Understanding the Nexus Between Anxiety and Acoustic Perception in University Students: A Quasi-Experimental Study During Pandemic-Induced Lockdown
Abstract
1. Introduction
2. Materials and Methods
2.1. Methodology
2.2. Questionnaire Survey
2.3. Field Measurements
2.4. Data Analysis
3. Results
3.1. Characteristics of Acoustic Perception and Acoustic Environment
3.1.1. People’s Perception of the Acoustic Environment
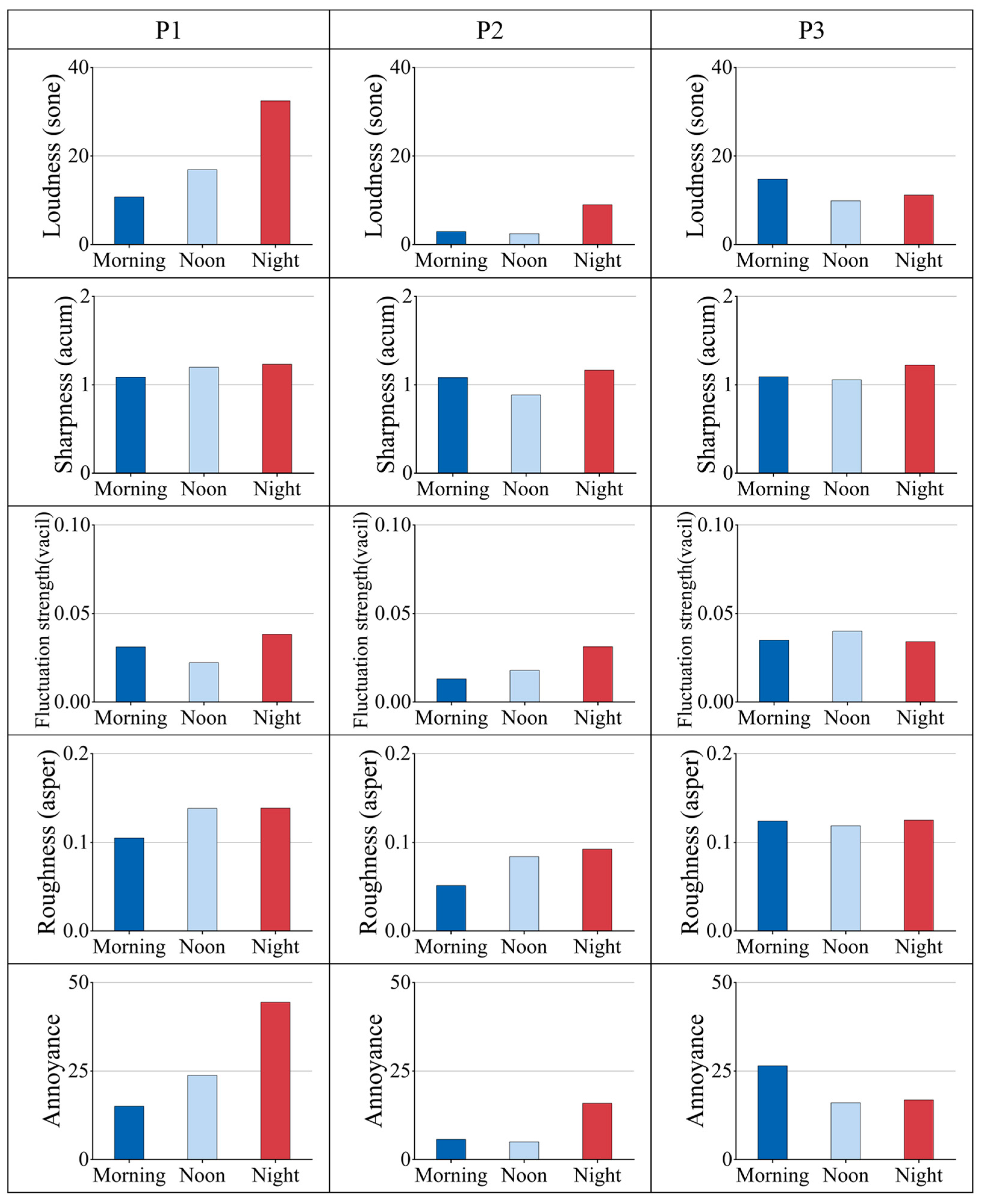
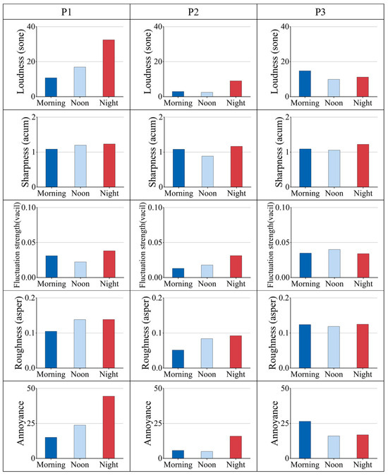
3.1.2. Variations in On-Site Acoustic Environment Measurement
3.2. Respondents’ Anxiety Levels
3.3. The Relationship Between Anxiety Levels and Acoustic Perception
3.3.1. The Relationship Between Overall Anxiety Levels and Acoustic Perception
3.3.2. The Relationship Between Anxiety Levels and Acoustic Perception Based on Different Demographics
4. Discussion
4.1. Variations in the Perception of the Acoustic Environment
4.2. Anxiety Levels in Different Demographics
4.3. The Correlation of Acoustic Perception and Other Factors with Anxiety Levels
4.4. Applications
4.5. Limitations
5. Conclusions
Supplementary Materials
Author Contributions
Funding
Institutional Review Board Statement
Informed Consent Statement
Data Availability Statement
Acknowledgments
Conflicts of Interest
References
- Abdous, M. (2019). Influence of satisfaction and preparedness on online students’ feelings of anxiety. The Internet and Higher Education, 41, 34–44. [Google Scholar] [CrossRef]
- Aletta, F., Oberman, T., Mitchell, A., Tong, H., & Kang, J. (2020). Assessing the changing urban sound environment during the COVID-19 lockdown period using short-term acoustic measurements. Noise Mapping, 7(1), 123–134. [Google Scholar] [CrossRef]
- Alías-Pujol, F., Angelini, F., Alsina-Pagès, R. M., Zambon, G., & Benocci, R. (2024). A long-term global and clustering analysis of the COVID-19 pandemic effects on the sound environment of Milan, Italy: Road traffic and other noise sources. Applied Acoustics, 221, 110036. [Google Scholar] [CrossRef]
- Asensio, C., Pavón, I., & de Arcas, G. (2020). Changes in noise levels in the city of Madrid during COVID-19 lockdown in 2020. The Journal of the Acoustical Society of America, 148(3), 1748–1755. [Google Scholar] [CrossRef] [PubMed]
- Bai, F., Zhang, F., & Xue, Y. (2025). Mechanisms of anxiety among doctoral students in China. Behavioral Sciences, 15(2), 105. [Google Scholar] [CrossRef]
- Bartalucci, C., Bellomini, R., Luzzi, S., Pulella, P., Iannuzzi, G., & Torelli, G. (2022). A renewed perception of living environments after restrictions due to pandemic in Italy. Noise Mapping, 9(1), 189–203. [Google Scholar] [CrossRef]
- Basner, M., Babisch, W., Davis, A., Brink, M., Clark, C., Janssen, S., & Stansfeld, S. (2014). Auditory and non-auditory effects of noise on health. The Lancet, 383(9925), 1325–1332. [Google Scholar] [CrossRef]
- Basu, B., Murphy, E., Molter, A., Sarkar Basu, A., Sannigrahi, S., Belmonte, M., & Pilla, F. (2021). Investigating changes in noise pollution due to the COVID-19 lockdown: The case of Dublin, Ireland. Sustainable Cities and Society, 65, 102597. [Google Scholar] [CrossRef]
- Baxter, A. J., Vos, T., Scott, K. M., Ferrari, A. J., & Whiteford, H. A. (2014). The global burden of anxiety disorders in 2010. Psychological Medicine, 44(11), 2363–2374. [Google Scholar] [CrossRef] [PubMed]
- Borgi, M., Collacchi, B., Cirulli, F., & Medda, E. (2023). Reduction in the use of green spaces during the COVID-19 pandemic and its impact on mental health. Health & Place, 83, 103093. [Google Scholar] [CrossRef]
- Caniato, M., Bettarello, F., & Gasparella, A. (2021). Indoor and outdoor noise changes due to the COVID-19 lockdown and their effects on individuals’ expectations and preferences. Scientific Reports, 11(1), 16533. [Google Scholar] [CrossRef] [PubMed]
- Catling, J. C., Bayley, A., Begum, Z., Wardzinski, C., & Wood, A. (2022). Effects of the COVID-19 lockdown on mental health in a UK student sample. BMC Psychology, 10(1), 1–7. [Google Scholar] [CrossRef] [PubMed]
- Chang, J.-J., Ji, Y., Li, Y.-H., Pan, H.-F., & Su, P.-Y. (2021). Prevalence of anxiety symptom and depressive symptom among college students during COVID-19 pandemic: A meta-analysis. Journal of Affective Disorders, 292, 242–254. [Google Scholar] [CrossRef] [PubMed]
- Chen, H., Feng, H., Liu, Y., Wu, S., Li, H., Zhang, G., Yang, P., & Zhang, K. (2023). Anxiety, depression, insomnia, and PTSD among college students after optimizing the COVID-19 response in China. Journal of Affective Disorders, 337, 50–56. [Google Scholar] [CrossRef]
- Curelaru, M., & Curelaru, V. (2024). Psychological distress and online academic difficulties: Development and validation of scale to measure students’ mental health problems in online learning. Behavioral Sciences, 15(1), 26. [Google Scholar] [CrossRef]
- Di, G.-Q., Chen, X.-W., Song, K., Zhou, B., & Pei, C.-M. (2016). Improvement of Zwicker’s psychoacoustic annoyance model aiming at tonal noises. Applied Acoustics, 105, 164–170. [Google Scholar] [CrossRef]
- Eriksson, L. J. (1991). Development of the filtered-U algorithm for active noise control. The Journal of the Acoustical Society of America, 89(1), 257–265. [Google Scholar] [CrossRef]
- Essadek, A., & Rabeyron, T. (2020). Mental health of French students during the COVID-19 pandemic. Journal of Affective Disorders, 277, 392–393. [Google Scholar] [CrossRef]
- Fan, J., & Smith, A. P. (2021). Information overload, wellbeing and COVID-19: A survey in China. Behavioral Sciences, 11(5), 62. [Google Scholar] [CrossRef] [PubMed]
- Fu, W., Yan, S., Zong, Q., Anderson-Luxford, D., Song, X., Lv, Z., & Lv, C. (2021). Mental health of college students during the COVID-19 epidemic in China. Journal of Affective Disorders, 280(PA), 7–10. [Google Scholar] [CrossRef]
- Ge, Y., Xie, H., Su, M., & Gu, T. (2023). Effects of the acoustic characteristics of natural sounds on perceived tranquility, emotional valence and arousal in patients with anxiety disorders. Applied Acoustics, 213, 109664. [Google Scholar] [CrossRef]
- Gottlieb, G., Sullivan, C., Netski, D., & Batra, K. (2024). Anxiety and depression among college students in the post-COVID-19 phase. Journal of Medicine, Surgery, and Public Health, 3, 100128. [Google Scholar] [CrossRef]
- Guo, X., Liu, J., Albert, C., & Hong, X.-C. (2022). Audio-visual interaction and visitor characteristics affect perceived soundscape restorativeness: Case study in five parks in China. Urban Forestry & Urban Greening, 77, 127738. [Google Scholar] [CrossRef]
- Hakami, Z., Vishwanathaiah, S., Abuzinadah, S. H., Alhaddad, A. J., Bokhari, A. M., Marghalani, H. Y. A., & Shahin, S. Y. (2021). Effects of COVID-19 lockdown on the mental health of dental students: A longitudinal study. Journal of Dental Education, 85(12), 1854–1862. [Google Scholar] [CrossRef] [PubMed]
- Hamida, A., Eijkelenboom, A., & Bluyssen, P. M. (2024). Profiling university students based on their acoustical and psychosocial preferences and characteristics of their home study places. Building and Environment, 253, 111324. [Google Scholar] [CrossRef]
- Hamida, A., Zhang, D., Ortiz, M. A., & Bluyssen, P. M. (2023). Indicators and methods for assessing acoustical preferences and needs of students in educational buildings: A review. Applied Acoustics, 202, 109187. [Google Scholar] [CrossRef]
- Hartmann, W. M. (2001). Psychoacoustics: Facts and models. Physics Today, 54(6), 64–65. [Google Scholar] [CrossRef]
- Huang, J., & Liu, X. (2023). Anxiety, depression, and their comorbidity among Chinese college students during the COVID-19 lockdown in the post-epidemic era: An online cross-sectional survey. BMC Psychiatry, 23(1), 923. [Google Scholar] [CrossRef] [PubMed]
- Huang, Y., Wang, Y., Wang, H., Liu, Z., Yu, X., Yan, J., Yu, Y., Kou, C., Xu, X., Lu, J., Wang, Z., He, S., Xu, Y., He, Y., Li, T., Guo, W., Tian, H., Xu, G., Xu, X., … Wu, Y. (2019). Prevalence of mental disorders in China: A cross-sectional epidemiological study. The Lancet Psychiatry, 6(3), 211–224. [Google Scholar] [CrossRef] [PubMed]
- ISO. (2017). Acoustics-methods for calculating loudness-part: Zwicker method. ISO. [Google Scholar]
- ISO. (2018). Acoustics-soundscape-part 2: Data collection and reporting requirements (ISO 12913-2). International Organization for Standardization.
- Jensen, H. A. R., Rasmussen, B., & Ekholm, O. (2018). Neighbour and traffic noise annoyance: A nationwide study of associated mental health and perceived stress. European Journal of Public Health, 28(6), 1050–1055. [Google Scholar] [CrossRef] [PubMed]
- Jiang, B., Xu, W., Ji, W., Kim, G., Pryor, M., & Sullivan, W. C. (2021). Impacts of nature and built acoustic-visual environments on human’s multidimensional mood states: A cross-continent experiment. Journal of Environmental Psychology, 77, 101659. [Google Scholar] [CrossRef]
- Kang, J. (2006). Urban sound environment. CRC Press. [Google Scholar] [CrossRef]
- Kang, S., Mak, C. M., Ou, D., & Zhang, Y. (2022). An investigation of acoustic environments in large and medium-sized open-plan offices in China. Applied Acoustics, 186, 108447. [Google Scholar] [CrossRef]
- Karyotaki, E., Cuijpers, P., Albor, Y., Alonso, J., Auerbach, R. P., Bantjes, J., Bruffaerts, R., Ebert, D. D., Hasking, P., Kiekens, G., Lee, S., McLafferty, M., Mak, A., Mortier, P., Sampson, N. A., Stein, D. J., Vilagut, G., & Kessler, R. C. (2020). Sources of stress and their associations with mental disorders among college students: Results of the World Health Organization world mental health surveys international college student initiative. Frontiers in Psychology, 11, 1759. [Google Scholar] [CrossRef] [PubMed]
- Kiviruusu, O., Haravuori, H., Lindgren, M., Therman, S., Marttunen, M., Suvisaari, J., & Aalto-Setälä, T. (2023). Generalized anxiety among Finnish youth from 2013 to 2021—Trend and the impact of COVID-19. Journal of Affective Disorders, 330, 267–274. [Google Scholar] [CrossRef] [PubMed]
- Kohls, E., Baldofski, S., Moeller, R., Klemm, S.-L., & Rummel-Kluge, C. (2021). Mental health, social and emotional well-being, and perceived burdens of university students during COVID-19 pandemic lockdown in Germany. Frontiers in Psychiatry, 12, 643957. [Google Scholar] [CrossRef] [PubMed]
- Krizova, K., Halamová, J., Strnádelová, B., & Baránková, M. (2024). Psychometric analysis of the GAD-7 questionnaire in Slovak helping professionals. Journal of Affective Disorders Reports, 17, 100803. [Google Scholar] [CrossRef]
- Labrague, L. J., McEnroe-Petitte, D. M., Gloe, D., Thomas, L., Papathanasiou, I. V., & Tsaras, K. (2017). A literature review on stress and coping strategies in nursing students. Journal of Mental Health, 26(5), 471–480. [Google Scholar] [CrossRef] [PubMed]
- Lan, Y., Roberts, H., Kwan, M.-P., & Helbich, M. (2020). Transportation noise exposure and anxiety: A systematic review and meta-analysis. Environmental Research, 191, 110118. [Google Scholar] [CrossRef] [PubMed]
- Lee, P. J., & Jeong, J. H. (2021). Attitudes towards outdoor and neighbour noise during the COVID-19 lockdown: A case study in London. Sustainable Cities and Society, 67, 102768. [Google Scholar] [CrossRef] [PubMed]
- Liu, F., & Kang, J. (2018). Relationship between street scale and subjective assessment of audio-visual environment comfort based on 3D virtual reality and dual-channel acoustic tests. Building and Environment, 129, 35–45. [Google Scholar] [CrossRef]
- Liu, F., Liu, P., Kang, J., Meng, Q., Wu, Y., & Yang, D. (2022). Relationships between landscape characteristics and the restorative quality of soundscapes in urban blue spaces. Applied Acoustics, 189, 108600. [Google Scholar] [CrossRef]
- Liu, Y., Frazier, P. A., Porta, C. M., & Lust, K. (2022). Mental health of US undergraduate and graduate students before and during the COVID-19 pandemic: Differences across sociodemographic groups. Psychiatry Research, 309, 114428. [Google Scholar] [CrossRef] [PubMed]
- Lv, F., Zhu, R., Hou, X., Fang, L., Wang, Y., Du, Z., Zhong, X., & Liu, J. (2023). Psychological health and risk factors of college Students within the context of the COVID-19 pandemic: A cross-sectional study. Behavioral Sciences, 13(10), 796. [Google Scholar] [CrossRef] [PubMed]
- Matos Fialho, P. M., Spatafora, F., Kühne, L., Busse, H., Helmer, S. M., Zeeb, H., Stock, C., Wendt, C., & Pischke, C. R. (2021). Perceptions of study conditions and depressive symptoms during the COVID-19 pandemic among university students in Germany: Results of the international COVID-19 student well-being study. Frontiers in Public Health, 9, 674665. [Google Scholar] [CrossRef] [PubMed]
- Mofatteh, M. (2021). Risk factors associated with stress, anxiety, and depression among university undergraduate students. AIMS Public Health, 8(1), 36–65. [Google Scholar] [CrossRef] [PubMed]
- Nowakowski, T., & Komorski, P. (2024). Tram noise annoyance: The role of different psychoacoustic measures in the assessment of noise. Applied Acoustics, 219, 109946. [Google Scholar] [CrossRef]
- O’steen, L., Lockney, N. A., Morris, C. G., Johnson-Mallard, V., Pereira, D., & Amdur, R. J. (2021). A prospective randomized trial of the influence of music on anxiety in patients starting radiation therapy for cancer. International Journal of Radiation Oncology Biology Physics, 109(3), 670–674. [Google Scholar] [CrossRef] [PubMed]
- Penninx, B. W., Pine, D. S., Holmes, E. A., & Reif, A. (2021). Anxiety disorders. The Lancet, 397(10277), 914–927. [Google Scholar] [CrossRef]
- Persson, R., Björk, J., Ardö, J., Albin, M., & Jakobsson, K. (2007). Trait anxiety and modeled exposure as determinants of self-reported annoyance to sound, air pollution and other environmental factors in the home. International Archives of Occupational and Environmental Health, 81(2), 179–191. [Google Scholar] [CrossRef] [PubMed]
- Qin, B., Hu, Z., Liu, W., Sun, Y., Wang, Y., Zhang, H., Yang, F., & He, Y. (2023). Anxiety and depression among college students during the COVID-19 lockdown: A cross-sectional survey in Jiangsu, China. Risk Management and Healthcare Policy, 16, 711–723. [Google Scholar] [CrossRef] [PubMed]
- Sakagami, K. (2020). How did the ‘state of emergency’ declaration in Japan due to the COVID-19 pandemic affect the acoustic environment in a rather quiet residential area? UCL Open Environment, 2, 1–9. [Google Scholar] [CrossRef]
- Santomauro, D. F., Mantilla Herrera, A. M., Shadid, J., Zheng, P., Ashbaugh, C., Pigott, D. M., Abbafati, C., Adolph, C., Amlag, J. O., Aravkin, A. Y., Bang-Jensen, B. L., Bertolacci, G. J., Bloom, S. S., Castellano, R., Castro, E., Chakrabarti, S., Chattopadhyay, J., Cogen, R. M., Collins, J. K., … Ferrari, A. J. (2021). Global prevalence and burden of depressive and anxiety disorders in 204 countries and territories in 2020 due to the COVID-19 pandemic. The Lancet, 398(10312), 1700–1712. [Google Scholar] [CrossRef] [PubMed]
- Şentop Dümen, A., & Şaher, K. (2020). Noise annoyance during COVID-19 lockdown: A research of public opinion before and during the pandemic. The Journal of the Acoustical Society of America, 148(6), 3489–3496. [Google Scholar] [CrossRef] [PubMed]
- Spitzer, R. L., Kroenke, K., Williams, J. B. W., & Löwe, B. (2006). A brief measure for assessing generalized anxiety disorder. Archives of Internal Medicine, 166(10), 1092. [Google Scholar] [CrossRef] [PubMed]
- Steel, Z., Marnane, C., Iranpour, C., Chey, T., Jackson, J. W., Patel, V., & Silove, D. (2014). The global prevalence of common mental disorders: A systematic review and meta-analysis 1980–2013. International Journal of Epidemiology, 43(2), 476–493. [Google Scholar] [CrossRef] [PubMed]
- Stobbe, E., Sundermann, J., Ascone, L., & Kühn, S. (2022). Birdsongs alleviate anxiety and paranoia in healthy participants. Scientific Reports, 12(1), 16414. [Google Scholar] [CrossRef] [PubMed]
- Tan, G. X. D., Soh, X. C., Hartanto, A., Goh, A. Y. H., & Majeed, N. M. (2023). Prevalence of anxiety in college and university students: An umbrella review. Journal of Affective Disorders Reports, 14, 100658. [Google Scholar] [CrossRef]
- Torresin, S., Albatici, R., Aletta, F., Babich, F., Oberman, T., Stawinoga, A. E., & Kang, J. (2022). Indoor soundscapes at home during the COVID-19 lockdown in London—Part II: A structural equation model for comfort, content, and well-being. Applied Acoustics, 185, 108379. [Google Scholar] [CrossRef]
- Trudeau, C., Tarlao, C., & Guastavino, C. (2023). Montreal soundscapes during the COVID-19 pandemic: A spatial analysis of noise complaints and residents’ surveys. Noise Mapping, 10(1), 20220169. [Google Scholar] [CrossRef]
- Wang, C., & Zhao, H. (2020). The impact of COVID-19 on anxiety in Chinese university students. Frontiers in Psychology, 11, 1168. [Google Scholar] [CrossRef] [PubMed]
- Wang, F., Wu, Y., Wang, S., Du, Z., & Wu, Y. (2024). Development of an optimal short form of the GAD-7 scale with cross-cultural generalizability based on Riskslim. General Hospital Psychiatry, 87, 33–40. [Google Scholar] [CrossRef] [PubMed]
- Wang, H., Jia, R., Zhang, M., & Fan, W. (2024). The influence of stress on mental health among Chinese college students: The moderating role of psychological suzhi. Heliyon, 10(5), e26699. [Google Scholar] [CrossRef]
- Wang, M., Zhao, Q., Hu, C., Wang, Y., Cao, J., Huang, S., Li, J., Huang, Y., Liang, Q., Guo, Z., Wang, L., Ma, L., Zhang, S., Wang, H., Zhu, C., Luo, W., Guo, C., Chen, C., Chen, Y., … Yang, Y. (2021). Prevalence of psychological disorders in the COVID-19 epidemic in China: A real world cross-sectional study. Journal of Affective Disorders, 281, 312–320. [Google Scholar] [CrossRef] [PubMed]
- Wang, X., Hegde, S., Son, C., Keller, B., Smith, A., & Sasangohar, F. (2020). Investigating mental health of US college students during the COVID-19 pandemic: Cross-sectional survey study. Journal of Medical Internet Research, 22(9), e22817. [Google Scholar] [CrossRef] [PubMed]
- Watts, G., Khan, A., & Pheasant, R. (2016). Influence of soundscape and interior design on anxiety and perceived tranquillity of patients in a healthcare setting. Applied Acoustics, 104, 135–141. [Google Scholar] [CrossRef]
- Wenham, C., Smith, J., Davies, S. E., Feng, H., Grépin, K. A., Harman, S., Herten-Crabb, A., & Morgan, R. (2020). Women are most affected by pandemics—Lessons from past outbreaks. Nature, 583(7815), 194–198. [Google Scholar] [CrossRef] [PubMed]
- World Medical Association. (2013). Declaration of helsinki. Available online: https://www.wma.net/what-we-do/medical-ethics/declaration-of-helsinki/ (accessed on 22 January 2025).
- Xu, W., Wang, H., Su, H., Sullivan, W. C., Lin, G., Pryor, M., & Jiang, B. (2024). Impacts of sights and sounds on anxiety relief in the high-density city. Landscape and Urban Planning, 241, 104927. [Google Scholar] [CrossRef]
- Yang, S., Fu, Y., Dong, S., Yang, B., Li, Z., Feng, C., Reinhardt, J. D., Shi, W., Jia, P., Zeng, H., & Yu, B. (2023). Association between perceived noise at work and mental health among employed adults in Southwest China. Journal of Affective Disorders, 343, 22–30. [Google Scholar] [CrossRef] [PubMed]
- Zhang, X., Ba, M., Kang, J., & Meng, Q. (2018). Effect of soundscape dimensions on acoustic comfort in urban open public spaces. Applied Acoustics, 133, 73–81. [Google Scholar] [CrossRef]
- Zhang, Y., Bao, X., Yan, J., Miao, H., & Guo, C. (2021). Anxiety and depression in chinese students during the COVID-19 pandemic: A meta-analysis. Frontiers in Public Health, 9, 697642. [Google Scholar] [CrossRef] [PubMed]
- Zhang, Y., Kang, J., & Kang, J. (2017). Effects of soundscape on the environmental restoration in urban natural environments. Noise and Health, 19(87), 65–72. [Google Scholar] [CrossRef] [PubMed]
- Zhou, T., Wu, Y., Meng, Q., & Kang, J. (2020). Influence of the acoustic environment in hospital wards on patient physiological and psychological indices. Frontiers in Psychology, 11, 1600. [Google Scholar] [CrossRef] [PubMed]
- Zhou, Y., Dai, P., Zhao, Z., Hao, C., & Wen, Y. (2022). The influence of urban green space soundscape on the changes of citizens’ emotion: A case study of Beijing urban parks. Forests, 13(11), 1928. [Google Scholar] [CrossRef]
- Zhu, R., Yuan, L., Pan, Y., Wang, Y., Xiu, D., & Liu, W. (2024). Effects of natural sound exposure on health recovery: A systematic review and meta-analysis. Science of The Total Environment, 921, 171052. [Google Scholar] [CrossRef] [PubMed]














| Locations | Time | LAeq (dB) | ||
|---|---|---|---|---|
| Mean | SD | |||
| All | During the lockdown | Morning | 43.0 | 11.0 |
| Noon | 42.9 | 11.2 | ||
| Night | 52.2 | 8.8 | ||
| After the lockdown | Morning | 56.0 | 6.7 | |
| Noon | 57.3 | 6.9 | ||
| Night | 52.6 | 5.5 | ||
| P1 | During the lockdown | Morning | 47.6 | 1.4 |
| Noon | 53.7 | 1.8 | ||
| Night | 63.8 | 1.4 | ||
| After the lockdown | Morning | 58.6 | 1.4 | |
| Noon | 61.3 | 1.0 | ||
| Night | 58.0 | 1.3 | ||
| P2 | During the lockdown | Morning | 28.7 | 4.2 |
| Noon | 28.0 | 2.9 | ||
| Night | 44.5 | 3.9 | ||
| After the lockdown | Morning | 47.8 | 1.5 | |
| Noon | 49.3 | 1.8 | ||
| Night | 46.6 | 1.9 | ||
| P3 | During the lockdown | Morning | 52.8 | 4.3 |
| Noon | 47.0 | 2.8 | ||
| Night | 48.2 | 2.5 | ||
| After the lockdown | Morning | 61.7 | 4.7 | |
| Noon | 61.2 | 6.5 | ||
| Night | 53.3 | 4.4 | ||
| Psychological Indicators | Sound Sources |
|---|---|
| Anxiety levels | motorised transport (0.280) |
| human movement (0.359) | |
| electromechanical (0.467 **) | |
| voice and instrumental (0.071) | |
| other human (0.090) | |
| social/communal (0.174) | |
| natural (0.339 *) | |
| other (0.306) |
Disclaimer/Publisher’s Note: The statements, opinions and data contained in all publications are solely those of the individual author(s) and contributor(s) and not of MDPI and/or the editor(s). MDPI and/or the editor(s) disclaim responsibility for any injury to people or property resulting from any ideas, methods, instructions or products referred to in the content. |
© 2025 by the authors. Licensee MDPI, Basel, Switzerland. This article is an open access article distributed under the terms and conditions of the Creative Commons Attribution (CC BY) license (https://creativecommons.org/licenses/by/4.0/).
Share and Cite
Huang, L.; Li, J.; Kang, J.; Liu, F.; Yang, M.; Zhang, Y. Understanding the Nexus Between Anxiety and Acoustic Perception in University Students: A Quasi-Experimental Study During Pandemic-Induced Lockdown. Behav. Sci. 2025, 15, 262. https://doi.org/10.3390/bs15030262
Huang L, Li J, Kang J, Liu F, Yang M, Zhang Y. Understanding the Nexus Between Anxiety and Acoustic Perception in University Students: A Quasi-Experimental Study During Pandemic-Induced Lockdown. Behavioral Sciences. 2025; 15(3):262. https://doi.org/10.3390/bs15030262
Chicago/Turabian StyleHuang, Lingjiang, Jialin Li, Jian Kang, Fangfang Liu, Ming Yang, and Yawei Zhang. 2025. "Understanding the Nexus Between Anxiety and Acoustic Perception in University Students: A Quasi-Experimental Study During Pandemic-Induced Lockdown" Behavioral Sciences 15, no. 3: 262. https://doi.org/10.3390/bs15030262
APA StyleHuang, L., Li, J., Kang, J., Liu, F., Yang, M., & Zhang, Y. (2025). Understanding the Nexus Between Anxiety and Acoustic Perception in University Students: A Quasi-Experimental Study During Pandemic-Induced Lockdown. Behavioral Sciences, 15(3), 262. https://doi.org/10.3390/bs15030262

