How Exploitative Leadership Emerges: The Activating Effect of Organizational Context on Individual Traits
Abstract
1. Introduction
2. Theoretical Basis and Research Hypotheses
2.1. The Predictive Effect of Leader Personality Traits on Exploitative Leadership Behavior
2.2. The Predictive Effect of Organizational Contextual Factors on Exploitative Leadership Behavior
2.3. The Activating Effect of Organizational Context on Leaders’ Personality Traits
2.3.1. The Moderating Role of Task Challenge in Trait Activation
2.3.2. The Moderating Role of Leader–Subordinate Goal Misalignment in Trait Activation
2.3.3. The Moderating Role of Flexible Status Conferral in Trait Activation
3. Materials and Methods
3.1. Participants and Procedures
3.2. Measures
4. Results
4.1. Common Method Bias Test
4.2. Confirmatory Factor Analysis
4.3. Descriptive Statistics
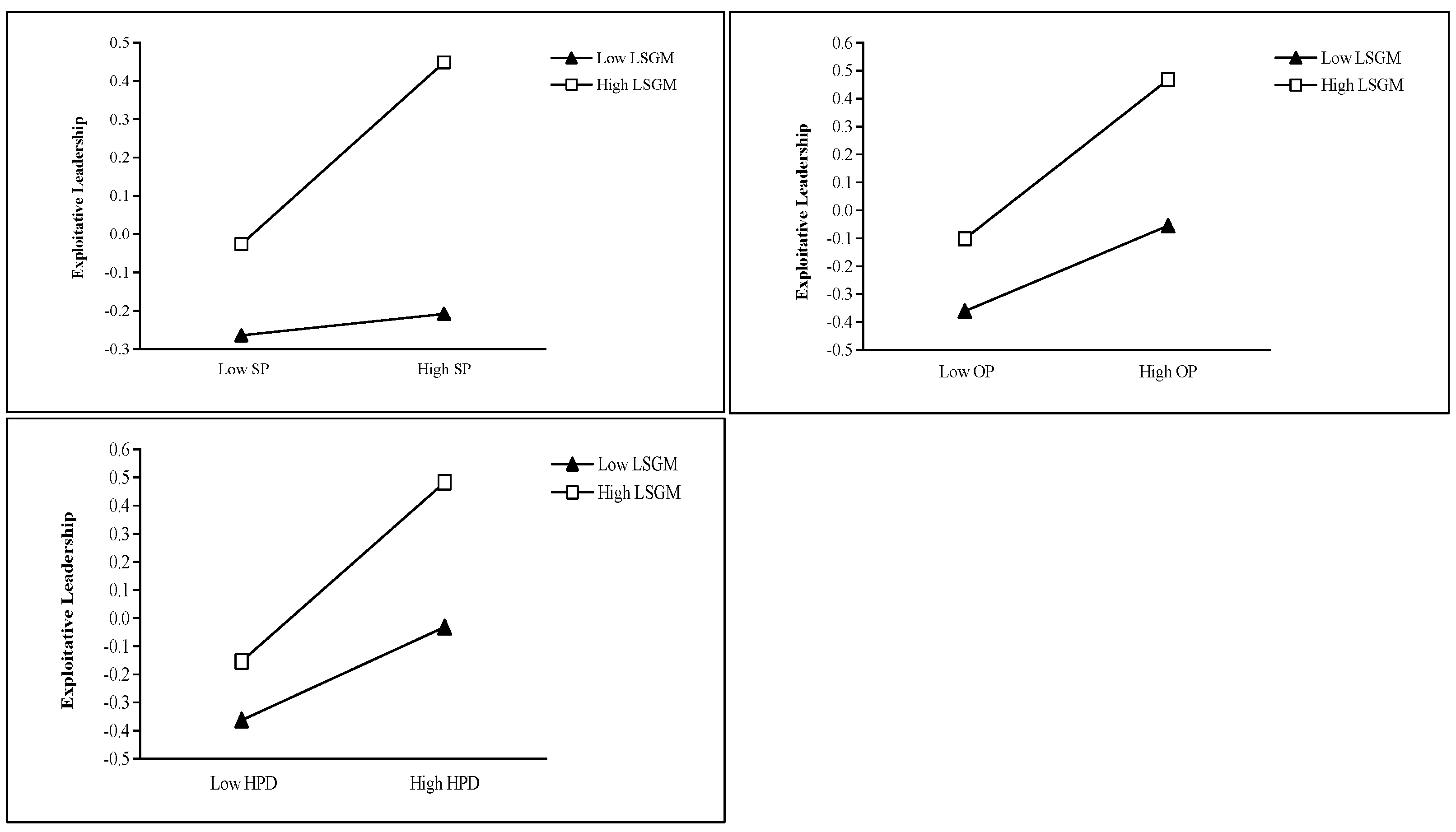
4.4. Hypothesis Testing
5. Discussion
5.1. Theoretical Contributions
5.2. Practical Implications
5.3. Limitations and Future Research
6. Conclusions
Author Contributions
Funding
Institutional Review Board Statement
Informed Consent Statement
Data Availability Statement
Conflicts of Interest
Appendix A
| Variable | Measurement Items |
|---|---|
| Self-interested Personality | At work, I am concerned about my own needs and interests. |
| At work, my personal goals and aspirations are important to me. | |
| At work, I consider my own wishes and desires to be relevant. | |
| High-power Distance Orientation | I don’t think managers need to consult their subordinates when making decisions. |
| I think it is often necessary for managers to exercise power and exert authority at work. | |
| I think managers should not exchange opinions excessively with employees. | |
| I think supervisors should avoid non-work-related interactions with subordinates. | |
| I think subordinates should not question or oppose the decisions made by superiors. | |
| I think superiors should not delegate important tasks to subordinates for resolution. | |
| Other-oriented Perfectionism | I have high expectations for the people who are important to me. |
| I do not have very high standards for those around me. (Reverse) | |
| If I ask someone to do something, I expect it to be done flawlessly. | |
| I can’t be bothered with people who won’t strive to better themselves. | |
| The people who matter to me should never let me down. | |
| Task challenge | Only a few jobs are the same from day-to-day. |
| Only a few tasks involve routine work with fixed operating procedures. | |
| Department members rarely use identical approaches to complete the same tasks. | |
| Flexible Status Conferral | In our organization, promotion is based on seniority rather than meritocracy (Reverse). |
| In our organization, newcomers are more likely to be dismissed (Reverse). | |
| In our organization, rewards are allocated by tenure rather than performance (Reverse). | |
| In our organization, ascribed factors primarily determine status attainment (Reverse). | |
| Leader–Subordinate Goal Misalignment | Department members have the best interests of the department in mind (Reverse). |
| Department members’ personal goals are consistent with our department’s goals (Reverse). | |
| Department members look out for our department’s best interests (Reverse). | |
| Exploitative Leadership | My leader takes it for granted that my work can be used for his/her personal benefit. (genuine egoistic behaviors). |
| My leader sees employees as a means to reach his/her personal goals. (genuine egoistic behaviors). | |
| My leader values the achievement of his/her own goals over the needs of the employees. (genuine egoistic behaviors). | |
| My leader puts me under pressure to reach his/her goals. (exerting pressure). | |
| My leader increases my workload without considering my needs in order to reach his/her goals. (exerting pressure). | |
| My leader does not consider my workload when new tasks need to be assigned. (exerting pressure). | |
| My leader gives me tedious tasks if he/she can benefit from it. (underchallenging followers). | |
| My leader does not give me opportunities to further develop myself professionally because his/her own goals have priority. (underchallenging followers). | |
| My leader gives me boring routine tasks when he/she can benefit from it. (underchallenging followers). | |
| My leader uses my work to get himself/herself noticed. (taking credit). | |
| My leader passes the team’s work off as his/her own. (taking credit). | |
| My leader uses my work for his/her personal gain. (taking credit). | |
| My leader plays my colleagues and me off against each other to reach his/her goals. (manipulating followers). | |
| My leader manipulates others to reach his/her goals. (manipulating followers). | |
| My leader does not hesitate to manipulate or deceive employees in order to reach his/her goals (manipulating followers). |
References
- Abdulmuhsin, A. A., Zaker, R. A., & Asad, M. M. (2021). How exploitative leadership influences on knowledge management processes: The moderating role of organisational citizenship behavior. International Journal of Organizational Analysis, 29(3), 529–561. [Google Scholar] [CrossRef]
- Akhtar, M. W., Huo, C., Syed, F., Safdar, M. A., Rasool, A., Husnain, M., Awais, M., & Sajjad, M. S. (2022). Carrot and stick approach: The exploitative leadership and absenteeism in education sector. Frontiers in Psychology, 13, 890064. [Google Scholar] [CrossRef]
- Akram, Z., Chaudhary, S., Akram, U., & Han, H. (2024). How leaders exploited the frontline hospitality employees through distress and service sabotage? Journal of Travel & Tourism Marketing, 41(2), 252–271. [Google Scholar] [CrossRef]
- Alajhar, N. A., Bajaba, S., & Yaqub, M. Z. (2024). The unseen scars: How and when exploitative leadership fuels psychological distress through the lens of perceived distributive injustice and victim sensitivity. Employee Responsibilities and Rights Journal. [Google Scholar] [CrossRef]
- Bajaba, A., Bajaba, S., & Alsabban, A. (2023). Exploitative leadership and constructive voice: The role of employee adaptive personality and organizational identification. Journal of Organizational Effectiveness: People and Performance, 10(4), 601–623. [Google Scholar] [CrossRef]
- Bajaba, S., Bajaba, A., & Fuller, B. (2022). Enduring exploitative leaders at work: The buffering role of proactive personality on employee job strain. Organization Management Journal, 19(2), 60–71. [Google Scholar] [CrossRef]
- Basaad, S., Bajaba, S., & Basahal, A. (2023). Uncovering the dark side of leadership: How exploitative leaders fuel unethical pro-organizational behavior through moral disengagement. Cogent Business & Management, 10(2), 2233775. [Google Scholar] [CrossRef]
- Buss, D. M. (2009). How can evolutionary psychology successfully explain personality and individual differences? Perspectives on Psychological Science, 4(4), 359–366. [Google Scholar] [CrossRef]
- Cheng, K., Guo, L. M., & Luo, J. J. (2023). The more you exploit, the more expedient I will be: A moral disengagement and Chinese traditionality examination of exploitative leadership and employee expediency. Asia Pacific Journal of Management, 40, 151–167. [Google Scholar] [CrossRef]
- Cohen, A., & Baruch, Y. (2022). Abuse and exploitation of doctoral students: A conceptual model for traversing a long and winding road to academia. Journal of Business Ethics, 180, 505–522. [Google Scholar] [CrossRef]
- De Dreu, C. K., & Nauta, A. (2009). Self-interest and other-orientation in organizational behavior: Implications for job performance, prosocial behavior, and personal initiative. Journal of Applied Psychology, 94(4), 913–926. [Google Scholar] [CrossRef] [PubMed]
- Deng, W. J., Cao, Y., & Wen, P. (2023). An empirical test of performance pressure on the driving mechanism of introverted leadership. Statistics and Decision, 39(02), 185–188. (In Chinese). [Google Scholar] [CrossRef]
- Deng, W. J., & Wen, P. (2023). The influence mechanism of CEO exploitative leadership on organizational innovation performance: The mediating role of organizational learning and moderating role of environmental competitiveness. Science & Technology Progress and Policy, 40(10), 141–150. (In Chinese). [Google Scholar]
- Dorfman, P. W., & Howell, J. P. (1988). Dimensions of national culture and effective leadership patterns: Hofstede revisited. Advance in International Comparative Management, 10(3), 127–150. [Google Scholar]
- Elsaied, M. (2022). Exploitative leadership and organizational cynicism: The mediating role of emotional exhaustion. Leadership & Organization Development Journal, 43(1), 25–38. [Google Scholar] [CrossRef]
- Emmerling, F., Peus, C., & Lobbestael, J. (2023). The hot and the cold in destructive leadership: Modeling the role of arousal in explaining leader antecedents and follower consequences of abusive supervision versus exploitative leadership. Organizational Psychology Review, 13(3), 237–278. [Google Scholar] [CrossRef]
- Fatima, T., & Majeed, M. (2023). Detriments of exploitative leadership in the hotel industry: Role of conspiracy beliefs and forgiveness climate. International Journal of Contemporary Hospitality Management, 35(7), 2624–2644. [Google Scholar] [CrossRef]
- Feng, Y. C., Ayub, A., Fatima, T., Irfan, S., & Sarmad, M. (2022). I cannot be creative due to my exploitative leader! A moderated mediation interplay of leader-member exchange quality and knowledge hiding. Journal of Organizational Change Management, 35(3), 558–579. [Google Scholar] [CrossRef]
- Gao, H. Y., Tan, L., & Hao, P. (2022, June 9–10). How and why exploitative leadership influences followers’ organizational commitment: Integrating social exchange and justice lens. Hradec Economic Days 2022, Hradec Králové, Czech Republic. [Google Scholar] [CrossRef]
- Garlatti Costa, G., Aleksić, D., & Bortoluzzi, G. (2022). The power of balance: Interplay effects of exploitative leadership style, work–family balance and family-friendly workplace practices on innovation implementation. European Journal of Innovation Management, 25(5), 1266–1287. [Google Scholar] [CrossRef]
- Guo, L., Chiang, J. T. J., Mao, J. Y., & Chien, C. J. (2020). Abuse as a reaction of perfectionistic leaders: A moderated mediation model of leader perfectionism, perceived control, and subordinate feedback seeking on abusive supervision. Journal of Occupational and Organizational Psychology, 93(3), 790–810. [Google Scholar] [CrossRef]
- Guo, L. M., Cheng, K., & Luo, J. J. (2021). The effect of exploitative leadership on knowledge hiding: A conservation of resources perspective. Leadership & Organization Development Journal, 42(1), 83–98. [Google Scholar] [CrossRef]
- Guo, L. M., Luo, J. L., & Cheng, K. (2024). Exploitative leadership and counterproductive work behavior: A discrete emotions approach. Personnel Review, 53(2), 353–374. [Google Scholar] [CrossRef]
- Guo, L. Y., Du, J., & Zhang, J. C. (2024). How supervisor perceived overqualification influences exploitative leadership: The mediating role of job anxiety and the moderating role of psychological entitlement. Leadership & Organization Development Journal, 45(6), 976–991. [Google Scholar] [CrossRef]
- Guo, L. Y., Du, J., & Zheng, X. N. (2023). A review of exploitative leadership research. China Human Resources Development, 40(09), 40–57. (In Chinese). [Google Scholar] [CrossRef]
- Hewitt, P. L., & Flett, G. L. (1991). Perfectionism in the self and social contexts: Conceptualization, assessment, and association with psychopathology. Journal of Personality and Social Psychology, 60(3), 456–470. [Google Scholar] [CrossRef]
- Hofstede, G. (1991). Cultures and organizations: Software of the mind: Intercultural cooperation and its importance for survival. McGraw-Hill Publishing Co. [Google Scholar]
- Huang, J., & Tang, C. Y. (2020). Exploitative leadership and territorial behavior: Conditional process analysis. Chinese Journal of Management, 17(10), 1489–1497. (In Chinese). [Google Scholar]
- Huang, J., & Tang, C. Y. (2024). Effects of coworker’s idiosyncratic deals on witness’s creative process engagement: Roles of responsibility for change and perceived exploitative leadership. Journal of Management & Organization, 30(4), 1001–1021. [Google Scholar] [CrossRef]
- Khursheed, Z. (2020). Impact of exploitative leadership on family incivility: Mediating role of negative affectivity and moderating role of locus of control. Capital University of Science and Technology, Islamabad. [Google Scholar]
- Kiyani, A. S., Atasever, M., & Rizvi, T. H. (2021). Impact of exploitative leadership on workplace incivility: Role of psychological distress-evidence from banking sector. NICE Research Journal, 14(1), 131–149. [Google Scholar] [CrossRef]
- Koslowsky, M., Baharay, H., & Schwarzwald, J. (2011). Management style as a mediator of the power distance—Influence tactics relationship. International Journal of Conflict Management, 22(3), 264–277. [Google Scholar] [CrossRef]
- Lazreg, C., & Lakhal, L. (2022). The downside of managers: The moderator role of political skill & deceptive situation. Acta Psychologica, 228, 103619. [Google Scholar] [CrossRef] [PubMed]
- Li, P. B., Sun, Y. Q., & Lei, M. (2019). The forming mechanism of leader empowering behavior based on goal theory. Advances in Psychological Science, 27(7), 1167. [Google Scholar] [CrossRef]
- Liu, M. W., Zhang, P. C., Pan, X. Q., Liu, Z. Q., & Ji, X. T. (2023). Exploitative leadership and negative gossip behavior about supervisor: The perspective of cognitive appraisal theory of emotion. Management Review, 35(11), 230–241. (In Chinese). [Google Scholar] [CrossRef]
- Liu, Z. Q., Li, C., Liao, J. Q., & Long, L. R. (2015). The individual status in organizations, the status-conferral ways and employee’s creative outcomes: A case study made from the state-owned enterprises in China. Management World, 86–101+187–188. (In Chinese). [Google Scholar] [CrossRef]
- Luo, J. L., Guo, L. M., & Chen, K. (2021). The impact of exploitative leadership on scientific creativity: Based on affective events theory. Science & Technology Progress and Policy, 38(12), 137–143. (In Chinese). [Google Scholar]
- Lyu, Y. J., Wu, L. Z., Ye, Y. J., Kwan, H. K., & Chen, Y. Y. (2023). Rebellion under exploitation: How and when exploitative leadership evokes employees’ workplace deviance. Journal of Business Ethics, 185, 483–498. [Google Scholar] [CrossRef]
- Majeed, M., Fatima, T., & Irshad, M. (2023). A wolf in sheep’s clothing: The perils of exploitative leadership. European Journal of Social Psychology, 53(6), 1216–1230. [Google Scholar] [CrossRef]
- Moin, M. F., Omar, M. K., Ali, A., Rasheed, M. I., & Abdelmotaleb, M. (2024). A moderated mediation model of knowledge hiding. The Service Industries Journal, 44(5–6), 378–390. [Google Scholar] [CrossRef]
- Padilla, A., Hogan, R., & Kaiser, R. B. (2007). The toxic triangle: Destructive leaders, susceptible followers, and conducive environments. The Leadership Quarterly, 18(3), 176–194. [Google Scholar] [CrossRef]
- Schmid, E. A., Pircher Verdorfer, A., & Peus, C. V. (2018). Different shades-different effects? Consequences of different types of destructive leadership. Frontiers in Psychology, 9, 1289. [Google Scholar] [CrossRef] [PubMed]
- Schmid, E. A., Pircher Verdorfer, A., & Peus, C. V. (2019). Shedding light on leaders’ self-interest: Theory and measurement of exploitative leadership. Journal of Management, 45(4), 1401–1433. [Google Scholar] [CrossRef]
- Stoeber, J. (2015). How other-oriented perfectionism differs from self-oriented and socially prescribed perfectionism: Further findings. Journal of Psychopathology and Behavioral Assessment, 37, 611–623. [Google Scholar] [CrossRef]
- Sun, X., Jian, H., He, B., Hu, W. M., & Liang, Y. Y. (2024). The impact of exploitative leadership on bystander virtual whistle-blowing: A perspective of deontic justice. Human Resources Development of China, 41(10), 37–49. (In Chinese). [Google Scholar] [CrossRef]
- Sun, Y. D., & Zhang, Y. J. (2022). The effects of exploitative leadership on employee complaints and turnover intention: The role of negative emotions and traditionality. Psychological Research, 15(03), 236–245. (In Chinese). [Google Scholar] [CrossRef]
- Sun, Z. Z., Wu, L. Z., Ye, Y. J., & Kwan, H. K. (2023). The impact of exploitative leadership on hospitality employees’ proactive customer service performance: A self-determination perspective. International Journal of Contemporary Hospitality Management, 35(1), 46–63. [Google Scholar] [CrossRef]
- Syed, F., Naseer, S., Akhtar, M. W., Husnain, M., & Kashif, M. (2021). Frogs in boiling water: A moderated mediation model of exploitative leadership, fear of negative evaluation and knowledge hiding behaviors. Journal of Knowledge Management, 25(8), 2067–2087. [Google Scholar] [CrossRef]
- Tett, R. P., & Burnett, D. D. (2003). A personality trait-based interactionist model of job performance. Journal of Applied Psychology, 88(3), 500–517. [Google Scholar] [CrossRef] [PubMed]
- Tett, R. P., & Guterman, H. A. (2000). Situation trait relevance, trait expression, and cross-situational consistency: Testing a principle of trait activation. Journal of Research in Personality, 34(4), 397–423. [Google Scholar] [CrossRef]
- Uhl-Bien, M., Carsten, M., Huang, L., & Maslyn, J. (2022). What do managers value in the leader-member exchange (LMX) relationship? identification and measurement of the manager’s perspective of LMX (MLMX). Journal of Business Research, 148, 225–240. [Google Scholar] [CrossRef]
- Wang, Y. L., Hong, W. Y., & Liu, Y. W. (2024). Research on the influence of exploitative leadership on employees’ upward ingratiation behavior. Modern Business Trade Industry, 45(20), 94–96. (In Chinese). [Google Scholar] [CrossRef]
- Wang, Z. N., Chen, F. Y., Cai, S. H., & Chen, Y. H. (2024a). How sense of power influence exploitative leadership? A moderated mediation framework. Leadership & Organization Development Journal, 45(8), 1417–1429. [Google Scholar] [CrossRef]
- Wang, Z. N., Chen, Y. H., Ren, S., Collins, N., Cai, S., & Rowley, C. (2023a). Exploitative leadership and employee innovative behaviour in China: A moderated mediation framework. Asia Pacific Business Review, 29(3), 570–587. [Google Scholar] [CrossRef]
- Wang, Z. N., Chen, Y. H., & Ye, X. F. (2023b). The “double-edged” effect of exploitative leadership on R&D employee innovative behavior: An empirical sampling diary research. Collected Essays on Finance and Economics, 93–102. (In Chinese). [Google Scholar] [CrossRef]
- Wang, Z. N., Ren, S., Chadee, D., & Chen, Y. H. (2024b). Employee ethical silence under exploitative leadership: The roles of work meaningfulness and moral potency. Journal of Business Ethics, 190, 59–76. [Google Scholar] [CrossRef]
- Wang, Z. N., Ren, S., Chadee, D., & Sun, C. W. (2021a). The influence of exploitative leadership on hospitality employees’ green innovative behavior: A moderated mediation model. International Journal of Hospitality Management, 99, 103058. [Google Scholar] [CrossRef]
- Wang, Z. N., Sun, C. W., & Cai, S. H. (2021b). How exploitative leadership influences employee innovative behavior: The mediating role of relational attachment and moderating role of high-performance work systems. Leadership & Organization Development Journal, 42(2), 233–248. [Google Scholar] [CrossRef]
- Wang, Z. N., Zhang, H. L., Cai, S. H., & Cui, T. (2024c). How does exploitative leadership shape employee’s workplace venting? Current Psychology, 43, 3573–3584. [Google Scholar] [CrossRef]
- Wei, L., Dang, X. H., & Li, L. X. (2023). Effects of exploitative leadership on technology innovation network bootleg innovation: Moderated mediation model. Operations Research and Management Science, 32(06), 219–224+232. (In Chinese). [Google Scholar]
- Weigel, R. H., Hessing, D. J., & Elffers, H. (1999). Egoism: Concept, measurement and implications for deviance. Psychology, Crime & Law, 5, 349–378. [Google Scholar] [CrossRef]
- Withey, M., Daft, R. L., & Cooper, W. H. (1983). Measures of perrow’s work unit technology: An empirical assessment and a new scale. Academy of Management Journal, 26(1), 45–63. [Google Scholar] [CrossRef]
- Wu, L. Z., Sun, Z. Z., Ye, Y. J., Kwan, H. K., & Yang, M. Q. (2021). The impact of exploitative leadership on frontline hospitality employees’ service performance: A social exchange perspective. International Journal of Hospitality Management, 96, 102954. [Google Scholar] [CrossRef]
- Ye, Y. J., Chen, M. Y., Wu, L. Z., & Kwan, H. K. (2023). Why do they slack off in teamwork? Understanding frontline hospitality employees’ social loafing when faced with exploitative leadership. International Journal of Hospitality Management, 109, 103420. [Google Scholar] [CrossRef]
- Ye, Y. J., Lyu, Y. J., Wu, L. Z., & Kwan, H. K. (2022). Exploitative leadership and service sabotage. Annals of Tourism Research, 95, 103444. [Google Scholar] [CrossRef]
- Zahur, H., Swati, S., & Aslam Butt, M. (2022). Attrition of creativity and psychological well-being by exploitative leader: A moderated mediation model. Journal of Workplace Behavior, 3(2), 34–49. [Google Scholar] [CrossRef]
- Zhang, X. G., & Wang, J. X. (2018). Is the perfectionist personality general or domain-specific? Chinese Journal of Clinical Psychology, 26(03), 538–545. (In Chinese). [Google Scholar] [CrossRef]
- Zhang, Y. J., Sun, Y. D., & Liu, Z. Q. (2022). The mechanism of exploitative leadership on employees’ compulsory citizenship behavior. Chinese Journal of Management, 19(04), 525–533. (In Chinese). [Google Scholar]
- Zhang, Y. J., Sun, Y. D., Shan, G. Y., & Li, Y. X. (2023). The influence of exploitative leadership on employees’ unethical behaviors: A moderated chain mediation model. Journal of Yanshan University (Philosophy and Social Science), 24(02), 30–38. (In Chinese). [Google Scholar] [CrossRef]





| Leader Sample Structure | Subordinate Sample Structure | ||||
|---|---|---|---|---|---|
| Variable | Category | Percentage | Variable | Category | Percentage |
| Gender | Male | 55.2% | Gender | Male | 47.9% |
| Female | 44.8% | Female | 52.1% | ||
| Age | ≤25 years old | 5.2% | Age | ≤25 years old | 10.0% |
| 26–35 years old | 32.7% | 26–35 years old | 57.6% | ||
| 36–45 years old | 57.1% | 36–45 years old | 31.0% | ||
| ≥46 years old | 5.0% | ≥46 years old | 1.4% | ||
| Education | Master’s degree | 3.3% | Education | Master’s degree | 26.6% |
| Bachelor’s degree | 38.6% | Bachelor’s degree | 40.5% | ||
| Associate degree | 35.8% | Associate degree | 32.2% | ||
| High school and below | 22.3% | High school and below | 0.7% | ||
| Organizational Tenure | ≤3 years | 3.8% | Organizational Tenure | ≤3 years | 15.7% |
| 3–5 years | 6.4% | 3–5 years | 33.9% | ||
| 5–7 years | 35.3% | 5–7 years | 36.0% | ||
| 7–10 years | 36.3% | 7–10 years | 11.1% | ||
| ≥10 years | 18.2% | ≥10 years | 3.3% | ||
| Model | χ2 | df | χ2/df | CFI | TLI | IFI | RMSEA |
|---|---|---|---|---|---|---|---|
| Seven-factor model (E, S, O, H, T, F, L) | 725.11 | 329 | 2.20 | 0.96 | 0.95 | 0.96 | 0.05 |
| Six-factor model (E, S, O + H, T, F, L) | 1042.99 | 335 | 3.11 | 0.92 | 0.91 | 0.92 | 0.07 |
| Six-factor model (E+S, O, H, T, F, L) | 1224.12 | 335 | 3.65 | 0.90 | 0.89 | 0.90 | 0.08 |
| Six-factor model (E, O, S + H, T, F, L) | 1411.69 | 335 | 4.21 | 0.88 | 0.87 | 0.88 | 0.09 |
| Five-factor model (E + O, S + H, T, F, L) | 1541.89 | 340 | 4.54 | 0.87 | 0.85 | 0.87 | 0.09 |
| Five-factor model (E, S + O + H, T, F, L) | 1673.64 | 340 | 4.92 | 0.85 | 0.84 | 0.85 | 0.10 |
| Four-factor model (E, S + O + H, T + F, L) | 1983.95 | 344 | 5.77 | 0.82 | 0.80 | 0.82 | 0.11 |
| Three-factor model (E, S + O + H, T + F + L) | 2518.82 | 347 | 7.26 | 0.76 | 0.74 | 0.76 | 0.12 |
| Two-factor model (E, S + O + H + T + F + L) | 4599.49 | 349 | 13.18 | 0.53 | 0.49 | 0.53 | 0.17 |
| One-factor model (E + S + O + H + T + F + L) | 5004.08 | 350 | 14.30 | 0.48 | 0.44 | 0.48 | 0.18 |
| Mean | SD | 1 | 2 | 3 | 4 | 5 | 6 | 7 | |
|---|---|---|---|---|---|---|---|---|---|
| Exploitative leadership | 3.16 | 0.59 | 0.68 | ||||||
| Self-interested personality | 3.04 | 1.30 | 0.15 ** | 0.91 | |||||
| Other-oriented perfectionism | 2.53 | 1.16 | 0.27 *** | 0.64 *** | 0.78 | ||||
| High-power distance orientation | 2.75 | 1.28 | 0.29 *** | 0.65 *** | 0.76 *** | 0.86 | |||
| Task challenge | 3.74 | 0.86 | 0.19 *** | 0.12 * | 0.11 * | 0.07 | 0.89 | ||
| Flexible status conferral | 3.56 | 0.95 | 0.14 ** | 0.14 ** | 0.16 ** | 0.08 | 0.70 *** | 0.87 | |
| Leader–subordinate goal misalignment | 3.19 | 0.89 | 0.23 *** | 0.12 * | 0.18 *** | 0.22 *** | 0.51 *** | 0.51 *** | 0.86 |
| Exploitative Leadership | ||||
|---|---|---|---|---|
| β | S.E. | p | 95% CI | |
| Direct effect | ||||
| Self-interested personality | 0.16 | 0.05 | 0.001 | [0.06, 0.25] |
| Other-oriented perfectionism | 0.26 | 0.05 | 0.000 | [0.17, 0.35] |
| High-power distance orientation | 0.29 | 0.05 | 0.000 | [0.19, 0.38] |
| Task challenge | 0.18 | 0.05 | 0.000 | [0.08, 0.27] |
| Flexible status conferral | 0.13 | 0.05 | 0.008 | [0.03, 0.22] |
| Leader–subordinate goal misalignment | 0.24 | 0.05 | 0.000 | [0.15, 0.33] |
| Moderating effect | ||||
| Self-interested personality × Task challenge | 0.07 | 0.05 | 0.172 | [−0.03, 0.17] |
| Other-oriented perfectionism × Task challenge | 0.08 | 0.05 | 0.078 | [−0.01, 0.17] |
| High-power distance orientation × Task challenge | 0.11 | 0.05 | 0.016 | [0.02, 0.20] |
| Self-interested personality × Flexible status conferral | 0.26 | 0.05 | 0.000 | [0.16, 0.35] |
| Other-oriented perfectionism × Flexible status conferral | 0.20 | 0.04 | 0.000 | [0.12, 0.29] |
| High-power distance orientation × Flexible status conferral | 0.15 | 0.05 | 0.000 | [0.06, 0.24] |
| Self-interested personality × Leader–subordinate goal misalignment | 0.10 | 0.05 | 0.029 | [0.01, 0.20] |
| Other-oriented perfectionism × Leader–subordinate goal misalignment | 0.07 | 0.04 | 0.142 | [−0.02, 0.15] |
| High-power distance orientation × Leader–subordinate goal misalignment | 0.08 | 0.04 | 0.089 | [−0.01, 0.16] |
| Research Hypothesis | Results |
|---|---|
| H1. A leaders’ self-interested personality positively predicts their exploitative leadership behavior. | Supported |
| H2. A leader’s other-oriented perfectionism positively predicts their exploitative leadership behavior. | Supported |
| H3. A leader’s high-power distance orientation positively predicts their exploitative leadership behavior. | Supported |
| H4. Task challenge positively predicts exploitative leadership behavior. | Supported |
| H5. Flexible status conferral positively predicts exploitative leadership behavior. | Supported |
| H6. Leader–subordinate goal misalignment positively predicts exploitative leadership behavior. | Supported |
| H7. Task challenge positively moderates the relationships between three personality traits (self-interested personality/other-oriented perfectionism/high power distance orientation) and exploitative leadership behavior. | Partially supported |
| H8. Leader–subordinate goal misalignment positively moderates the relationships between three personality traits (self-interested personality/other-oriented perfectionism/high power distance orientation) and exploitative leadership behavior. | Partially supported |
| H9. Flexible status conferral positively moderates the relationship between three personality traits (self-interested personality/other-oriented perfectionism/high power distance orientation) and exploitative leadership behavior. | Supported |
Disclaimer/Publisher’s Note: The statements, opinions and data contained in all publications are solely those of the individual author(s) and contributor(s) and not of MDPI and/or the editor(s). MDPI and/or the editor(s) disclaim responsibility for any injury to people or property resulting from any ideas, methods, instructions or products referred to in the content. |
© 2025 by the authors. Licensee MDPI, Basel, Switzerland. This article is an open access article distributed under the terms and conditions of the Creative Commons Attribution (CC BY) license (https://creativecommons.org/licenses/by/4.0/).
Share and Cite
Zhang, J.; Zhang, Y.; Pan, W. How Exploitative Leadership Emerges: The Activating Effect of Organizational Context on Individual Traits. Behav. Sci. 2025, 15, 1093. https://doi.org/10.3390/bs15081093
Zhang J, Zhang Y, Pan W. How Exploitative Leadership Emerges: The Activating Effect of Organizational Context on Individual Traits. Behavioral Sciences. 2025; 15(8):1093. https://doi.org/10.3390/bs15081093
Chicago/Turabian StyleZhang, Junhui, Yilin Zhang, and Wei Pan. 2025. "How Exploitative Leadership Emerges: The Activating Effect of Organizational Context on Individual Traits" Behavioral Sciences 15, no. 8: 1093. https://doi.org/10.3390/bs15081093
APA StyleZhang, J., Zhang, Y., & Pan, W. (2025). How Exploitative Leadership Emerges: The Activating Effect of Organizational Context on Individual Traits. Behavioral Sciences, 15(8), 1093. https://doi.org/10.3390/bs15081093

