Temporal Probability-Guided Shifts in Temporal Preparation Away from the Beat Under a Distracting Rhythm in Aging
Abstract
1. Introduction
2. Materials and Methods
2.1. Participants
2.2. Apparatus and Stimuli
2.3. Procedure
2.4. Design
2.5. Data Analysis
3. Results
3.1. Overall Analyses
3.2. Younger Adults
3.3. Older Adults
4. Discussion
5. Conclusions
Author Contributions
Funding
Institutional Review Board Statement
Informed Consent Statement
Data Availability Statement
Conflicts of Interest
References
- Baltes, P. B., & Smith, J. (2003). New frontiers in the future of aging: From successful aging of the young old to the dilemmas of the fourth age. Gerontology, 49(2), 123–135. [Google Scholar] [CrossRef]
- Barnes, R., & Jones, M. R. (2000). Expectancy, attention, and time. Cognitive Psychology, 41(3), 254–311. [Google Scholar] [CrossRef]
- Baudouin, A., Vanneste, S., Pouthas, V., & Isingrini, M. (2006). Age-related changes in duration reproduction: Involvement of working memory processes. Brain and Cognition, 62(1), 17–23. [Google Scholar] [CrossRef] [PubMed]
- Bekius, A., Cope, T. E., & Grube, M. (2016). The beat to read: A cross-lingual link between rhythmic regularity perception and reading skill. Frontiers in Human Neuroscience, 10, 425. [Google Scholar] [CrossRef]
- Bernard, J. A., & Seidler, R. D. (2014). Moving forward: Age effects on the cerebellum underlie cognitive and motor declines. Neuroscience & Biobehavioral Reviews, 42, 193–207. [Google Scholar] [CrossRef] [PubMed]
- Bo, J., Lee, C.-M., Kwak, Y., Peltier, S. J., Bernard, J. A., Buschkuehl, M., Jaeggi, S. M., Wiggins, J. L., Jonides, J., & Monk, C. S. (2014). Lifespan differences in cortico-striatal resting state connectivity. Brain Connectivity, 4(3), 166–180. [Google Scholar] [CrossRef] [PubMed]
- Breska, A., & Deouell, L. Y. (2016). When synchronizing to rhythms is not a good thing: Modulations of preparatory and post-target neural activity when shifting attention away from on-beat times of a distracting rhythm. Journal of Neuroscience, 36(27), 7154–7166. [Google Scholar]
- Brochard, R., Drake, C., Botte, M.-C., & McAdams, S. (1999). Perceptual organization of complex auditory sequences: Effect of number of simultaneous subsequences and frequency separation. Journal of Experimental Psychology: Human Perception and Performance, 25(6), 1742. [Google Scholar] [CrossRef][Green Version]
- Calero, M. D., López Pérez-Díaz, Á. G., Navarro Gonzalez, E., & Calero-García, M. J. (2013). Cognitive plasticity, cognitive functioning and quality of life (QoL) in a sample of young-old and old-old adults in southern Spain. Aging Clinical and Experimental Research, 25(1), 35–42. [Google Scholar]
- Capizzi, M., Correa, A., & Sanabria, D. (2013). Temporal orienting of attention is interfered by concurrent working memory updating. Neuropsychologia, 51(2), 326–339. [Google Scholar] [CrossRef]
- Capizzi, M., Sanabria, D., & Correa, Á. (2012). Dissociating controlled from automatic processing in temporal preparation. Cognition, 123(2), 293–302. [Google Scholar] [CrossRef]
- Capizzi, M., Visalli, A., Faralli, A., & Mioni, G. (2022). Explicit and implicit timing in older adults: Dissociable associations with age and cognitive decline. PLoS ONE, 17(3), e0264999. [Google Scholar] [CrossRef] [PubMed]
- Chauvin, J. J., Gillebert, C. R., Rohenkohl, G., Humphreys, G. W., & Nobre, A. C. (2016). Temporal orienting of attention can be preserved in normal aging. Psychology and Aging, 31(5), 442. [Google Scholar] [CrossRef] [PubMed]
- Correa, Á., Lupiáñez, J., Milliken, B., & Tudela, P. (2004). Endogenous temporal orienting of attention in detection and discrimination tasks. Perception & Psychophysics, 66(2), 264–278. [Google Scholar] [CrossRef] [PubMed]
- Correa, Á., Lupiáñez, J., & Tudela, P. (2006). The attentional mechanism of temporal orienting: Determinants and attributes. Experimental Brain Research, 169(1), 58–68. [Google Scholar] [CrossRef]
- Coull, J. T., & Nobre, A. C. (1998). Where and when to pay attention: The neural systems for directing attention to spatial locations and to time intervals as revealed by both PET and fMRI. Journal of Neuroscience, 18(18), 7426–7435. [Google Scholar] [CrossRef]
- Cravo, A. M., Rohenkohl, G., Wyart, V., & Nobre, A. C. (2013). Temporal expectation enhances contrast sensitivity by phase entrainment of low-frequency oscillations in visual cortex. Journal of Neuroscience, 33(9), 4002–4010. [Google Scholar]
- Cutanda, D., Correa, Á., & Sanabria, D. (2015). Auditory temporal preparation induced by rhythmic cues during concurrent auditory working memory tasks. Journal of Experimental Psychology: Human Perception and Performance, 41(3), 790. [Google Scholar] [CrossRef]
- De la Rosa, M. D., Sanabria, D., Capizzi, M., & Correa, A. (2012). Temporal preparation driven by rhythms is resistant to working memory interference. Frontiers in Psychology, 3, 308. [Google Scholar] [CrossRef]
- Dexter, M., & Ossmy, O. (2023). The effects of typical ageing on cognitive control: Recent advances and future directions. Frontiers in Aging Neuroscience, 15, 1231410. [Google Scholar] [CrossRef]
- Ding, N., & Simon, J. Z. (2012). Emergence of neural encoding of auditory objects while listening to competing speakers. Proceedings of the National Academy of Sciences of the United States of America, 109(29), 11854–11859. [Google Scholar] [CrossRef] [PubMed]
- Eckert, M. A., Keren, N. I., Roberts, D. R., Calhoun, V. D., & Harris, K. C. (2010). Age-related changes in processing speed: Unique contributions of cerebellar and prefrontal cortex. Frontiers in Human Neuroscience, 4, 1178. [Google Scholar] [CrossRef] [PubMed]
- Faul, F., Erdfelder, E., Lang, A.-G., & Buchner, A. (2007). G* Power 3: A flexible statistical power analysis program for the social, behavioral, and biomedical sciences. Behavior Research Methods, 39(2), 175–191. [Google Scholar] [CrossRef]
- Folstein, M. F., Folstein, S. E., & McHugh, P. R. (1975). “Mini-mental state”: A practical method for grading the cognitive state of patients for the clinician. Journal of Psychiatric Research, 12(3), 189–198. [Google Scholar] [CrossRef] [PubMed]
- Gallego Hiroyasu, E. M., & Yotsumoto, Y. (2020). Older adults preserve accuracy but not precision in explicit and implicit rhythmic timing. PLoS ONE, 15(10), e0240863. [Google Scholar] [CrossRef]
- Gibbon, J., Church, R. M., & Meck, W. H. (1984). Scalar timing in memory. Annals of the New York Academy of Sciences, 423(1), 52–77. [Google Scholar] [CrossRef]
- Goldstone, A., Mayhew, S. D., Hale, J. R., Wilson, R. S., & Bagshaw, A. P. (2018). Thalamic functional connectivity and its association with behavioral performance in older age. Brain and Behavior, 8(4), e00943. [Google Scholar] [CrossRef]
- Hardwick, R. M., Forrence, A. D., Costello, M. G., Zackowski, K., & Haith, A. M. (2022). Age-related increases in reaction time result from slower preparation, not delayed initiation. Journal of Neurophysiology, 128(3), 582–592. [Google Scholar] [CrossRef]
- Heideman, S. G., Rohenkohl, G., Chauvin, J. J., Palmer, C. E., van Ede, F., & Nobre, A. C. (2018). Anticipatory neural dynamics of spatial-temporal orienting of attention in younger and older adults. NeuroImage, 178, 46–56. [Google Scholar] [CrossRef]
- Horr, N. K., & Di Luca, M. (2015). Taking a long look at isochrony: Perceived duration increases with temporal, but not stimulus regularity. Attention, Perception, & Psychophysics, 77(2), 592–602. [Google Scholar]
- Jones, A. (2015). Independent effects of bottom-up temporal expectancy and top-down spatial attention. An audiovisual study using rhythmic cueing. Frontiers in Integrative Neuroscience, 8, 96. [Google Scholar]
- Jones, M. R. (1976). Time, our lost dimension: Toward a new theory of perception, attention, and memory. Psychological Review, 83(5), 323. [Google Scholar] [CrossRef] [PubMed]
- Jones, M. R., Moynihan, H., MacKenzie, N., & Puente, J. (2002). Temporal aspects of stimulus-driven attending in dynamic arrays. Psychological Science, 13(4), 313–319. [Google Scholar] [CrossRef] [PubMed]
- Kerlin, J. R., Shahin, A. J., & Miller, L. M. (2010). Attentional gain control of ongoing cortical speech representations in a “cocktail party”. Journal of Neuroscience, 30(2), 620–628. [Google Scholar] [CrossRef]
- Kim, H.-Y. (2013). Statistical notes for clinical researchers: Assessing normal distribution (2) using skewness and kurtosis. Restorative Dentistry & Endodontics, 38(1), 52. [Google Scholar] [CrossRef]
- Lamotte, M., & Droit-Volet, S. (2017). Aging and time perception for short and long durations: A question of attention? Timing & Time Perception, 5(2), 149–167. [Google Scholar] [CrossRef]
- Lange, K. (2009). Brain correlates of early auditory processing are attenuated by expectations for time and pitch. Brain and Cognition, 69(1), 127–137. [Google Scholar] [CrossRef]
- Lange, K. (2010). Can a regular context induce temporal orienting to a target sound? International Journal of Psychophysiology, 78(3), 231–238. [Google Scholar] [CrossRef]
- Large, E. W., & Jones, M. R. (1999). The dynamics of attending: How people track time-varying events. Psychological Review, 106(1), 119. [Google Scholar] [CrossRef]
- Lindenberger, U., & Mayr, U. (2014). Cognitive aging: Is there a dark side to environmental support? Trends in Cognitive Sciences, 18(1), 7–15. [Google Scholar] [CrossRef]
- Madison, G., & Merker, B. (2002). On the limits of anisochrony in pulse attribution. Psychological Research, 66(3), 201–207. [Google Scholar] [CrossRef]
- McAuley, J. D., Shen, Y., Dec, S., & Kidd, G. R. (2020). Altering the rhythm of target and background talkers differentially affects speech understanding. Attention, Perception, & Psychophysics, 82(6), 3222–3233. [Google Scholar] [CrossRef]
- Merenstein, J. L., & Bennett, I. J. (2022). Bridging patterns of neurocognitive aging across the older adult lifespan. Neuroscience & Biobehavioral Reviews, 135, 104594. [Google Scholar] [CrossRef] [PubMed]
- Mesgarani, N., & Chang, E. F. (2012). Selective cortical representation of attended speaker in multi-talker speech perception. Nature, 485(7397), 233–236. [Google Scholar] [CrossRef] [PubMed]
- Mioni, G., Capizzi, M., & Stablum, F. (2020). Age-related changes in time production and reproduction tasks: Involvement of attention and working memory processes. Aging, Neuropsychology, and Cognition, 27(3), 412–429. [Google Scholar]
- Morillon, B., Schroeder, C. E., Wyart, V., & Arnal, L. H. (2016). Temporal prediction in lieu of periodic stimulation. Journal of Neuroscience, 36(8), 2342–2347. [Google Scholar]
- Müller-Gethmann, H., Ulrich, R., & Rinkenauer, G. (2003). Locus of the effect of temporal preparation: Evidence from the lateralized readiness potential. Psychophysiology, 40(4), 597–611. [Google Scholar] [CrossRef]
- Navarro, E., & Calero, M. D. (2018). Cognitive plasticity in young-old adults and old-old adults and its relationship with successful aging. Geriatrics, 3(4), 76. [Google Scholar]
- Niemi, P., & Näätänen, R. (1981). Foreperiod and simple reaction time. Psychological Bulletin, 89(1), 133. [Google Scholar] [CrossRef]
- Nobre, A. C., & Van Ede, F. (2018). Anticipated moments: Temporal structure in attention. Nature Reviews Neuroscience, 19(1), 34–48. [Google Scholar] [CrossRef]
- Nowak, K., Dacewicz, A., Broczek, K., Kupisz-Urbanska, M., Galkowski, T., & Szelag, E. (2016). Temporal information processing and its relation to executive functions in elderly individuals. Frontiers in Psychology, 7, 1599. [Google Scholar] [CrossRef] [PubMed]
- Ortega, L., Guzman-Martinez, E., Grabowecky, M., & Suzuki, S. (2014). Audition dominates vision in duration perception irrespective of salience, attention, and temporal discriminability. Attention, Perception, & Psychophysics, 76(5), 1485–1502. [Google Scholar] [CrossRef] [PubMed]
- Penney, T. B., Gibbon, J., & Meck, W. H. (2000). Differential effects of auditory and visual signals on clock speed and temporal memory. Journal of Experimental Psychology: Human Perception and Performance, 26(6), 1770. [Google Scholar] [CrossRef] [PubMed]
- Petter, E. A., Lusk, N. A., Hesslow, G., & Meck, W. H. (2016). Interactive roles of the cerebellum and striatum in sub-second and supra-second timing: Support for an initiation, continuation, adjustment, and termination (ICAT) model of temporal processing. Neuroscience & Biobehavioral Reviews, 71, 739–755. [Google Scholar]
- Recanzone, G. H. (2003). Auditory influences on visual temporal rate perception. Journal of Neurophysiology, 89(2), 1078–1093. [Google Scholar] [CrossRef]
- Ren, Y., Xu, Z., Wu, F., Ejima, Y., Yang, J., Takahashi, S., Wu, Q., & Wu, J. (2019). Does temporal expectation driven by rhythmic cues differ from that driven by symbolic cues across the millisecond and second range? Perception, 48(6), 515–529. [Google Scholar] [CrossRef]
- Repp, B. H., & Penel, A. (2002). Auditory dominance in temporal processing: New evidence from synchronization with simultaneous visual and auditory sequences. Journal of Experimental Psychology: Human Perception and Performance, 28(5), 1085. [Google Scholar] [CrossRef]
- Repp, B. H., & Penel, A. (2004). Rhythmic movement is attracted more strongly to auditory than to visual rhythms. Psychological Research, 68(4), 252–270. [Google Scholar]
- Reuter-Lorenz, P. A., & Cappell, K. A. (2008). Neurocognitive aging and the compensation hypothesis. Current Directions in Psychological Science, 17(3), 177–182. [Google Scholar] [CrossRef]
- Rohenkohl, G., Cravo, A. M., Wyart, V., & Nobre, A. C. (2012). Temporal expectation improves the quality of sensory information. Journal of Neuroscience, 32(24), 8424–8428. [Google Scholar]
- Rohenkohl, G., & Nobre, A. C. (2011). Alpha oscillations related to anticipatory attention follow temporal expectations. Journal of Neuroscience, 31(40), 14076–14084. [Google Scholar] [CrossRef]
- Rojas, C., Riffo, B., San Martín, M., & Guerra, E. (2023). Lexical access restrictions after the age of 80. Brain Sciences, 13(9), 1343. [Google Scholar] [CrossRef] [PubMed]
- Salthouse, T. A. (1996). The processing-speed theory of adult age differences in cognition. Psychological Review, 103(3), 403. [Google Scholar] [CrossRef] [PubMed]
- Salthouse, T. A. (2000). Aging and measures of processing speed. Biological Psychology, 54(1–3), 35–54. [Google Scholar] [CrossRef] [PubMed]
- Sanabria, D., Capizzi, M., & Correa, Á. (2011). Rhythms that speed you up. Journal of Experimental Psychology: Human Perception and Performance, 37(1), 236. [Google Scholar] [CrossRef]
- Sanabria, D., & Correa, Á. (2013). Electrophysiological evidence of temporal preparation driven by rhythms in audition. Biological psychology, 92(2), 98–105. [Google Scholar]
- Schneider, W., Eschman, A., & Zuccolotto, A. (2002). E-prime user’s guide. Psychology Software Tools, Inc. [Google Scholar]
- Shalev, N., Boettcher, S., & Nobre, A. C. (2024). Spatiotemporal predictions guide attention throughout the adult lifespan. npj Science of Learning, 9(1), 70. [Google Scholar] [CrossRef]
- Sweeney, J. A., Rosano, C., Berman, R. A., & Luna, B. (2001). Inhibitory control of attention declines more than working memory during normal aging. Neurobiology of Aging, 22(1), 39–47. [Google Scholar] [CrossRef]
- Trivino, M., Correa, A., Arnedo, M., & Lupianez, J. (2010). Temporal orienting deficit after prefrontal damage. Brain, 133(4), 1173–1185. [Google Scholar] [CrossRef]
- Turgeon, M., Lustig, C., & Meck, W. H. (2016). Cognitive aging and time perception: Roles of Bayesian optimization and degeneracy. Frontiers in Aging Neuroscience, 8, 102. [Google Scholar] [CrossRef]
- Visalli, A., Capizzi, M., & Mioni, G. (2025). Explicit and implicit timing across the adult lifespan. Psychology and Aging, 40(2), 137–146. [Google Scholar] [CrossRef]
- West, S. G., Finch, J. F., & Curran, P. J. (1995). Structural equation models with nonnormal variables: Problems and remedies. In R. H. Hoyle (Ed.), Structural equation modeling: Concepts, issues, and applications (pp. 56–75). Sage Publications, Inc. [Google Scholar]
- World Health Organization & Edwards, P. (2002). Active ageing: A policy framework. World Health Organization. [Google Scholar]
- Xu, Z., Huang, J., Shen, Y., Ren, Y., Gao, Y., & Guo, T. (2025). The effect of auditory rhythm on the temporal allocation of visual attention in aging. Frontiers in Psychology, 16, 1529967. [Google Scholar] [CrossRef]
- Xu, Z., Ren, Y., Guo, T., Wang, A., Nakao, T., Ejima, Y., Yang, J., Takahashi, S., Wu, J., & Wu, Q. (2021a). Temporal expectation driven by rhythmic cues compared to that driven by symbolic cues provides a more precise attentional focus in time. Attention, Perception, & Psychophysics, 83(1), 308–314. [Google Scholar]
- Xu, Z., Ren, Y., Misaki, Y., Wu, Q., & Lu, S. (2021b). Effect of tempo on temporal expectation driven by rhythms in dual-task performance. Frontiers in Psychology, 12, 755490. [Google Scholar]
- Xu, Z., Si, W., Ren, Y., Jiang, Y., & Guo, T. (2024). Effect of tempo on the age-related changes in temporal expectation driven by rhythms. PLoS ONE, 19(2), e0297368. [Google Scholar]
- Zanto, T. P., Pan, P., Liu, H., Bollinger, J., Nobre, A. C., & Gazzaley, A. (2011). Age-related changes in orienting attention in time. The Journal of Neuroscience, 31(35), 12461–12470. [Google Scholar] [CrossRef]



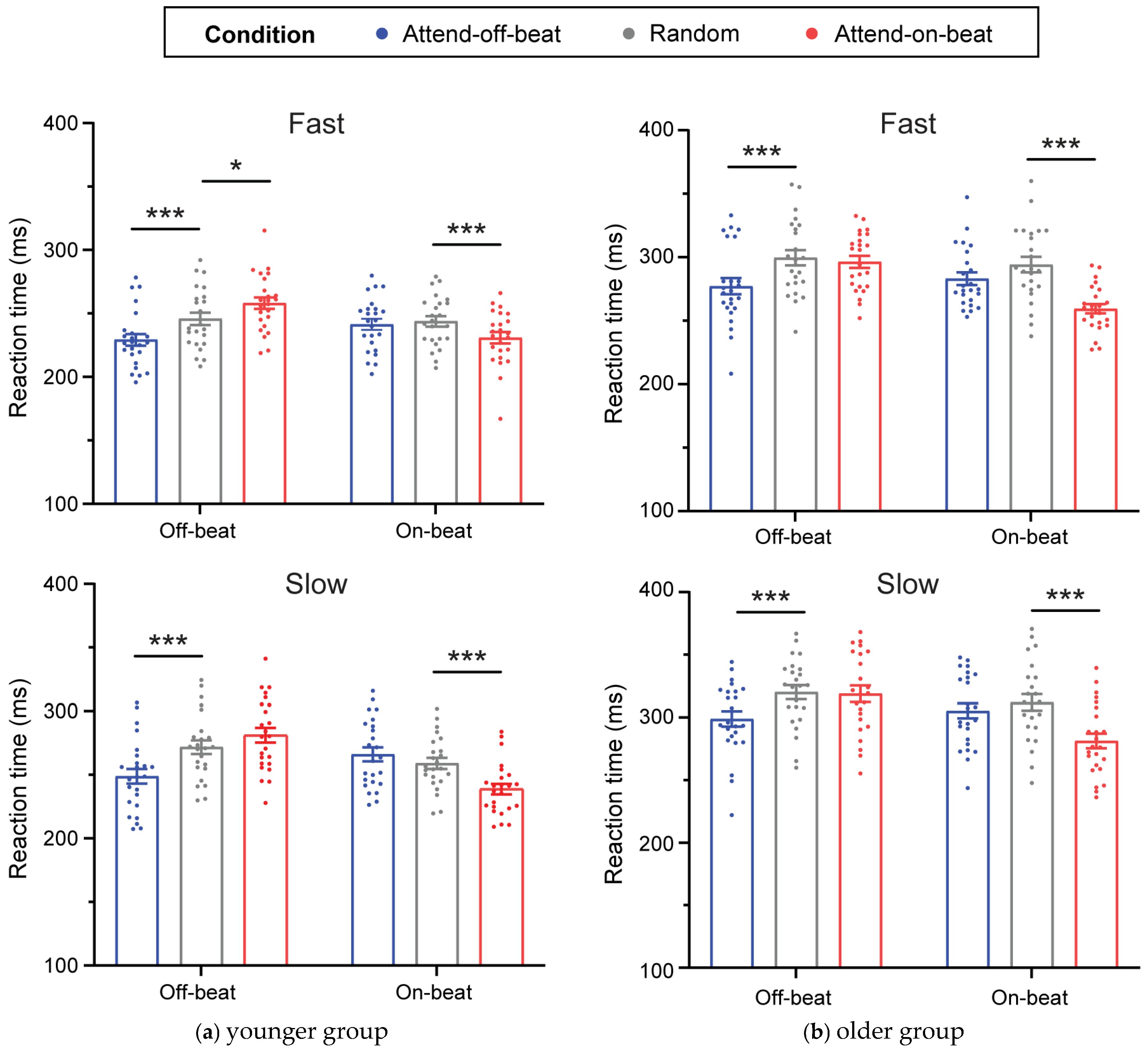
| Younger Group | Older Group | |||||||
|---|---|---|---|---|---|---|---|---|
| Fast | Slow | Fast | Slow | |||||
| Off-Beat | On-Beat | Off-Beat | On-Beat | Off-Beat | On-Beat | Off-Beat | On-Beat | |
| Attend-on-beat | 258 (5) | 231 (4) | 281 (6) | 239 (4) | 296 (5) | 259 (4) | 319 (7) | 281 (6) |
| Attend-off-beat | 229 (5) | 241 (4) | 249 (6) | 266 (6) | 277 (6) | 283 (5) | 299 (6) | 305 (6) |
| Random | 246 (5) | 244 (4) | 272 (5) | 259 (4) | 300 (6) | 294 (6) | 320 (6) | 312 (6) |
Disclaimer/Publisher’s Note: The statements, opinions and data contained in all publications are solely those of the individual author(s) and contributor(s) and not of MDPI and/or the editor(s). MDPI and/or the editor(s) disclaim responsibility for any injury to people or property resulting from any ideas, methods, instructions or products referred to in the content. |
© 2026 by the authors. Licensee MDPI, Basel, Switzerland. This article is an open access article distributed under the terms and conditions of the Creative Commons Attribution (CC BY) license.
Share and Cite
Xu, Z.; Chen, S.; Han, Z.; Jiang, Y.; Guo, T.; Lu, S. Temporal Probability-Guided Shifts in Temporal Preparation Away from the Beat Under a Distracting Rhythm in Aging. Behav. Sci. 2026, 16, 453. https://doi.org/10.3390/bs16030453
Xu Z, Chen S, Han Z, Jiang Y, Guo T, Lu S. Temporal Probability-Guided Shifts in Temporal Preparation Away from the Beat Under a Distracting Rhythm in Aging. Behavioral Sciences. 2026; 16(3):453. https://doi.org/10.3390/bs16030453
Chicago/Turabian StyleXu, Zhihan, Siyu Chen, Zhili Han, Yuqing Jiang, Ting Guo, and Sa Lu. 2026. "Temporal Probability-Guided Shifts in Temporal Preparation Away from the Beat Under a Distracting Rhythm in Aging" Behavioral Sciences 16, no. 3: 453. https://doi.org/10.3390/bs16030453
APA StyleXu, Z., Chen, S., Han, Z., Jiang, Y., Guo, T., & Lu, S. (2026). Temporal Probability-Guided Shifts in Temporal Preparation Away from the Beat Under a Distracting Rhythm in Aging. Behavioral Sciences, 16(3), 453. https://doi.org/10.3390/bs16030453

