Evaluation of Petroleum Hydrocarbon-Contaminated Soil Remediation Technologies and Their Effects on Soybean Growth
Abstract
1. Introduction
- (1)
- Evaluate the impact of different FeSO4 and PS ratios on TPH removal.
- (2)
- Investigate the effects of PS remediation on soil physicochemical properties in TPH-contaminated soil.
- (3)
- Assess the suitability of various FeSO4 and PS treatments for crop growth.
2. Materials and Methods
2.1. Soil Samples and Chemicals Used in the Study
2.2. Experimental Design
2.3. The TPH Concentration and Fraction Analysis
2.4. Soil Properties Analysis
2.5. Crop Growth Physiological Traits
2.6. Statistical Analysis
3. Results and Discussion
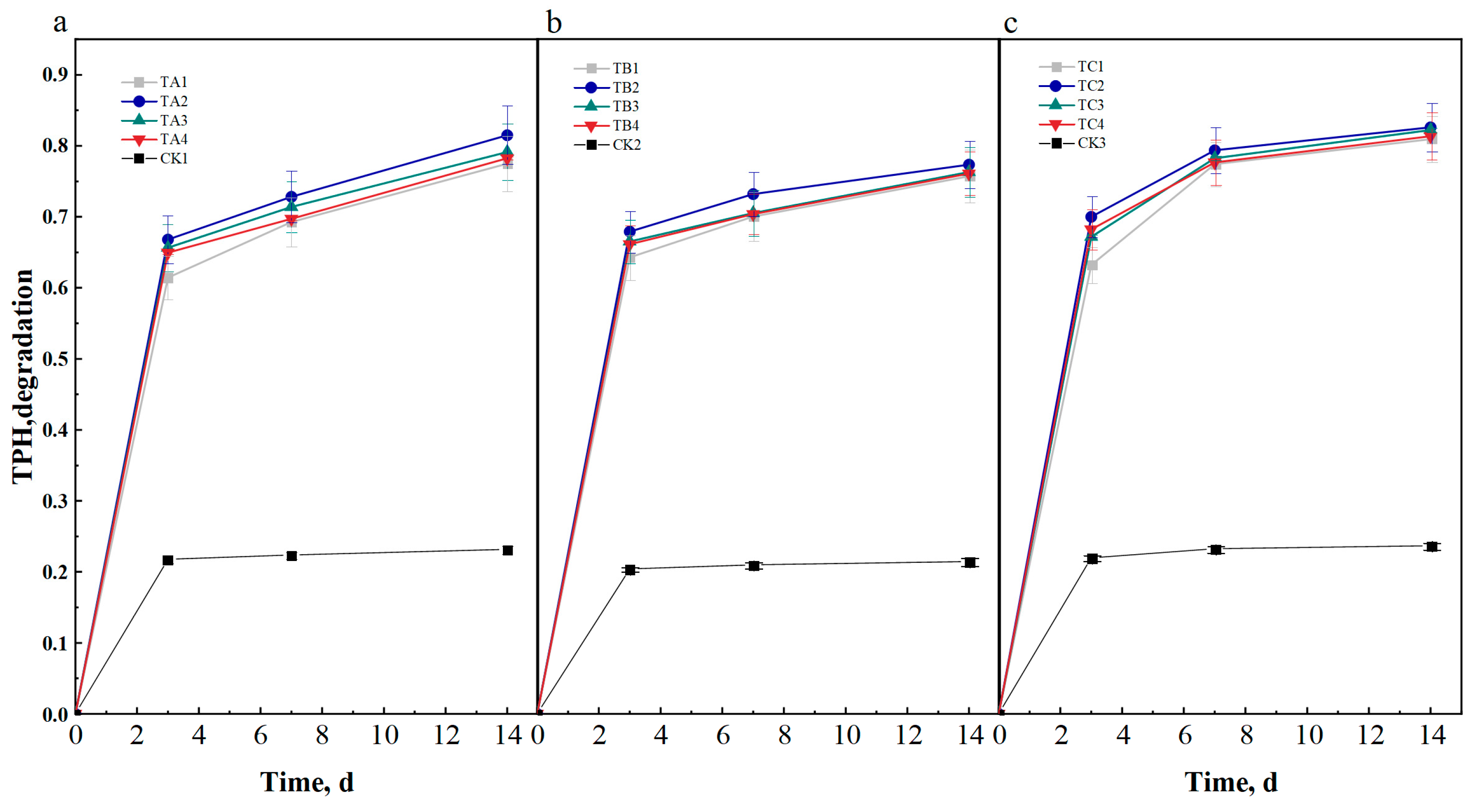
3.1. The Degradation of TPHs and Fraction Analysis
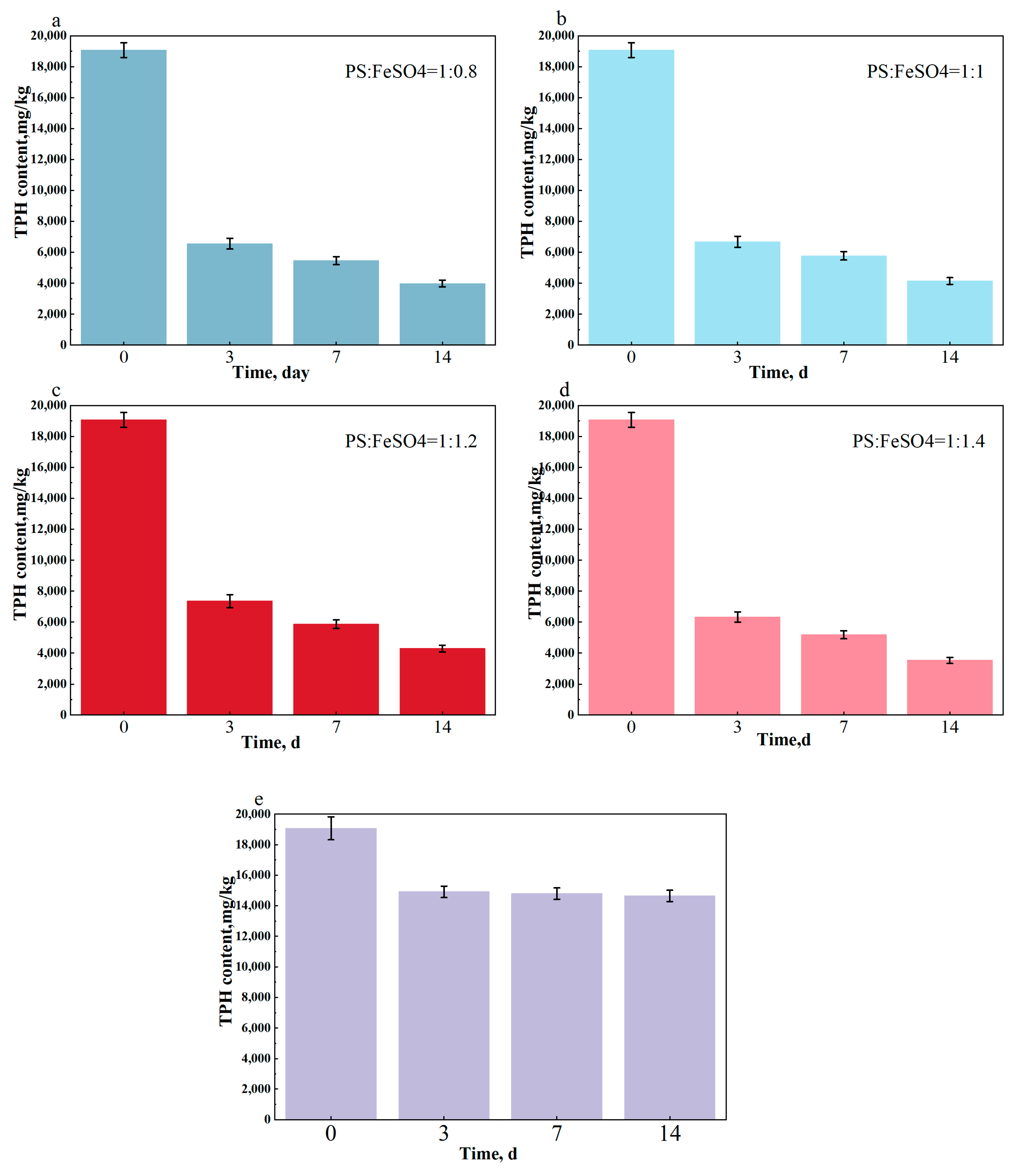
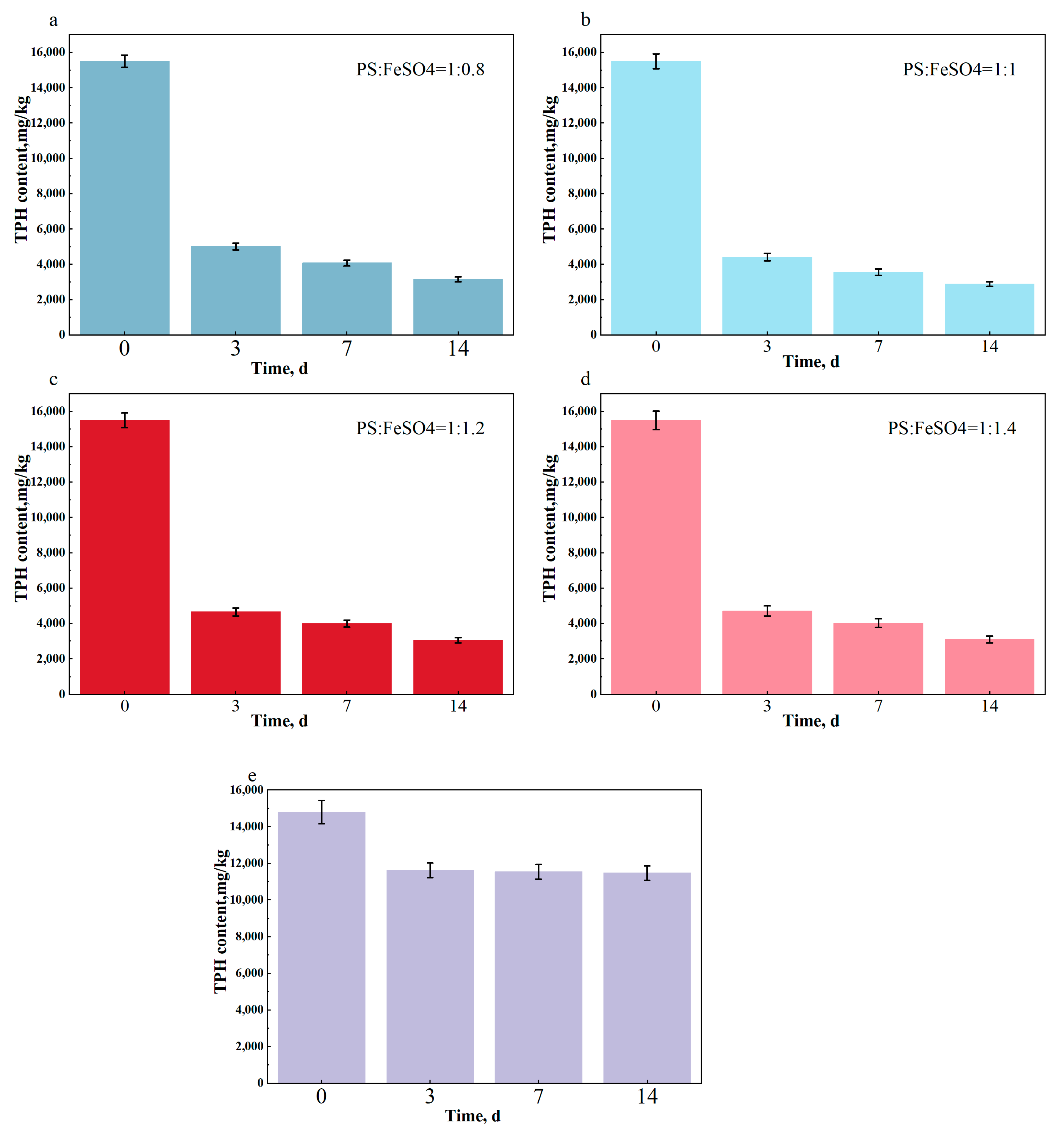
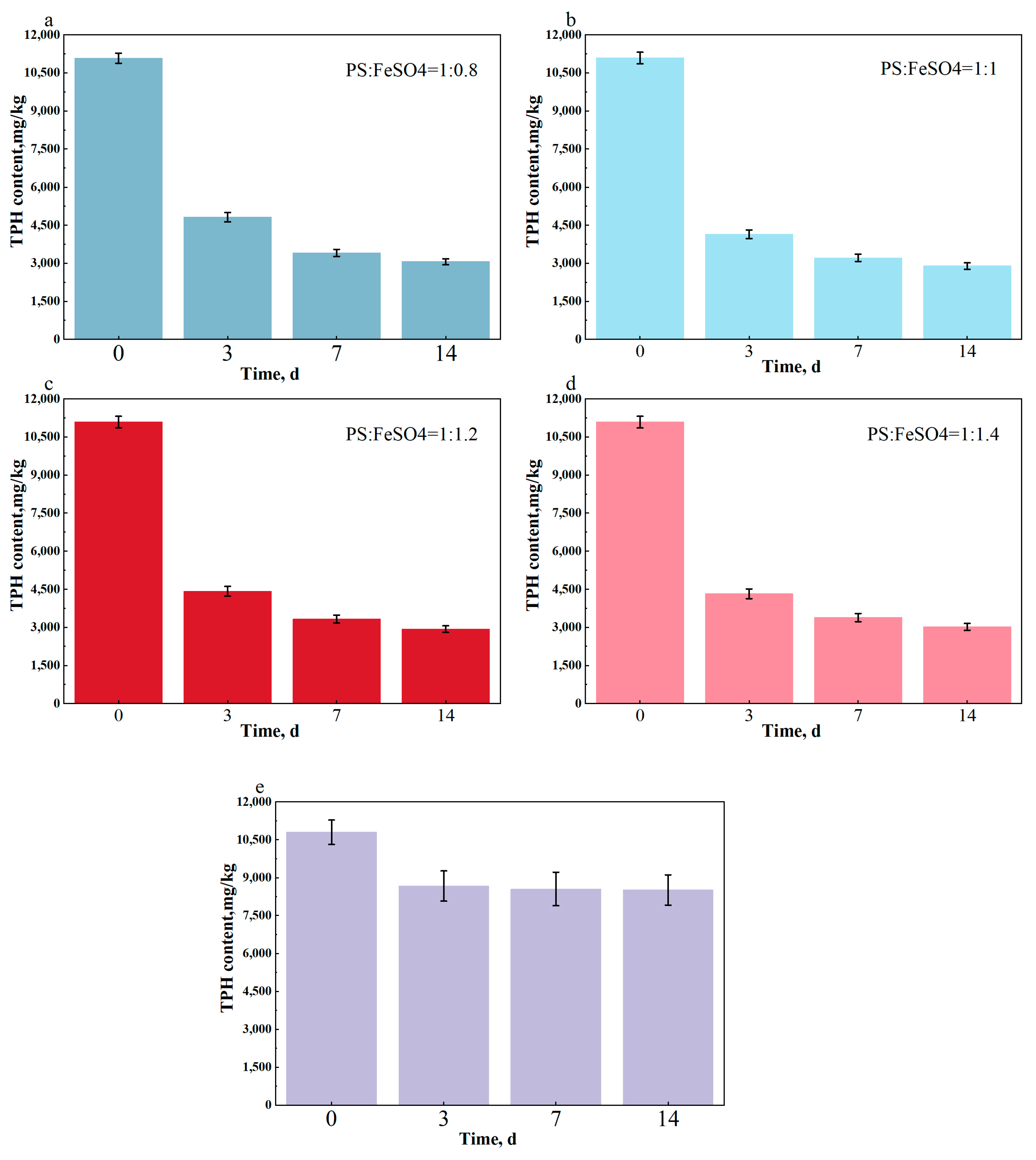
3.2. The Effect of Remediation on TPH Concentrations Under Different PS:FeSO4 Ratios
3.3. Changes in the Physicochemical Properties of Soil After Oxidation
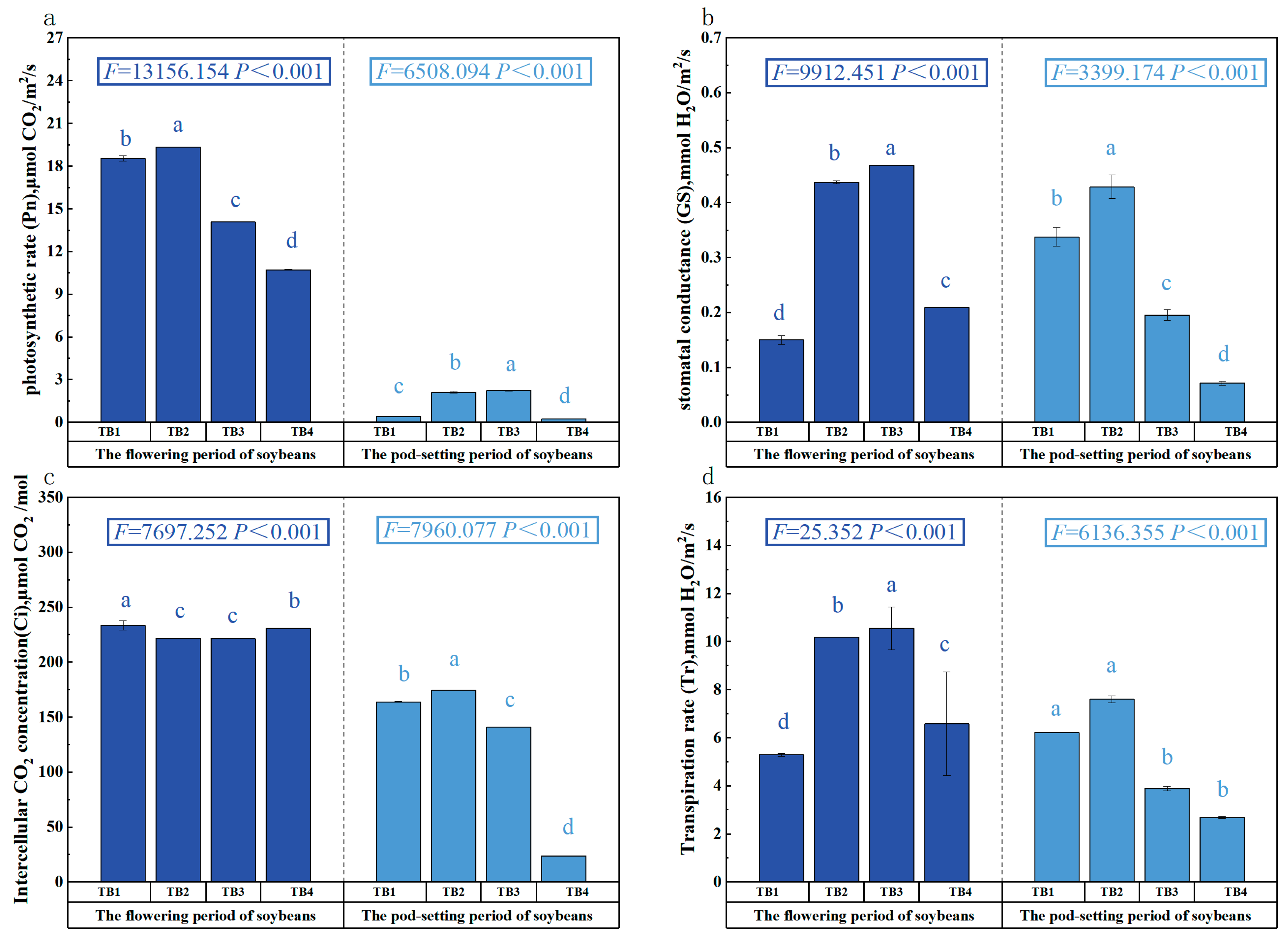
3.4. Effects of Oxidized Soil on Plant Growth
4. Conclusions
Author Contributions
Funding
Data Availability Statement
Conflicts of Interest
Abbreviations
References
- Hu, G.; Li, J.; Zeng, G. Recent development in the treatment of oily sludge from petroleum industry: A review. J Hazard Mater. 2013, 261, 470–490. [Google Scholar] [CrossRef] [PubMed]
- Savonina, E.; Maryutina, T. Use of rotating-coiled columns for sample preparation in the analysis of petropolluted soils. J. Anal. Chem. 2008, 63, 618–621. [Google Scholar] [CrossRef]
- Wu, H.; Sun, L.; Wang, H.; Wang, X. Persulfate Oxidation for the Remediation of Petroleum Hydrocarbon-Contaminated Soils. Pol. J. Environ. Stud. 2016, 25, 851–857. [Google Scholar] [CrossRef] [PubMed]
- Zhu, C.; Zhu, F.; Wang, F.; Gao, J.; Fan, G.; Zhou, D.; Fang, G. Comparison of Persulfate Activation and Fenton Reaction in Remediating an Organophosphorus Pesticides-Polluted Soil. Pedosphere 2017, 27, 465–474. [Google Scholar] [CrossRef]
- Lv, Y.; Bao, J.; Zhu, L. A comprehensive review of recent and perspective technologies and challenges for the remediation of oil-contaminated sites. Energy Rep. 2022, 8, 7976–7988. [Google Scholar] [CrossRef]
- Liao, X.; Wu, Z.; Li, Y.; Cao, H.; Su, C. Effect of various chemical oxidation reagents on soil indigenous microbial diversity in remediation of soil contaminated by PAHs. Chemosphere 2019, 226, 483–491. [Google Scholar] [CrossRef] [PubMed]
- Li, D.; Zhao, Y.; Wang, L.; Wei, S.; Huang, S. Remediation of phenanthrene contaminated soil through persulfate oxidation coupled microbial fortification. J. Environ. Chem. Eng. 2021, 9, 106098. [Google Scholar] [CrossRef]
- Liu, N.; Wang, L.; Cao, D.; Li, D.; Zhu, Y.; Huang, S.; Shi, J. Remediation of petroleum contaminated soil by persulfate oxidation coupled with microbial degradation. J. Environ. Chem. Eng. 2023, 11, 109910. [Google Scholar] [CrossRef]
- Duan, X.; Sun, H.; Ao, Z.; Zhou, L.; Wang, G.; Wang, S. Unveiling the active sites of graphene-catalyzed peroxymonosulfate activation. Carbon 2016, 107, 371–378. [Google Scholar] [CrossRef]
- Duan, X.; Yang, S.; Wacławek, S.; Fang, G.; Xiao, R.; Dionysiou, D.D. Limitations and prospects of sulfate-radical based advanced oxidation processes. J. Environ. Chem. Eng. 2020, 8, 103849. [Google Scholar] [CrossRef]
- Kaur, B.; Kuntus, L.; Tikker, P.; Kattel, E.; Trapido, M.; Dulova, N. Photo-induced oxidation of ceftriaxone by persulfate in the presence of iron oxides. Sci. Total. Environ. 2019, 676, 165–175. [Google Scholar] [CrossRef] [PubMed]
- Sutton, N.B.; Grotenhuis, J.T.C.; Langenhoff, A.A.M.; Rijnaarts, H.H.M. Efforts to improve coupled in situ chemical oxidation with bioremediation: A review of optimization strategies. J. Soils Sed. 2011, 11, 129–140. [Google Scholar] [CrossRef]
- Watts, R.J.; Ahmad, M.; Hohner, A.K.; Teel, A.L. Persulfate activation by glucose for in situ chemical oxidation. Water Res. 2018, 133, 247–254. [Google Scholar] [CrossRef] [PubMed]
- Fang, G.; Liu, C.; Gao, J.; Dionysiou, D.D.; Zhou, D. Manipulation of persistent free radicals in biochar to activate persulfate for contaminant degradation. Environ. Sci. Technol. 2015, 49, 5645–5653. [Google Scholar] [CrossRef]
- Jeong, H.-M.; Kim, H.-R.; Hong, S.; You, Y.-H. Effects of elevated CO2 concentration and increased temperature on leaf quality responses of rare and endangered plants. J. Ecol. Environ. 2018, 42, 1. [Google Scholar] [CrossRef]
- Ding, Z.; Chen, W.; Hou, J.; Wang, Q.; Liu, W.; Christie, P.; Luo, Y. Hydrogen peroxide combined with surfactant leaching and microbial community recovery from oil sludge. Chemosphere 2022, 286, 131750. [Google Scholar] [CrossRef] [PubMed]
- Xu, J.; Sun, Y.; Tian, G.; Li, X.; Yang, Z. Fast biodegradation of long-alkanes by enhancing bacteria performance rate by per-oxidation. J. Environ. Manage. 2022, 301, 113933. [Google Scholar] [CrossRef] [PubMed]
- Shah, A.; Wu, X.; Ullah, A.; Fahad, S.; Muhammad, R.; Yan, L.; Jiang, C. Deficiency and toxicity of boron: Alterations in growth, oxidative damage and uptake by citrange orange plants. Ecotoxicol. Environ. Saf. 2017, 145, 575–582. [Google Scholar] [CrossRef]
- Ekwuluo, M.O.; Udom, G.J.; Osu, C.I.; Ebiana, C.A. Advances on Chemical Oxidants for Remediation of Ground Water Contaminated with Petrolem Hydrocarbon Products. IOSR J. Environ. Sci. Toxicol. Food Technol. 2018, 12, 76–81. [Google Scholar]
- Gou, Y.; Zhao, Q.; Yang, S.; Wang, H.; Qiao, P.; Song, Y.; Cheng, Y.; Li, P. Removal of polycyclic aromatic hydrocarbons (PAHs) and the response of indigenous bacteria in highly contaminated aged soil after persulfate oxidation. Ecotoxicol. Environ. Saf. 2020, 190, 110092. [Google Scholar] [CrossRef] [PubMed]
- Li, Y.-T.; Zhang, J.-J.; Li, Y.-H.; Chen, J.-L.; Du, W.-Y. Treatment of soil contaminated with petroleum hydrocarbons using activated persulfate oxidation, ultrasound, and heat: A kinetic and thermodynamic study. Chem. Eng. J. 2022, 428, 131336. [Google Scholar] [CrossRef]
- Satapanajaru, T.; Chokejaroenrat, C.; Sakulthaew, C.; Yoo-Iam, M. Remediation and Restoration of Petroleum Hydrocarbon Containing Alcohol-Contaminated Soil by Persulfate Oxidation Activated with Soil Minerals. Water Air Soil Pollut. 2017, 228, 345. [Google Scholar] [CrossRef]
- Gujar, S.K.; Divyapriya, G.; Gogate, P.R.; Nidheesh, P.V. Environmental applications of ultrasound activated persulfate/peroxymonosulfate oxidation process in combination with other activating agents. Crit. Rev. Environ. Sci. Technol. 2023, 53, 780–802. [Google Scholar] [CrossRef]
- Gharaee, A.; Khosravi-Nikou, M.R.; Anvaripour, B. Hydrocarbon contaminated soil remediation: A comparison between Fenton, sono-Fenton, photo-Fenton and sono-photo-Fenton processes. J. Ind. Eng. Chem. 2019, 79, 181–193. [Google Scholar] [CrossRef]
- Moradi, M.; Elahinia, A.; Vasseghian, Y.; Dragoi, E.-N.; Omidi, F.; Khaneghah, A.M. A review on pollutants removal by Sono-photo -Fenton processes. J. Environ. Chem. Eng. 2020, 8, 104330. [Google Scholar] [CrossRef]
- Salimnezhad, A.; Soltani-Jigheh, H.; Soorki, A.A. Effects of oil contamination and bioremediation on geotechnical properties of highly plastic clayey soil. J. Rock Mech. Geotech. Eng. 2021, 13, 653–670. [Google Scholar] [CrossRef]
- Bajagain, R.; Lee, S.; Jeong, S.-W. Application of persulfate-oxidation foam spraying as a bioremediation pretreatment for diesel oil-contaminated soil. Chemosphere 2018, 207, 565–572. [Google Scholar] [CrossRef] [PubMed]
- Chen, G.; Yuan, M.; Ma, B.; Ren, Y. Responses of Petroleum Contamination at Different Sites to Soil Physicochemical Properties and Indigenous Microbial Communities. Water Air Soil Pollut. 2023, 234, 494. [Google Scholar] [CrossRef]
- Zhang, Z.Y.; Jia, H.Z.; Wang, L.J. Experimental study of the repair of Fe2+ activated persulfate in oil contaminated soils. Acta Petrol. Mineral. 2017, 36, 881–886. [Google Scholar]
- Gou, Y.; Zhao, Q.; Yang, S.; Qiao, P.; Cheng, Y.; Song, Y.; Sun, Z.; Zhang, T.; Wang, L.; Liu, Z. Enhanced degradation of polycyclic aromatic hydrocarbons in aged subsurface soil using integrated persulfate oxidation and anoxic biodegradation. Chem. Eng. J. 2020, 394, 125040. [Google Scholar] [CrossRef]
- Zhang, B.; Guo, Y.; Huo, J.; Xie, H.; Xu, C.; Liang, S. Combining chemical oxidation and bioremediation for petroleum polluted soil remediation by BC-nZVI activated persulfate. Chem. Eng. J. 2020, 382, 123055. [Google Scholar] [CrossRef]
- Gadouri, H.; Harichane, K.; Ghrici, M. Effect of sodium sulphate on the shear strength of clayey soils stabilised with additives. Arab. J. Geosci. 2017, 10, 218. [Google Scholar] [CrossRef]
- Chen, K.-F.; Chang, Y.-C.; Chiou, W.-T. Remediation of diesel-contaminated soil using in situ chemical oxidation (ISCO) and the effects of common oxidants on the indigenous microbial community: A comparison study. J. Chem. Technol. Biotechnol. 2016, 91, 1877–1888. [Google Scholar] [CrossRef]
- Li, Y.-T.; Sui, Q.; Li, X.; Wang, Y.-Q.; Liu, X.-Y.; Liu, H.; Du, W.-Y. Enhanced in-situ zero-valent iron activated persulfate oxidation with electrokinetics for the remediation of petroleum hydrocarbon contaminated soil. J. Environ. Chem. Eng. 2024, 12, 113781. [Google Scholar] [CrossRef]
- Hu, T.; Zeng, H.; Hu, Z.; Qv, X.; Chen, G. Overexpression of the Tomato 13-Lipoxygenase Gene TomloxD Increases Generation of Endogenous Jasmonic Acid and Resistance to Cladosporium fulvum and High Temperature. Plant. Mol. Biol. Rep. 2013, 31, 1141–1149. [Google Scholar] [CrossRef]
- Xia, F.; Li, B.; Song, K.; Wang, Y.; Hou, Z.; Li, H.; Zhang, X.; Li, F.; Yang, L. Polyploid Genome Assembly Provides Insights into Morphological Development and Ascorbic Acid Accumulation of Sauropus androgynus. Int. J. Mol. Sci. 2024, 25, 300. [Google Scholar] [CrossRef]
- Khayat, M.; Rahnama, A.; Lorzadeh, S.; Lack, S. Physiological Indices, Phenological Characteristics and Trait Evaluation of Canola Genotypes Response to Different Planting Dates. Proc. Natl. Acad. Sci. India Sect. B Biol. Sci. 2018, 88, 153–163. [Google Scholar] [CrossRef]
- Barbosa, J.P.R.A.D.; Cruz, A.B.; dos Santos Botelho, A.; Pennacchi, J.P.; Santana, G.F. Crop physiology, the technology and the production gap. Theor. Exp. Plant Physiol. 2024, 36, 567–582. [Google Scholar] [CrossRef]
- Gao, H.; Wu, M.; Liu, H.; Xu, Y.; Liu, Z. Effect of petroleum hydrocarbon pollution levels on the soil microecosystem and ecological function. Environ. Pollut. 2022, 293, 118511. [Google Scholar] [CrossRef] [PubMed]
- Bowden, C.L.; Evanylo, G.K.; Zhang, X.; Ervin, E.H.; Seiler, J.R. Soil Carbon and Physiological Responses of Corn and Soybean to Organic Amendments. Compost. Sci. Util. 2013, 18, 162–173. [Google Scholar] [CrossRef]
- Liu, J.; Li, M.; Chang, J.; Cheng, X.; Wang, L.; Liu, Q.; Gao, X. Physiological Characteristics of Soybean Leaves at Different Growth Stages. Chin. J. Agrometeorol. 2022, 43, 622–632. [Google Scholar]
- Moreira, A.; Moraes, L.A.C.; Moretti, L.G. Yield, Yield Components, Soil Chemical Properties, Plant Physiology, and Phosphorus Use Efficiency in Soybean Genotypes. Commun. Soil. Sci. Plant. Anal. 2017, 48, 2464–2476. [Google Scholar] [CrossRef]
- Zhou, Q.; Li, Y.; Wang, X.; Yan, C.; Ma, C.; Liu, J.; Dong, S. Effects of Different Drought Degrees on Physiological Characteristics and Endogenous Hormones of Soybean. Plants 2022, 11, 2282. [Google Scholar] [CrossRef] [PubMed]
- Jumrani, K.; Bhatia, V.S. Identification of drought tolerant genotypes using physiological traits in soybean. Physiol. Mol. Biol. Plants 2019, 25, 697–711. [Google Scholar] [CrossRef] [PubMed]
- Wilson, S.T.; Lok, B.M.; Flanigen, E.M. Crystalline metallophosphate compositions. U.S. Patent 4,310,440, 12 January 1982. [Google Scholar]
- Mulchi, C.; Slaughter, L.; Saleem, M.; Lee, E.; Pausch, R.; Rowland, R. Growth and physiological characteristics of soybean in open-top chambers in response to ozone and increased atmospheric CO2. Agric. Ecosyst. Environ. 1992, 38, 107–118. [Google Scholar] [CrossRef]
- Wang, X.; Wu, Z.; Zhou, Q.; Wang, X.; Song, S.; Dong, S. Physiological Response of Soybean Plants to Water Deficit. Front. Plant Sci. 2022, 12, 809692. [Google Scholar] [CrossRef]
- Jamali, Z.H.; Ali, S.; Qasim, M.; Song, C.; Anwar, M.; Du, J.; Wang, Y. Assessment of molybdenum application on soybean physiological characteristics in maize-soybean intercropping. Front. Plant Sci. 2023, 14, 1240146. [Google Scholar] [CrossRef] [PubMed]











| Characteristics | Analysis | Soil |
|---|---|---|
| High-concentration petroleum hydrocarbon-contaminated soil | Total N(g/kg) | 95.58 ± 5.3 |
| Total P(g/kg) | 1.392 ± 0.01 | |
| Total K(g/kg) | 3.23 ± 0.03 | |
| SOM (g/kg) | 30.7 ± 0.1 | |
| pH | 6.84 ± 0.05 | |
| Electrical conductivity | 7.3 ± 0.05 | |
| C10–C17(mg/kg) | 10,247 ± 323.6 | |
| C18–C30(mg/kg) | 7232 ± 123.3 | |
| C31–C40(mg/kg) | 1591 ± 15.3 | |
| Total(mg/kg) | 19,070 ± 477.3 | |
| Medium-concentration petroleum hydrocarbon-contaminated soil | Total N(g/kg) | 91.12 ± 5.3 |
| Total P(g/kg) | 1.389 ± 0.01 | |
| Total K(g/kg) | 3.22 ± 0.01 | |
| SOM(g/kg) | 33.9 ± 0.1 | |
| pH | 6.62 ± 0.05 | |
| Electrical conductivity | 8.9 ± 0.05 | |
| C10–C17(mg/kg) | 6886 ± 100.3 | |
| C18–C30(mg/kg) | 7906 ± 116.5 | |
| C31–C40(mg/kg) | 701 ± 7.1 | |
| Total(mg/kg) | 14,792 ± 350.5 | |
| Low-concentration petroleum hydrocarbon-contaminated soil | Total N(g/kg) | 85.31 ± 4.6 |
| Total P(g/kg) | 1.396 ± 0.01 | |
| Total K (g/kg) | 3.21 ± 0.01 | |
| SOM (g/kg) | 32.8 ± 0.1 | |
| pH | 6.59 ± 0.04 | |
| Electrical conductivity | 9.4 ± 0.05 | |
| C10–C17(mg/kg) | 6749 ± 98.5 | |
| C18–C30(mg/kg) | 4052 ± 90.5 | |
| C31–C40(mg/kg) | 287 ± 5.6 | |
| Total(mg/kg) | 10,801 ± 200.9 |
| Soil Sample | CK1 | TA1 | TA2 | TA3 | TA4 |
| Total N (g/kg) | 95.58 ± 5.3 | 104.7 ± 6.3 | 111.5 ± 5.5 | 109.2 ± 7.1 | 100.1 ± 6.6 |
| Total P (g/kg) | 1.392 ± 0.01 | 1.652 ± 0.01 | 1.948 ± 0.02 | 1.652 ± 0.01 | 1.689 ± 0.015 |
| Total K (g/kg) | 3.23 ± 0.02 | 3.19 ± 0.025 | 3.33 ± 0.012 | 3.01 ± 0.022 | 3.49 ± 0.017 |
| SOM (g/kg) | 30.7 ± 0.3 | 30.6 ± 0.2 | 29.1 ± 0.15 | 28.9 ± 0.2 | 27.5 ± 0.1 |
| pH | 6.84 ± 0.04 | 4.20 ± 0.05 | 4.25 ± 0.08 | 4.07 ± 0.1 | 4.08 ± 0.06 |
| Soil Sample | CK2 | TB1 | TB2 | TB3 | TB4 |
| Total N (g/kg) | 91.12 ± 5.3 | 94.44 ± 5.3 | 107.0 ± 5.8 | 95.58 ± 6.7 | 97. 85 ± 4.2 |
| Total P (g/kg) | 1.389 ± 0.015 | 1.763 ± 0.01 | 1.800 ± 0.02 | 1.763 ± 0.015 | 1.837 ± 0.02 |
| Total K (g/kg) | 3.22 ± 0.015 | 3.14 ± 0.012 | 3.01 ± 0.015 | 3.20 ± 0.020 | 3.12 ± 0.015 |
| SOM (g/kg) | 33.9 ± 0.10 | 31.7 ± 0.20 | 28.9 ± 0.15 | 30.7 ± 0.10 | 29.9 ± 0.15 |
| pH | 6.62 ± 0.03 | 4.14 ± 0.02 | 4.20 ± 0.015 | 4.00 ± 0.025 | 3.92 ± 0.022 |
| Soil Sample | CK3 | TC1 | TC2 | TC3 | TC4 |
| Total N (g/kg) | 85.31 ± 4.6 | 91.03 ± 5.4 | 87.61 ± 3.1 | 92.17 ± 6.5 | 91.03 ± 7.1 |
| Total P (g/kg) | 1.396 ± 0.02 | 1.689 ± 0.02 | 1.652 ± 0.01 | 1.911 ± 0.015 | 1.689 ± 0.02 |
| Total K (g/kg) | 3.21 ± 0.02 | 3.19 ± 0.01 | 3.11 ± 0.015 | 3.05 ± 0.02 | 3.14 ± 0.020 |
| SOM (g/kg) | 32.8 ± 0.3 | 31.3 ± 0.3 | 29.9 ± 0.2 | 29.5 ± 0.15 | 31.3 ± 0.3 |
| pH | 6.59 ± 0.03 | 4.05 ± 0.02 | 4.12 ± 0.01 | 3.89 ± 0.015 | 3.87 ± 0.02 |
Disclaimer/Publisher’s Note: The statements, opinions and data contained in all publications are solely those of the individual author(s) and contributor(s) and not of MDPI and/or the editor(s). MDPI and/or the editor(s) disclaim responsibility for any injury to people or property resulting from any ideas, methods, instructions or products referred to in the content. |
© 2024 by the authors. Licensee MDPI, Basel, Switzerland. This article is an open access article distributed under the terms and conditions of the Creative Commons Attribution (CC BY) license (https://creativecommons.org/licenses/by/4.0/).
Share and Cite
Jiang, D.; Li, T.; Liang, X.; Zhao, X.; Li, S.; Li, Y.; Oh, K.; Liu, H.; Cao, T. Evaluation of Petroleum Hydrocarbon-Contaminated Soil Remediation Technologies and Their Effects on Soybean Growth. Environments 2025, 12, 6. https://doi.org/10.3390/environments12010006
Jiang D, Li T, Liang X, Zhao X, Li S, Li Y, Oh K, Liu H, Cao T. Evaluation of Petroleum Hydrocarbon-Contaminated Soil Remediation Technologies and Their Effects on Soybean Growth. Environments. 2025; 12(1):6. https://doi.org/10.3390/environments12010006
Chicago/Turabian StyleJiang, Dengyu, Tao Li, Xuanhe Liang, Xin Zhao, Shanlong Li, Yutong Li, Kokyo Oh, Haifeng Liu, and Tiehua Cao. 2025. "Evaluation of Petroleum Hydrocarbon-Contaminated Soil Remediation Technologies and Their Effects on Soybean Growth" Environments 12, no. 1: 6. https://doi.org/10.3390/environments12010006
APA StyleJiang, D., Li, T., Liang, X., Zhao, X., Li, S., Li, Y., Oh, K., Liu, H., & Cao, T. (2025). Evaluation of Petroleum Hydrocarbon-Contaminated Soil Remediation Technologies and Their Effects on Soybean Growth. Environments, 12(1), 6. https://doi.org/10.3390/environments12010006

