A Pilot Evaluation of the PEACE Implementation Toolkit to Improve the Use of Caregiver Coaching in Early Intervention
Abstract
1. Introduction
1.1. Caregiver Coaching in Early Intervention
1.2. Importance of Caregiver Coaching for Autism
1.3. Research-to-Practice Gap in Caregiver Coaching for Autism
1.4. Implementation Science
1.5. Purpose of the Current Study
2. Materials and Methods
2.1. PEACE Implementation Toolkit
2.2. Setting
2.3. Participants
2.3.1. Early Intervention (EI) Providers
2.3.2. Parents and Children
2.4. Measures
2.4.1. Caregiver Coaching Fidelity
2.4.2. Intervention Acceptability, Appropriateness, and Feasibility
2.4.3. Caregiver Responsiveness
2.5. Design and Analyses
3. Results
3.1. Participant Demographics
3.1.1. Providers
3.1.2. Caregivers
3.2. Inter-Observer Agreement
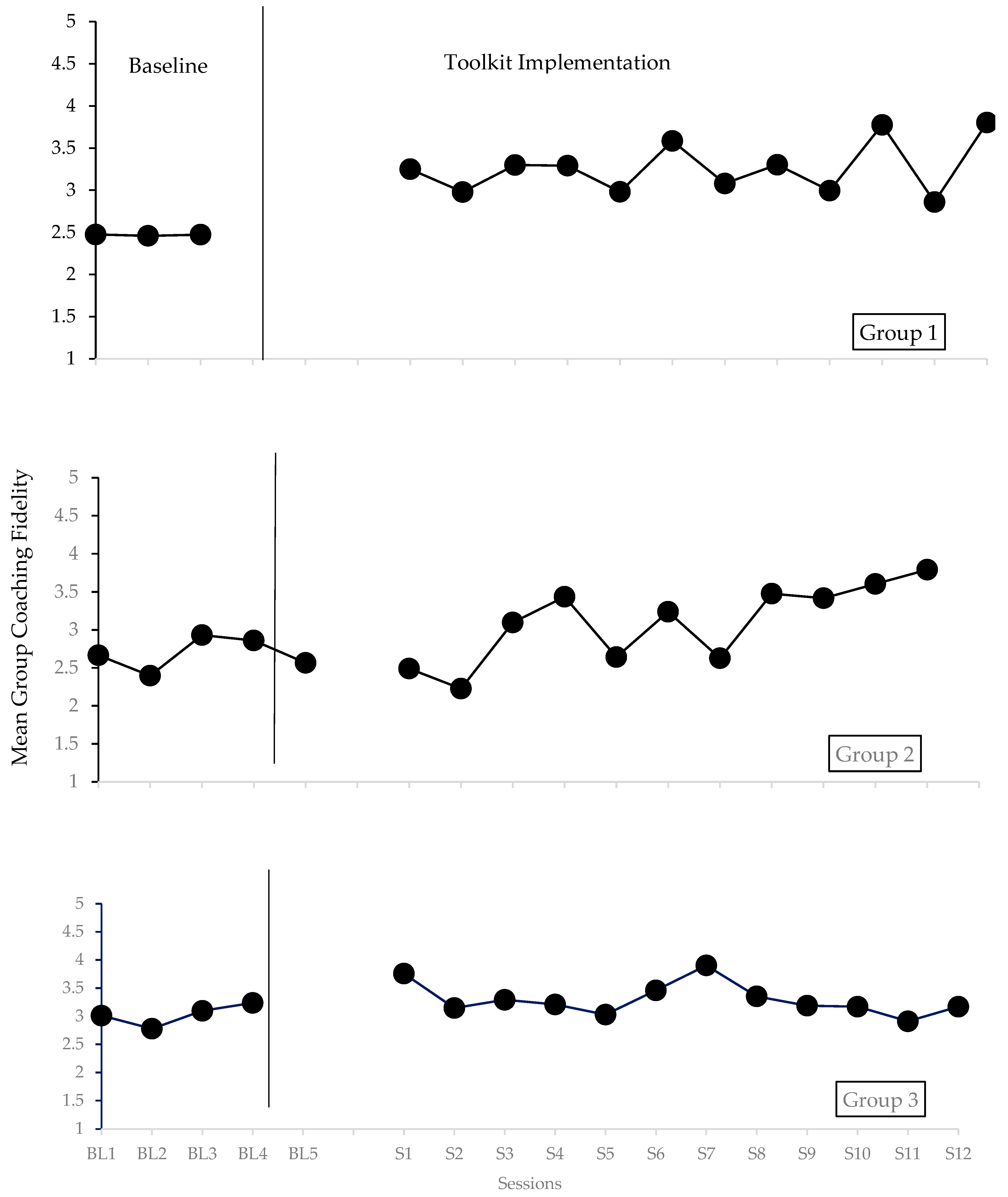
3.3. Overall Caregiver Coaching Fidelity
3.3.1. Level
3.3.2. Trend
3.3.3. Variability
3.3.4. Immediacy of Effect
3.3.5. Overlap
3.3.6. Consistency of Data Patterns Across Phases
3.3.7. Functional Relation
3.3.8. Effect Size
3.4. Changes in Caregiver Coaching Fidelity for Coaching Components
3.5. Acceptability, Appropriateness, and Feasibility
3.6. Changes in Caregiver Responsiveness
4. Discussion
Author Contributions
Funding
Institutional Review Board Statement
Informed Consent Statement
Data Availability Statement
Acknowledgments
Conflicts of Interest
References
- Abouzeid, N., Rivard, M., Mello, C., Mestari, Z., Boulé, M., & Guay, C. (2020). Parent coaching intervention program based on the early start Denver model for children with autism spectrum disorder: Feasibility and acceptability study. Research in Developmental Disabilities, 105, 103747. [Google Scholar] [CrossRef]
- Ajzen, I. (2020). The theory of planned behavior: Frequently asked questions. Human Behavior and Emerging Technologies, 2(4), 314–324. [Google Scholar] [CrossRef]
- Albright, J., Shinall, J. A., Tomczuk, L., Stewart, R. E., Mandell, D. S., Stahmer, A. C., Beidas, R. S., & Pellecchia, M. (2024). A multi-constituent qualitative examination of facilitators and barriers to caregiver coaching for autistic children in publicly funded early intervention. Autism, 29(1), 130–142. [Google Scholar] [CrossRef]
- Alquraini, T., Al-Odaib, A., Al-Dhalaan, H., Merza, H., & Mahoney, G. (2019). Relationship-based intervention with young children with autism in Saudi Arabia: Impediments and consequences of parenting stress and depression. International Journal of Disability, Development and Education, 66(3), 233–248. [Google Scholar] [CrossRef]
- Althoff, C. E., Dammann, C. P., Hope, S. J., & Ausderau, K. K. (2019). Parent-mediated interventions for children with autism spectrum disorder: A systematic review. The American Journal of Occupational Therapy, 73(3), 7303205010p1–7303205010p13. [Google Scholar] [CrossRef]
- Aranbarri, A., Miller, M., Stahmer, A., & Rogers, S. (2017, May 10–13). Examining part C early intervention services for families of children at risk -or with autism spectrum disorder. International Meeting for Autism Research, San Francisco, CA, USA. [Google Scholar]
- Artis, J., Watson, L. R., & Crais, E. R. (2022). Parent coaching behaviors used within an adapted responsive teaching intervention. Journal of Early Intervention, 44(4), 331–352. [Google Scholar] [CrossRef]
- Baker, R., Camosso-Stefinovic, J., Gillies, C., Shaw, E. J., Cheater, F., Flottorp, S., Robertson, N., Wensing, M., Fiander, M., Eccles, M. P., Godycki-Cwirko, M., van Lieshout, J., & Jäger, C. (2015). Tailored interventions to address determinants of practice. Cochrane Database of Systematic Reviews, (4), CD005470. [Google Scholar] [CrossRef]
- Basu, S., Salisbury, C. L., & Thorkildsen, T. A. (2010). Measuring collaborative consultation practices in natural environments. Journal of Early Intervention, 32(2), 127–150. [Google Scholar] [CrossRef]
- Bearss, K., Johnson, C., Smith, T., Lecavalier, L., Swiezy, N., Aman, M., McAdam, D. B., Butter, E., Stillitano, C., Minshawi, N., Sukhodolsky, D. G., Mruzek, D. W., Turner, K., Neal, T., Hallett, V., Mulick, J. A., Green, B., Handen, B., Deng, Y., … Scahill, L. (2015). Effect of parent training vs parent education on behavioral problems in children with autism spectrum disorder: A randomized clinical trial. JAMA, 313(15), 1524–1533. [Google Scholar] [CrossRef]
- Beidas, R. S., Edmunds, J. M., Marcus, S. C., & Kendall, P. C. (2012). Training and consultation to promote implementation of an empirically supported treatment: A randomized trial. Psychiatric Services, 63(7), 660–665. [Google Scholar] [CrossRef]
- Bond, G. R., Drake, R. E., McHugo, G. J., Peterson, A. E., Jones, A. M., & Williams, J. (2014). Long-term sustainability of evidence-based practices in community mental health agencies. Administration and Policy in Mental Health, 41(2), 228–236. [Google Scholar] [CrossRef]
- Borrelli, B., Sepinwall, D., Ernst, D., Bellg, A. J., Czajkowski, S., Breger, R., DeFrancesco, C., Levesque, C., Sharp, D. L., Ogedegbe, G., Resnick, B., & Orwig, D. (2005). A new tool to assess treatment fidelity and evaluation of treatment fidelity across 10 years of health behavior research. Journal of Consulting and Clinical Psychology, 73(5), 852–860. [Google Scholar] [CrossRef]
- Boyd, B. A., Odom, S. L., Humphreys, B. P., & Sam, A. M. (2010). Infants and toddlers with autism spectrum disorder: Early identification and early intervention. Journal of Early Intervention, 32(2), 75–98. [Google Scholar] [CrossRef]
- Bradshaw, J., Steiner, A., Gengoux, G., & Koegel, L. (2014). Feasibility and effectiveness of very early intervention for infants at-risk for autism spectrum disorder: A systematic review. Journal of Autism and Developmental Disorders, 45, 778–794. [Google Scholar] [CrossRef]
- Brock, M. E., Barczak, M. A., Anderson, E. J., & Bordner-Williams, N. M. (2021). Efficacy of tiered training on paraeducator implementation of systematic instructional practices for students with severe disabilities. Exceptional Children, 87(2), 217–235. [Google Scholar] [CrossRef]
- Campbell, P. H., & Coletti, C. E. (2013). Early intervention provider use of child caregiver–teaching strategies. Infants & Young Children, 26(3), 235–248. [Google Scholar] [CrossRef]
- Campbell, P. H., & Sawyer, L. B. (2007). Supporting learning opportunities in natural settings through participation-based services. Journal of Early Intervention, 29(4), 287–305. [Google Scholar] [CrossRef]
- Carr, M. E. (2015). A sensitivity analysis of three nonparametric treatment effect scores for single-case research for participants with autism. Review Journal of Autism and Developmental Disorders, 2(1), 67–78. [Google Scholar] [CrossRef]
- Concannon, T. W., Meissner, P., Grunbaum, J. A., McElwee, N., Guise, J.-M., Santa, J., Conway, P. H., Daudelin, D., Morrato, E. H., & Leslie, L. K. (2012). A new taxonomy for stakeholder engagement in patient-centered outcomes research. Journal of General Internal Medicine, 27(8), 985–991. [Google Scholar] [CrossRef]
- Damschroder, L. J., Aron, D. C., Keith, R. E., Kirsh, S. R., Alexander, J. A., & Lowery, J. C. (2009). Fostering implementation of health services research findings into practice: A consolidated framework for advancing implementation science. Implementation Science: IS, 4, 50. [Google Scholar] [CrossRef]
- Division for Early Childhood. (2014). DEC recommended practices in early intervention/early childhood special education 2014. Available online: http://www.dec-sped.org/dec-recommended-practices (accessed on 22 August 2025).
- Douglas, S. N., Meadan, H., & Kammes, R. (2020). Early interventionists’ caregiver coaching: A mixed methods approach exploring experiences and practices. Topics in Early Childhood Special Education, 40(2), 84–96. [Google Scholar] [CrossRef]
- Dunst, C. J., & Trivette, C. M. (2009). Let’s be PALS: An evidence-based approach to professional development. Infants & Young Children, 22(3), 164–176. [Google Scholar] [CrossRef]
- Eccles, M. P., & Mittman, B. S. (2006). Welcome to Implementation Science. Implementation Science, 1(1), 1. [Google Scholar] [CrossRef]
- Fuller, E. A., & Kaiser, A. P. (2020). The effects of early intervention on social communication outcomes for children with autism spectrum disorder: A meta-analysis. Journal of Autism and Developmental Disorders, 50(5), 1683–1700. [Google Scholar] [CrossRef] [PubMed]
- Green, J., Pickles, A., Pasco, G., Bedford, R., Wan, M. W., Elsabbagh, M., Slonims, V., Gliga, T., Jones, E., Cheung, C., Charman, T., Johnson, M., & The British Autism Study of Infant Siblings (BASIS) Team. (2017). Randomised trial of a parent-mediated intervention for infants at high risk for autism: Longitudinal outcomes to age 3 years. Journal of Child Psychology and Psychiatry, 58(12), 1330–1340. [Google Scholar] [CrossRef]
- Hanft, B. E., Rush, D. D., & Shelden, M. L. (2004). Coaching families and colleagues in early childhood. Brookes Publishing Company. [Google Scholar]
- Harvey, M. T., May, M. E., & Kennedy, C. H. (2004). Nonconcurrent multiple baseline designs and the evaluation of educational systems. Journal of Behavioral Education, 13(4), 267–276. [Google Scholar] [CrossRef]
- Hernandez, A. M., Straiton, D., Mandell, D. S., Ingersoll, B., Crabbe, S., Rieth, S., & Pellecchia, M. (2025). Short report: Associations of family characteristics and clinicians’ use of caregiver coaching in early intervention. Autism, 29(7), 1898–1906. [Google Scholar] [CrossRef]
- Ingersoll, B., & Dvortcsak, A. (2019). Teaching social communication to children with autism and other developmental delays: The Project ImPACT guide to coaching parents and the project ImPACT manual for parents (2 book set) (2nd ed.). Guilford Press. [Google Scholar]
- Ingersoll, B., & Wainer, A. (2013). Initial efficacy of project ImPACT: A parent-mediated social communication intervention for young children with ASD. Journal of Autism and Developmental Disorders, 43(12), 2943–2952. [Google Scholar] [CrossRef]
- Jones, K. A., Do, S., Porras-Javier, L., Contreras, S., Chung, P. J., & Coker, T. R. (2018). Feasibility and acceptability in a community-partnered implementation of centering parenting for group well-child care. Academic Pediatrics, 18(6), 642–649. [Google Scholar] [CrossRef]
- Kasari, C., Lawton, K., Shih, W., Barker, T. V., Landa, R., Lord, C., Orlich, F., King, B., Wetherby, A., & Senturk, D. (2014). Caregiver-mediated intervention for low-resourced preschoolers with autism: An RCT. Pediatrics, 134(1), e72–e79. [Google Scholar] [CrossRef]
- Kirchner, J. E., Smith, J. L., Powell, B. J., Waltz, T. J., & Proctor, E. K. (2020). Getting a clinical innovation into practice: An introduction to implementation strategies. Psychiatry Research, 283, 112467. [Google Scholar] [CrossRef]
- Knowles, M. S., III, E. F. H., Swanson, R. A., & Robinson, P. A. (2020). The adult learner: The definitive classic in adult education and human resource development. Routledge. [Google Scholar]
- Kratochwill, T., Hitchcock, J., Horner, R., Levin, S., Odom, S., Rindskopf, D., & Shadish, W. (2010). Single-case designs technical documentation. Retrieved from What Works Clearinghouse Website. Available online: https://ies.ed.gov/ncee/wwc/Document/229 (accessed on 20 July 2024).
- Landa, R. J. (2018). Efficacy of early interventions for infants and young children with, and at risk for, autism spectrum disorders. International Review of Psychiatry, 30(1), 25–39. [Google Scholar] [CrossRef]
- Lawson, G. M., Mandell, D. S., Tomczuk, L., Fishman, J., Marcus, S. C., & Pellecchia, M. (2022). Clinician intentions to use the components of parent coaching within community early intervention systems. Administration and Policy in Mental Health and Mental Health Services Research, 50(3), 357–365. [Google Scholar] [CrossRef]
- Leeman, J., Birken, S. A., Powell, B. J., Rohweder, C., & Shea, C. M. (2017). Beyond “implementation strategies”: Classifying the full range of strategies used in implementation science and practice. Implementation Science, 12(1), 125. [Google Scholar] [CrossRef]
- Lewis, C. C., Scott, K., & Marriott, B. R. (2018). A methodology for generating a tailored implementation blueprint: An exemplar from a youth residential setting. Implementation Science, 13(1), 68. [Google Scholar] [CrossRef]
- Nevill, R. E., Lecavalier, L., & Stratis, E. A. (2018). Meta-analysis of parent-mediated interventions for young children with autism spectrum disorder. Autism, 22(2), 84–98. [Google Scholar] [CrossRef]
- Noyes-Grosser, D. M., Elbaum, B., Wu, Y., Siegenthaler, K. M., Cavalari, R. S., Gillis, J. M., & Romanczyk, R. G. (2018). Early intervention outcomes for toddlers with autism spectrum disorder and their families. Infants & Young Children, 31(3), 177–199. [Google Scholar] [CrossRef]
- Pellecchia, M., Beidas, R. S., Mandell, D. S., Cannuscio, C. C., Dunst, C. J., & Stahmer, A. C. (2020). Parent empowerment and coaching in early intervention: Study protocol for a feasibility study. Pilot and Feasibility Studies, 6(1), 22. [Google Scholar] [CrossRef]
- Pellecchia, M., Mandell, D. S., Beidas, R. S., Dunst, C. J., Tomczuk, L., Newman, J., Zeigler, L., & Stahmer, A. C. (2022). Parent coaching in early intervention for autism spectrum disorder: A brief report. Journal of Early Intervention, 45(2), 185–197. [Google Scholar] [CrossRef]
- Peters-Scheffer, N., Didden, R., Korzilius, H., & Sturmey, P. (2011). A meta-analytic study on the effectiveness of comprehensive ABA-based early intervention programs for children with autism spectrum disorders. Research in Autism Spectrum Disorders, 5(1), 60–69. [Google Scholar] [CrossRef]
- Powell, B. J., Beidas, R. S., Lewis, C. C., Aarons, G. A., McMillen, J. C., Proctor, E. K., Khinduka, S. K., & Mandell, D. S. (2017). Methods to improve the selection and tailoring of implementation strategies. The Journal of Behavioral Health Services & Research, 44(2), 177–194. [Google Scholar] [CrossRef]
- Powell, B. J., Waltz, T. J., Chinman, M. J., Damschroder, L. J., Smith, J. L., Matthieu, M. M., Proctor, E. K., & Kirchner, J. E. (2015). A refined compilation of implementation strategies: Results from the expert recommendations for implementing change (ERIC) project. Implementation Science, 10(1), 21. [Google Scholar] [CrossRef]
- Pustejovsky, J. E. (2015). Measurement-comparable effect sizes for single-case studies of free-operant behavior. Psychological Methods, 20(3), 342–359. [Google Scholar] [CrossRef]
- Pustejovsky, J. E. (2018). Using response ratios for meta-analyzing single-case designs with behavioral outcomes. Journal of School Psychology, 16, 99–112. [Google Scholar] [CrossRef]
- Rahman, A., Divan, G., Hamdani, S. U., Vajaratkar, V., Taylor, C., Leadbitter, K., Aldred, C., Minhas, A., Cardozo, P., Emsley, R., Patel, V., & Green, J. (2016). Effectiveness of the parent-mediated intervention for children with autism spectrum disorder in south Asia in India and Pakistan (PASS): A randomised controlled trial. The Lancet Psychiatry, 3(2), 128–136. [Google Scholar] [CrossRef]
- Ratliff-Black, M., & Therrien, W. (2021). Parent-mediated interventions for school-age children with ASD: A meta-analysis. Focus on Autism and Other Developmental Disabilities, 36(1), 3–13. [Google Scholar] [CrossRef]
- Reichow, B., Barton, E. E., Boyd, B. A., & Hume, K. (2014). Early intensive behavioral intervention (EIBI) for young children with autism spectrum disorders (ASD): A systematic review. Campbell Systematic Reviews, 10(1), 1–116. [Google Scholar] [CrossRef]
- Rogers, S. J., Estes, A., Vismara, L., Munson, J., Zierhut, C., Greenson, J., Dawson, G., Rocha, M., Sugar, C., Senturk, D., Whelan, F., & Talbott, M. (2019). Enhancing low-intensity coaching in parent implemented early start Denver model intervention for early autism: A randomized comparison treatment trial. Journal of Autism and Developmental Disorders, 49(2), 632–646. [Google Scholar] [CrossRef]
- Roggman, L. A., Cook, G. A., Innocenti, M. S., Norman, V. J., & Christiansen, K. (2013). Parenting interactions with children: Checklist of observations linked to outcomes (PICCOLO) in diverse ethnic groups. Infant Mental Health Journal, 34(4), 290–306. [Google Scholar] [CrossRef]
- Rush, D. D., & Shelden, M. L. (2011). The early childhood coaching handbook. Brookes Publishing Company. [Google Scholar]
- Salisbury, C., Cambray-Engstrom, E., & Woods, J. (2012). Providers’ reported and actual use of coaching strategies in natural environments. Topics in Early Childhood Special Education, 32(2), 88–98. [Google Scholar] [CrossRef]
- Sawyer, B., & Campbell, P. H. (2009). Beliefs about participation-based practices in early intervention. Journal of Early Intervention, 31(4), 326–343. [Google Scholar] [CrossRef]
- Schlosser, R. W., Lee, D. L., & Wendt, O. (2008). Application of the percentage of non-overlapping data (PND) in systematic reviews and meta-analyses: A systematic review of reporting characteristics. Evidence-Based Communication Assessment and Intervention, 2(3), 163–187. [Google Scholar] [CrossRef]
- Scruggs, T. E., & Mastropieri, M. A. (1998). Summarizing single-subject research: Issues and applications. Behavior Modification, 22(3), 221–242. [Google Scholar] [CrossRef]
- Shire, S. Y., Chang, Y. C., Shih, W., Bracaglia, S., Kodjoe, M., & Kasari, C. (2017). Hybrid implementation model of community-partnered early intervention for toddlers with autism: A randomized trial. Journal of Child Psychology and Psychiatry, 58(5), 612–622. [Google Scholar] [CrossRef]
- Siller, M., Pickard, K., Fuhrmeister, S., Kushner, E., Rudrabhatla, A., & Morgan, L. (2022). Teacher-implemented parent coaching in inclusive preschool settings for children with autism. Journal of Early Intervention, 44(2), 211–231. [Google Scholar] [CrossRef]
- Slocum, T. A., Pinkelman, S. E., Joslyn, P. R., & Nichols, B. (2022). Threats to internal validity in multiple-baseline design variations. Perspectives on Behavior Science, 45(3), 619–638. [Google Scholar] [CrossRef]
- Stadnick, N. A., Stahmer, A., & Brookman-Frazee, L. (2015). Preliminary effectiveness of project ImPACT: A parent-mediated intervention for children with autism spectrum disorder delivered in a community program. Journal of Autism and Developmental Disorders, 45(7), 2092–2104. [Google Scholar] [CrossRef]
- Stahmer, A. C., Rieth, S. R., Dickson, K. S., Feder, J., Burgeson, M., Searcy, K., & Brookman-Frazee, L. (2020). Project ImPACT for Toddlers: Pilot outcomes of a community adaptation of an intervention for autism risk. Autism, 24(3), 617–632. [Google Scholar] [CrossRef]
- Stewart, S. L., & Applequist, K. (2019). Diverse families in early intervention: Professionals’ views of coaching. Journal of Research in Childhood Education, 33(2), 242–256. [Google Scholar] [CrossRef]
- Straiton, D., Frost, K., & Ingersoll, B. (2023). Factors that influence clinical decisions about offering parent coaching for autistic youth served within the Medicaid system. Implementation Research and Practice, 4, 26334895231153631. [Google Scholar] [CrossRef]
- Tomasello, N. M., Manning, A. R., & Dulmus, C. N. (2010). Family-centered early intervention for infants and toddlers with disabilities. Journal of Family Social Work, 13(2), 163–172. [Google Scholar] [CrossRef]
- Tomczuk, L., Stewart, R. E., Beidas, R. S., Mandell, D. S., & Pellecchia, M. (2022). Who gets coached? A qualitative inquiry into community clinicians’ decisions to use caregiver coaching. Autism, 26(3), 575–585. [Google Scholar] [CrossRef]
- Tsiplova, K., Jegathisawaran, J., Mirenda, P., Kalynchuk, K., Colozzo, P., Smith, V., & Ungar, W. J. (2022). Parent coaching intervention for children with suspected autism spectrum disorder: Cost analysis. Research in Autism Spectrum Disorders, 93, 101949. [Google Scholar] [CrossRef]
- Vilaseca, R., Rivero, M., Bersabé, R. M., Navarro-Pardo, E., Cantero, M. J., Ferrer, F., Valls Vidal, C., Innocenti, M. S., & Roggman, L. (2019). Spanish validation of the PICCOLO (parenting interactions with children: Checklist of observations linked to outcomes). Frontiers in Psychology, 10, 680. [Google Scholar] [CrossRef]
- Watson, P. J., & Workman, E. A. (1981). The non-concurrent multiple baseline across-individuals design: An extension of the traditional multiple baseline design. Journal of Behavior Therapy and Experimental Psychiatry, 12(3), 257–259. [Google Scholar] [CrossRef]
- Weiner, B. J., Lewis, C. C., Stanick, C., Powell, B. J., Dorsey, C. N., Clary, A. S., Boynton, M. H., & Halko, H. (2017). Psychometric assessment of three newly developed implementation outcome measures. Implementation Science, 12(1), 108. [Google Scholar] [CrossRef]
- Wetherby, A. M., & Woods, J. J. (2006). Early Social interaction project for children with autism spectrum disorders beginning in the second year of life: A preliminary study. Topics in Early Childhood Special Education, 26(2), 67–82. [Google Scholar] [CrossRef]
- Wolfe, K., Barton, E. E., & Meadan, H. (2019). Systematic protocols for the visual analysis of single-case research data. Behavior Analysis Practice, 12, 491–502. [Google Scholar] [CrossRef]
- Woods, J., Kashinath, S., & Goldstein, H. (2004). Effects of embedding caregiver-implemented teaching strategies in daily routines on children’s communication outcomes. Journal of Early Intervention, 26(3), 175–193. [Google Scholar] [CrossRef]

| Identified Coaching Barrier | Related CFIR Construct | ERIC Strategy | Targeted Construct | PEACE Toolkit Implementation Strategies |
|---|---|---|---|---|
| Poor provider cohesion and communication; isolation | Inner Setting | Build a Coalition | Norms | Virtual communication platform to enhance communication and social networks among providers |
| Lack of training | Inner Setting | Develop and Distribute Educational Materials | Self-Efficacy | Self-paced online training videos, tip sheets, and infographics housed in an online resource library |
| Poor self-efficacy | Individual Characteristics | Facilitation; Consultation; Audit and Feedback | Norms and Self-Efficacy | Group and individual facilitation meetings with auditing of performance and feedback |
| Poor intentions to implement coaching | Individual Characteristics | Obtain Formal Commitments | Attitudes | Formally setting intentions to coach caregivers with each new client |
| Beliefs that coaching is a poor fit for some families | Individual Characteristics | Develop Educational Materials | Attitudes | Modules with concrete strategies to support families from minoritized or marginalized backgrounds |
| Variables | Providers N (%) | Caregivers N (%) |
|---|---|---|
| Gender | ||
| Female | 8 (100%) | 8 (100%) |
| Race | ||
| White | 5 (63%) | 3 (37%) |
| African-American or Black | 3 (37%) | 2 (25%) |
| Asian | 0.0% | 1 (12%) |
| Other | 0.0% | 2 (25%) |
| Ethnicity: Latino/Hispanic/Spanish | 0.0% | 3 (37%) |
| State | ||
| PA | 7 (88%) | 7 (88%) |
| Other | 1 (12%) | 1 (12%) |
| Job Title | ||
| Special Instructor | 6 (76%) | --- |
| ABA Therapist | 1 (12%) | --- |
| Other | 1 (12%) | --- |
| Employee Type | ||
| Full-Time Employee | 3 (37%) | --- |
| Part-Time Employee | 0.0% | --- |
| Independent Contractor | 5 (63%) | --- |
| Highest Level of Education | ||
| High School or GED | 0.0% | 2 (25%) |
| Some College | 0.0% | 2 (25%) |
| College | 0.0% | 4 (50%) |
| Graduate/Professional Degree | 8 (100%) | 0 (0%) |
| Annual Household Income | ||
| Under USD 20,000 | --- | 4 (50%) |
| USD 20,000–USD 40,000 | --- | 1 (12%) |
| USD 40,000–USD 60,000 | --- | 1 (12%) |
| Over USD 60,000 | --- | 2 (25%) |
| Provider | Group | 1st Baseline Coaching Fidelity Score | Final Coaching Fidelity Score |
|---|---|---|---|
| 1 | 3 | 2.82 | 2.91 |
| 2 | 1 | 1.09 | 2.0 |
| 3 | 2 | 2.43 | 3.96 |
| 4 | 3 | 2.23 | 2.58 |
| 5 | 1 | 3.0 | 3.27 |
| 6 | 1 | 2.76 | 3.64 |
| 7 | 2 | 2.55 | 3.48 |
| 8 | 3 | 2.77 | 3.24 |
| PICCOLO Domain | Minimum | Maximum | Mean | SD |
|---|---|---|---|---|
| Affection Time 1 | 9 | 12 | 12 | 1.87 |
| Affection Time 2 | 10 | 13 | 11.8 | 1.16 |
| Responsiveness Time 1 | 9 | 14 | 12 | 2.35 |
| Responsiveness Time 2 | 10 | 14 | 12.8 | 1.64 |
| Encouragement Time 1 | 8 | 13 | 9.6 | 2.07 |
| Encouragement Time 2 | 10 | 13 | 11.4 | 1.14 |
| Teaching Time 1 | 6 | 9 | 7 | 1.41 |
| Teaching Time 2 | 6 | 10 | 7.75 | 1.70 |
Disclaimer/Publisher’s Note: The statements, opinions and data contained in all publications are solely those of the individual author(s) and contributor(s) and not of MDPI and/or the editor(s). MDPI and/or the editor(s) disclaim responsibility for any injury to people or property resulting from any ideas, methods, instructions or products referred to in the content. |
© 2025 by the authors. Licensee MDPI, Basel, Switzerland. This article is an open access article distributed under the terms and conditions of the Creative Commons Attribution (CC BY) license (https://creativecommons.org/licenses/by/4.0/).
Share and Cite
Pellecchia, M.; Beidas, R.S.; Tomczuk, L.; Mandell, D.S.; Stahmer, A.C. A Pilot Evaluation of the PEACE Implementation Toolkit to Improve the Use of Caregiver Coaching in Early Intervention. Behav. Sci. 2025, 15, 1164. https://doi.org/10.3390/bs15091164
Pellecchia M, Beidas RS, Tomczuk L, Mandell DS, Stahmer AC. A Pilot Evaluation of the PEACE Implementation Toolkit to Improve the Use of Caregiver Coaching in Early Intervention. Behavioral Sciences. 2025; 15(9):1164. https://doi.org/10.3390/bs15091164
Chicago/Turabian StylePellecchia, Melanie, Rinad S. Beidas, Liza Tomczuk, David S. Mandell, and Aubyn C. Stahmer. 2025. "A Pilot Evaluation of the PEACE Implementation Toolkit to Improve the Use of Caregiver Coaching in Early Intervention" Behavioral Sciences 15, no. 9: 1164. https://doi.org/10.3390/bs15091164
APA StylePellecchia, M., Beidas, R. S., Tomczuk, L., Mandell, D. S., & Stahmer, A. C. (2025). A Pilot Evaluation of the PEACE Implementation Toolkit to Improve the Use of Caregiver Coaching in Early Intervention. Behavioral Sciences, 15(9), 1164. https://doi.org/10.3390/bs15091164

