Comparative Tests of Two Tire Models for Agricultural Tractors: Soil Compaction, Tractive Performance and Energy Requirements
Abstract
1. Introduction
2. Materials and Methods
2.1. Tires Under Test
- Respect for the soil: Blue tires feature a wider footprint and a flexible carcass for optimal tractor weight distribution. This is expected to reduce soil compaction, thereby preserving soil structure and organic life, which can positively impact crop yields;
- Increased productivity and cost reduction: This is achieved through superior traction and lower rolling resistance, leading to significant fuel savings and a reduction in emissions. The improved efficiency is intended to allow tasks to be completed in less time;
- Eco-friendly materials and production processes: The “Blue” approach also incorporates the use of more sustainable materials and low-impact manufacturing processes, such as the utilization of eco-friendly oils;
- Enhanced comfort: Comfort is increased by reducing vibration levels through a specialized tread design and greater carcass flexibility.
2.2. Mobile Laboratory
2.2.1. Tractor
- Volumetric fuel consumption meter (developed at CREA) integrated into the fuel supply circuit (Figure 2a);
- Incremental encoder (Tekel TK510, Turin, Italy) mounted on the rear axle to measure wheel peripheral speed (Figure 2b);
- Instrumented drawbar with a load cell rated for 100,000 N (AEP Transducers TC4, Modena, Italy) (Figure 2c).
2.2.2. Dynamometric Vehicle
2.2.3. Field-Side Support Unit
2.3. Characteristics of the Test Ground
2.4. Test Method
2.5. Data Analysis
3. Results and Discussion
3.1. Measurements Prior to the Tests on Undisturbed Soil (U.S.)
3.2. Traction Tests
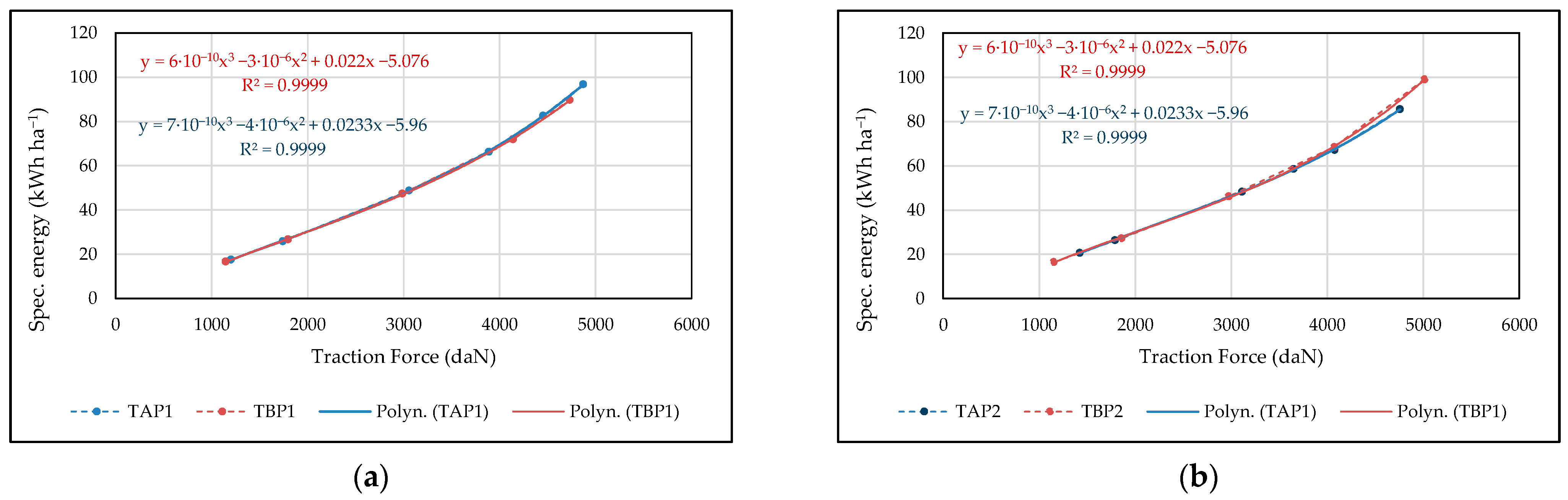
- TA-P1 and TB-P1, for the same traction force, consistently exhibit a very similar trend. However, while Csha (Figure 7a) is initially slightly better for TB-P1 than TA-P1, with differences narrowing as the traction force increases, a slightly better performance for TB-P1 is observed for Esha and Etha (Figure 9a and Figure 11a). The counter-trend behavior of Csha could be the result of a more efficient interaction between the surface of the innovative tire and the soil;
- TA-P2 is always better than TB-P1 (Figure 8b, Figure 10b and Figure 12b) and all the other combinations. This indicates that the pressure reduction from P1 to P2 enhances the tractive characteristics of TA, making it highly performant both compared to itself at P1 and compared to TB at both pressures.
- Comparison TA vs. TB. At the higher pressure (P1): The differences found between the two models are minor. A slight reduction in consumption (Csha) is observed for TA (−0.4 kg ha−1, equal to −1.4%) compared to TB, and, concurrently, a slight increase in the total energy (Etha) is noted 0.79 kWh ha−1, equal to + 1.15%. At the lower pressure (P2) TA performs better than TB, resulting in a fuel saving of 12.99% compared to the 2.24% saving of TB relative to the reference TB-P1. Similarly, for the energy dissipated due to slip (Esha) and the total energy (Etha), the reduction relative to TB-P1 is respectively 21.98% and 4.21% for TA, compared to 13.37% and 2.48% for TB; the adoption of the lower pressure (P2) leads to an improvement in traction performance for both tire models, with a reduction in fuel consumption and energy losses dissipated due to slip. This improvement is particularly evident for TA and can be quantified using the data in Table 10. Taking TA-P1 as the reference condition, adopting the lower pressure resulted in reductions of 11.65%, 26.45%, and 5.29% in fuel consumption per hectare, energy loss due to slip per hectare, and total energy requirements per hectare, respectively, while the slip decreases approximately by 25% (from 25.5% to 18.8%, Figure 5a,b). The performance improvement is less evident for TB, where adopting P2 induces a 9.8% lower slip than at P1 and proportionally lower reduction with slip reduction in fuel consumption per hectare, energy loss due to slip per hectare, and total energy requirements per hectare. These findings represent an encouraging result within the context of the tire development activity focused on energy efficiency.
3.3. Effects of Tire Passes on Soil Compaction
4. Conclusions
Author Contributions
Funding
Data Availability Statement
Conflicts of Interest
References
- Servadio, P. Applications of empirical methods in central Italy for predicting field wheeled and tracked vehicle performance. Soil Tillage Res. 2010, 110, 236–242. [Google Scholar] [CrossRef]
- Keller, T.; Sandin, M.; Colombi, T.; Horn, R.; Or, D. Historical increase in agricultural machinery weights enhanced soil stress levels and adversely affected soil functioning. Soil Tillage Res. 2019, 194, 104293. [Google Scholar] [CrossRef]
- Défossez, P.; Richard, G.; Boizard, H.; O’Sullivan, M.F. Modelling change in soil compaction due to agricultural traffic as function of soil water content. Geoderma 2003, 116, 89–105. [Google Scholar] [CrossRef]
- Augustin, K.; Kuhwald, M.; Brunotte, J.; Duttmann, R. Wheel Load and Wheel Pass Frequency as Indicators for Soil Compaction Risk: A Four-Year Analysis of Traffic Intensity at Field Scale. Geosciences 2020, 10, 292. [Google Scholar] [CrossRef]
- Acquah, K.; Chen, Y. Soil compaction from wheel traffic under three tillage systems. Agriculture 2022, 12, 219. [Google Scholar] [CrossRef]
- Medeiros, J.C.; Figueiredo, G.C.; Mafra, A.L.; Rosa, J.D.; Yoon, S.W. Deep subsoiling of a subsurface-compacted typical hapludult under citrus orchard. Rev. Bras. Cienc. Solo 2013, 37, 911–919. [Google Scholar] [CrossRef]
- Colombi, T.; Braun, S.; Keller, T.; Walter, A. Artificial macropores attract crop roots and enhance plant productivity on compacted soils. Sci. Total Environ. 2017, 574, 1283–1293. [Google Scholar] [CrossRef]
- Alaoui, A.; Rogger, M.; Peth, S.; Blöschl, G. Does soil compaction increase floods? A review. J. Hydrol. 2018, 557, 631–642. [Google Scholar] [CrossRef]
- Bandalan, E.P.; Salokhe, V.M.; Gupta, C.P.; Niyamapa, T. Performance of an oscillating subsoiler in breaking a hardpan. J. Terramechanics 1999, 36, 117–125. [Google Scholar] [CrossRef]
- Sidhu, D.; Duiker, S.W. Soil Compaction in Conservation Tillage: Crop Impacts. Agron. J. 2006, 98, 1257–1264. [Google Scholar] [CrossRef]
- Liu, J.; Wang, X.; Li, H.; He, J.; Wang, Q.; Li, W. Optimization of structural parameters of subsoiler based on soil disturbance and traction resistance. Trans. Chin. Soc. Agric. Mach. 2017, 48, 60–67. [Google Scholar] [CrossRef]
- Liu, K.; Sozzi, M.; Gasparini, F.; Marinello, F.; Sartori, L. Combining simulations and field experiments: Effects of subsoiling angle and tillage depth on soil structure and energy requirements. Comput. Electron. Agric. 2023, 214, 108323. [Google Scholar] [CrossRef]
- Garibaldi-Marquez, F.; Martinez-Reyes, E.; Morales-Morales, C.; Ramos-Cantu, L.; Castro-Bello, M.; Gonzalez-Lorence, A. Subsoiler tool with bio-inspired attack edge for reducing draft force during soil tillage. Agriengineering 2024, 6, 2678–2693. [Google Scholar] [CrossRef]
- Regazzi, N.; Maraldi, M.; Molari, G. A theoretical study of the parameters affecting the power delivery efficiency of an agricultural tractor. Biosyst. Eng. 2019, 186, 214–227. [Google Scholar] [CrossRef]
- Rotella, D.; Cammalleri, M. Power losses in powersplit CVTs: A fast black-box approximate method. Mech. Mach. Theory 2018, 128, 528–543. [Google Scholar] [CrossRef]
- Farias, M.S.; Schlosser, J.F.; Linares, P.; Barbieri, J.P.; Negri, G.M.; Oliveira, L.F.V.; Rüdel, I.Y.P. Fuel consumption efficiency of an agricultural tractor equipped with continuously variable transmission. Cienc. Rural. 2017, 47. [Google Scholar] [CrossRef][Green Version]
- Molari, G.; Sedoni, E. Experimental evaluation of power losses in a power-shift agricultural tractor transmission. Biosyst. Eng. 2008, 100, 177–183. [Google Scholar] [CrossRef]
- Strapasson Neto, L.; Zimmermann, G.G.; Jasper, S.P.; Savi, D.; Sobenko, L.R. Energy efficiency of agricultural tractors equipped with continuous variable and full powershift transmission systems. Eng. Agrícola 2022, 42, e20210052. [Google Scholar] [CrossRef]
- Schjønning, P.; van den Akker, J.J.H.; Keller, T.; Greve, M.H.; Lamandé, M.; Simojoki, A.; Breuning-Madsen, H. Chapter five-driver-pressure-state-impact-response (DPSIR) Analysis and risk assessment for soil compaction—A European perspective. Adv. Agron. 2015, 133, 183–237. [Google Scholar] [CrossRef]
- Battiato, A.; Diserens, E. Influence of tyre inflation pressure and wheel load on the traction performance of a 65 kW MFWD tractor on a cohesive soil. J. Agric. Sci. 2013, 5, 197–215. [Google Scholar] [CrossRef]
- Cutini, M.; Brambilla, M.; Bisaglia, C.; Romano, E. Field performance of an agricultural tractor fitted with rubber tracks on a low trafficable soil. J. Agric. Eng. 2015, 46, 38–44. [Google Scholar] [CrossRef]
- McKyes, E. Agricultural Engineering Soil Mechanics, 1st ed.; Elsevier Science: New York, NY, USA, 2012; pp. 1–291. [Google Scholar]
- Ten Damme, L.; Stettler, M.; Pinet, F.; Vervaet, P.; Keller, T.; Munkholm, L.J.; Lamandé, M. The contribution of tyre evolution to the reduction of soil compaction risks. Soil Tillage Res. 2019, 194, 104283. [Google Scholar] [CrossRef]
- Franceschetti, B.; Filaninno, L.; Piovaccari, G.; Rondelli, V. Influence of ballast and tyre inflation pressure on traction performance of agricultural tractors evaluated in trials on concrete track. AgriEngineering 2025, 7, 109. [Google Scholar] [CrossRef]
- Damanauskas, V.; Janulevičius, A. Influence of extra weight and tire pressure on fuel consumption at normal tractor slippage. J. Agric. Sci. 2015, 7, 55–67. [Google Scholar] [CrossRef]
- Bodria, L.; Pellizzi, G.; Piccarolo, P. Meccanica Agraria. 1: Il Trattore e le Macchine Operatrici; Edagricole: Bologna, Italy, 2006; ISBN 88-506-5131-7. Available online: https://hdl.handle.net/2434/23323 (accessed on 29 January 2026).
- Serrano, J.M.; Peça, J.O.; Silva, J.R.; Márquez, L. The effect of liquid ballast and tyre inflation pressure on tractor performance. Biosyst. Eng. 2009, 102, 51–62. [Google Scholar] [CrossRef]
- Zoz, F.M.; Grisso, R.D. Traction and Tractor Performance. ASAE Distinguished Lecture #27. In Proceedings of the Agricultural Equipment Technology Conference, Louisville, KY, USA, 9–11 February 2003; Available online: https://it.scribd.com/document/471558908/Traction-and-Tractor-Performance-Zoz-Grisso-pdf (accessed on 29 January 2026).
- Varani, M.; Mattetti, M.; Molari, G. Preliminary Study on Traction Efficiency of an Agricultural Tractor Equipped with an Extendable Ballast Holder. Congr. Proc. CIGR AgEng Conf. 2018, 1–4. Available online: https://hdl.handle.net/11585/678230 (accessed on 29 January 2026).
- Zhang, S.; Xie, B.; Wen, C.; Zhao, Y.; Du, Y.; Zhu, Z.; Song, Z.; Li, L. Intelligent ballast control system with active load-transfer for electric tractors. Biosyst. Eng. 2022, 215, 143–155. [Google Scholar] [CrossRef]
- Wang, G.; Kushwaha, R.L.; Zoerb, G.C. Traction performance of a model 4WD tractor. Can. Agric. Eng. 1989, 31, 125–129. [Google Scholar]
- Yu, G.; Kushwaha, R.L. Dynamic load distribution and tractive performance of a model tractor. J. Terramechanics 1994, 31, 21–39. [Google Scholar] [CrossRef]
- Osetinsky, A.; Shmulevich, I. Traction performance simulation of a pushed/pulled driven wheel. Trans. ASAE 2004, 47, 981–994. [Google Scholar] [CrossRef]
- Czarnecki, J.; Brennensthul, M.; Białczyk, W.; Ptak, W.; Gil, Ł. Analysis of traction properties and power of wheels used on various agricultural soils. Agric. Eng. 2019, 23, 13–22. [Google Scholar] [CrossRef]
- Anifantis, A.S.; Cutini, M.; Bietresato, M. An experimental-numerical approach for modelling the mechanical behaviour of a pneumatic tire for agricultural machines. Appl. Sci. 2020, 10, 3481. [Google Scholar] [CrossRef]
- Burt, E.C.; Reaves, C.A.; Bailey, A.C.; Pickering, W.D. A machine for testing tractor tires in soil bins. Trans. ASAE 1980, 23, 546–547. [Google Scholar] [CrossRef]
- Upadhyaya, S.K.; Mehlschau, J.; Wulfsohn, D.; Glancey, J.L. Development of a unique mobile single wheel traction testing machine. Trans. ASAE 1986, 29, 1243–1246. [Google Scholar] [CrossRef]
- Ambruster, K.; Kutzbach, H.D. Development of a single wheel tester for measurement on driven angled wheel. In Proceedings of the 5th European Conference of the International Society for Terrain Vehicle Systems (ISTVS), Wageningen, The Netherlands, 21–23 March 1989. [Google Scholar]
- Guarnieri, A. Un laboratorio mobile per prove di pneumatici. Macch. Mot. Agric. 1993, 3, 92–94. [Google Scholar]
- Sandu, C.; Taylor, B.; Biggans, J.; Ahmadian, M. Building infrastructure for indoor terramechanics studies: The development of a terramechanics rig at Virginia Tech. In Proceedings of the 16th International Conference of the International Society for Terrain Vehicle Systems (ISTVS), Turin, Italy, 25–28 November 2008. [Google Scholar]
- Tiwari, V.K.; Pandey, K.P.; Sharma, A.K. Development of a tire traction testing facility. J. Terramechanics 2009, 46, 293–298. [Google Scholar] [CrossRef]
- Goli, H.; Minaee, S.; Jafari, A.; Keyhani, A.; Borghaee, A.; Hajiahmad, A. An instrumented drive axle to measure tire tractive performance. J. Terramechanics 2012, 49, 309–314. [Google Scholar] [CrossRef]
- Rajesh, Y.; Hifjur, R. Estimation of tyre deflection and contact area of tubeless tyre on firm surface for traction studies. J. Inst. Eng. India Ser. A 2024, 105, 281–293. [Google Scholar] [CrossRef]
- Fanigliulo, R.; Biocca, M.; Grilli, R.; Fornaciari, L.; Gallo, P.; Benigni, S.; Mattei, P.; Pochi, D. Assessment of the performance of agricultural tires using a mobile test bench. Agriculture 2023, 13, 87. [Google Scholar] [CrossRef]
- Kumari, A.; Raheman, H. Development of a novel draft sensing device with lower hitch attachments for tractor-drawn implements. J. Biosyst. Eng. 2024, 49, 20–28. [Google Scholar] [CrossRef]
- Kim, H.-G.; Lee, J.-W.; Kim, S.-C.; Oh, J.; Shim, S.-B. Development of a modified method for measuring the actual draft force using a tractor-attached dynamometer. Agriculture 2024, 14, 544. [Google Scholar] [CrossRef]
- Raper, R.L.; Bailey, A.C.; Burt, E.C.; Way, T.R.; Liberati, P. The effects of reduced inflation pressure on soil-tire interface stresses and soil strength. J. Terramechanics 1995, 32, 43–51. [Google Scholar] [CrossRef]
- Fornaciari, L.; Vassalini, G.; Pochi, D.; Grilli, R.; Benigni, S.; Fanigliulo, R. Evaluation of the Acceleration Transmitted to the Tractor Driver’s Whole-Body During Agricultural Operations at Different Tire Inflation Pressures. In Lecture Notes in Civil Engineering, 1st ed.; Sartori, L., Tarolli, P., Guerrini, L., Zuecco, G., Pezzuolo, A., Eds.; Springer Nature: Cham, Switzerland, 2025; Volume 586, pp. 362–369. [Google Scholar] [CrossRef]
- Kim, W.-S.; Kim, Y.-J.; Lee, N.-G.; Baek, S.-M.; Baek, S.-Y.; Kim, Y.-S. Influence of tire contact area on the traction performance of a 67-kW agricultural tractor in a paddy field. J. ASABE 2022, 65, 1421–1432. [Google Scholar] [CrossRef]
- Botta, G.F.; Jorajuria, D.; Draghi, L.M. Influence of the axle load, tyre size and configuration on the compaction of a freshly tilled clayey soil. J. Terramechanics 2002, 39, 47–54. [Google Scholar] [CrossRef]
- Raveendrakumaran, B.; Grafton, M.; Jeyakumar, P.; Bishop, P.; Davies, C. Assessing controlled traffic farming as a precision agriculture strategy for minimising N2O losses. Nitrogen 2025, 6, 63. [Google Scholar] [CrossRef]
- Sturm, N.; Wilson, K.R.; Neely, H.L.; Esser, A.; Waters, T.; Noland, R.; Clark, J.; Paris, N.; Kampa, J.; Arriaga, F.; et al. Informing soil compaction research priorities with farmer focus groups in the United States. Soil Secur. 2025, 20, 100200. [Google Scholar] [CrossRef]
- Jensen, T.A.; Antille, D.L.; Tullberg, J.N. Improving on-farm energy use efficiency by optimizing machinery operations and management: A review. Agric. Res. 2025, 14, 15–33. [Google Scholar] [CrossRef]
- Alkhalifa, N.; Tekeste, M.Z.; Jjagwe, P.; Way, T.R. Effects of vertical load and inflation pressure on tire-soil interaction on artificial soil. J. Terramechanics 2024, 112, 19–34. [Google Scholar] [CrossRef]
- Al-Suhaibani, S.A.; Al-Janobi, A.A.; Al-Majhadi, Y.N. Development and evaluation of tractors and tillage implements instrumentation system. Am. J. Eng. Appl. Sci. 2010, 3, 363–371. [Google Scholar] [CrossRef]
- Chouriya, A.; Kumar, P.; Tewari, V.K.; Singh, N. Development of a low-cost telemetry system for draft measurement of agriculture implements. J. Biosyst. Eng. 2024, 49, 368–381. [Google Scholar] [CrossRef]
- Fanigliulo, R.; Biocca, M.; Pochi, D. Effects of six primary tillage implements on energy inputs and residue cover in Central Italy. J. Agric. Eng. 2016, 47, 177–180. [Google Scholar] [CrossRef]
- Pochi, D.; Fanigliulo, R.; Pagano, M.; Grilli, R.; Fedrizzi, M.; Fornaciari, L. Dynamic-energetic balance of agricultural tractors: Active system for the measurement of the power requirements in static test and under field conditions. J. Agric. Eng. 2013, 44, 415–420. [Google Scholar] [CrossRef]
- Szalay, K.; Souček, J.; Bércesi, G.; Bablena, A.; László, K.; Nukeshev, S.O.; Kukharets, S.; Kravchuk, V.; Golub, G.; Machálek, A.; et al. Reconstructed military machinery for unique field testing of agricultural machinery capabilities. Res. Agric. Eng. 2024, 70, 53–59. [Google Scholar] [CrossRef]
- Napoli, R.; Paolanti, M.; Rivieccio, R.; Di Ferdinando, S. Carta dei Suoli del Lazio 1:250.000. ARSIAL—Agenzia Regionale per lo Sviluppo e l’Innovazione dell’Agricoltura del Lazio. 2019. Available online: https://www.arsial.it/focus-tematici/territorio/suoli/la-carta-dei-suoli-unopzione-in-piu-per-il-lazio/ (accessed on 4 February 2026).
- Soil Survey Staff. Keys to Soil Taxonomy, 12th ed.; USDA Natural Resources Conservation Service: Washington, DC, USA, 2014. [Google Scholar]
- ISO 21920-3:2021; Geometrical Product Specifications (GPS)—Surface Texture: Profile—Part 3: Specification Operators. International Organization for Standardization: Geneva, Switzerland, 2021.
- ISO 17892-12:2018; Geotechnical Investigation and Testing—Laboratory Testing of Soil—Part 12: Determination of Liquid and Plastic Limits. International Organization for Standardization: Geneva, Switzerland, 2018.
- ISO 11465:2025; Sludge and Solid Environmental Matrices—Determination of Dry Residue or Water Content and. International Organization for Standardization: Geneva, Switzerland, 2025.
- ISO 11272:2017; Soil Quality—Determination of Dry Bulk Density. International Organization for Standardization: Geneva, Switzerland, 2017.
- Grant, C.D.; Dexter, A.R.; Huang, C. Roughness of soil fracture surfaces as a measure of soil microstructure. J. Soil Sci. 1990, 41, 95–110. [Google Scholar] [CrossRef]
- Fanigliulo, R.; Antonucci, F.; Figorilli, S.; Pochi, D.; Pallottino, F.; Fornaciari, L.; Grilli, R.; Costa, C. Light Drone-Based Application to Assess Soil Tillage Quality Parameters. Sensors 2020, 20, 728. [Google Scholar] [CrossRef]
- ASABE 843-844; S313.3 (R2013): Soil Cone Penetrometer. American Society of Agricultural and Biological Engineers: St. Joseph, MI, USA, 1999.
- Janik, D.; Dudzinski, P.A. Soil penetration testers—State of the art—Part 1—The penetrometer approach. Soil Tillage Res. 2024, 244, 106219. [Google Scholar] [CrossRef]
- ISO 17892-3:2015; Geotechnical Investigation and Testing—Laboratory Testing of Soil—Part 3: Determination of Particle Density. International Organization for Standardization: Geneva, Switzerland, 2017.
- Head, K.H. Manual of Soil Laboratory Testing, Volume 1: Soil Classification and Compaction Tests, 3rd ed.; Whittles Publishing: Dunbeath, UK, 2006; pp. 60–65. [Google Scholar]
- Terzaghi, K.; Peck, R.B.; Mesri, G. Soil Mechanics in Engineering Practice, 3rd ed.; Wiley-Interscience: Hoboken, NJ, USA, 1996. [Google Scholar]
- Mojziš, M.; Jobbágy, J.; Rataj, V.; Zsembeli, J. Impact of machinery passages on soil compaction in field conditions. Acta Technol. Agric. 2024, 27, 116–124. [Google Scholar] [CrossRef]
- Forestti Oliveira, C.; Benz Navarrete, M.A.; Breul, P.; Chevalier, B.; Tran, Q.A. Evaluation of different methods for cone resistance assessment from dynamic penetration tests. J. Geotech. Geoenvironmental Eng. 2025, 151, 04024136. [Google Scholar] [CrossRef]
- Pagliai, M.; Marsili, A.; Servadio, P.; Vignozzi, N.; Pellegrini, S. Changes in some physical properties of a clay soil in Central Italy following the passage of rubber tracked and wheeled tractors of medium power. Soil Tillage Res. 2003, 73, 119–129. [Google Scholar] [CrossRef]
- Ayers, P.D.; Perumpral, J.V. Moisture and density effect on cone index. Trans. ASAE 1982, 25, 1169–1172. [Google Scholar] [CrossRef]
- Busscher, W.J. Adjustment of flat-tipped penetrometer resistance data to a common water content. Trans. ASAE 1990, 33, 519–524. [Google Scholar] [CrossRef]
- Vaz, C.M.P.; Manieri, J.M.; de Maria, I.C.; Tuller, M. Modeling and correction of soil penetration resistance for varying soil water content. Geoderma 2011, 166, 92–101. [Google Scholar] [CrossRef]
- Dexter, A.; Czyż, E.; Gaţe, O. A method for prediction of soil penetration resistance. Soil Tillage Res. 2007, 93, 412–419. [Google Scholar] [CrossRef]
- Santos, F.L.; de Jesus, V.A.M.; Valente, D.S.M. Modeling of soil penetration resistance using statistical analyses and artificial neural networks. Acta Sci.—Agron. 2012, 34, 219–224. [Google Scholar] [CrossRef]
- Lin, J.; Sun, P.; Schulze Lammer, P. Evaluating model-based relationship of cone index, soil water content and bulk density using dual-sensor penetrometer data. Soil Tillage Res. 2014, 138, 9–16. [Google Scholar] [CrossRef]














| Parameters | Unit | Tire Set A (PT) | Tire Set B (Standard) | ||
|---|---|---|---|---|---|
| Rear | Front | Rear | Front | ||
| Size | - | 520/70 R38 | 420/70 R28 | 520/70 R38 | 420/70 R28 |
| Section width | mm | 525 | 415 | 520 | 415 |
| Diameter | mm | 1755 | 1355 | 1740 | 1354 |
| Index radius | mm | 825 | 650 | 825 | 650 |
| Nominal pressure | bar | 1.6 | 1.6 | 1.6 | 1.6 |
| Radius (under load) | mm | 790 | 610 | 774 | 608 |
| Rolling circumference 1 | mm | 5255 | 4070 | 5150 | 4025 |
| Treads | n | 21 | 21 | 18 | 18 |
| Load Index | - | 150 | 150 | 150 | 133 |
| Speed Index | - | D | D | D | D |
| Maximum speed | km h−1 | 65 | 65 | 65 | 65 |
| Nominal rim | - | W16L | W13 | W16L | W13 |
| Horizon | Depth (cm) | Description |
|---|---|---|
| 0 | 0–5 | Organic debris in various stages of decay. |
| Ap | 5–50 | Eluvial horizon, plowed layer (p), with 2.13% humified organic matter but subject to physical compaction. |
| Bt | 50 ≅ 120 | Illuvial horizon: accumulation zone where clay particles from upper layers settle. The plow-pan starts at the top of this layer showing maximum compaction at 60–70 cm. “t” stands for ton (=clay in german). |
| Btg/Cg | >120 | Transitional layer affected by the water table (Tevere river) with redoximorphic features (rusty mottles and grey matrix) due to seasonal waterlogging and oxygen deficiency. “g” stands for gleyic. |
| Soil Characteristics | Unit | Values | Standard Meth. | |
|---|---|---|---|---|
| Texture | Skeleton | % | 0.00 | ISO 21920-3:2021 [62] |
| Sand | % | 2.30 | ||
| Silt | % | 43.40 | ||
| Clay | % | 54.30 | ||
| Atterberg limits | Liquid limit (wL) | % | 62.20 | ISO 17892-12:2018 [63] |
| Plastic limit (wP) | % | 40.30 | ||
| Plasticity index (IP = wL − wP) | % | 21.90 | ||
| Soil Characteristics | Unit | Standard/References | Instruments |
|---|---|---|---|
| Average humidity (w) | % | ISO 11465:2025 [64] | -Hand core sampler with 100 cm3 sampling rings (Royal Eijkelkamp B.V., Giesbeek, The Netherlands) Oven “Bicasa—MFA” (Italy) |
| Consistency index (CI) | - | ISO 17892-12:2018 [63] | Calculated based on Atterberg limits (Table 3) CI = (wL − w)/IP |
| Dry bulk density (ρw) | g cm−3 | ISO 11272:2017 [65] | Hand core sampler with 100 cm3 sampling rings (Royal Eijkelkamp B.V., Giesbeek, The Netherlands) |
| Vegetation Cover (VC) | % | - | Digital anal. of 1 m2 sections of ground surface by means of Adobe Photoshop software v27.4 1 |
| Rugosity (σr) | mm | Refs. [66,67] | Profile meter with laser sensor (Leica Geosystem Disto, Heerbrugg, Switzerland) |
| Average resistance to penetration (cone index) | MPa | ASAE St. S313.3 (R2013): [68], Ref. [69] | Digital penetrometer (Royal Eijkelkamp B.V., Penetrologger, Giesbeek, The Netherlands |
| Void ratio 2 | - | ISO 17892-3:2015 [70] Refs. [71,72] | Calculated 2: e = Gs·ρw − 1, Gs = 2.70 g cm−3 |
| Variables | Denomination | Abbreviation | Position | Size/Value |
|---|---|---|---|---|
| Tires | TM 700 Progressive Traction (BlueTire) | TA (Tire A) | Front | 420/70 R28 |
| Rear | 520/70 R38 | |||
| TM 700 | TB (Tire B) | Front | 420/70 R28 | |
| Rear | 520/70 R38 | |||
| Pressure (bar) | Pressure 1 | P1 | Front | 1.2 |
| Rear | 1.6 | |||
| Pressure 2 | P2 | Front | 1.0 | |
| Rear | 1.0 | |||
| Force of traction (daN) | - | SD 1 | - | 0 1 |
| - | F1 2 | - | 1200 | |
| - | F2 2 | - | 1800 | |
| - | F3 2 | - | 3000 | |
| - | F4 2 | - | 3800 | |
| - | F5 2 | - | 4200 | |
| - | F6 2 | - | 4900 |
| Parameters | Symbols | Unit | Sensor/Formula | |
|---|---|---|---|---|
| Measured | Time to cover the 50-m base | t50 | s | DAS clock |
| Force of traction | Ft | daN | Load cell | |
| Wheel revolutions 1 | N | No. | Digital encoders | |
| Fuel volumetric consumption | Cv | cm3 | Fuel consumption meter | |
| Derivative | Travel speed | v0 | m s−1 | v0 = 50 m/t50 |
| Wheel’s peripheral speed 2 | vw | m s−1 | vw = N·2πr2 | |
| Slip 3 | s | % | S = 100·(vw − v0)/vw | |
| Fuel cons. per surface unit | Cha | kg ha−1 | Cha = Cv·10/(0.84·L·d)3 | |
| Traction power | Pt | kW | Pt = Ft·v0/100 | |
| Slip power losses | Ps | kW | Ps = Ft·(vw − v0)/100 | |
| Traction energy | Et | kWh | Et = Pt·t50/3600 | |
| Slip energy losses | Es | kWh | Es = Ps·t50/3600 | |
| Traction energy per surface unit | Etha | kWh ha−1 | Etha =Et·10,000/(L·d)3 | |
| Slip energy losses per surface unit | Esha | kWh ha−1 | Esha =Es·10,000/(L·d)3 | |
| Soil Characteristics | S. Depth (mm) | Test Field | TA Plot | TB Plot | ||||||
|---|---|---|---|---|---|---|---|---|---|---|
| Aver. | St. Dev. | St. Err. | Aver. | St. Dev. | St. Err. | Aver. | St. Dev. | St. Err. | ||
| Veg. Cover, VC, (%) | 0 | 28.00 | 3.94 | 1.39 | 28.75 | 4.83 | 1.71 | 27.25 | 3.38 | 1.19 |
| Rugosity, σr, (mm) | 0 | 28.56 | 6.97 | 24.41 | 28.39 | 7.33 | 2.59 | 28.73 | 7.72 | 2.73 |
| Humidity (w), % | 0–100 | 21.40 | 0.81 | 0.01 | 21.23 | 0.93 | 0.40 | 21.57 | 0.76 | 0.46 |
| 100–200 | 22.80 | 0.93 | 0.01 | 22.75 | 0.90 | 0.47 | 22.85 | 1.10 | 0.45 | |
| Consistency index (Ci) | 0–100 | 1.863 | 0.04 | 0.001 | 1.871 | 0.04 | 0.02 | 1.855 | 0.03 | 0.02 |
| 100–200 | 1.799 | 0.04 | 0.001 | 1.801 | 0.04 | 0.02 | 1.797 | 0.05 | 0.02 | |
| Dry bulk density, ρw, (g cm−3) | 0–100 | 1.345 | 0.03 | 0.000 | 1.350 | 0.02 | 0.02 | 1.340 | 0.04 | 0.01 |
| 100–200 | 1.404 | 0.04 | 0.001 | 1.403 | 0.04 | 0.02 | 1.406 | 0.05 | 0.02 | |
| Void ratio, (e) 1 | 0–100 | 1.009 | 0.03 | 0.000 | 1.001 | 0.03 | 0.02 | 1.017 | 0.06 | 0.02 |
| 100–200 | 0.924 | 0.05 | 0.001 | 0.926 | 0.05 | 0.03 | 0.922 | 0.07 | 0.03 | |
| Cone index, CI, (Mpa) | 0–400 | 0.775 | 0.04 | 0.001 | 0.804 | 0.04 | 0.02 | 0.745 | 0.02 | 0.02 |
| 0–800 | 1.484 | 0.02 | 0.000 | 1.527 | 0.02 | 0.01 | 1.441 | 0.01 | 0.01 | |
| Parameters | Comb. | SD | 1200 | 1800 | 3000 | 3800 | 4200 | 4900 | ||||||||||||||
|---|---|---|---|---|---|---|---|---|---|---|---|---|---|---|---|---|---|---|---|---|---|---|
| Mean | St. Dev. | CV | Mean | St. Dev. | CV | Mean | St. Dev. | CV | Mean | St. Dev. | CV | Mean | St. Dev. | CV | Mean | St. Dev. | CV | Mean | St. Dev. | CV | ||
| Traction force (daN) | TA-P1 | - | - | - | 1202 | 59.99 | 4.99 | 1743 | 73.05 | 4.19 | 3057 | 40.95 | 1.34 | 3888 | 24.30 | 0.62 | 4455 | 71.39 | 1.60 | 4871 | 9.98 | 0.20 |
| TA-P2 | - | - | - | 1422 | 102.70 | 7.22 | 1790 | 86.65 | 4.84 | 3112 | 46.60 | 1.50 | 3651 | 30.05 | 0.82 | 4076 | 52.90 | 1.30 | 4758 | 14.55 | 0.31 | |
| TB-P1 | - | - | - | 1147 | 45.56 | 3.97 | 1798 | 27.89 | 1.55 | 2988 | 48.71 | 1.63 | 4141 | 31.44 | 0.76 | 4730 | 10.15 | 0.21 | ||||
| TB-P2 | - | - | - | 1151 | 55.79 | 4.85 | 1856 | 123.23 | 6.64 | 2975 | 34.30 | 1.15 | 4075 | 38.84 | 0.95 | 5013 | 5.43 | 0.11 | ||||
| Speed (m s−1) | TA-P1 | 1.70 | 0.01 | 0.5 | 1.61 | 0.02 | 1.39 | 1.48 | 0.01 | 0.37 | 1.38 | 0.01 | 1.01 | 1.11 | 0.01 | 0.89 | 0.86 | 0.00 | 0.52 | 0.64 | 0.00 | 0.45 |
| TA-P2 | 1.70 | 0.01 | 0.7 | 1.60 | 0.01 | 0.33 | 1.57 | 0.02 | 1.03 | 1.40 | 0.01 | 0.49 | 1.27 | 0.01 | 1.11 | 1.14 | 0.00 | 0.43 | 0.86 | 0.01 | 0.85 | |
| TB-P1 | 1.70 | 0.02 | 1.0 | 1.61 | 0.01 | 0.88 | 1.56 | 0.02 | 1.07 | 1.36 | 0.02 | 1.44 | 1.03 | 0.01 | 0.67 | 0.82 | 0.01 | 1.61 | ||||
| TB-P2 | 1.67 | 0.01 | 0.3 | 1.61 | 0.01 | 0.51 | 1.55 | 0.01 | 0.33 | 1.41 | 0.01 | 0.54 | 1.13 | 0.01 | 0.48 | 0.69 | 0.00 | 0.40 | ||||
| Fuel cons. (kg ha−1) | TA-P1 | 11.07 | 0.99 | 8.9 | 14.55 | 0.20 | 1.40 | 15.48 | 1.14 | 7.37 | 21.25 | 0.46 | 2.15 | 24.95 | 1.20 | 4.80 | 31.44 | 2.27 | 7.22 | 37.92 | 0.22 | 0.59 |
| TA-P2 | 10.75 | 0.96 | 9.0 | 14.81 | 1.21 | 8.20 | 15.96 | 0.98 | 6.16 | 20.76 | 0.49 | 2.37 | 22.81 | 0.62 | 2.72 | 24.28 | 0.41 | 1.67 | 29.68 | 0.50 | 1.67 | |
| TB-P1 | 11.41 | 0.60 | 5.3 | 14.72 | 1.70 | 11.54 | 17.27 | 0.64 | 3.68 | 20.81 | 0.19 | 0.94 | 26.14 | 0.52 | 2.01 | 38.32 | 2.17 | 5.67 | ||||
| TB-P2 | 10.77 | 1.14 | 10.6 | 14.10 | 1.30 | 9.22 | 16.59 | 0.83 | 5.00 | 23.72 | 2.15 | 9.06 | 24.63 | 0.96 | 3.90 | 37.57 | 0.50 | 1.34 | ||||
| Traction power (kW) | TA-P1 | - | - | - | 19.35 | 0.71 | 3.69 | 25.83 | 0.99 | 3.82 | 42.12 | 0.72 | 1.70 | 43.27 | 0.54 | 1.26 | 38.45 | 0.81 | 2.11 | 31.06 | 0.10 | 0.33 |
| TA-P2 | - | - | - | 1.71 | 7.48 | 0.85 | 1.07 | 3.83 | 0.54 | 0.74 | 1.69 | 0.37 | 0.20 | 0.42 | 0.10 | 0.61 | 1.32 | 0.31 | 0.44 | 1.08 | 0.22 | |
| TB-P1 | - | - | - | 18.48 | 0.79 | 4.25 | 28.11 | 0.32 | 1.14 | 40.69 | 0.53 | 1.30 | 42.63 | 0.41 | 0.97 | 38.56 | 0.62 | 1.61 | ||||
| TB-P2 | - | - | - | 18.51 | 0.86 | 4.67 | 28.76 | 1.86 | 6.47 | 41.83 | 0.46 | 1.11 | 46.16 | 0.63 | 1.37 | 34.65 | 0.10 | 0.30 | ||||
| Slip (%) | TA-P1 | - | - | - | 5.19 | 1.19 | 22.93 | 6.70 | 0.26 | 3.93 | 14.75 | 0.90 | 6.07 | 22.60 | 0.63 | 2.79 | 33.45 | 0.21 | 0.63 | 42.87 | 0.17 | 0.39 |
| TA-P2 | - | - | - | 4.39 | 0.46 | 10.36 | 6.14 | 0.87 | 14.23 | 11.71 | 0.34 | 2.90 | 15.49 | 0.68 | 4.36 | 18.59 | 0.34 | 1.84 | 29.50 | 0.69 | 2.32 | |
| TB-P1 | - | - | - | 4.46 | 0.79 | 17.75 | 6.54 | 1.03 | 15.75 | 14.04 | 1.02 | 7.25 | 25.00 | 0.40 | 1.60 | 36.44 | 1.20 | 3.28 | ||||
| TB-P2 | - | - | - | 2.93 | 0.44 | 14.84 | 5.70 | 0.28 | 4.88 | 11.73 | 0.49 | 4.15 | 20.96 | 0.55 | 2.63 | 42.24 | 0.17 | 0.40 | ||||
| Slip power losses (kW) | TA-P1 | - | - | - | 1.01 | 0.26 | 26.04 | 1.73 | 0.13 | 7.52 | 6.21 | 0.32 | 5.23 | 9.78 | 0.34 | 3.46 | 12.86 | 0.24 | 1.87 | 13.31 | 0.04 | 0.31 |
| TA-P2 | - | - | - | 0.04 | 3.84 | 0.02 | 0.31 | 17.91 | 0.15 | 0.18 | 3.46 | 0.09 | 0.32 | 4.46 | 0.16 | 0.20 | 2.32 | 0.10 | 0.18 | 1.49 | 0.09 | |
| TB-P1 | - | - | - | 0.82 | 0.14 | 16.92 | 1.84 | 0.29 | 15.65 | 5.71 | 0.40 | 6.95 | 10.65 | 0.11 | 0.99 | 14.05 | 0.26 | 1.88 | ||||
| TB-P2 | - | - | - | 0.54 | 0.09 | 17.04 | 1.64 | 0.14 | 8.43 | 4.91 | 0.24 | 4.85 | 9.67 | 0.20 | 2.10 | 14.64 | 0.02 | 0.15 | ||||
| Specific energy (kWh ha−1) | TA-P1 | - | - | - | 16.69 | 0.83 | 4.99 | 24.21 | 1.01 | 4.19 | 42.46 | 0.57 | 1.34 | 54.00 | 0.34 | 0.62 | 61.88 | 0.99 | 1.60 | 67.66 | 0.14 | 0.20 |
| TA-P2 | - | - | - | 19.75 | 1.43 | 7.22 | 24.87 | 1.20 | 4.84 | 43.22 | 0.65 | 1.50 | 50.71 | 0.42 | 0.82 | 56.61 | 0.73 | 1.30 | 66.09 | 0.20 | 0.31 | |
| TB-P1 | - | - | - | 15.94 | 0.63 | 3.97 | 24.98 | 0.39 | 1.55 | 41.50 | 0.68 | 1.63 | 57.51 | 0.44 | 0.76 | 65.70 | 0.14 | 0.21 | ||||
| TB-P2 | - | - | - | 15.99 | 0.77 | 4.85 | 25.78 | 1.71 | 6.64 | 41.32 | 0.48 | 1.15 | 56.59 | 0.54 | 0.95 | 69.62 | 0.08 | 0.11 | ||||
| Specific energy losses (kWh ha−1) | TA-P1 | - | - | - | 0.87 | 0.24 | 27.38 | 1.62 | 0.13 | 7.90 | 6.26 | 0.39 | 6.15 | 12.21 | 0.41 | 3.36 | 20.70 | 0.28 | 1.36 | 29.00 | 0.11 | 0.39 |
| TA-P2 | - | - | - | 0.86 | 0.04 | 4.11 | 1.54 | 0.29 | 18.90 | 5.06 | 0.19 | 3.69 | 7.86 | 0.35 | 4.47 | 10.52 | 0.23 | 2.23 | 19.50 | 0.40 | 2.08 | |
| TB-P1 | - | - | - | 0.71 | 0.13 | 17.77 | 1.64 | 0.28 | 16.83 | 5.83 | 0.49 | 8.32 | 14.38 | 0.17 | 1.16 | 23.94 | 0.80 | 3.35 | ||||
| TB-P2 | - | - | - | 0.47 | 0.08 | 17.55 | 1.47 | 0.13 | 8.71 | 4.85 | 0.25 | 5.20 | 11.86 | 0.28 | 2.35 | 29.41 | 0.15 | 0.51 | ||||
| Comparation At: | Comb. | s | Ft | Diff. Ft (Ref. TB-P1) | Diff. Slip (Ref. TB-P1) 1 | ||
|---|---|---|---|---|---|---|---|
| % | daN | daN | % | % | % | ||
| 20% slip | TA-P1 | 20 | 3591 | −106.4 | −2.9 | - | - |
| TA-P2 | 20 | 4104 | 406.2 | 11.0 | - | - | |
| TB-P1 | 20 | 3698 | 0.0 | 0.0 | - | - | |
| TB-P2 | 20 | 3886 | 187.9 | 5.1 | - | - | |
| 4000 daN Ft | TA-P1 | 25.33 | 4000 | - | - | 1.48 | 6.2 |
| TA-P2 | 18.90 | 4000 | - | - | −4.95 | −20.8 | |
| TB-P1 | 23.85 | 4000 | - | - | 0.00 | 0.0 | |
| TB-P2 | 21.58 | 4000 | - | - | −2.27 | −9.5 | |
| Comb. | Cha | Difference 1 | Esha | Difference 1 | Etha | Difference 1 | |||
|---|---|---|---|---|---|---|---|---|---|
| kg ha−1 | kg ha−1 | % | kWh ha−1 | kWh ha−1 | % | kWh ha−1 | kWh ha−1 | % | |
| TA-P1 | 27.98 | −0.40 | −1.40 | 13.57 | 0.77 | 6.02 | 69.46 | 0.79 | 1.15 |
| TA-P2 | 24.72 | −3.66 | −12.89 | 9.98 | −2.81 | −21.98 | 65.78 | −2.89 | −4.21 |
| TB-P1 | 28.37 | 0.00 | 0.00 | 12.80 | 0.00 | 0.00 | 68.67 | 0.00 | 0.00 |
| TB-P2 | 27.74 | −0.63 | −2.24 | 11.09 | −1.71 | −13.37 | 66.97 | −1.70 | −2.48 |
| Comb. | Descript. | d0–15 | d15–30 | d30–45 | d45–60 | d>60 | d0–80 |
|---|---|---|---|---|---|---|---|
| u.s. | Mean | 0.69 | 0.73 | 1.06 | 1.88 | 2.74 | 1.52 |
| Dev. St. | 0.25 | 0.08 | 0.14 | 0.42 | 0.31 | 0.19 | |
| Cv | 35.66 | 10.80 | 13.18 | 22.17 | 11.28 | 12.31 | |
| St. Error | 0.12 | 0.04 | 0.07 | 0.21 | 0.15 | 0.09 | |
| Max | 0.77 | 0.92 | 1.51 | 2.29 | 2.96 | 2.96 | |
| Min | 0.50 | 0.60 | 0.84 | 1.49 | 2.30 | 0.50 | |
| TAP1 | Mean | 1.66 | 0.92 | 1.09 | 1.89 | 2.80 | 1.76 |
| Dev. St. | 0.25 | 0.18 | 0.28 | 0.59 | 0.36 | 0.22 | |
| Cv | 14.97 | 19.76 | 26.00 | 31.00 | 12.79 | 12.58 | |
| St. Error | 0.12 | 0.09 | 0.14 | 0.29 | 0.18 | 0.11 | |
| Max | 2.16 | 1.01 | 1.43 | 2.44 | 2.92 | 2.92 | |
| Min | 0.84 | 0.84 | 0.88 | 1.50 | 2.58 | 0.84 | |
| TAP2 | Mean | 1.32 | 0.87 | 1.19 | 1.93 | 2.36 | 1.60 |
| Dev. St. | 0.42 | 0.10 | 0.14 | 0.66 | 0.49 | 0.24 | |
| Cv | 31.83 | 11.16 | 11.90 | 33.96 | 20.80 | 15.08 | |
| St. Error | 0.21 | 0.05 | 0.07 | 0.33 | 0.25 | 0.12 | |
| Max | 1.63 | 0.94 | 1.70 | 2.10 | 2.73 | 2.73 | |
| Min | 0.89 | 0.80 | 1.04 | 1.75 | 2.15 | 0.80 | |
| TBP1 | Mean | 1.59 | 0.94 | 1.14 | 1.83 | 2.10 | 1.56 |
| Dev. St. | 0.17 | 0.15 | 0.24 | 0.27 | 0.21 | 0.18 | |
| Cv | 10.90 | 15.88 | 21.13 | 15.00 | 9.98 | 11.71 | |
| St. Error | 0.09 | 0.07 | 0.12 | 0.14 | 0.10 | 0.09 | |
| Max | 2.05 | 1.09 | 1.66 | 2.02 | 2.44 | 2.44 | |
| Min | 1.05 | 0.76 | 0.72 | 1.60 | 1.85 | 0.72 | |
| TBP2 | Mean | 1.45 | 0.86 | 1.47 | 1.53 | 2.19 | 1.55 |
| Dev. St. | 0.16 | 0.14 | 0.25 | 0.46 | 0.38 | 0.23 | |
| Cv | 11.12 | 15.84 | 17.05 | 30.26 | 17.49 | 14.62 | |
| St. Error | 0.08 | 0.07 | 0.13 | 0.23 | 0.19 | 0.11 | |
| Max | 1.95 | 0.98 | 1.87 | 1.77 | 2.41 | 2.41 | |
| Min | 1.00 | 0.77 | 0.91 | 1.37 | 1.87 | 0.77 |
| Factors/Interaction | Df | Sum Sq. | Mean Sq. | F Value | Pr (>F) | Signif. |
|---|---|---|---|---|---|---|
| Replication | 3 | 0.61 | 0.204 | 2.386 | 0.0745 | . |
| Depth | 4 | 37.2 | 9.301 | 108.54 | <2−16 | *** |
| Tire | 1 | 0.53 | 0.532 | 6.205 | 0.0146 | * |
| Press | 2 | 1.41 | 0.704 | 8.22 | 0.0005 | *** |
| Depth:Tire | 4 | 1.44 | 0.359 | 4.193 | 0.0038 | ** |
| Depth:Press | 8 | 4.52 | 0.565 | 6.594 | 0.0000 | *** |
| Tire:Press | 2 | 0.29 | 0.144 | 1.677 | 0.1929 | |
| Depth:Tire:Press | 8 | 0.38 | 0.047 | 0.553 | 0.8132 | |
| Residuals | 87 | 7.46 | 0.086 | · | · | · |
| Interaction | Difference | lwr | upr | p Adj. | |
|---|---|---|---|---|---|
| Depth | d2-d1 | −0.338 | −0.574 | −0.103 | 0.001 |
| d3-d1 | −0.014 | −0.249 | 0.221 | 1.000 | |
| d4-d1 | 0.601 | 0.366 | 0.837 | 0.000 | |
| d5-d1 | 1.229 | 0.994 | 1.465 | 0.000 | |
| d3-d2 | 0.324 | 0.089 | 0.560 | 0.002 | |
| d4-d2 | 0.940 | 0.704 | 1.175 | 0.000 | |
| d5-d2 | 1.567 | 1.332 | 1.803 | 0.000 | |
| d4-d3 | 0.616 | 0.380 | 0.851 | 0.000 | |
| d4-d3 | 0.616 | 0.380 | 0.851 | 0.000 | |
| d5-d4 | 0.628 | 0.392 | 0.863 | 0.000 | |
| Pressure | p2-p1 | −0.063 | −0.219 | 0.093 | 0.603 |
| us-p1 | −0.255 | −0.411 | −0.099 | 0.001 | |
| us-p2 | −0.192 | −0.348 | −0.036 | 0.012 | |
| Tire | TB-TA | −0.133 | −0.239 | −0.027 | 0.015 |
| Interaction | Comb. | Significances | Notes | |
|---|---|---|---|---|
| No. | No. | % | ||
| Depth:Tire | 45 | 31 | 68.90 | 15 significant combinations (48.4%) contain TA vs. TB |
| Depth:Press | 105 | 65 | 61.90 | 31 significant combinations (63.8%) contain (US) |
| Descriptors | TA-P1 | TA-P2 | TB-P1 | TB-P2 | ||||
|---|---|---|---|---|---|---|---|---|
| Δci | θ | Δci | θ | Δci | θ | Δci | θ | |
| Mean | 0.83 | 24.05 | 0.55 | 22.91 | 0.98 | 24.52 | 0.86 | 23.30 |
| Max | 1.63 | 24.31 | 1.10 | 23.14 | 1.74 | 25.10 | 1.60 | 23.41 |
| Min | 0.20 | 23.87 | 0.07 | 22.78 | 0.42 | 24.21 | 0.20 | 23.15 |
| St. Dev. | 0.13 | 0.19 | 0.32 | 0.16 | 0.15 | 0.40 | 0.08 | 0.12 |
| CV | 15.92 | 0.10 | 57.99 | 0.08 | 14.82 | 0.20 | 8.89 | 0.06 |
| St. Err. | 0.07 | 0.80 | 0.16 | 0.71 | 0.07 | 1.63 | 0.04 | 0.50 |
| Factor/Inter. | Df | Sum Sq. | Mean Sq. | F Value | Pr (>F) | Sign. 1 |
|---|---|---|---|---|---|---|
| Replication | 3 | 0.219 | 0.073 | 2.914 | ||
| Tire | 1 | 0.212 | 0.212 | 8.461 | 0.017 | * |
| Press | 1 | 0.160 | 0.160 | 6.410 | 0.032 | * |
| Tire:Press | 1 | 0.023 | 0.023 | 0.928 | 0.361 | |
| Residuals | 9 | 0.225 | 0.025 | · | · | · |
| Factor/Inter. | Comparison | diff | lwr | upr | p Adj. |
|---|---|---|---|---|---|
| Tire | TB-TA | 0.230 | 0.051 | 0.409 | 0.017 |
| Press | P2-P1 | −0.200 | −0.379 | −0.021 | 0.032 |
| interaction Tire:Press | TB:P1/TA:P1 | 0.154 | −0.195 | 0.503 | 0.543 |
| TA:P2/TA:P1 | −0.276 | −0.626 | 0.073 | 0.132 | |
| TB:P2/TA:P1 | 0.030 | −0.319 | 0.379 | 0.993 | |
| TA:P2/TB:P1 | −0.430 | −0.779 | −0.081 | 0.017 | |
| TB:P2/TB:P1 | −0.124 | −0.473 | 0.225 | 0.693 | |
| TB:P2/TA:P2 | 0.306 | −0.043 | 0.655 | 0.089 |
| Before Tractor Passes | After Tractor Passes | Variation | ||||||||||||
|---|---|---|---|---|---|---|---|---|---|---|---|---|---|---|
| u.s. | CI0–20 (MPa) | θ | ρw | e | Φ | Comb. | CI0–20 (MPa) | θ | ρw | e | Φ | Δρw | Δe | ΔΦ |
| (cm3 cm−3) | (g cm−3) | (%) | (cm3 cm−3) | (g cm−3) | (%) | (%) | (%) | (%) | ||||||
| TA plot | 0.6 | 0.220 | 1.38 | 0.957 | 0.49 | TAP1 | 1.43 | 0.24 | 1.657 | 0.630 | 0.39 | 20.1 | −34.2 | −21.14 |
| TAP2 | 1.15 | 0.23 | 1.569 | 0.721 | 0.42 | 13.7 | −24.6 | −14.52 | ||||||
| TB-plot | 0.51 | 0.222 | 1.37 | 0.971 | 0.492 | TBP1 | 1.49 | 0.245 | 1.678 | 0.609 | 0.38 | 22.5 | −37.3 | −23.07 |
| TBP2 | 1.37 | 0.233 | 1.625 | 0.662 | 0.40 | 18.6 | −31.8 | −19.06 | ||||||
Disclaimer/Publisher’s Note: The statements, opinions and data contained in all publications are solely those of the individual author(s) and contributor(s) and not of MDPI and/or the editor(s). MDPI and/or the editor(s) disclaim responsibility for any injury to people or property resulting from any ideas, methods, instructions or products referred to in the content. |
© 2026 by the authors. Licensee MDPI, Basel, Switzerland. This article is an open access article distributed under the terms and conditions of the Creative Commons Attribution (CC BY) license.
Share and Cite
Fanigliulo, R.; Pochi, D.; Grilli, R.; Benigni, S.; Scutaru, D.; Fornaciari, L. Comparative Tests of Two Tire Models for Agricultural Tractors: Soil Compaction, Tractive Performance and Energy Requirements. Environments 2026, 13, 150. https://doi.org/10.3390/environments13030150
Fanigliulo R, Pochi D, Grilli R, Benigni S, Scutaru D, Fornaciari L. Comparative Tests of Two Tire Models for Agricultural Tractors: Soil Compaction, Tractive Performance and Energy Requirements. Environments. 2026; 13(3):150. https://doi.org/10.3390/environments13030150
Chicago/Turabian StyleFanigliulo, Roberto, Daniele Pochi, Renato Grilli, Stefano Benigni, Daniela Scutaru, and Laura Fornaciari. 2026. "Comparative Tests of Two Tire Models for Agricultural Tractors: Soil Compaction, Tractive Performance and Energy Requirements" Environments 13, no. 3: 150. https://doi.org/10.3390/environments13030150
APA StyleFanigliulo, R., Pochi, D., Grilli, R., Benigni, S., Scutaru, D., & Fornaciari, L. (2026). Comparative Tests of Two Tire Models for Agricultural Tractors: Soil Compaction, Tractive Performance and Energy Requirements. Environments, 13(3), 150. https://doi.org/10.3390/environments13030150

