Effects of Core Executive Function Training on Student Interpreters’ Consecutive Interpreting
Abstract
1. Introduction
1.1. Executive Function in Interpreting: Theoretical Foundations and Empirical Studies
1.2. Executive Function Training in Interpreting
1.3. The Current Study
- RQ1: Is training on individual EF components (updating, inhibition, and TS) effective in improving performance in corresponding untrained cognitive tasks measuring the same construct? Are these training effects, if any, durable?
- RQ2: Is training on individual EF components differentially effective in improving student interpreters’ CI performance? Are these training effects, if any, durable?
2. Methods
2.1. Participants and Background
2.2. Study Design
2.3. Training Protocol
2.3.1. Adaptive Running Memory Tasks
2.3.2. Adaptive Stroop and Flanker Tasks
2.3.3. Adaptive Task-Cueing Switching Task
2.4. Assessment Battery
2.4.1. EF Ability Tasks
2.4.2. CI Tasks and Scoring
3. Results
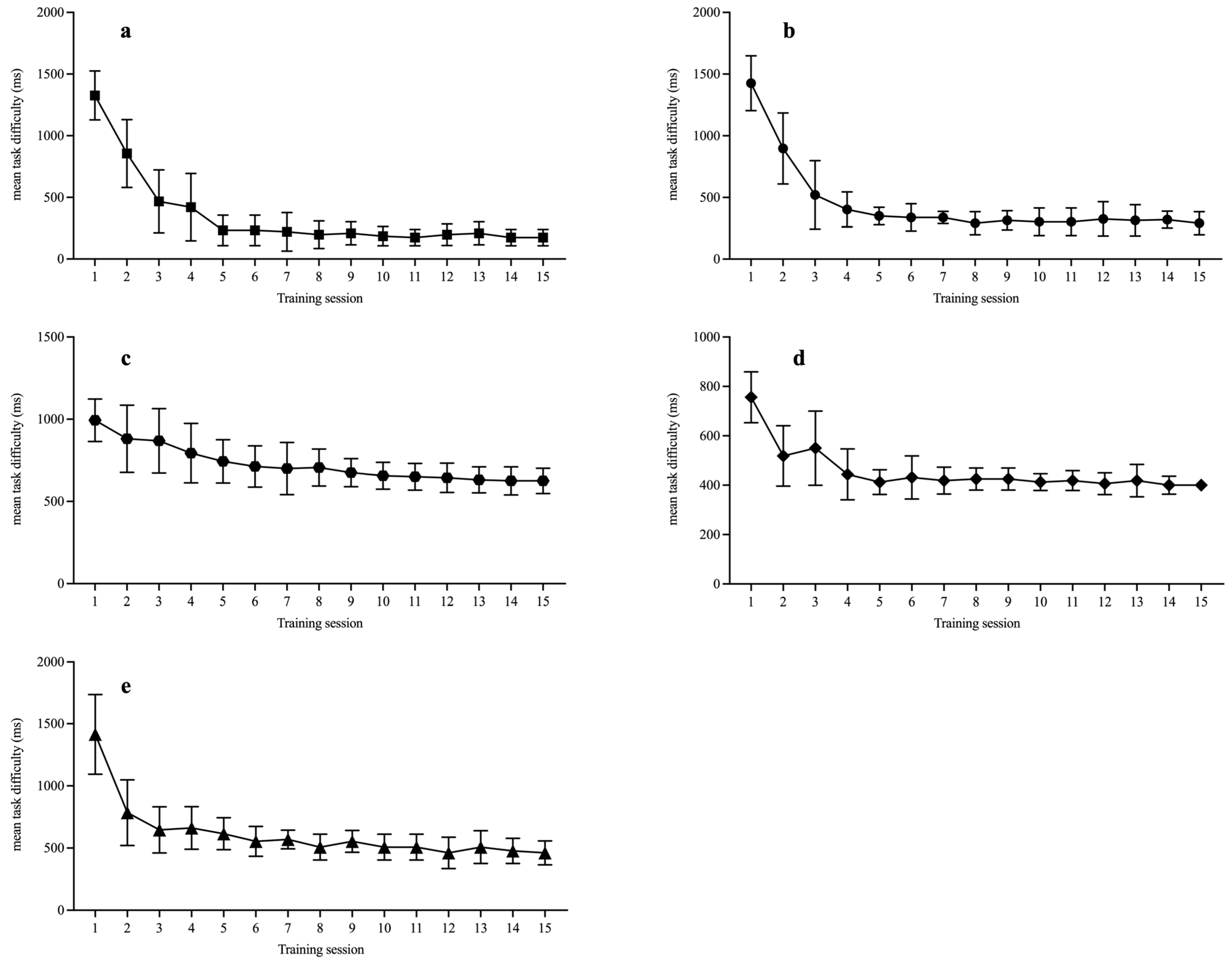
3.1. Training Effects on EF Ability
3.2. Training Effects on CI
4. Discussion
4.1. Improvements in EF Abilities
4.2. EF Training and Interpreting Performance
4.2.1. EF Training Generated Immediate Improvements in CI
4.2.2. The Sustained Effectiveness of Inhibition Training
5. Conclusions and Implications
Supplementary Materials
Author Contributions
Funding
Institutional Review Board Statement
Informed Consent Statement
Data Availability Statement
Acknowledgments
Conflicts of Interest
Abbreviations
| EF | Executive function |
| TS | Task switching |
| CI | Consecutive interpreting |
| SI | Simultaneous interpreting |
| WM | Working memory |
| ACM | The Attentional Control Model |
| EVS | Ear-voice span |
| ms | millisecond |
| PT | Presentation time |
| 1 | Although the two terms EF and cognitive control are sometimes used interchangeably (e.g., Diamond, 2013), they differ in that EF is generally regarded as an umbrella term encompassing a range of cognitive processes, whereas cognitive control refers to the processes that guide behaviors, analogous to working definitions of EF today (Posner & Snyder, 1975; see also Goldstein et al., 2014, for a detailed review of EF models and definitions). In this study, EF is defined as a set of higher-order cognitive processes, with updating, inhibition, and task switching widely conceptualized as its core components (e.g., Diamond, 2013; Miyake et al., 2000; Song et al., 2023), while cognitive control denotes the online implementation of these processes. |
| 2 | In ACM, Dong and Li (2020) proposed an enhancement account for language control in interpreting, claiming a more practical way of modulating the two languages is the “enhancement of what is needed at the moment, letting irrelevant information simply be ignored” (p. 720). However, enhancement and inhibition may represent two alternative perspectives on the same target-accessing nature in interference inhibition tasks, such as the Stroop and Flanker tasks used in this study. Considering the academic positioning of inhibition as a core EF component and for consistency, the term inhibition will be used uniformly here. |
| 3 | After each speech segment, the audio already programmed a blank segment for interpreting, followed by the next segment of speech. Timeout interpreting for various reasons, such as a late start and hesitation, would be impossible as the next speech segment would already be playing by then. On average, the time allowed for interpreting is 1.5 longer than the speech segment duration. |
| 4 | Notes could relieve some of the memory pressure, but taking notes could be somewhat counterproductive, as retrieving appropriate symbols and abbreviations from one’s memory could take up too much processing capacity (Gile, 2009). |
References
- Abutalebi, J., & Green, D. (2007). Bilingual language production: The neurocognition of language representation and control. Journal of Neurolinguistics, 20(3), 242–275. [Google Scholar] [CrossRef]
- Braver, T. S., Reynolds, J. R., & Donaldson, D. I. (2003). Neural mechanisms of transient and sustained cognitive control during task switching. Neuron, 39(4), 713–726. [Google Scholar] [CrossRef]
- Cai, R., Dong, Y., Zhao, N., & Lin, J. (2015). Factors contributing to individual differences in the development of consecutive interpreting competence for beginner student interpreters. The Interpreter and Translator Trainer, 9(1), 104–120. [Google Scholar] [CrossRef]
- Chang, X., Bai, H., & Wang, P. (2018). The effect of inhibitory control ability training on bilinguals’ language switching. Foreign Language Teaching and Research, 50(4), 569–583. [Google Scholar]
- Chein, J. M., & Morrison, A. B. (2010). Expanding the mind’s workspace: Training and transfer effects with a complex working memory span task. Psychonomic Bulletin & Review, 17(2), 193–199. [Google Scholar] [CrossRef]
- Chen, X., Ye, M., Chang, L., Chen, W., & Zhou, R. (2018). Effect of working memory updating training on retrieving symptoms of children with learning disabilities. Journal of Learning Disabilities, 51(5), 507–519. [Google Scholar] [CrossRef] [PubMed]
- Chmiel, A., Janikowski, P., & Cieślewicz, A. (2020). The eye or the ear? Source language interference in sight translation and simultaneous interpreting. Interpreting, 22(2), 187–210. [Google Scholar] [CrossRef]
- Christoffels, I. K., De Groot, A. M. B., & Waldorp, L. J. (2003). Basic skills in a complex task: A graphical model relating memory and lexical retrieval to simultaneous interpreting. Bilingualism: Language and Cognition, 6(3), 201–211. [Google Scholar] [CrossRef]
- de Bot, K. (2000). Simultaneous interpreting as language production. In B. E. Dimitrova, & K. Hyltenstam (Eds.), Language processing and simultaneous interpreting: Interdisciplinary perspectives (pp. 65–88). John Benjamins Publishing Company. [Google Scholar]
- Diamond, A. (2013). Executive functions. Annual Review of Psychology, 64, 135–168. [Google Scholar] [CrossRef]
- Dong, Y. (2018). Complex dynamic systems in students of interpreting training. Translation and Interpreting Studies, 13(2), 185–207. [Google Scholar] [CrossRef]
- Dong, Y., Cai, R., Zhao, N., & Lin, J. (2013). An empirical study on interpreting competence structures in student interpreters. Journal of Foreign Languages, 36(4), 75–85. [Google Scholar]
- Dong, Y., & Chen, X. (2020). Psycholinguistic studies of interpreting. Foreign Language Teaching and Research Press. [Google Scholar]
- Dong, Y., & Li, P. (2020). Attentional control in interpreting: A model of language control and processing control. Bilingualism: Language and Cognition, 23(4), 716–728. [Google Scholar] [CrossRef]
- Dong, Y., & Liu, Y. (2016). Classes in translating and interpreting produce differential gains in switching and updating. Frontiers in Psychology, 7, 1297. [Google Scholar] [CrossRef]
- Dong, Y., Liu, Y., & Cai, R. (2018). How does consecutive interpreting training influence working memory: A longitudinal study of potential links between the two. Frontiers in Psychology, 9, 875. [Google Scholar] [CrossRef]
- Gaál, Z. A., & Czigler, I. (2018). Task-switching training and transfer. Journal of Psychophysiology, 32(3), 106–130. [Google Scholar] [CrossRef]
- Gernsbacher, M. A., & Shlesinger, M. (1997). The proposed role of suppression in simultaneous interpretation. Interpreting, 2(1–2), 119–140. [Google Scholar] [CrossRef] [PubMed]
- Gile, D. (2009). Basic concepts and models for interpreter and translator training (rev. ed.). John Benjamins. [Google Scholar]
- Goldstein, S., Naglieri, J. A., Princiotta, D., & Otero, T. (2014). Introduction: A History of Executive Functioning. In S. Goldstein, & J. A. Naglieri (Eds.), Handbook of executive functioning (pp. 3–12). Springer. [Google Scholar]
- Green, D. W. (1998). Mental control of the bilingual lexico-semantic system. Bilingualism: Language and Cognition, 1, 67–81. [Google Scholar] [CrossRef]
- Hervais-Adelman, A., & Babcock, L. (2019). The neurobiology of simultaneous interpreting: Where extreme language control and cognitive control intersect. Bilingualism: Language and Cognition, 23(4), 740–751. [Google Scholar] [CrossRef]
- Holmes, J., & Gathercole, S. E. (2014). Taking working memory training from the laboratory into schools. Educational Psychology, 34(4), 440–450. [Google Scholar] [CrossRef] [PubMed]
- Jaeggi, S. M., Buschkuehl, M., Jonides, J., & Perrig, W. J. (2008). Improving fluid intelligence with training on working memory. Proceedings of the National Academy of Sciences of the United States of America, 105(19), 6829–6833. [Google Scholar] [CrossRef]
- Karbach, J., & Kray, J. (2009). How useful is executive control training? Age differences in near and far transfer of task-switching training. Developmental Science, 12(6), 978–990. [Google Scholar] [CrossRef]
- Klingberg, T., Fernell, E., Olesen, P. J., Johnson, M., Gustafsson, P., Dahlström, K., Gillberg, C. G., Forssberg, H., & Westerberg, H. (2005). Computerized training of working memory in children with ADHD-a randomized, controlled trial. Journal of the American Academy of Child & Adolescent Psychiatry, 44(2), 177–186. [Google Scholar] [CrossRef]
- Köpke, B., & Signorelli, T. M. (2012). Methodological aspects of working memory assessment in simultaneous interpreters. International Journal of Bilingualism, 16(2), 183–197. [Google Scholar] [CrossRef]
- Kray, J., & Fehér, B. (2017). Age differences in the transfer and maintenance of practice-induced improvements in task switching: The impact of working-memory and inhibition demands. Frontiers in Psychology, 8, 410. [Google Scholar] [CrossRef]
- Lin, J., Dong, Y., & Cai, R. (2015). The hierarchical relation in resource allocation between source language comprehension and language reformulation in interpreting. Foreign Language Teaching and Research, 47(3), 447–457. [Google Scholar]
- Lin, Y., Lv, Q., & Liang, J. (2018). Predicting fluency with language proficiency, working memory, and directionality in simultaneous interpreting. Frontiers in Psychology, 9, 1543. [Google Scholar] [CrossRef] [PubMed]
- Liu, H., Liang, L., Dunlap, S., Fan, N., & Chen, B. (2016). The effect of domain-general inhibition-related training on language switching: An ERP study. Cognition, 146, 264–276. [Google Scholar] [CrossRef] [PubMed]
- Liu, H., Liang, L., Zhang, L., Lu, Y., & Chen, B. (2017). Modulatory role of inhibition during language switching: Evidence from evoked and induced oscillatory activity. International Journal of Bilingualism, 21(1), 57–80. [Google Scholar] [CrossRef]
- Liu, M. (2014). Relationship between cognitive ability and consecutive interpreting competence: An empirical study based on MTI institutions in China [Doctoral dissertation, Shanghai International Studies University]. [Google Scholar]
- Liu, Y., & Dong, Y. (2020). A longitudinal study of the relationship between early-stage interpreting and working memory. Journal of Foreign Languages, 43(1), 112–121. [Google Scholar]
- Lv, Q., & Liang, J. (2018). Is consecutive interpreting easier than simultaneous interpreting? A corpus-based study of lexical simplification in interpretation. Perspectives, 27(1), 91–106. [Google Scholar] [CrossRef]
- Mellinger, C. D., & Hanson, T. A. (2019). Meta-analyses of simultaneous interpreting and working memory. Interpreting, 21(2), 165–195. [Google Scholar] [CrossRef]
- Miyake, A., & Friedman, N. P. (2012). The nature and organization of individual differences in executive functions: Four general conclusions. Current Directions in Psychological Science, 21(1), 8–14. [Google Scholar] [CrossRef] [PubMed]
- Miyake, A., Friedman, N. P., Emerson, M. J., Witzki, A. H., Howerter, A., & Wager, T. D. (2000). The unity and diversity of executive functions and their contributions to complex “frontal lobe” tasks: A latent variable analysis. Cognitive Psychology, 41(1), 49–100. [Google Scholar] [CrossRef]
- Mizuno, A. (2005). Process model for simultaneous interpreting and working memory. Meta, 50(2), 739–752. [Google Scholar] [CrossRef]
- Morrison, A. B., & Chein, J. M. (2011). Does working memory training work? The promise and challenges of enhancing cognition by training working memory. Psychonomic Bulletin & Review, 18, 46–60. [Google Scholar] [CrossRef]
- Moser, B. (1978). Simultaneous interpretation: A hypothetical model and its practical application. In D. Gerver, & H. W. Sinaiko (Eds.), Language interpretation and communication (pp. 353–368). Plenum Press. [Google Scholar] [CrossRef]
- Nour, S., Struys, E., Woumans, E., Hollebeke, I., & Stengers, H. (2020). An interpreter advantage in executive functions? A systematic review. Interpreting, 22(2), 163–186. [Google Scholar] [CrossRef]
- Öztürk, A. (2018). Transfer and maintenance effects of n-back working memory training in interpreting students: A behavioural and optical brain imaging study [Doctoral dissertation, Middle East Technical University]. [Google Scholar]
- Plevoets, K., & Defrancq, B. (2020). Imported load in simultaneous interpreting: An assessment. In R. M. Martín, & S. L. Halverson (Eds.), Multilingual mediated communication and cognition (pp. 18–43). Routledge. [Google Scholar]
- Posner, M. I., & Snyder, C. R. R. (1975). Attention and cognitive control. In R. Solso (Ed.), Information processing and cognition: The Loyola symposium (pp. 55–85). Lawrence Erlbaum. [Google Scholar]
- Qi, Y., Yang, G., Fu, D., Li, Z., & Liu, X. (2021). Developmental neuroscience of cognitive control: The future path and layout. Scientia Sinica (Vitae), 51(6), 634–646. [Google Scholar] [CrossRef]
- Rebok, G. W., Ball, K., Guey, L. T., Jones, R. N., Kim, H. Y., King, J. W., Marsiske, M., Morris, J. N., Tennstedt, S. L., Unverzagt, F. W., & Willis, S. L. (2014). Ten-year effects of the advanced cognitive training for independent and vital elderly cognitive training trial on cognition and everyday functioning in older adults. Journal of the American Geriatrics Society, 62(1), 16–24. [Google Scholar] [CrossRef]
- Relyea, J. E., Cho, E., & Zagata, E. (2023). First-grade multilingual students’ executive function profiles and links to English reading achievement and difficulties: A person-centered latent profile analysis. Annals of Dyslexia, 73, 29–52. [Google Scholar] [CrossRef]
- Salminen, T., Strobach, T., & Schubert, T. (2012). On the impacts of working memory training on executive functioning. Frontiers in Human Neuroscience, 6, 166. [Google Scholar] [CrossRef]
- Song, Q., Song, T., & Fei, X. (2023). Effects of executive functions on consecutive interpreting for Chinese-Japanese unbalanced bilinguals. Frontiers in Psychology, 14, 1236649. [Google Scholar] [CrossRef]
- Thorell, L. B., Lindqvist, S., Bergman Nutley, S., Bohlin, G., & Klingberg, T. (2009). Training and transfer effects of executive functions in preschool children. Developmental Science, 12(1), 106–113. [Google Scholar] [CrossRef]
- Timarová, S., Čeňková, I., Meylaerts, R., Hertog, E., Szmalec, A., & Duyck, W. (2014). Simultaneous interpreting and working memory executive control. Interpreting, 16(2), 139–168. [Google Scholar] [CrossRef]
- Wang, B. (2019). Conceptualizing interpreting as communicative mediation--Is interpreting only a skill of cognitive processing? Foreign Language Education, 40(1), 78–83. [Google Scholar]
- Wang, B., & Mu, L. (2009). Interpreter training and research in mainland China: Recent developments. Interpreting, 11(2), 267–283. [Google Scholar] [CrossRef]
- Wang, C. (2019). The effect of executive function training on cognitive development and academic achievement in early childhood [Doctoral dissertation, Zhejiang University]. [Google Scholar]
- Wilkinson, A. J., & Yang, L. (2012). Plasticity of inhibition in older adults: Retest practice and transfer effects. Psychology and Aging, 27(3), 606. [Google Scholar] [CrossRef]
- Xu, Q. (2012). The relationship between simultaneous interpreting and working memory in the case of concurrent listening and speaking—An empirical study based on the English-Chinese simultaneous interpreting [Doctoral dissertation, Shanghai International Studies University]. [Google Scholar]
- Yang, Y., Yang, G., & Li, Y. (2022). The interactive model of L2 listening processing in Chinese bilinguals: A multiple mediation analysis. Frontiers in Psychology, 13, 871349. [Google Scholar] [CrossRef]
- Zhang, W., & Yu, D. (2018). Can memory training help improve interpreting quality? A case report in China. The Interpreter and Translator Trainer, 12(2), 152–165. [Google Scholar] [CrossRef]
- Zhao, X., Chen, L., & Maes, J. H. (2018). Training and transfer effects of response inhibition training in children and adults. Developmental Science, 21(1), e12511. [Google Scholar] [CrossRef] [PubMed]
- Zhao, X., & Jia, L. (2019). Training and transfer effects of interference control training in children and young adults. Psychological Research, 83(7), 1519–1530. [Google Scholar] [CrossRef]
- Zhao, X., Jia, L., & Zan, X. (2016). Interference control training: Content, effect and mechanism. Advances in Psychological Science, 24(6), 900–908. [Google Scholar] [CrossRef]
- Zhao, X., Wang, H., & Maes, J. H. R. (2020). Training and transfer effects of extensive task-switching training in students. Psychological Research, 84(2), 389–403. [Google Scholar] [CrossRef] [PubMed]
- Zhao, X., Zhou, R., & Fu, L. (2013). Working memory updating function training influenced brain activity. PLoS ONE, 8(8), e71063. [Google Scholar] [CrossRef] [PubMed]
- Zinke, K., Einert, M., Pfennig, L., & Kliegel, M. (2012). Plasticity of executive control through task switching training in adolescents. Frontiers in Human Neuroscience, 6, 41. [Google Scholar] [CrossRef] [PubMed]






| Core EF Component Investigated | Author (Year) | Research Focus | Major Findings | Key Insights from the Literature for the Present Study |
|---|---|---|---|---|
| Foundational research | ||||
| updating | Dong et al. (2018) | Investigating whether updating and WM relate to student interpreters’ CI performance. | 1. Student interpreters’ updating ability (measured by a visuo-spatial 2-back task) in both pre-test and post-test significantly predicted CI performance. 2. The relationship between WM (measured by an L2 listening span task) and CI performance was weaker. | Updating is closely related to interpreting performance and demonstrated strong predictive power, as supported by both cross-sectional and longitudinal studies. |
| Y. Liu and Dong (2020) | Investigating the predictive power of updating for CI performance. | Student interpreters’ updating efficacy significantly predicted their CI performance. | ||
| Song et al. (2023) | Examining the role of EFs in bidirectional CI (Chinese-Japanese). | Updating exhibited a significant impact on both Japanese-to-Chinese and Chinese-to-Japanese interpreting, indicating that higher updating ability was associated with better interpreting performance. | ||
| Timarová et al. (2014) | Investigating the correlation between executive functions and simultaneous interpreting performance. | 1. Interpreter’s better performance in the 2-back task is associated with a higher score on interpretation of numbers. 2. Interpreters who updated their memory more efficiently tended to use less extensive vocabulary. | ||
| inhibition | Song et al. (2023) | Examining the role of EFs in bidirectional CI (Chinese-Japanese). | Inhibition showed a significant effect on Japanese-to-Chinese interpreting performance. | Inhibition may be significantly related to interpreting performance, although existing empirical evidence remains limited and inconclusive. |
| Timarová et al. (2014) | Investigating the correlation between executive functions and simultaneous interpreting performance. | Interpreters with better performance in the Flanker task were more accurate in their interpretation of lexical items. | ||
| Xu (2012) | Examining the relationship between inhibition and interpreting processing. | Inhibition did not predict overall interpreting performance for either student or professional interpreters. | ||
| TS | M. Liu (2014) | Examining the relationship between TS ability and CI performance. | There is a positive correlation between student interpreters’ TS ability and CI performance. | The role of TS is inconclusive, with findings varying across studies. |
| Timarová et al. (2014) | Investigating the correlation between executive functions and simultaneous interpreting performance. | Interpreters who are better able to switch attention keep shorter EVS. | ||
| Song et al. (2023) | Examining the role of EFs in bidirectional CI (Chinese-Japanese). | No significant effects of shifting were observed in bidirectional CI. | ||
| Cognitive training research | ||||
| updating | Öztürk (2018) | Examining the effects of updating training on CI performance. | 1. 14 sessions of updating training improved participants’ CI performance. 2. The benefits of the training were maintained three months later. Both findings were supported by fNIRS evidence. | Cognitive training, which has thus far focused primarily on updating and WM in the literature, has been shown to improve interpreting performance, with some evidence suggesting the effects can be durable. |
| WM capacity | Zhang and Yu (2018) | Applying WM capacity and coordination training in SI teaching. | The training affirmed a positive effect, particularly in the beginning stage of learning. | |
| Updating Group (n = 17) | Inhibition Group (n = 16) | TS Group (n = 13) | Control Group (n = 18) | p | |
|---|---|---|---|---|---|
| Age | 18.94 (0.56) | 19.19 (0.66) | 19.31 (0.75) | 19.33 (0.59) | 0.274 |
| Sex, F/M | 16/1 | 14/2 | 12/1 | 17/1 | / |
| L2 age of acquisition | 9.53 (2.18) | 9.56 (2.25) | 9.23 (0.83) | 9 (0) | 0.741 |
| L2 proficiency 1 | 69.65 (5.81) | 67.38 (9.95) | 65.69 (6.29) | 68.94 (7.12) | 0.489 |
| Handedness, right/left | 17/0 | 15/1 | 13/0 | 18/0 | / |
| Color-blind or not | not | not | not | not | / |
| WM span 2 | 52.59 (4.96) | 52.63 (6.41) | 51.46 (7.68) | 51.17 (5.86) | 0.864 |
| Feature | CI Material for T1 | CI Material for T2 | CI Material for T3 |
|---|---|---|---|
| Speech Number | 381 | 387 | 378 |
| Total Duration (incl. interpreting time) | 9 min 13 s | 9 min 4 s | 8 min 55 s |
| Domain | China-US cooperation | Chinese dialect | Kunming-Liverpool exchange |
| Words per Minute | 120 | 126 | 122 |
| Mean Sentence Length (words) | 20.42 | 17.68 | 20 |
| Training Group | Training Task | F | p | ηp2 |
|---|---|---|---|---|
| Updating | Adaptive letter running task | 91.252 | <0.001 ** | 0.851 |
| Adaptive animal running task | 87.259 | <0.001 ** | 0.845 | |
| Inhibition | Adaptive Stroop task | 29.985 | <0.001 ** | 0.667 |
| Adaptive Flanker task | 29.985 | <0.001 ** | 0.667 | |
| TS | Adaptive task-cueing switching task | 29.815 | <0.001 ** | 0.665 |
| Task and Measure | Time | Updating Group | Inhibition Group | TS Group | Control Group |
|---|---|---|---|---|---|
| M (SD) | M (SD) | M (SD) | M (SD) | ||
| Updating 2-back RT (ms) | T1 | 814.14 (221.38) | 775.41 (217.39) | 764.50 (195.09) | 762.96 (289.58) |
| T2 | 627.44 (160.28) | 597.08 (151.60) | 466.33 (72.29) | 794.98 (250.74) | |
| T3 | 625.11 (187.34) | 552.97 (164.16) | 440.78 (67.38) | 694.10 (247.08) | |
| Inhibition Stroop effect (ms) | T1 | 93.67 (58.45) | 75.79 (62.78) | 111.70 (65.80) | 88.44 (59.58) |
| T2 | 80.76 (42.17) | 16.28 (17.37) | 52.85 (49.22) | 100.80 (53.72) | |
| T3 | 95.08 (54.80) | 30.39 (15.78) | 43.77 (23.31) | 104.34 (46.21) | |
| TS | |||||
| Switching cost (ms) | T1 | 104.55 (155.71) | 160.26 (189.31) | 123.77 (113.27) | 126.31 (151.85) |
| T2 | 114.73 (99.80) | 156.45 (170.10) | 56.66 (45.16) | 128.38 (142.34) | |
| T3 | 115.14 (91.22) | 143.53 (239.46) | 64.80 (68.86) | 94.66 (118.67) | |
| Mixing cost (ms) | T1 | 338.71 (149.92) | 330.98 (130.63) | 330.77 (95.81) | 350.46 (186.58) |
| T2 | 276.26 (103.58) | 215.34 (103.17) | 164.73 (27.50) | 299.37 (127.86) | |
| T3 | 227.30 (130.65) | 211.14 (102.81) | 132.36 (61.63) | 294.35 (100.82) | |
| CI Performance scores | T1 | 51.94 (15.59) | 50.44 (12.77) | 50.23 (7.17) | 50.44 (12.80) |
| T2 | 63.85 (15.99) | 65.37 (13.19) | 63.52 (7.65) | 53.00 (12.60) | |
| T3 | 54.36 (14.12) | 64.18 (11.95) | 52.88 (7.17) | 52.03 (13.20) |
| Analysis Type | Group/Contrast | Time Contrast | Mean Change/Difference [95% CI] | Effect Size [95% CI] |
|---|---|---|---|---|
| Within group changes | ||||
| Updating (n = 17) | Δ(T2-T1) | 11.91 [8.42, 15.40] | 1.67 [0.93, 2.49] | |
| Δ(T3-T1) | 2.41 [0.23, 4.59] | 0.54 [0.05, 1.03] | ||
| Inhibition (n = 16) | Δ(T2-T1) | 14.94 [11.33, 18.54] | 2.09 [1.21, 2.96] | |
| Δ(T3-T1) | 13.75 [10.03, 17.46] | 1.87 [1.05, 2.67] | ||
| TS (n = 13) | Δ(T2-T1) | 13.29 [10.76, 15.83] | 2.97 [1.68, 4.23] | |
| Δ(T3-T1) | 1.13 [1.21, 4.10] | 1.04 [0.37, 1.68] | ||
| Control (n = 18) | Δ(T2-T1) | 2.56 [2.04, 3.07] | 2.35 [1.44, 3.24] | |
| Δ(T3-T1) | 1.59 [−0.05, 3.22] | 0.46 [−0.12, 0.92] | ||
| Between-group contrast | ||||
| Updating—Control | T2 | 10.85 [−1.13, 22.83] | 0.74 [0.06, 1.41] | |
| T3 | 2.33 [−8.92, 13.57] | 0.17 [−0.48, 0.81] | ||
| Inhibition—Control | T2 | 12.37 [0.20, 24.54] | 0.94 [0.24, 1.63] | |
| T3 | 12.15 [0.73, 23.58] | 0.94 [0.24, 1.63] | ||
| TS—Control | T2 | 10.52 [−2.37, 23.41] | 0.95 [0.20, 1.68] | |
| T3 | 0.85 [−11.25, 12.96] | 0.08 [−0.62, 0.77] |
Disclaimer/Publisher’s Note: The statements, opinions and data contained in all publications are solely those of the individual author(s) and contributor(s) and not of MDPI and/or the editor(s). MDPI and/or the editor(s) disclaim responsibility for any injury to people or property resulting from any ideas, methods, instructions or products referred to in the content. |
© 2025 by the authors. Licensee MDPI, Basel, Switzerland. This article is an open access article distributed under the terms and conditions of the Creative Commons Attribution (CC BY) license (https://creativecommons.org/licenses/by/4.0/).
Share and Cite
Mao, L.; Li, Q. Effects of Core Executive Function Training on Student Interpreters’ Consecutive Interpreting. Behav. Sci. 2025, 15, 1477. https://doi.org/10.3390/bs15111477
Mao L, Li Q. Effects of Core Executive Function Training on Student Interpreters’ Consecutive Interpreting. Behavioral Sciences. 2025; 15(11):1477. https://doi.org/10.3390/bs15111477
Chicago/Turabian StyleMao, Lan, and Qingping Li. 2025. "Effects of Core Executive Function Training on Student Interpreters’ Consecutive Interpreting" Behavioral Sciences 15, no. 11: 1477. https://doi.org/10.3390/bs15111477
APA StyleMao, L., & Li, Q. (2025). Effects of Core Executive Function Training on Student Interpreters’ Consecutive Interpreting. Behavioral Sciences, 15(11), 1477. https://doi.org/10.3390/bs15111477
