Empathy Changes Among Chinese College Students in the Context of Marketization
Abstract
1. Introduction
1.1. Empathy as the Basis of Social Morality
1.2. Empathy Changes over Time in China
1.3. Marketization as a Macro Societal Change Co-Varies Negatively with Empathy
1.4. The Present Research
2. Methods
2.1. Database Search and Study Inclusion Rules
2.2. The Coding of Main Variables
2.3. Marketization Index
3. Results
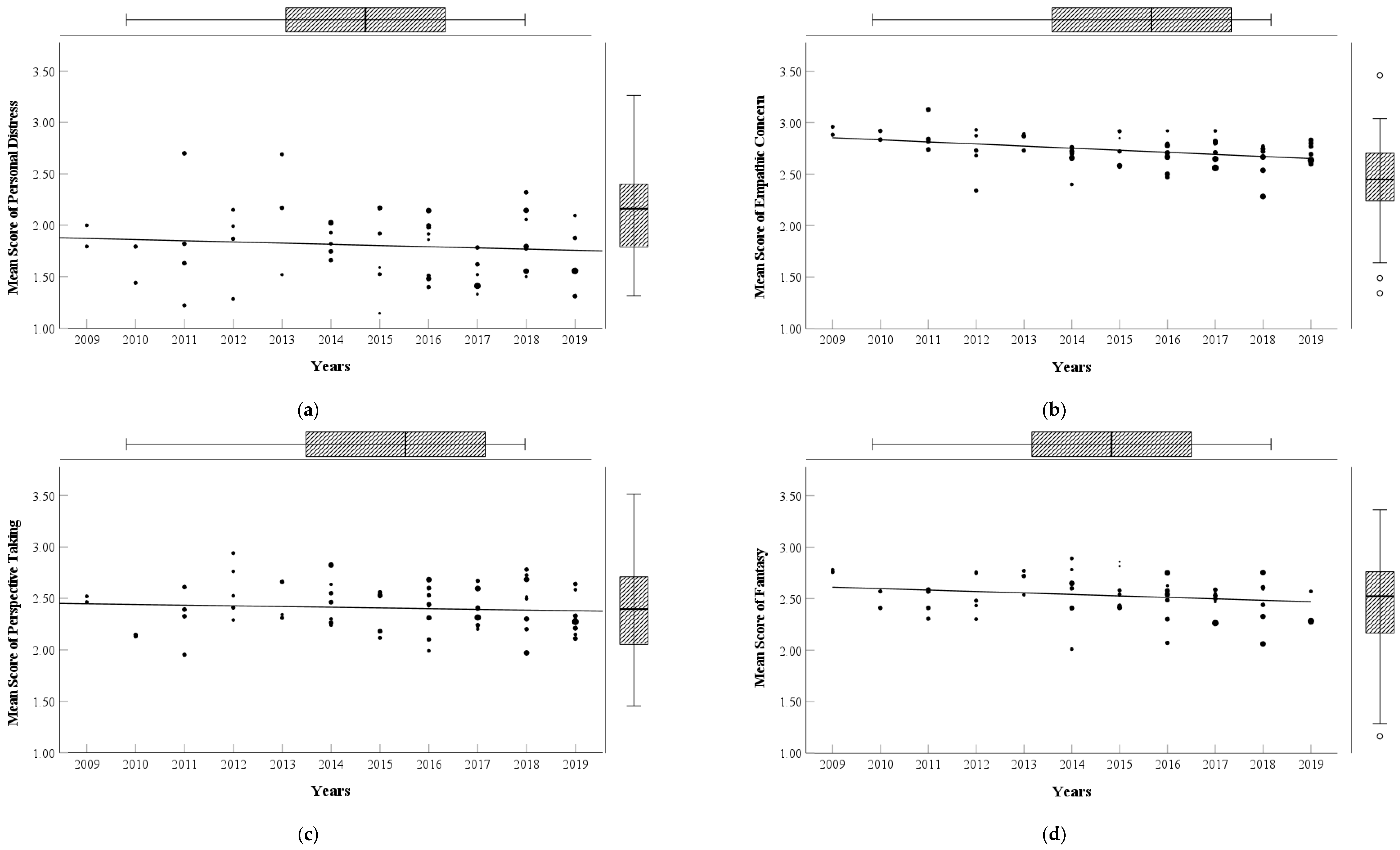
3.1. The Changing Trends in Empathy over Time
3.2. Evaluating the Magnitude of Empathy Change over Time
3.3. Associations Between Marketization and Empathy
3.3.1. The Relationship Between Different Components of Marketization and Empathy
3.3.2. The Relationship Between Marketization and Empathy from a Temporal Perspective
3.3.3. The Relationship Between Marketization and Empathy from a Spatial Perspective
4. Discussion
4.1. Changing Trends in Empathy Among Chinese College Students
4.2. The Relationship Between Marketization with Empathy and Its Theoretical Explanation
4.3. Implications and Limitations
5. Conclusions
Supplementary Materials
Author Contributions
Funding
Institutional Review Board Statement
Informed Consent Statement
Data Availability Statement
Conflicts of Interest
| 1 | The IRI-C was translated and revised by Chan (1986) based on the IRI developed by Davis (1980). The factor analysis of the Chinese version revealed a four-factor model consistent with Davis’s original study, with one to two items removed from each factor due to cultural differences. The final IRI-C, like the original IRI, includes four dimensions: personal distress, which reflects experiencing one’s own negative emotions when witnessing another person’s distress (five items); empathic concern, which reflects the desire to help or comfort others in need (six items); perspective taking, which reflects taking another person’s perspective and understanding their thoughts and feelings (five items); and fantasy, which reflects perceiving the emotions of fictional characters (six items). This scale is widely used in Chinese empathy research, having been cited 673 times in CNKI as of January 2025 and demonstrating good reliability and validity (Zhang et al., 2010). |
References
- Bach, R. A., Defever, A. M., Chopik, W. J., & Konrath, S. H. (2017). Geographic variation in empathy: A state-level analysis. Journal of Research in Personality, 68, 124–130. [Google Scholar] [CrossRef]
- Batson, C. D., Lishner, D. A., & Stocks, E. L. (2015). The empathy–altruism hypothesis. In D. A. Schroeder, & W. G. Graziano (Eds.), The Oxford handbook of prosocial behavior (pp. 259–281). Oxford University Press. [Google Scholar] [CrossRef]
- Bieliński, J., & Hövermann, A. (2023). Perceived marketization in Poland: Translating key concepts of institutional anomie theory to the micro level. European Journal of Criminology, 20(1), 20–42. [Google Scholar] [CrossRef]
- Cai, H. J., Huang, Z. H., Lin, L., Zhang, M. Y., Wang, X. O., Zhu, H. J., Xie, Y. P., Yang, Y., Yang, Z. Y., & Jing, Y. M. (2020). The psychological change of the Chinese people over the past half century: A literature review. Advances in Psychological Science, 28(10), 1599–1618. [Google Scholar] [CrossRef]
- Chan, J. C. (1986). The relationship between grade level, gender roles, humanistic orientation and empathy [Master’s thesis, Taiwan Chengchi University]. Institutional Repository. Available online: https://nccur.lib.nccu.edu.tw/handle/140.119/38050 (accessed on 2 January 2025).
- Cohen, J. (1992). Statistical power analysis. Current Directions in Psychological Science, 1(3), 98–101. [Google Scholar] [CrossRef]
- Davis, M. H. (1980). A multidimensional approach to individual differences in empathy. JSAS Catalog of Selected Documents in Psychology, 10, 85. [Google Scholar]
- Davis, M. H. (1996). Empathy: A social psychological approach (1st ed.). Routledge. [Google Scholar] [CrossRef]
- De Waal, F. B. M., & Preston, S. D. (2017). Mammalian empathy: Behavioural manifestations and neural basis. Nature Reviews Neuroscience, 18(8), 498–509. [Google Scholar] [CrossRef]
- Eklund, J. H., & Meranius, M. S. (2021). Toward a consensus on the nature of empathy: A review of reviews. Patient Education and Counseling, 104(2), 300–307. [Google Scholar] [CrossRef] [PubMed]
- Falk, A., & Szech, N. (2013). Morals and markets. Science, 340(6133), 707–711. [Google Scholar] [CrossRef]
- Fan, G., Wang, X. L., & Ma, G. R. (2011). Contribution of marketization to China’s economic growth. Economic Research Journal, 46(9), 4–16. [Google Scholar]
- Greenfield, P. M. (2009). Linking social change and developmental change: Shifting pathways of human development. Developmental Psychology, 45(2), 401–418. [Google Scholar] [CrossRef]
- Greenfield, P. M. (2016). Social change, cultural evolution, and human development. Current Opinion in Psychology, 8, 84–92. [Google Scholar] [CrossRef] [PubMed]
- Groß, E. M., Hövermann, A., & Messner, S. F. (2018). Marketized mentality, competitive/egoistic school culture, and delinquent attitudes and behavior: An application of institutional anomie theory. Criminology, 56(2), 333–369. [Google Scholar] [CrossRef]
- Gwartney, J. D., & Lawson, R. A. (2024). The creation of the economic freedom of the world index. In Handbook of research on economic freedom (pp. 16–30). Edward Elgar Publishing. [Google Scholar]
- Horkheimer, M., & Adorno, T. W. (2002). Dialectic of enlightenment: Philosophical fragments (G. S. Noerr, Ed.; E. Jephcott, Trans.). Stanford University Press. (Original work published 1987). [Google Scholar]
- Hövermann, A., Groß, E. M., Zick, A., & Messner, S. F. (2015). Understanding the devaluation of vulnerable groups: A novel application of institutional anomie theory. Social Science Research, 52, 408–421. [Google Scholar] [CrossRef] [PubMed]
- Huang, Z. H., Wang, J. X., Su, Z., Jing, Y. M., & Cai, H. J. (2021). Cultural and psychological changes during the social transformation in China: Sociological research and its enlightenments to psychologists. Advances in Psychological Science, 29(12), 2246–2259. [Google Scholar] [CrossRef]
- Kashima, Y., Bain, P., Haslam, N., Peters, K., Laham, S., Whelan, J., Bastian, B., Loughnan, S., Kaufmann, L., & Fernando, J. (2009). Folk theory of social change. Asian Journal of Social Psychology, 12(4), 227–246. [Google Scholar] [CrossRef]
- Klein, E. (2016). Developing minds: Psychology, neoliberalism and power (1st ed.). Routledge. [Google Scholar] [CrossRef]
- Klimecki, O. M., Mayer, S. V., Jusyte, A., Scheeff, J., & Schönenberg, M. (2016). Empathy promotes altruistic behavior in economic interactions. Scientific Reports, 6, 31961. [Google Scholar] [CrossRef] [PubMed]
- Konrath, S. H., O’Brien, E. H., & Hsing, C. (2011). Changes in dispositional empathy in American college students over time: A meta-analysis. Personality and Social Psychology Review, 15(2), 180–198. [Google Scholar] [CrossRef]
- Li, J. Z. (2021). Paraphrase of Mencius. China Youth Press. [Google Scholar]
- Li, X. (2016). Assessing the extent of China’s marketization. Routledge. [Google Scholar]
- Li, Z. X., Yu, J., Yang, X. H., & Zhu, L. Q. (2019). Associations between empathy and altruistic sharing behavior in Chinese adults. The Journal of General Psychology, 146(1), 1–16. [Google Scholar] [CrossRef]
- Lu, J., & Zhu, S. J. (2015). Financial ecology, economic growth and regional development difference: Based on coupling analysis of China’s provinces. Management Review, 27(11), 44–56. [Google Scholar] [CrossRef]
- Masto, M. (2015). Empathy and its role in morality. The Southern Journal of Philosophy, 53(1), 74–96. [Google Scholar] [CrossRef]
- Maurer, C. (2019). Self-love, egoism and the selfish hypothesis: Key debates from eighteenth-century British moral philosophy. Edinburgh University Press. [Google Scholar]
- Mayer, S. V., Jusyte, A., Klimecki-Lenz, O. M., & Schönenberg, M. (2018). Empathy and altruistic behavior in antisocial violent offenders with psychopathic traits. Psychiatry Research, 269, 625–632. [Google Scholar] [CrossRef]
- Messner, S. F., & Rosenfeld, R. (2012). Crime and the American dream (5th ed.). Wadsworth, Cengage Learning. [Google Scholar]
- Messner, S. F., Rosenfeld, R., & Hövermann, A. (2019). Institutional anomie theory: An evolving research program. In M. D. Krohn, N. Hendrix, G. P. Hall, & A. J. Lizotte (Eds.), Handbook on crime and deviance (2nd ed., pp. 161–177). Springer. [Google Scholar] [CrossRef]
- Molinsky, A. L., Grant, A. M., & Margolis, J. D. (2012). The bedside manner of homo economicus: How and why priming an economic schema reduces compassion. Organizational Behavior and Human Decision Processes, 119(1), 27–37. [Google Scholar] [CrossRef]
- Murphy, B. A., Lilienfeld, S. O., & Algoe, S. B. (2022). Why we should reject the restrictive isomorphic matching definition of empathy. Emotion Review, 14(3), 167–181. [Google Scholar] [CrossRef]
- Reeson, A. F., & Tisdell, J. G. (2010). The market instinct: The demise of social preferences for self-interest. Environmental and Resource Economics, 47(3), 439–453. [Google Scholar] [CrossRef]
- Simmel, G. (1950). The sociology of Georg Simmel (K. H. Wolff, Ed.). The Free Press. [Google Scholar]
- Smith, A. (2010). The theory of moral sentiments (A. Sen, & R. P. Hanley, Eds.). Penguin Publishing Group. (Original work published 1790). [Google Scholar]
- Smith, A. (2023). An inquiry into the nature and causes of the wealth of nations. Outlook Verlag GmbH. (Original work published 1776). [Google Scholar]
- Stevens, F., & Taber, K. (2021). The neuroscience of empathy and compassion in prosocial behavior. Neuropsychologia, 159, 107925. [Google Scholar] [CrossRef]
- Sun, L. P. (2007). Guarding the bottom line: The basic order of social life in transition. Social Science Literature Press. [Google Scholar]
- Teo, T. (2018). Homo neoliberalus: From personality to forms of subjectivity. Theory & Psychology, 28(5), 581–599. [Google Scholar] [CrossRef]
- Trivedi-Bateman, N., & Crook, E. L. (2022). The optimal application of empathy interventions to reduce antisocial behaviour and crime: A review of the literature. Psychology, Crime & Law, 28(8), 796–819. [Google Scholar] [CrossRef]
- Twenge, J. M. (2000). The age of anxiety? The birth cohort change in anxiety and neuroticism, 1952–1993. Journal of Personality and Social Psychology, 79(6), 1007–1021. [Google Scholar] [CrossRef] [PubMed]
- Twenge, J. M., & Campbell, W. K. (2001). Age and birth cohort differences in self-esteem: A cross-temporal meta-analysis. Personality and Social Psychology Review, 5(4), 321–344. [Google Scholar] [CrossRef]
- Uskul, A. K., & Oishi, S. (2020). Editorial overview: What is socio-ecological psychology? Current Opinion in Psychology, 32, 181–184. [Google Scholar] [CrossRef]
- Wang, J. X. (2018). Chinese social mentality: Social psychological research of transformation society. In J. X. Wang, & Y. Y. Yang (Eds.), Frontiers in theory of social mentality (pp. 125–146). Social Sciences Academic Press. [Google Scholar]
- Wang, L., Zhong, C. B., & Murnighan, J. K. (2014). The social and ethical consequences of a calculative mindset. Organizational Behavior and Human Decision Processes, 125(1), 39–49. [Google Scholar] [CrossRef]
- Wang, X. K., Xin, Z. Q., & Hou, Y. (2024). Cross-temporal meta-analyses of changes and macro causes in moral disengagement among Chinese middle school and college students. Acta Psychologica Sinica, 56(7), 859–875. [Google Scholar] [CrossRef]
- Wang, X. L., Hu, L. P., & Fan, G. (2021). Marketization index for China’s provinces: NERI report. Social Sciences Academic Press. [Google Scholar]
- Weisz, E., & Zaki, J. (2018). Motivated empathy: A social neuroscience perspective. Current Opinion in Psychology, 24, 67–71. [Google Scholar] [CrossRef] [PubMed]
- Xie, W. M. (2019). The transmission and development of Confucian moral concepts. History of Chinese Philosophy, 5–9+17. Available online: https://qikan.cqvip.com/Qikan/Article/Detail?id=7100317026 (accessed on 2 January 2025).
- Xin, Z. Q. (2019). Marketization and interpersonal trust decline in China. Advances in Psychological Science, 27(12), 1951–1966. [Google Scholar] [CrossRef]
- Xin, Z. Q., & Li, Z. (2020). The change of Chinese citizens’ financial values and its impact on financial welfare. Psychological Research, 13(1), 41–48. [Google Scholar]
- Xin, Z. Q., & Xin, S. F. (2017). Marketization process predicts trust decline in China. Journal of Economic Psychology, 62, 120–129. [Google Scholar] [CrossRef]
- Xu, Y., Xiong, S. C., Zhu, L. H., Xie, J. H., Su, Z. H., Ding, X., & Hu, Y. (2021). Changes in empathy of nurses from 2009 to 2018: A cross-temporal meta-analysis. Nursing Ethics, 28(5), 776–790. [Google Scholar] [CrossRef]
- Yan, Z. Q., Su, J. L., & Su, Y. J. (2017). Increasing empathy in Chinese college student: A cross-temporal meta-analysis. Psychology: Techniques and applications, 5(10), 578–585. [Google Scholar] [CrossRef]
- Yang, M. J., & Luo, Y. B. (2015). The new dictionary of economics and finance. China Financial Publishing House. [Google Scholar]
- Yang, Z. X. (2022). The influences of marketization on individualism and collectivism in China [Doctoral dissertation, Central University of Finance and Economics]. [Google Scholar]
- Yang, Z. X., & Xin, Z. Q. (2020). Income inequality and interpersonal trust in China. Asian Journal of Social Psychology, 23(3), 253–263. [Google Scholar] [CrossRef]
- Zarins, S., & Konrath, S. (2017). Changes over time in compassion-related variables in the United States. In E. M. Seppälä, E. Simon-Thomas, S. L. Brown, M. C. Worline, C. D. Cameron, & J. R. Doty (Eds.), The Oxford handbook of compassion science (pp. 331–352). Oxford University Press. [Google Scholar] [CrossRef]
- Zhang, F. F., Dong, Y., Wang, K., Chan, J. C., & Xie, L. F. (2010). Reliability and validity of the Chinese version of the Interpersonal Reactivity Index-C. Chinese Journal of Clinical Psychology, 18(2), 155–157. [Google Scholar]
- Zhou, X. H. (2017). Chinese feeling: Globalization, social transformation, and the change of social mindset of the Chinese. Social Sciences Academic Press. [Google Scholar]
- Zych, I., Ttofi, M. M., & Farrington, D. P. (2019). Empathy and callous–unemotional traits in different bullying roles: A systematic review and meta-analysis. Trauma, Violence, & Abuse, 20(1), 3–21. [Google Scholar] [CrossRef]



| Sampling Years | Number of Samples | Sample Size |
|---|---|---|
| 2009 | 2 | 410 |
| 2010 | 2 | 728 |
| 2011 | 4 | 1904 |
| 2012 | 5 | 1047 |
| 2013 | 3 | 743 |
| 2014 | 12 | 5921 |
| 2015 | 8 | 2697 |
| 2016 | 11 | 5346 |
| 2017 | 10 | 8661 |
| 2018 | 15 | 9226 |
| 2019 | 17 | 11,717 |
| Dimensions | Number of Samples | Sample Size | M ± SD |
|---|---|---|---|
| Personal distress | 55 | 30,972 | 1.80 ± 0.34 |
| Empathic concern | 63 | 36,739 | 2.73 ± 0.15 |
| Perspective taking | 64 | 37,368 | 2.40 ± 0.22 |
| Fantasy | 54 | 30,528 | 2.53 ± 0.20 |
| Total empathy | 79 | 41,560 | 2.39 ± 0.14 |
| Dimensions | Sample Size Weighted | Sample Size Weighted with Covariates | ||||||
|---|---|---|---|---|---|---|---|---|
| β | t | p | R2 | β | t | p | ∆R2 | |
| Personal distress | −0.29(55) | −2.24 | 0.029 | 0.09 | −0.41(55) | −2.92 | 0.005 | 0.11 |
| Empathic concern | −0.44(63) | −3.80 | <0.001 | 0.19 | −0.50(63) | −3.81 | <0.001 | 0.18 |
| Perspective taking | −0.21(64) | −1.71 | 0.092 | 0.05 | −0.39(64) | −3.04 | 0.004 | 0.11 |
| Fantasy | −0.39(54) | −3.09 | 0.003 | 0.16 | −0.64(54) | −5.17 | <0.001 | 0.26 |
| Total empathy | −0.30(79) | −2.74 | 0.008 | 0.09 | −0.51(79) | −5.18 | <0.001 | 0.20 |
| Dimensions | Equation | M2019 | M2009 | MSD | d |
|---|---|---|---|---|---|
| Personal distress | y = 103.817 − 0.051x | 0.85 | 1.36 | 0.74 | −0.69 |
| Empathic concern | y = 58.695 − 0.028x | 2.16 | 2.44 | 0.57 | −0.49 |
| Perspective taking | y = 69.163 − 0.033x | 2.54 | 2.87 | 0.66 | −0.50 |
| Fantasy | y = 101.355 − 0.049x | 2.42 | 2.91 | 0.65 | −0.76 |
| Total empathy | y = 69.326 − 0.033x | 2.70 | 3.03 | 0.42 | −0.79 |
| Variables | Personal Distress | Empathic Concern | Perspective Taking | Fantasy | Total Empathy | |||||||||||||||
|---|---|---|---|---|---|---|---|---|---|---|---|---|---|---|---|---|---|---|---|---|
| β | t | p | ∆R2 | β | t | p | ∆R2 | β | t | p | ∆R2 | β | t | p | ∆R2 | β | t | p | ∆R2 | |
| (1) Different components of marketization and overall marketization | ||||||||||||||||||||
| MI1 | 0.32 | 1.48 | 0.146 | 0.03 | 0.74 | 2.94 | 0.005 | 0.12 | 0.33 | 1.27 | 0.210 | 0.02 | 0.66 | 3.38 | 0.002 | 0.14 | 0.56 | 3.03 | 0.003 | 0.08 |
| MI2 | −0.42 | −1.02 | 0.311 | 0.02 | −0.96 | −2.74 | 0.008 | 0.10 | −0.45 | −1.27 | 0.211 | 0.02 | −0.77 | −1.78 | 0.082 | 0.05 | −0.54 | −1.87 | 0.065 | 0.03 |
| MI3 | 0.41 | 2.73 | 0.009 | 0.10 | 0.12 | 0.71 | 0.481 | 0.01 | 0.44 | 3.13 | 0.003 | 0.12 | 0.59 | 4.05 | <0.001 | 0.19 | 0.43 | 3.48 | <0.001 | 0.10 |
| MI4 | −0.91 | −2.86 | 0.006 | 0.11 | −0.90 | −3.18 | 0.002 | 0.13 | −0.89 | −3.33 | 0.002 | 0.13 | −1.41 | −4.87 | <0.001 | 0.24 | −1.02 | −5.10 | <0.001 | 0.19 |
| MI5 | −0.77 | −2.82 | 0.007 | 0.10 | −0.58 | −2.75 | 0.008 | 0.10 | −0.59 | −3.04 | 0.004 | 0.11 | −1.37 | −5.25 | <0.001 | 0.27 | −0.83 | −4.58 | <0.001 | 0.16 |
| MI | −0.97 | −2.19 | 0.033 | 0.07 | −1.55 | −3.72 | <0.001 | 0.17 | −1.10 | −2.62 | 0.011 | 0.09 | −1.46 | −3.46 | 0.001 | 0.15 | −1.27 | −4.16 | <0.001 | 0.14 |
| (2) A temporal perspective | ||||||||||||||||||||
| MI_Current year | −0.97 | −2.19 | 0.033 | 0.07 | −1.55 | −3.72 | <0.001 | 0.17 | −1.10 | −2.62 | 0.011 | 0.09 | −1.46 | −3.46 | 0.001 | 0.15 | −1.27 | −4.16 | <0.001 | 0.14 |
| MI_One year prior | −0.98 | −2.15 | 0.037 | 0.06 | −1.50 | −3.74 | <0.001 | 0.18 | −1.02 | −2.53 | 0.014 | 0.08 | −1.83 | −4.28 | <0.001 | 0.20 | −1.31 | −4.10 | <0.001 | 0.14 |
| MI_Three years prior | −0.76 | −1.55 | 0.129 | 0.03 | −2.02 | −4.17 | <0.001 | 0.21 | −0.71 | −1.38 | 0.172 | 0.03 | −1.67 | −3.77 | <0.001 | 0.17 | −1.00 | −3.02 | 0.004 | 0.08 |
| MI_Five years prior | −0.96 | −2.11 | 0.041 | 0.06 | −1.37 | −2.95 | 0.005 | 0.12 | −1.31 | −2.97 | 0.004 | 0.11 | −1.87 | −4.76 | <0.001 | 0.24 | −1.35 | −4.23 | <0.001 | 0.14 |
| (3) A spatial perspective | ||||||||||||||||||||
| MI | −1.77 | −2.06 | 0.046 | 0.14 | −2.28 | −2.52 | 0.015 | 0.25 | −2.50 | −2.72 | 0.009 | 0.16 | −3.11 | −3.97 | <0.001 | 0.24 | −2.72 | −4.05 | <0.001 | 0.22 |
| MI × DCR [Middle] | 0.00 | 0.00 | 0.999 | −0.58 | −0.49 | 0.627 | 1.35 | 1.12 | 0.268 | 1.38 | 1.35 | 0.185 | 1.00 | 1.18 | 0.243 | |||||
| MI × DCR [Northeastern] | 2.34 | 1.50 | 0.141 | 0.67 | 0.41 | 0.685 | 1.66 | 0.99 | 0.326 | 2.97 | 2.09 | 0.043 | 1.81 | 1.71 | 0.092 | |||||
| MI × DCR [Western] | 0.77 | 0.66 | 0.514 | 1.77 | 1.56 | 0.126 | 1.28 | 1.10 | 0.278 | 2.46 | 2.21 | 0.033 | 1.60 | 1.83 | 0.071 | |||||
| MI × DCR [unreported...] | 2.45 | 1.78 | 0.083 | 1.42 | 1.05 | 0.301 | 3.15 | 2.40 | 0.020 | 2.58 | 2.06 | 0.046 | 2.75 | 3.17 | 0.002 | |||||
Disclaimer/Publisher’s Note: The statements, opinions and data contained in all publications are solely those of the individual author(s) and contributor(s) and not of MDPI and/or the editor(s). MDPI and/or the editor(s) disclaim responsibility for any injury to people or property resulting from any ideas, methods, instructions or products referred to in the content. |
© 2025 by the authors. Licensee MDPI, Basel, Switzerland. This article is an open access article distributed under the terms and conditions of the Creative Commons Attribution (CC BY) license (https://creativecommons.org/licenses/by/4.0/).
Share and Cite
Liu, X.; Xin, Z. Empathy Changes Among Chinese College Students in the Context of Marketization. Behav. Sci. 2025, 15, 597. https://doi.org/10.3390/bs15050597
Liu X, Xin Z. Empathy Changes Among Chinese College Students in the Context of Marketization. Behavioral Sciences. 2025; 15(5):597. https://doi.org/10.3390/bs15050597
Chicago/Turabian StyleLiu, Xiaofei, and Ziqiang Xin. 2025. "Empathy Changes Among Chinese College Students in the Context of Marketization" Behavioral Sciences 15, no. 5: 597. https://doi.org/10.3390/bs15050597
APA StyleLiu, X., & Xin, Z. (2025). Empathy Changes Among Chinese College Students in the Context of Marketization. Behavioral Sciences, 15(5), 597. https://doi.org/10.3390/bs15050597

