Assessment of Nutrient Removal in Surface Flow Constructed Wetland Treating Secondary Effluent with Low Organic, Nitrogen and Phosphorus Loads
Abstract
1. Introduction
2. Methods
2.1. Case Study: Cedar Grove Constructed Wetlands
2.2. Sampling and Chemical Analysis of Water Quality Parameters
2.3. Above-Ground Biomass
2.4. Data Preparation and Treatment
2.5. Hydraulic Loading Rate, Retention Time, and Pollutant Loading
2.6. Data Analysis
2.7. Modelling of Nitrogen Removal
3. Results and Discussion
3.1. Overall Water Quality
3.2. Pollutant Loads Analysis
3.3. Nutrient Removal
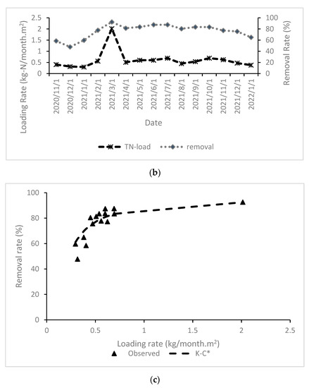
3.3.1. TN Removal
3.3.2. TP Removal
4. Conclusions
Author Contributions
Funding
Acknowledgments
Conflicts of Interest
References
- Varma, M.; Gupta, A.K.; Ghosal, P.S.; Majumder, A. A review on performance of constructed wetlands in tropical and cold climate: Insights of mechanism, role of influencing factors, and system modification in low temperature. Sci. Total Environ. 2021, 755, 142540. [Google Scholar] [CrossRef] [PubMed]
- Lavrnić, S.; Nan, X.; Blasioli, S.; Braschi, I.; Anconelli, S.; Toscano, A. Performance of a full scale constructed wetland as ecological practice for agricultural drainage water treatment in Northern Italy. Ecol. Eng. 2020, 154, 105927. [Google Scholar] [CrossRef]
- Rizzo, A.; Bresciani, R.; Martinuzzi, N.; Masi, F. Online Monitoring of a Long-Term Full-Scale Constructed Wetland for the Treatment of Winery Wastewater in Italy. Appl. Sci. 2020, 10, 555. [Google Scholar] [CrossRef]
- Steidl, J.; Kalettka, T.; Bauwe, A. Nitrogen retention efficiency of a surface-flow constructed wetland receiving tile drainage water: A case study from north-eastern Germany. Agric. Ecosyst. Environ. 2019, 283, 106577. [Google Scholar] [CrossRef]
- Ulén, B.; Geranmayeh, P.; Blomberg, M.; Bieroza, M. Seasonal variation in nutrient retention in a free water surface constructed wetland monitored with flow-proportional sampling and optical sensors. Ecol. Eng. 2019, 139, 105588. [Google Scholar] [CrossRef]
- Ding, X.; Xue, Y.; Zhao, Y.; Xiao, W.; Liu, Y.; Liu, J. Effects of different covering systems and carbon nitrogen ratios on nitrogen removal in surface flow constructed wetlands. J. Clean. Prod. 2018, 172, 541–551. [Google Scholar] [CrossRef]
- Mendes, L.R.D.; Tonderski, K.; Iversen, B.V.; Kjaergaard, C. Phosphorus retention in surface-flow constructed wetlands targeting agricultural drainage water. Ecol. Eng. 2018, 120, 94–103. [Google Scholar] [CrossRef]
- Stefanakis, A.; Akratos, C.S.; Tsihrintzis, V.A. (Eds.) Chapter 5—Treatment Processes in VFCWs. In Vertical Flow Constructed Wetlands; Elsevier: Boston, MA, USA, 2014; pp. 57–84. [Google Scholar]
- Zhuang, L.-L.; Yang, T.; Zhang, J.; Li, X. The configuration, purification effect and mechanism of intensified constructed wetland for wastewater treatment from the aspect of nitrogen removal: A review. Bioresour. Technol. 2019, 293, 122086. [Google Scholar] [CrossRef]
- Ecoteam. World Class Wetland Design at Cedar Grove. Available online: https://ecoteam.com.au/ecoteam-designs-cedar-grove-wastewater-treatment-wetlands/ (accessed on 21 July 2021).
- Bureau of Meteorology. Recent Evapotranspiration. 2022. Available online: http://www.bom.gov.au/watl/eto/ (accessed on 18 February 2022).
- Kadlec, R.H.; Knight, R.L. Treatment Wetlands; CRC Press: Boca Raton, FL, USA, 1996. [Google Scholar]
- Anzecc, A. Australian and New Zealand guidelines for fresh and marine water quality. Aust. N. Z. Environ. Conserv. Counc. Agric. Resour. Manag. Counc. Aust. N. Z. Canberra 2000, 1, 1–314. [Google Scholar]
- De Rozari, P.; Greenway, M.; El Hanandeh, A. Phosphorus removal from secondary sewage and septage using sand media amended with biochar in constructed wetland mesocosms. Sci. Total. Environ. 2016, 569–570, 123–133. [Google Scholar] [CrossRef]
- Greenway, M. Stormwater wetlands for the enhancement of environmental ecosystem services: Case studies for two retrofit wetlands in Brisbane, Australia. J. Clean. Prod. 2017, 163, S91–S100. [Google Scholar] [CrossRef]
- Kotti, I.P.; Gikas, G.D.; Tsihrintzis, V.A. Effect of operational and design parameters on removal efficiency of pilot-scale FWS constructed wetlands and comparison with HSF systems. Ecol. Eng. 2010, 36, 862–875. [Google Scholar] [CrossRef]
- Zhu, H.; Zhou, Q.-W.; Yan, B.-X.; Liang, Y.-X.; Yu, X.-F.; Gerchman, Y.; Cheng, X.-W. Influence of vegetation type and temperature on the performance of constructed wetlands for nutrient removal. Water Sci. Technol. 2017, 77, 829–837. [Google Scholar] [CrossRef] [PubMed]
- Mu, X.; Zhang, S.; Lv, X.; Ma, Y.; Zhang, Z.; Han, B. Water flow and temperature drove epiphytic microbial community shift: Insight into nutrient removal in constructed wetlands from microbial assemblage and co-occurrence patterns. Bioresour. Technol. 2021, 332, 125134. [Google Scholar] [CrossRef] [PubMed]
- Li, F.; Lu, L.; Zheng, X.; Ngo, H.H.; Liang, S.; Guo, W.; Zhang, X. Enhanced nitrogen removal in constructed wetlands: Effects of dissolved oxygen and step-feeding. Bioresour. Technol. 2014, 169, 395–402. [Google Scholar] [CrossRef] [PubMed]
- Ilyas, H.; Masih, I. The effects of different aeration strategies on the performance of constructed wetlands for phosphorus removal. Environ. Sci. Pollut. Res. 2018, 25, 5318–5335. [Google Scholar] [CrossRef]
- Beutel, M.W.; Newton, C.D.; Brouillard, E.S.; Watts, R.J. Nitrate removal in surface-flow constructed wetlands treating dilute agricultural runoff in the lower Yakima Basin, Washington. Ecol. Eng. 2009, 35, 1538–1546. [Google Scholar] [CrossRef]
- Li, H.; Liu, F.; Luo, P.; Chen, X.; Chen, J.; Huang, Z.; Peng, J.; Xiao, R.; Wu, J. Stimulation of optimized influent C:N ratios on nitrogen removal in surface flow constructed wetlands: Performance and microbial mechanisms. Sci. Total. Environ. 2019, 694, 133575. [Google Scholar] [CrossRef]
- Chen, Y.; Wen, Y.; Zhou, Q.; Vymazal, J. Effects of plant biomass on nitrogen transformation in subsurface-batch constructed wetlands: A stable isotope and mass balance assessment. Water Res. 2014, 63, 158–167. [Google Scholar] [CrossRef]
- Andersen, D.C.; Sartoris, J.J.; Thullen, J.S.; Reusch, P.G. The effects of bird use on nutrient removal in a constructed wastewater-treatment wetland. Wetlands 2003, 23, 423–435. [Google Scholar] [CrossRef]
- Department of Environment and Science. Queensland State of the Environment 2020; Department of Environment and Science: Brisbane, QLD, Australia, 2021; 96p. Available online: https://www.stateoftheenvironment.des.qld.gov.au/ (accessed on 10 May 2023).
- Turner, J.; Lambert, M.; Knott, J. Nutrient Inputs from Rainfall in New South Wales State Forests; Forest Research and Development Division: Sydney, Australia, 1996.
- Scherer, N.M.; Gibbons, H.L.; Stoops, K.B.; Muller, M. Phosphorus Loading of an Urban Lake by Bird Droppings. Lake Reserv. Manag. 1995, 11, 317–327. [Google Scholar] [CrossRef]








| Parameter | Method of Analysis |
|---|---|
| TN | APHA4500 P J |
| TP | APHA4500 P J |
| BOD | APHA5210D |
| NH4+ | APHA4500NH3D |
| TSS | APHA2540D |
| TVS | APHA2540E |
| TDS | APHA2510A |
| Organic N | APHA4500 P J |
| Organic P | APHA4500PF |
| NO3− | APHA4500NO3F |
| NO2− | APHA4500NO3F |
| TKN | APHA4500 P J |
| PO4−3 | APHA4500PF |
| Parameter | Mean ± Standard Deviation | Median | |||
|---|---|---|---|---|---|
| Influent (N = 50) | Effluent (N = 50) | Influent (N = 50) | Effluent (N = 50) | MCR * (%) | |
| Water Temperature (°C) | 23.6 ± 3.4 | 17.7 ± 4.8 | 24.1 | 18.4 | NA |
| DO (mg/L) | 5.8 ± 0.9 | 6.1 ± 1.7 | 6.1 | 5.7 | NA |
| BOD (mg/L) | <5 | <5 | <5 | <5 | - |
| NOx (mg-N/L) | 1.06 ± 0.63 | 0.08 ± 0.02 | 0.97 | 0.07 | 92.4 |
| Organic N (mg-N/L) | 0.67 ± 0.43 | 0.83 ± 0.23 | 0.62 | 0.83 | −22.8 |
| Ammonia | <=0.33 (n = 20, <0.1) | <=0.18 (n = 38, <0.1) | <0.1 | <0.1 | 60.3 |
| TN (mg-N/L) | 1.83 ± 1.08 | 0.84 ± 0.22 | 1.81 | 0.84 | 54.3 |
| Orthophosphate (mg-P/L) | 0.11 ± 0.13 | 0.17 ± 0.15 | 0.06 | 0.13 | −56.4 |
| Organic Phosphorus (mg-P/L) | <0.1 | <0.1 | <0.1 | <0.1 | - |
| TP (mg-P/L) | 0.14 ± 0.4 | 0.21 ± 0.17 | 0.07 | 0.17 | −40.5 |
| TSS (mg/L) | 0.73 ± 0.83 | 6.44 ± 6.64 | 0.60 | 3.92 | −562 |
| TVS (mg/L) | 0.60 ± 0.74 | 2.45 ± 2.44 | 0.51 | 3.25 | −302 |
| TDS (mg/L) | 428 ± 36 | 446 ± 73 | 421 | 443 | - |
| pH | 7.08 ± 0.16 | 7.25 ± 0.19 | 7.1 | 7.23 | - |
| EC (μS/cm) | 704.9 ± 59.4 | 734.3 ± 123.9 | 693 | 729 | - |
| Month | TN-in | TP-in | pH-in | TDS-in | Temp-in | DO-in | TN-out | TP-out | TSS-out | TVS-out | pH-out | TDS-out | Temp-out | DO-out | HRT | Adj. HLR | |
|---|---|---|---|---|---|---|---|---|---|---|---|---|---|---|---|---|---|
| Nov-20 | 0.51 | 0.07 | 7.25 | 352.52 | 23.88 | 3.65 | 0.40 | 0.10 | 3.65 | 0.89 | 7.70 | 168.55 | 23.88 | 2.37 | 9.92 | 18.81 | 5.79 |
| Dec-20 | 0.60 | 0.06 | 7.03 | 347.05 | 22.90 | 4.63 | 0.88 | 0.31 | 8.15 | 2.73 | 7.63 | 400.93 | 22.90 | 5.59 | 12.17 | 21.45 | 13.43 |
| Jan-21 | 0.56 | 0.05 | 7.10 | 369.64 | 23.68 | 4.36 | 0.76 | 0.14 | 7.53 | 2.37 | 7.45 | 390.78 | 23.68 | 6.70 | 11.89 | 22.74 | 11.32 |
| Feb-21 | 0.90 | 0.12 | 7.20 | 338.05 | 23.60 | 4.01 | 0.56 | 0.13 | 3.59 | 2.88 | 7.50 | 255.38 | 23.60 | 4.57 | 11.03 | 19.13 | 7.20 |
| Mar-21 | 6.78 | 1.84 | 7.30 | 492.15 | 21.38 | 7.87 | 1.91 | 0.80 | 36.38 | 13.44 | 7.37 | 410.86 | 21.38 | 4.67 | 16.43 | 19.77 | 24.43 |
| Apr-21 | 1.70 | 0.14 | 7.10 | 414.65 | 15.80 | 6.13 | 0.63 | 0.06 | 11.20 | 1.00 | 7.60 | 448.45 | 15.80 | 8.49 | 12.66 | 30.34 | 11.93 |
| May-21 | 1.96 | 0.05 | 7.13 | 426.22 | 14.90 | 6.03 | 0.59 | 0.12 | 3.57 | 3.24 | 7.28 | 403.09 | 14.90 | 5.50 | 12.44 | 33.10 | 12.96 |
| Jun-21 | 1.65 | 0.04 | 6.90 | 326.06 | 12.09 | 5.06 | 0.36 | 0.03 | 1.33 | 0.71 | 7.17 | 299.67 | 12.09 | 5.64 | 10.79 | 33.00 | 9.77 |
| Jul-21 | 2.00 | 0.03 | 6.98 | 360.87 | 11.50 | 5.54 | 0.52 | 0.07 | 1.88 | 0.97 | 7.48 | 363.46 | 11.50 | 7.72 | 11.97 | 35.19 | 11.63 |
| Aug-21 | 1.30 | 0.04 | 6.95 | 347.63 | 14.18 | 4.35 | 0.39 | 0.07 | 1.99 | 1.43 | 7.33 | 269.84 | 14.18 | 5.55 | 11.86 | 38.40 | 9.82 |
| Sep-21 | 1.46 | 0.04 | 7.13 | 322.18 | 15.40 | 4.74 | 0.44 | 0.05 | 1.32 | 0.74 | 7.40 | 275.31 | 15.40 | 5.99 | 11.12 | 42.00 | 8.23 |
| Oct-21 | 2.35 | 0.13 | 6.95 | 415.64 | 19.63 | 5.89 | 0.72 | 0.27 | 3.53 | 1.39 | 7.25 | 334.49 | 19.63 | 7.01 | 13.87 | 37.73 | 13.75 |
| Nov-21 | 2.25 | 0.09 | 7.24 | 461.62 | 20.40 | 6.55 | 0.99 | 0.34 | 6.09 | 2.50 | 7.38 | 475.18 | 20.40 | 8.66 | 14.80 | 39.24 | 15.03 |
| Dec-21 | 1.90 | 0.12 | 7.20 | 497.08 | 22.33 | 6.42 | 1.02 | 0.23 | 6.36 | 2.75 | 7.23 | 410.46 | 22.33 | 5.01 | 16.52 | 35.25 | 16.62 |
| Jan-22 | 1.57 | 0.22 | 7.20 | 488.22 | 24.44 | 6.16 | 0.97 | 0.32 | 2.42 | 2.24 | 7.33 | 460.60 | 24.44 | 4.20 | 14.89 | 40.88 | 14.24 |
| TN-in | TP-in | pH-in | TDS-in | Temp-in | DO-in | TN-out | TP-out | TSS-out | TVS-out | pH-out | TDS-out | Temp-out | DO-out | HLR | HRT | Adj. HLR | |
|---|---|---|---|---|---|---|---|---|---|---|---|---|---|---|---|---|---|
| TN-in | 1.00 | ||||||||||||||||
| TP-in | 0.92 | 1.00 | |||||||||||||||
| pH-in | 0.32 | 0.46 | 1.00 | ||||||||||||||
| TDS-in | 0.58 | 0.48 | 0.54 | 1.00 | |||||||||||||
| Temp-in | −0.06 | 0.20 | 0.65 | 0.35 | 1.00 | ||||||||||||
| DO-in | 0.81 | 0.63 | 0.30 | 0.85 | −0.05 | 1.00 | |||||||||||
| TN-out | 0.80 | 0.85 | 0.57 | 0.75 | 0.45 | 0.76 | 1.00 | ||||||||||
| TP-out | 0.80 | 0.87 | 0.51 | 0.66 | 0.46 | 0.68 | 0.96 | 1.00 | |||||||||
| TSS-out | 0.84 | 0.95 | 0.47 | 0.48 | 0.24 | 0.61 | 0.87 | 0.84 | 1.00 | ||||||||
| TVS-out | 0.87 | 0.96 | 0.51 | 0.51 | 0.28 | 0.61 | 0.89 | 0.89 | 0.93 | 1.00 | |||||||
| pH-out | −0.32 | −0.08 | 0.26 | −0.34 | 0.31 | −0.43 | −0.12 | −0.09 | 0.08 | −0.10 | 1.00 | ||||||
| TDS-out | 0.33 | 0.22 | 0.18 | 0.71 | 0.10 | 0.74 | 0.57 | 0.44 | 0.33 | 0.29 | −0.21 | 1.00 | |||||
| Temp-out | −0.06 | 0.20 | 0.65 | 0.35 | 1.00 | −0.05 | 0.45 | 0.46 | 0.24 | 0.28 | 0.31 | 0.10 | 1.00 | ||||
| DO-out | 0.04 | −0.20 | −0.36 | 0.04 | −0.45 | 0.30 | −0.05 | −0.14 | −0.06 | −0.21 | −0.09 | 0.53 | −0.45 | 1.00 | |||
| HLR | 0.65 | 0.55 | 0.41 | 0.93 | 0.30 | 0.87 | 0.83 | 0.74 | 0.54 | 0.58 | −0.42 | 0.72 | 0.30 | 0.13 | 1.00 | ||
| HRT | −0.05 | −0.35 | −0.32 | 0.19 | −0.48 | 0.27 | −0.23 | −0.26 | −0.47 | −0.41 | −0.59 | 0.26 | −0.48 | 0.41 | 0.23 | 1.00 | |
| Adj. HLR | 0.84 | 0.77 | 0.32 | 0.80 | 0.18 | 0.90 | 0.93 | 0.87 | 0.78 | 0.80 | −0.34 | 0.70 | 0.18 | 0.14 | 0.89 | 0.00 | 1.00 |
Disclaimer/Publisher’s Note: The statements, opinions and data contained in all publications are solely those of the individual author(s) and contributor(s) and not of MDPI and/or the editor(s). MDPI and/or the editor(s) disclaim responsibility for any injury to people or property resulting from any ideas, methods, instructions or products referred to in the content. |
© 2023 by the authors. Licensee MDPI, Basel, Switzerland. This article is an open access article distributed under the terms and conditions of the Creative Commons Attribution (CC BY) license (https://creativecommons.org/licenses/by/4.0/).
Share and Cite
El Hanandeh, A.; Akrami, K. Assessment of Nutrient Removal in Surface Flow Constructed Wetland Treating Secondary Effluent with Low Organic, Nitrogen and Phosphorus Loads. Environments 2023, 10, 89. https://doi.org/10.3390/environments10050089
El Hanandeh A, Akrami K. Assessment of Nutrient Removal in Surface Flow Constructed Wetland Treating Secondary Effluent with Low Organic, Nitrogen and Phosphorus Loads. Environments. 2023; 10(5):89. https://doi.org/10.3390/environments10050089
Chicago/Turabian StyleEl Hanandeh, Ali, and Kambez Akrami. 2023. "Assessment of Nutrient Removal in Surface Flow Constructed Wetland Treating Secondary Effluent with Low Organic, Nitrogen and Phosphorus Loads" Environments 10, no. 5: 89. https://doi.org/10.3390/environments10050089
APA StyleEl Hanandeh, A., & Akrami, K. (2023). Assessment of Nutrient Removal in Surface Flow Constructed Wetland Treating Secondary Effluent with Low Organic, Nitrogen and Phosphorus Loads. Environments, 10(5), 89. https://doi.org/10.3390/environments10050089

