosphere of Phragmites Australis from an Oil-Polluted Wetland. Arch. Agron. Soil Sci. 2018, 64, 360–370. [Google Scholar] [CrossRef]
- Rahim, F.; Abdullah, S.R.S.; Hasan, H.A.; Kurniawan, S.B.; Mamat, A.; Yusof, K.A.; Ambak, K.I. A Feasibility Study for the Treatment of 1,2-Dichloroethane-Contaminated Groundwater Using Reedbed System and Assessment of Its Natural Attenuation. Sci. Total Environ. 2022, 814, 152799. [Google Scholar] [CrossRef] [PubMed]
- Kurniawan, S.B.; Imron, M.F. The Effect of Tidal Fluctuation on the Accumulation of Plastic Debris in the Wonorejo River Estuary, Surabaya, Indonesia. Environ. Technol. Innov. 2019, 15, 100420. [Google Scholar] [CrossRef]
- Kurniawan, S.B.; Imron, M.F. Seasonal Variation of Plastic Debris Accumulation in the Estuary of Wonorejo River, Surabaya, Indonesia. Environ. Technol. Innov. 2019, 16, 100490. [Google Scholar] [CrossRef]
- Zhang, F.; Kang, H.M. FASTQuick: Rapid and Comprehensive Quality Assessment of Raw Sequence Reads. Gigascience 2021, 10, giab004. [Google Scholar] [CrossRef]
- Ivens, M.J.R.; Kamminga, S.; Benchamach, K.; Akile, C.; Wessels, E.; Claas, E.C.J.; Boers, S.A. Rapid and Reliable Species-Level Identification from Clinical Samples Using 16 S RRNA Gene Nanopore Sequencing Analysis. Sci. Rep. 2025, 15, 28606. [Google Scholar] [CrossRef]
- Wang, X.; Wang, Z.; Jiang, P.; He, Y.; Mu, Y.; Lv, X.; Zhuang, L. Bacterial Diversity and Community Structure in the Rhizosphere of Four Ferula Species. Sci. Rep. 2018, 8, 5345. [Google Scholar] [CrossRef]
- Höhler, D.; Haag, J.; Kozlov, A.M.; Morel, B.; Stamatakis, A. Performance Assessment of Phylogenetic Inference Tools Using PhyloSmew. Bioinform. Adv. 2024, 5, vbaf300. [Google Scholar] [CrossRef]
- Yang, J.; Zhang, Q.; Fu, X.; Chen, H.; Hu, P.; Wang, L. Natural Attenuation Mechanism and Health Risk Assessment of 1,1,2-Trichloroethane in Contaminated Groundwater. J. Environ. Manag. 2019, 242, 457–464. [Google Scholar] [CrossRef]
- Huang, L.; Bae, H.S.; Young, C.; Pain, A.J.; Martin, J.B.; Ogram, A. Campylobacterota Dominate the Microbial Communities in a Tropical Karst Subterranean Estuary, with Implications for Cycling and Export of Nitrogen to Coastal Waters. Environ. Microbiol. 2021, 23, 6749–6763. [Google Scholar] [CrossRef]
- Bertolini, M.; Zecchin, S.; Beretta, G.P.; De Nisi, P.; Ferrari, L.; Cavalca, L. Effectiveness of Permeable Reactive Bio-Barriers for Bioremediation of an Organohalide-Polluted Aquifer by Natural-Occurring Microbial Community. Water 2021, 13, 2442. [Google Scholar] [CrossRef]
- Omoarelojie, L.O.; Slavětínská, L.P.; Stirk, W.A.; Kulkarni, M.G.; van Staden, J. Phlorotannins Contribute to the Ameliorative Bioactivities of Ecklonia Maxima-Derived Bioproduct in Salt-Stressed Solanum Lycopersicum. J. Plant Physiol. 2024, 303, 154366. [Google Scholar] [CrossRef] [PubMed]
- Pinchin, H.E.; Williams, J.B.; May, E.; Mant, C.; Hodkinson, B.J. In Situ and Microcosm Investigations into the Phytoremediation of Hydrocarbon-Contaminated Lagoon Sediments Using Phragmites Australis. J. Environ. Eng. 2013, 139, 488–495. [Google Scholar] [CrossRef]
- Demers, E.; Kõiv-Vainik, M.; Yavari, S.; Mench, M.; Marchand, L.; Vincent, J.; Frédette, C.; Comeau, Y.; Brisson, J. Macrophyte Potential to Treat Leachate Contaminated with Wood Preservatives: Plant Tolerance and Bioaccumulation Capacity. Plants 2020, 9, 1774. [Google Scholar] [CrossRef] [PubMed]
- San Miguel, A.; Schröder, P.; Harpaintner, R.; Gaude, T.; Ravanel, P.; Raveton, M. Response of Phase II Detoxification Enzymes in Phragmites Australis Plants Exposed to Organochlorines. Environ. Sci. Pollut. Res. 2013, 20, 3464–3471. [Google Scholar] [CrossRef]
- Montes-Rocha, J.A.; Diaz-Torres, R.d.C.; Alonso-Castro, A.J.; Ilizaliturri-Hernández, C.A.; Carrizales-Yáñez, L.; Carranza-Álvarez, C. Determination and Removal of Potentially Toxic Elements by Phragmites Australis (Cav.) Trin. Ex Steud. (Poaceae) in the Valles River, San Luis Potosí (Central Mexico). Plants 2025, 14, 33. [Google Scholar] [CrossRef]
- Ijoma, G.N.; Lopes, T.; Mannie, T.; Mhlongo, T.N. Exploring Macrophytes’ Microbial Populations Dynamics to Enhance Bioremediation in Constructed Wetlands for Industrial Pollutants Removal in Sustainable Wastewater Treatment. Symbiosis 2024, 92, 323–354. [Google Scholar] [CrossRef]
- Rezania, S.; Oryani, B.; Park, J.; Hashemi, B.; Yadav, K.K.; Kwon, E.E.; Hur, J.; Cho, J. Review on Transesterification of Non-Edible Sources for Biodiesel Production with a Focus on Economic Aspects, Fuel Properties and by-Product Applications. Energy Convers. Manag. 2019, 201, 112155. [Google Scholar] [CrossRef]
- Raji, E.; Ijomah, T.I.; Eyieyien, O.G. Improving Agricultural Practices and Productivity through Extension Services and Innovative Training Programs. Int. J. Appl. Res. Soc. Sci. 2024, 6, 1297–1309. [Google Scholar] [CrossRef]
- Oubohssaine, M.; Dahmani, I. Phytoremediation: Harnessing Plant Power and Innovative Technologies for Effective Soil Remediation. Plant Stress 2024, 14, 100578. [Google Scholar] [CrossRef]
- Al-Baldawi, I.A.; Abdullah, S.R.S.; Suja, F.; Anuar, N.; Mushrifah, I. Effect of Aeration on Hydrocarbon Phytoremediation Capability in Pilot Sub-Surface Flow Constructed Wetland Operation. Ecol. Eng. 2013, 61, 496–500. [Google Scholar] [CrossRef]
- Purwanti, I.F.; Abdullah, S.R.S.; Hamzah, A.; Idris, M.; Basri, H.; Mukhlisin, M.; Latif, M.T. Biodegradation of Diesel by Bacteria Isolated from Scirpus Mucronatus Rhizosphere in Diesel-Contaminated Sand. Adv. Sci. Lett. 2015, 21, 140–143. [Google Scholar] [CrossRef]
- Sanusi, S.N.A.; Halmi, M.I.E.; Abdullah, S.R.S.; Hassan, H.A.; Hamzah, F.M.; Idris, M. Comparative Process Optimization of Pilot-Scale Total Petroleum Hydrocarbon (TPH) Degradation by Paspalum Scrobiculatum L. Hack Using Response Surface Methodology (RSM) and Artificial Neural Networks (ANNs). Ecol. Eng. 2016, 97, 524–534. [Google Scholar] [CrossRef]
- Sánchez, M.; Ruiz, I.; Soto, M. Sustainable Wastewater Treatment Using a New Combined Hybrid Digester—Constructed Wetland System. J. Environ. Chem. Eng. 2023, 11, 110861. [Google Scholar] [CrossRef]
- Li, C.; Chen, R.; Liu, H.; Huang, Y.; Yu, J.; Ouyang, W.; Xue, C. Response of Chlorinated Hydrocarbon Transformation and Microbial Community Structure in an Aquifer to Joint H2 and O2. RSC Adv. 2022, 12, 23252–23262. [Google Scholar] [CrossRef] [PubMed]
- Kwon, M.J.; O’Loughlin, E.J.; Boyanov, M.I.; Brulc, J.M.; Johnston, E.R.; Kemner, K.M.; Antonopoulos, D.A. Impact of Organic Carbon Electron Donors on Microbial Community Development under Iron-and Sulfate-Reducing Conditions. PLoS ONE 2016, 11, e0146689. [Google Scholar] [CrossRef]
- Al-Ajalin, F.A.H.; Idris, M.; Abdullah, S.R.S.; Kurniawan, S.B.; Imron, M.F. Effect of Wastewater Depth to the Performance of Short-Term Batching-Experiments Horizontal Flow Constructed Wetland System in Treating Domestic Wastewater. Environ. Technol. Innov. 2020, 20, 101106. [Google Scholar] [CrossRef]
- Kadir, A.A.; Abdullah, S.R.S.; Othman, B.A.; Hasan, H.A.; Othman, A.R.; Imron, M.F.; Ismail, N.I.; Kurniawan, S.B. Dual Function of Lemna Minor and Azolla Pinnata as Phytoremediator for Palm Oil Mill Effluent and as Feedstock. Chemosphere 2020, 259, 127468. [Google Scholar] [CrossRef]
- Cavelan, A.; Golfier, F.; Colombano, S.; Davarzani, H.; Deparis, J.; Faure, P. A Critical Review of the Influence of Groundwater Level Fluctuations and Temperature on LNAPL Contaminations in the Context of Climate Change. Sci. Total Environ. 2022, 806, 150412. [Google Scholar] [CrossRef]
- Wazeer, I.; Omair, A.; Blidi, L.E.; Mokraoui, S.; Ali, E.; Hadj-Kali, M.K. Efficient Extraction of 1,2-Dichloroethane from Wastewater Using Hydrophobic Deep Eutectic Solvents: A Green Approach. Separations 2025, 12, 197. [Google Scholar] [CrossRef]
- Newsome, L.; Bacon, C.G.D.; Song, H.; Luo, Y.; Sherman, D.M.; Lloyd, J.R. Natural Attenuation of Lead by Microbial Manganese Oxides in a Karst Aquifer. Sci. Total Environ. 2021, 754, 142312. [Google Scholar] [CrossRef]
- Dutta, N.; Usman, M.; Ashraf, M.A.; Luo, G.; Zhang, S. Efficacy of Emerging Technologies in Addressing Reductive Dechlorination for Environmental Bioremediation: A Review. J. Hazard. Mater. Lett. 2022, 3, 100065. [Google Scholar] [CrossRef]
- Carpani, G.; Marchesi, M.; Pietrini, I.; Alberti, L.; Zaninetta, L.M.; Shouakar-Stash, O.; de Ferra, F. 1,2-DCA Natural Attenuation Evaluation in Groundwater: Insight by Dual Isotope 13C/37Cl and Molecular Analysis Approach. Water 2021, 13, 728. [Google Scholar] [CrossRef]
- Bertolini, M.; Zecchin, S.; Cavalca, L. Sequential Anaerobic/Aerobic Microbial Transformation of Chlorinated Ethenes: Use of Sustainable Approaches for Aquifer Decontamination. Water 2023, 15, 1406. [Google Scholar] [CrossRef]
- Cheng, L.; Zhou, Q.; Yu, B. Responses and Roles of Roots, Microbes, and Degrading Genes in Rhizosphere during Phytoremediation of Petroleum Hydrocarbons Contaminated Soil. Int. J. Phytoremediation 2019, 21, 1161–1169. [Google Scholar] [CrossRef] [PubMed]
- Thakur, T.; Barya, M.; Dutta, J.; Mukherjee, P.; Thakur, A.; Swamy, S.; Anderson, J. Integrated Phytobial Remediation of Dissolved Pollutants from Domestic Wastewater through Constructed Wetlands: An Interactive Macrophyte-Microbe-Based Green and Low-Cost Decontamination Technology with Prospective Resource Recovery. Water 2023, 15, 3877. [Google Scholar] [CrossRef]
- Zhang, J.; Liu, G.; Wei, Q.; Liu, S.; Shao, Y.; Zhang, J.; Qi, L.; Wang, H. Regional Discrepancy of Microbial Community Structure in Activated Sludge System from Chinese WWTPs Based on High-Throughput 16S RDNA Sequencing. Sci. Total Environ. 2022, 818, 151751. [Google Scholar] [CrossRef]
- Shentu, J.; Chen, Q.; Cui, Y.; Wang, Y.; Lu, L.; Long, Y.; Zhu, M. Disturbance and Restoration of Soil Microbial Communities after In-Situ Thermal Desorption in a Chlorinated Hydrocarbon Contaminated Site. J. Hazard. Mater. 2023, 448, 130870. [Google Scholar] [CrossRef]
- Truyens, S.; Weyens, N.; Cuypers, A.; Vangronsveld, J. Bacterial Seed Endophytes. Environ. Microbiol. Rep. 2014, 7, 40–50. [Google Scholar] [CrossRef]
- Wasmund, K.; Singleton, C.; Dahl Dueholm, M.K.; Wagner, M.; Nielsen, P.H. The Predicted Secreted Proteome of Activated Sludge Microorganisms Indicates Distinct Nutrient Niches. mSystems 2024, 9, e0030124. [Google Scholar] [CrossRef]
- Borruso, L.; Bacci, G.; Mengoni, A.; Philippis, R.; Brusetti, L.; De Philippis, R.; Brusetti, L. Rhizosphere Effect and Salinity Competing to Shape Microbial Communities in Phragmites Australis (Cav.) Trin. Ex-Steud. FEMS Microbiol. Lett. 2014, 359, 193–200. [Google Scholar] [CrossRef]
- Wang, J.; Song, X.; Wang, Y.; Abayneh, B.; Ding, Y.; Yan, D.; Bai, J. Microbial Community Structure of Different Electrode Materials in Constructed Wetland Incorporating Microbial Fuel Cell. Bioresour. Technol. 2016, 221, 697–702. [Google Scholar] [CrossRef]
- Sauvêtre, A.; Schröder, P. Uptake of Carbamazepine by Rhizomes and Endophytic Bacteria of Phragmites Australis. Front. Plant Sci. 2015, 6, 83. [Google Scholar] [CrossRef]
- Li, Y.H.; Liu, Q.F.; Liu, Y.; Zhu, J.N.; Zhang, Q. Endophytic Bacterial Diversity in Roots of Typha Angustifolia L. in the Constructed Beijing Cuihu Wetland (China). Res. Microbiol. 2011, 162, 124–131. [Google Scholar] [CrossRef] [PubMed]
- Tara, N.; Arslan, M.; Hussain, Z.; Iqbal, M.; Khan, Q.M.; Afzal, M. On-Site Performance of Floating Treatment Wetland Macrocosms Augmented with Dye-Degrading Bacteria for the Remediation of Textile Industry Wastewater. J. Clean. Prod. 2019, 217, 541–548. [Google Scholar] [CrossRef]
- Gao, T.; Feng, S.; Yu, S.; Shi, X.; Cheng, J. Rhizobacteria of Native Aquatic Macrophytes in Coal Mining Subsidence Ponds Are Shaped by Compartment Niche Differentiation. Rhizosphere 2026, 37, 101235. [Google Scholar] [CrossRef]
- Arliyani, I.; Tangahu, B.V.; Mangkoedihardjo, S.; Zulaika, E.; Kurniawan, S.B. Enhanced Leachate Phytodetoxification Test Combined with Plants and Rhizobacteria Bioaugmentation. Heliyon 2023, 9, e12921. [Google Scholar] [CrossRef]
- Abdullah, S.R.S.; Al-Baldawi, I.A.; Almansoory, A.F.; Purwanti, I.F.; Al-Sbani, N.H.; Sharuddin, S.S.N. Plant-Assisted Remediation of Hydrocarbons in Water and Soil: Application, Mechanisms, Challenges and Opportunities. Chemosphere 2020, 247, 125932. [Google Scholar] [CrossRef]
- Padhye, L.P.; Srivastava, P.; Jasemizad, T.; Bolan, S.; Hou, D.; Shaheen, S.M.; Rinklebe, J.; O’Connor, D.; Lamb, D.; Wang, H.; et al. Contaminant Containment for Sustainable Remediation of Persistent Contaminants in Soil and Groundwater. J. Hazard. Mater. 2023, 455, 131575. [Google Scholar] [CrossRef]
- Osama, O.A.; Abdullah, S.R.S.; Hasan, H.A.; Othman, A.R.; Ewadh, H.M.; Al-Baldawi, I.A.; Sharuddin, S.S.N.; Kurniawan, S.B.; Ismail, N.I. Elimination of Mixed Ibuprofen and Paracetamol from Spiked Domestic Wastewater via a Pilot Continuous Aerated Sub-Surface Constructed Wetland System. J. Water Process Eng. 2022, 50, 103308. [Google Scholar] [CrossRef]
- Jehawi, O.H.; Abdullah, S.R.S.; Kurniawan, S.B.; Ismail, N.I.; Idris, M.; Al Sbani, N.H.; Muhamad, M.H.; Hasan, H.A. Performance of Pilot Hybrid Reed Bed Constructed Wetland with Aeration System on Nutrient Removal for Domestic Wastewater Treatment. Environ. Technol. Innov. 2020, 19, 100891. [Google Scholar] [CrossRef]
- More, S.; Benford, D.; Hougaard Bennekou, S.; Bampidis, V.; Bragard, C.; Halldorsson, T.; Hernandez-Jerez, A.; Koutsoumanis, K.; Lambré, C.; Machera, K.; et al. Opinion on the Impact of Non-Monotonic Dose Responses on EFSA′s Human Health Risk Assessments. EFSA J. 2021, 19, 1–68. [Google Scholar] [CrossRef]
- Zhang, W.; Wu, X.; Liu, G.; Chen, T.; Zhang, G.; Dong, Z.; Yang, X.; Hu, P. Pyrosequencing Reveals Bacterial Diversity in the Rhi-Zosphere of Three Phragmites Australis Ecotypes. Geomicrobiol. J. 2013, 30, 593–599. [Google Scholar] [CrossRef]
- Miao, Y. Microbial Ecology and Bioremediation of 1,4-Dioxane and Chlorinated Solvents Contaminated Groundwater & Soil; University of California L.A: Los Angeles, CA, USA, 2019. [Google Scholar]
- Martinez-Rabelo, F.; Gomez-Guzman, L.A.; García-Segura, D.R.; Villegas-García, E.; Rodriguez-Campos, J.; Velázquez-Fernández, J.B.; Hernández-Castellanos, B.; Barois, I.; Contreras-Ramos, S.M. Hydrocarbon Bioremediation in a Pilot-Scale: A Combination of Bioaugmentation, Phytoremediation, and Vermiremediation. Environ. Technol. Innov. 2023, 31, 103210. [Google Scholar] [CrossRef]
- Yan, L.; Penttinen, P.; Mikkonen, A.; Lindström, K. Bacterial Community Changes in Response to Oil Contamination and Perennial Crop Cultivation. Environ. Sci. Pollut. Res. 2018, 25, 14575–14584. [Google Scholar] [CrossRef] [PubMed]
- Janssen, P.H. Identifying the Dominant Soil Bacterial Taxa in Libraries of 16S RRNA and 16S RRNA Genes. Appl. Environ. Microbiol. 2006, 72, 1719–1728. [Google Scholar] [CrossRef]
- Spain, A.M.; Krumholz, L.R.; Elshahed, M.S. Abundance, Composition, Diversity and Novelty of Soil Proteobacteria. ISME J. 2009, 3, 992–1000. [Google Scholar] [CrossRef]
- Crisafi, F.; Giuliano, L.; Yakimov, M.M.; Azzaro, M.; Denaro, R. Isolation and Degradation Potential of a Cold-Adapted Oil/PAH-Degrading Marine Bacterial Consortium from Kongsfjorden (Arctic Region). Rend. Lincei 2016, 27, 261–270. [Google Scholar] [CrossRef]
- Zhou, Z.; Tran, P.Q.; Kieft, K.; Anantharaman, K. Genome Diversification in Globally Distributed Novel Marine Proteo-Bacteria Is Linked to Environmental Adaptation. ISME J. 2020, 14, 2060–2077. [Google Scholar] [CrossRef]
- Ansola, G.; Arroyo, P.; Sáenz de Miera, L.E. Characterisation of the Soil Bacterial Community Structure and Composition of Natural and Constructed Wetlands. Sci. Total Environ. 2014, 473–474, 63–71. [Google Scholar] [CrossRef]
- Wang, Y.; Guo, M.; Li, X.; Liu, G.; Hua, Y.; Zhao, J.; Huguet, A.; Li, S. Shifts in Microbial Communities in Shallow Lakes Depending on Trophic States: Feasibility as an Evaluation Index for Eutrophication. Ecol. Indic. 2022, 136, 108691. [Google Scholar] [CrossRef]
- Delgado-Baquerizo, M.; Oliverio, A.M.; Brewer, T.E.; Benavent-González, A.; Eldridge, D.J.; Bardgett, R.D.; Maestre, F.T.; Singh, B.K.; Fierer, N. A Global Atlas of the Dominant Bacteria Found in Soil. Science 2018, 359, 320–325. [Google Scholar] [CrossRef] [PubMed]
- Eichorst, S.A.; Trojan, D.; Roux, S.; Herbold, C.; Rattei, T.; Woebken, D. Genomic Insights into the Acidobacteria Reveal Strategies for Their Success in Terrestrial Environments. Environ. Microbiol. 2018, 20, 1041–1063. [Google Scholar] [CrossRef] [PubMed]
- Kristensen, J.M.; Singleton, C.; Clegg, L.A.; Petriglieri, F.; Nielsen, P.H. High Diversity and Functional Potential of Undescribed “Acidobacteriota” in Danish Wastewater Treatment Plants. Front. Microbiol. 2021, 12, 643950. [Google Scholar] [CrossRef] [PubMed]
- Tian, Y.; Gao, L. Bacterial Diversity in the Rhizosphere of Cucumbers Grown in Soils Covering a Wide Range of Cucumber Cropping Histories and Environmental Conditions. Microb. Ecol. 2014, 68, 794–806. [Google Scholar] [CrossRef]
- Naumoff, D.G.; Dedysh, S.N. Lateral Gene Transfer between the Bacteroidetes and Acidobacteria: The Case of α-l-Rhamnosidases. FEBS Lett. 2012, 586, 3843–3851. [Google Scholar] [CrossRef]
- Huber, K.J.; Pester, M.; Eichorst, S.A.; Navarrete, A.A.; Foesel, B.U. Editorial: Acidobacteria—Towards Unraveling the Secrets of a Widespread, Though Enigmatic, Phylum. Front. Microbiol. 2022, 13, 960602. [Google Scholar] [CrossRef]
- Zanaroli, G.; Balloi, A.; Negroni, A.; Borruso, L.; Daffonchio, D.; Fava, F. A Chloroflexi Bacterium Dechlorinates Polychlorinated Biphenyls in Marine Sediments under in Situ-like Biogeochemical Conditions. J. Hazard. Mater. 2012, 209–210, 449–457. [Google Scholar] [CrossRef]
- Kragelund, C.; Levantesi, C.; Borger, A.; Thelen, K.; Eikelboom, D.; Tandoi, V.; Kong, Y.; Krooneman, J.; Larsen, P.; Thomsen, T.R.; et al. Identity, Abundance and Ecophysiology of Filamentous Bacteria Belonging to the Bacteroidetes Present in Activated Sludge Plants. Microbiology 2008, 154, 886–894. [Google Scholar] [CrossRef]
- Bovio-Winkler, P.; Guerrero, L.D.; Erijman, L.; Oyarzúa, P.; Suárez-Ojeda, M.E.; Cabezas, A.; Etchebehere, C. Genome-Centric Metagenomic Insights into the Role of Chloroflexi in Anammox, Activated Sludge and Methanogenic Reactors. BMC Microbiol. 2023, 23, 45. [Google Scholar] [CrossRef]
- Patil, S.S.; Adetutu, E.M.; Rochow, J.; Mitchell, J.G.; Ball, A.S. MES Assisted PCE Remediation. Microb. Biotechnol. 2014, 7, 54–63. [Google Scholar] [CrossRef]
- El-Sheekh, M.M.; Ibrahim, H.A.H.; Amer, M.S.; Ali, E.M. Wastewater Treatment by Membrane Bioreactor as Potent and Advanced Technology. In Membrane-Based Hybrid Processes for Wastewater Treatment; Elsevier: Amsterdam, The Netherlands, 2021; pp. 45–72. ISBN 9780128238042. [Google Scholar]
- Liu, M.; Cui, Y.; Chen, Y.; Lin, X.; Huang, H.; Bao, S. Diversity of Bacillus-like Bacterial Community in the Sediments of the Bamenwan Mangrove Wetland in Hainan, China. Can. J. Microbiol. 2017, 63, 238–245. [Google Scholar] [CrossRef]
- Straub, D.; Blackwell, N.; Langarica-Fuentes, A.; Peltzer, A.; Nahnsen, S.; Kleindienst, S. Interpretations of Environmental Microbial Community Studies Are Biased by the Selected 16S RRNA (Gene) Amplicon Sequencing Pipeline. Front. Microbiol. 2020, 11, 550420. [Google Scholar] [CrossRef]
- Di Curzio, D.; Laureni, M.; Broholm, M.M.; Weissbrodt, D.G.; van Breukelen, B.M. Integrating Enzyme-Based Kinetics in Reactive Transport Models to Simulate Spatiotemporal Dynamics of Biomarkers during Chlorinated Ethene Degradation. Environ. Sci. Technol. 2024, 58, 20642–20653. [Google Scholar] [CrossRef]














| Parameter | Site Data |
|---|---|
| pH | 2.21–4.32 (shallow up to 5 m depth) |
| 11.25–11.69 (deep up to 25 m depth) | |
| Redox potential | −190.4 to 475.4 mV (potential reducing condition) |
| Water levels | 1.449 m to 2.466 m |
| Texture | Very fine to very coarse sand up to 24 m depth |
| Silt/clay after 28 m depth | |
| Hydraulic conductivity | 1.1 × 10−2 cm/s to 1.0 × 10−4 cm/s |
| Nitrate | 0.08 to 2.14 mg/L |
| Sulphate | 2 to 239 mg/L |
| Chloride | 25 to 8980 mg/L |
| 1,2-DCA | 0.362 to 4320 mg/L |
| Kinetic Constants (1,2-DCA) | Attenuation Rate (per Year) | R2 |
|---|---|---|
| NMW-12-01S | 0.0035 | 0.5906 |
| NMW-12-03S | 0.0022 | 0.5031 |
| NMW-12-04S | 0.0028 | 0.5516 |
| NMW-12-06S | 0.0012 | 0.6015 |
| NMW-12-08S | 0.0036 | 0.7144 |
| Kinetic Constants (1,2-DCA) | Attenuation Rate (per Year) | R2 |
|---|---|---|
| NMW-12-01M | 0.0006 | 0.0308 |
| NMW-12-03M | 0.0003 | 0.0558 |
| NMW-12-04M | 0.0021 | 0.6329 |
| NMW-12-06M | n/a | 0.0006 |
| NMW-12-08M | 0.0011 | 0.3696 |
| Kinetic Constants (1,2-DCA) | Attenuation Rate (per Year) | R2 |
|---|---|---|
| NMW-12-01D | 0.0009 | 0.1838 |
| NMW-12-03D | 0.0003 | 0.0302 |
| NMW-12-04D | n/a | 0.00134 |
| NMW-12-06D | n/a | 0.00004 |
| NMW-12-08D | n/a | 0.2817 |
| Diversity Index | Observed * | Chao1 | ACE | Shannon ** | Simpson | Fischer |
|---|---|---|---|---|---|---|
| MW1-2004 | 158 | 167 | 161 | 3.263 | 0.9283 | 21.26 |
| MW-12-5 (Control) | 1377 | 1418 | 1405 | 6.285 | 0.9934 | 284.06 |
| Diversity Index | Observed * | Chao1 | ACE | Shannon ** | Simpson | Fischer |
|---|---|---|---|---|---|---|
| RB3 | 1433 | 1453 | 1448 | 6.640 | 0.9976 | 298.67 |
| RB6 | 1472 | 1488 | 1480 | 6.666 | 0.9973 | 308.96 |
| RB9 (Control) | 1050 | 1083 | 1060 | 6.234 | 0.9959 | 202.57 |
Disclaimer/Publisher’s Note: The statements, opinions and data contained in all publications are solely those of the individual author(s) and contributor(s) and not of MDPI and/or the editor(s). MDPI and/or the editor(s) disclaim responsibility for any injury to people or property resulting from any ideas, methods, instructions or products referred to in the content. |
© 2026 by the authors. Licensee MDPI, Basel, Switzerland. This article is an open access article distributed under the terms and conditions of the Creative Commons Attribution (CC BY) license.
Share and Cite
Rahim, F.; Abdullah, S.R.S.; Kurniawan, S.B.; Imron, M.F. Study of Reedbed System Planted with Phragmites australis for the Treatment of Groundwater Contaminated with 1,2-Dichloroethane (1,2-DCA) and Its Microbial Analysis at a Former Industrial Plant. Environments 2026, 13, 162. https://doi.org/10.3390/environments13030162
Rahim F, Abdullah SRS, Kurniawan SB, Imron MF. Study of Reedbed System Planted with Phragmites australis for the Treatment of Groundwater Contaminated with 1,2-Dichloroethane (1,2-DCA) and Its Microbial Analysis at a Former Industrial Plant. Environments. 2026; 13(3):162. https://doi.org/10.3390/environments13030162
Chicago/Turabian StyleRahim, Fazli, Siti Rozaimah Sheikh Abdullah, Setyo Budi Kurniawan, and Muhammad Fauzul Imron. 2026. "Study of Reedbed System Planted with Phragmites australis for the Treatment of Groundwater Contaminated with 1,2-Dichloroethane (1,2-DCA) and Its Microbial Analysis at a Former Industrial Plant" Environments 13, no. 3: 162. https://doi.org/10.3390/environments13030162
APA StyleRahim, F., Abdullah, S. R. S., Kurniawan, S. B., & Imron, M. F. (2026). Study of Reedbed System Planted with Phragmites australis for the Treatment of Groundwater Contaminated with 1,2-Dichloroethane (1,2-DCA) and Its Microbial Analysis at a Former Industrial Plant. Environments, 13(3), 162. https://doi.org/10.3390/environments13030162

