Telerobotic Intergroup Contact: Acceptance and Preferences in Israel and Palestine
Abstract
1. Introduction
- RQ1 (Acceptance): How do Israeli Jews and Palestinians view the notion of telerobotic communication and its prospects as a medium for intergroup contact?
- RQ2 (Preference): Based on the preferences of Israeli Jews and Palestinians (how would their telerobot look like? What would it do?) derive design considerations for telerobotic-based intergroup contact?
2. Materials and Methods
2.1. Procedure
2.2. Participants
3. Results
3.1. Technological Self-Efficacy and Intergroup Contact Experiences
3.2. General Attitude toward Robots and the Outgroup
3.2.1. General Attitudes toward Robots
3.2.2. General Attitudes toward the Outgroup
3.3. General Opinions on Meeting People via Telerobotics
3.3.1. Interest in Telerobot Interaction and Operation
3.3.2. Comparing Telerobot Communication to a Face-to-Face Meeting
3.4. Interest in Meeting the Outgroup via Telerobotics
3.5. Preferences for Telerobotics in Casual and Outgroup Communication
3.5.1. Small Sample Size
3.5.2. Telerobot Appearance
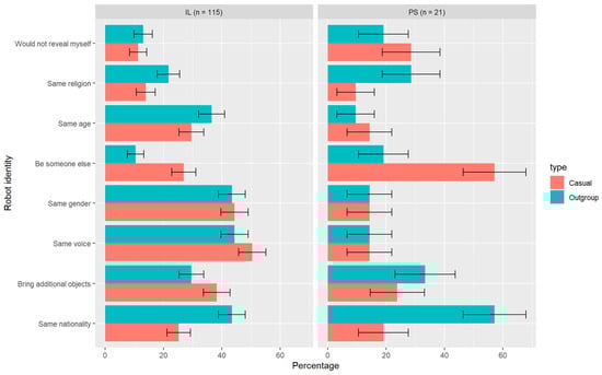
3.5.3. Identity Representation in the Telerobotic Avatar
3.5.4. Visibility or Anonymity
3.5.5. Features Preferences for the Telerobot
“Ability to speak the Hebrew language and to have information about the Palestinian people and the suffering they endured from the Israelis.”
3.5.6. Hopes and Concerns
3.5.7. Interest in Telerobotic Puppetry
4. Discussion
Author Contributions
Funding
Institutional Review Board Statement
Informed Consent Statement
Data Availability Statement
Conflicts of Interest
References
- Allport, G.W. The Nature of Prejudice; Addison-Wesley: Oxford, UK, 1954. [Google Scholar]
- Hasler, B.S.; Amichai-Hamburger, Y. Online Intergroup Contact. In The Social Net; Amichai-Hamburger, Y., Ed.; Oxford University Press: Oxford, UK, 2013; pp. 220–252. ISBN 978-0-19-963954-0. [Google Scholar]
- White, F.A.; Borinca, I.; Vezzali, L.; Reynolds, K.J.; Blomster Lyshol, J.K.; Verrelli, S.; Falomir-Pichastor, J.M. Beyond Direct Contact: The Theoretical and Societal Relevance of Indirect Contact for Improving Intergroup Relations. J. Soc. Issues 2021, 77, 132–153. [Google Scholar] [CrossRef]
- Ellis, D.G.; Maoz, I. Online Argument Between Israeli Jews and Palestinians. Hum. Commun. Res. 2007, 33, 291–309. [Google Scholar] [CrossRef]
- Kim, N.; Wojcieszak, M. Intergroup Contact through Online Comments: Effects of Direct and Extended Contact on Outgroup Attitudes. Comput. Hum. Behav. 2018, 81, 63–72. [Google Scholar] [CrossRef]
- Harwood, J.; Qadar, F.; Chen, C.-Y. Harmonious Contact: Stories About Intergroup Musical Collaboration Improve Intergroup Attitudes. J. Commun. 2016, 66, 937–959. [Google Scholar] [CrossRef]
- Joyce, N.; Harwood, J. Improving Intergroup Attitudes through Televised Vicarious Intergroup Contact: Social Cognitive Processing of Ingroup and Outgroup Information. Commun. Res. 2014, 41, 627–643. [Google Scholar] [CrossRef]
- Koc, Y.; Anderson, J.R. Social Distance toward Syrian Refugees: The Role of Intergroup Anxiety in Facilitating Positive Relations. J. Soc. Issues 2018, 74, 790–811. [Google Scholar] [CrossRef]
- Paluck, E.L. Reducing Intergroup Prejudice and Conflict Using the Media: A Field Experiment in Rwanda. J. Pers. Soc. Psychol. 2009, 96, 574–587. [Google Scholar] [CrossRef]
- Paolini, S.; White, F.A.; Tropp, L.R.; Turner, R.N.; Page-Gould, E.; Barlow, F.K.; Gómez, Á. Intergroup Contact Research in the 21st Century: Lessons Learned and Forward Progress If We Remain Open. J. Soc. Issues 2021, 77, 11–37. [Google Scholar] [CrossRef]
- Imperato, C.; Schneider, B.H.; Caricati, L.; Amichai-Hamburger, Y.; Mancini, T. Allport Meets Internet: A Meta-Analytical Investigation of Online Intergroup Contact and Prejudice Reduction. Int. J. Intercult. Relat. 2021, 81, 131–141. [Google Scholar] [CrossRef]
- Del Vicario, M.; Vivaldo, G.; Bessi, A.; Zollo, F.; Scala, A.; Caldarelli, G.; Quattrociocchi, W. Echo Chambers: Emotional Contagion and Group Polarization on Facebook. Sci. Rep. 2016, 6, 37825. [Google Scholar] [CrossRef]
- Gallacher, J.D.; Heerdink, M.W.; Hewstone, M. Online Engagement Between Opposing Political Protest Groups via Social Media Is Linked to Physical Violence of Offline Encounters. Soc. Media Soc. 2021, 7, 2056305120984445. [Google Scholar] [CrossRef]
- Johnson, N.A.; Cooper, R.B.; Chin, W.W. Anger and Flaming in Computer-Mediated Negotiation among Strangers. Decis. Support Syst. 2009, 46, 660–672. [Google Scholar] [CrossRef]
- Cao, B.; Lin, W.-Y. Revisiting the Contact Hypothesis: Effects of Different Modes of Computer-Mediated Communication on Intergroup Relationships. Int. J. Intercult. Relat. 2017, 58, 23–30. [Google Scholar] [CrossRef]
- Hasler, B.S.; Hirschberger, G.; Shani-Sherman, T.; Friedman, D.A. Virtual Peacemakers: Mimicry Increases Empathy in Simulated Contact with Virtual Outgroup Members. Cyberpsychology Behav. Soc. Netw. 2014, 17, 766–771. [Google Scholar] [CrossRef]
- Hasler, B.S.; H. Landau, D.; Hasson, Y.; Schori-Eyal, N.; Giron, J.; Levy, J.; Halperin, E.; Friedman, D. Virtual Reality-Based Conflict Resolution: The Impact of Immersive 360° Video on Changing View Points and Moral Judgment in the Context of Violent Intergroup Conflict. New Media Soc. 2021, 23, 2255–2278. [Google Scholar] [CrossRef]
- Hasson, Y.; Schori-Eyal, N.; Landau, D.; Hasler, B.S.; Levy, J.; Friedman, D.; Halperin, E. The Enemy’s Gaze: Immersive Virtual Environments Enhance Peace Promoting Attitudes and Emotions in Violent Intergroup Conflicts. PLoS ONE 2019, 14, e0222342. [Google Scholar] [CrossRef]
- Stelzmann, D.; Toth, R.; Schieferdecker, D. Can Intergroup Contact in Virtual Reality (VR) Reduce Stigmatization Against People with Schizophrenia? J. Clin. Med. 2021, 10, 2961. [Google Scholar] [CrossRef]
- Bleakley, A.; Rough, D.; Edwards, J.; Doyle, P.; Dumbleton, O.; Clark, L.; Rintel, S.; Wade, V.; Cowan, B.R. Bridging Social Distance during Social Distancing: Exploring Social Talk and Remote Collegiality in Video Conferencing. Human-Computer Interact. 2022, 37, 404–432. [Google Scholar] [CrossRef]
- Kniffin, K.M.; Narayanan, J.; Anseel, F.; Antonakis, J.; Ashford, S.P.; Bakker, A.B.; Bamberger, P.; Bapuji, H.; Bhave, D.P.; Choi, V.K.; et al. COVID-19 and the Workplace: Implications, Issues, and Insights for Future Research and Action. Am. Psychol. 2021, 76, 63–77. [Google Scholar] [CrossRef]
- Long, E.; Patterson, S.; Maxwell, K.; Blake, C.; Bosó Pérez, R.; Lewis, R.; McCann, M.; Riddell, J.; Skivington, K.; Wilson-Lowe, R.; et al. COVID-19 Pandemic and Its Impact on Social Relationships and Health. J. Epidemiol. Community Health 2022, 76, 128–132. [Google Scholar] [CrossRef]
- Peled, A.; Leinonen, T.; Hasler, B. The Potential of Telepresence Robots for Intergroup Contact; SciTe Press: Setúbal, Portugal, 2020; pp. 210–217. [Google Scholar]
- Peled, A.; Leinonen, T.; Hasler, B. The Telerobot Contact Hypothesis. In Fourth International Conference, CHIRA 2020, November 5–6, 2020 Revised Selected Papers (Awaiting Publication); Computer-Human Interaction Research and Applications; Springer: Berlin/Heidelberg, Germany, 2022. [Google Scholar]
- Bar-Tal, D. Sociopsychological Foundations of Intractable Conflicts. Am. Behav. Sci. 2007, 50, 1430–1453. [Google Scholar] [CrossRef]
- Bar-Tal, D. Intractable Conflicts: Socio-Psychological Foundations and Dynamics; Cambridge University Press: Cambridge, UK, 2013; ISBN 1-107-35463-3. [Google Scholar]
- Pogrund, B. 1948: Independence and the Nakba. Palest.-Isr. J. Polit. Econ. Cult. 2008, 15, 107. [Google Scholar]
- Albzour, M.; Penic, S.; Nasser, R.; Green, E.G.T. Support for “Normalization” of Relations Between Palestinians and Israelis, and How It Relates to Contact and Resistance in the West Bank. J. Soc. Polit. Psychol. 2019, 7, 978–996. [Google Scholar] [CrossRef]
- Adnan, W. From Economic Integration to Near Elimination: The Economic Consequences of Isolation. J. Dev. Stud. 2022, 58, 1160–1180. [Google Scholar] [CrossRef]
- Cavatorta, E.; Groom, B. An Analysis of Changing Israeli and Palestinian Attitudes towards Peace. Available online: https://www.lse.ac.uk/middle-east-centre/publications/paper-series (accessed on 24 July 2024).
- Freilich, C. Israel and the Palestinians: The Day After. Survival 2023, 65, 67–73. [Google Scholar] [CrossRef]
- Akalin, N.; Krakovsky, M.; Avioz-Sarig, O.; Loutfi, A.; Edan, Y. Robot-Assisted Training with Swedish and Israeli Older Adults. In Proceedings of the Social Robotics, Singapore, 10–13 November 2021; Li, H., Ge, S.S., Wu, Y., Wykowska, A., He, H., Liu, X., Li, D., Perez-Osorio, J., Eds.; Springer International Publishing: Cham, Switzerland, 2021; pp. 487–496. [Google Scholar]
- An, M.H.; You, S.C.; Park, R.W.; Lee, S. Using an Extended Technology Acceptance Model to Understand the Factors Influencing Telehealth Utilization After Flattening the COVID-19 Curve in South Korea: Cross-Sectional Survey Study. JMIR Med. Inform. 2021, 9, e25435. [Google Scholar] [CrossRef]
- Chau, P.Y.K.; Lai, V.S.K. An Empirical Investigation of the Determinants of User Acceptance of Internet Banking. J. Organ. Comput. Electron. Commer. 2003, 13, 123–145. [Google Scholar] [CrossRef]
- Holzinger, A.; Searle, G.; Wernbacher, M. The Effect of Previous Exposure to Technology on Acceptance and Its Importance in Usability and Accessibility Engineering. Univers. Access Inf. Soc. 2011, 10, 245–260. [Google Scholar] [CrossRef]
- Bliss, J.P.; Gao, Q.; Hu, X.; Itoh, M.; Karpinsky-Mosely, N.; Long, S.K.; Papelis, Y.; Yamani, Y. Chapter 21—Cross-Cultural Trust of Robot Peacekeepers as a Function of Dialog, Appearance, Responsibilities, and Onboard Weapons. In Trust in Human-Robot Interaction; Nam, C.S., Lyons, J.B., Eds.; Academic Press: Cambridge, MA, USA, 2021; pp. 493–513. ISBN 978-0-12-819472-0. [Google Scholar]
- Wecker, A.J.; Lavee, M. Social Robots and Religion; Università di Torino: Turin, Italy, 2020. [Google Scholar]
- Navon, M. Let Us Make Man in Our Image-a Jewish Ethical Perspective on Creating Conscious Robots. AI Ethics 2023. [Google Scholar] [CrossRef]
- Salem, M.; Ziadee, M.; Sakr, M. Marhaba, How May I Help You? Effects of Politeness and Culture on Robot Acceptance and Anthropomorphization. In Proceedings of the 2014 9th ACM/IEEE International Conference on Human-Robot Interaction (HRI), Bielefeld, Germany, 3–6 March 2014; pp. 74–81. [Google Scholar]
- Mavridis, N.; Katsaiti, M.-S.; Naef, S.; Falasi, A.; Nuaimi, A.; Araifi, H.; Kitbi, A. Opinions and Attitudes toward Humanoid Robots in the Middle East. AI Soc. 2012, 27, 517–534. [Google Scholar] [CrossRef]
- Babadi Akashe, Z.; Zamani, B.E.; Kheradmand, A. Investigating the Factors Influencing E-Book Acceptance Among Students from Less-Privileged Regions: A Case Study on Students of Shahrekord Universities. Strides Dev. Med. Educ. 2019, 16. [Google Scholar] [CrossRef]
- Brown, I.; Licker, P. Exploring Differences in Internet Adoption and Usage between Historically Advantaged and Disadvantaged Groups in South Africa. J. Glob. Inf. Technol. Manag. 2003, 6, 6–26. [Google Scholar] [CrossRef]
- Rahman, S.A.; Taghizadeh, S.K.; Ramayah, T.; Alam, M.M.D. Technology Acceptance among Micro-Entrepreneurs in Marginalized Social Strata: The Case of Social Innovation in Bangladesh. Technol. Forecast. Soc. Change 2017, 118, 236–245. [Google Scholar] [CrossRef]
- Porter, C.E.; Donthu, N. Using the Technology Acceptance Model to Explain How Attitudes Determine Internet Usage: The Role of Perceived Access Barriers and Demographics. J. Bus. Res. 2006, 59, 999–1007. [Google Scholar] [CrossRef]
- Obaid, T. Factors Driving E-Learning Adoption in Palestine: An Integration of Technology Acceptance Model and IS Success Model; Social Science Research Network: Rochester, NY, USA, 2020. [Google Scholar]
- Albzour, M.; Bady, Z.; Elcheroth, G.; Penic, S.; Reimer, N.; Green, E.G.T. Talking to a (Segregation) Wall: Intergroup Contact and Attitudes Toward Normalization Among Palestinians From the Occupied Territories. Polit. Psychol. 2022, 44, 43–59. [Google Scholar] [CrossRef]
- Mi’Ari, M. Attitudes of Palestinians toward Normalization with Israel. J. Peace Res. 1999, 36, 339–348. [Google Scholar] [CrossRef]
- Maoz, I. Does Contact Work in Protracted Asymmetrical Conflict? Appraising 20 Years of Reconciliation-Aimed Encounters between Israeli Jews and Palestinians. J. Peace Res. 2011, 48, 115–125. [Google Scholar] [CrossRef]
- Shnabel, N.; Nadler, A. A Needs-Based Model of Reconciliation: Satisfying the Differential Emotional Needs of Victim and Perpetrator as a Key to Promoting Reconciliation. J. Pers. Soc. Psychol. 2008, 94, 116–132. [Google Scholar] [CrossRef]
- Saguy, T.; Dovidio, J.F.; Pratto, F. Beyond Contact: Intergroup Contact in the Context of Power Relations. Pers. Soc. Psychol. Bull. 2008, 34, 432–445. [Google Scholar] [CrossRef]
- Saguy, T.; Tropp, L.R.; Hawi, D. The Role of Group Power in Intergroup Contact. In Advances in Intergroup Contact; Psychology Press: New York, NY, USA, 2013; pp. 113–131. ISBN 978-1-84872-114-2. [Google Scholar]
- Nadler, A.; Shnabel, N. Intergroup Reconciliation: Instrumental and Socio-Emotional Processes and the Needs-Based Model. Eur. Rev. Soc. Psychol. 2015, 26, 93–125. [Google Scholar] [CrossRef]
- Klein, O.; Spears, R.; Reicher, S. Social Identity Performance: Extending the Strategic Side of SIDE: Personal. Soc. Psychol. Rev. 2016, 11, 28–45. [Google Scholar] [CrossRef] [PubMed]
- Reicher, S.; Levine, M. On the Consequences of Deindividuation Manipulations for the Strategic Communication of Self: Identifiability and the Presentation of Social Identity. Eur. J. Soc. Psychol. 1994, 24, 511–524. [Google Scholar] [CrossRef]
- Brown, R.; Vivian, J.; Hewstone, M. Changing Attitudes through Intergroup Contact: The Effects of Group Membership Salience. Eur. J. Soc. Psychol. 1999, 29, 741–764. [Google Scholar] [CrossRef]
- Brown, R.; Hewstone, M. An Integrative Theory of Intergroup Contact. Adv. Exp. Soc. Psychol. 2005, 37, 255–343. [Google Scholar]
- Guegan, J.; Segonds, F.; Barré, J.; Maranzana, N.; Mantelet, F.; Buisine, S. Social Identity Cues to Improve Creativity and Identification in Face-to-Face and Virtual Groups. Comput. Hum. Behav. 2017, 77, 140–147. [Google Scholar] [CrossRef]
- Spears, R.; Postmes, T.; Lea, M.; Wolbert, A. When Are Net Effects Gross Products? Communication. J. Soc. Issues 2002, 58, 91–107. [Google Scholar] [CrossRef]
- Peña, J.; Wolff, G.; Wojcieszak, M. Virtual Reality and Political Outgroup Contact: Can Avatar Customization and Common Ingroup Identity Reduce Social Distance? Soc. Media Soc. 2021, 7, 2056305121993765. [Google Scholar] [CrossRef]
- Groom, V.; Takayama, L.; Ochi, P.; Nass, C. I Am My Robot: The Impact of Robot-Building and Robot Form on Operators. In Proceedings of the 4th ACM/IEEE International Conference on Human Robot Interaction—HRI’09, La Jolla, CA, USA, 9–13 March 2009; ACM Press: La Jolla, CA, USA, 2009; p. 31. [Google Scholar]
- Fink, J. Anthropomorphism and Human Likeness in the Design of Robots and Human-Robot Interaction. In Proceedings of the International Conference on Social Robotics, Chengdu, China, 29–31 October 2012; Springer: Berlin/Heidelberg, Germany, 2012; pp. 199–208. [Google Scholar]
- Haslam, N. Dehumanization: An Integrative Review. Personal. Soc. Psychol. Rev. 2006, 10, 252–264. [Google Scholar] [CrossRef]
- Schumann, S.; Klein, O.; Douglas, K.; Hewstone, M. When Is Computer-Mediated Intergroup Contact Most Promising? Examining the Effect of out-Group Members’ Anonymity on Prejudice. Comput. Hum. Behav. 2017, 77, 198–210. [Google Scholar] [CrossRef]
- White, F.A.; Maunder, R.; Verrelli, S. Text-Based E-Contact: Harnessing Cooperative Internet Interactions to Bridge the Social and Psychological Divide. Eur. Rev. Soc. Psychol. 2020, 31, 76–119. [Google Scholar] [CrossRef]
- Wiśniewska, M. On Hybridity in Puppetry. Perform. Res. 2020, 25, 56–64. [Google Scholar] [CrossRef]
- Hässler, T.; Uluğ, Ö.M.; Kappmeier, M.; Travaglino, G.A. Intergroup Contact and Social Change: An Integrated Contact-Collective Action Model. J. Soc. Issues 2021, 77, 217–241. [Google Scholar] [CrossRef]
- Obaid, T.; Eneizan, B.; Naser, S.S.A.; Alsheikh, G.; Ali, A.A.A.; Abualrejal, H.M.E.; Gazem, N.A. Factors Contributing to an Effective E-Government Adoption in Palestine. In Advances on Intelligent Informatics and Computing; Saeed, F., Mohammed, F., Ghaleb, F., Eds.; Springer International Publishing: Cham, Switzerland, 2022; pp. 663–676. [Google Scholar]
- Hamdan, A.; Mosleh, R. How Does the General Population Approach Their Pain? A Cross-Sectional Study in Palestine. SAGE Open Med. 2024, 12, 20503121231223442. [Google Scholar] [CrossRef] [PubMed]
- Abuzerr, S.; Zinszer, K.; Shaheen, A.; el Bilbeisi, A.H.; Al Haj Daoud, A.; Aldirawi, A.; Salem, A. Impact of the Coronavirus Disease 2019 Pandemic on the Palestinian Family: A Cross-Sectional Study. SAGE Open Med. 2021, 9, 20503121211001137. [Google Scholar] [CrossRef] [PubMed]
- Creswell, J.W. Mixed-Method Research: Introduction and Application. In Handbook of Educational Policy; Elsevier: Amsterdam, The Netherlands, 1999; pp. 455–472. [Google Scholar]
- Busch-Jensen, P.; Schraube, E. Zooming in Zooming out: Analytical Strategies of Situated Generalization in Psychological Research. In Subjectivity and Knowledge: Generalization in the Psychological Study of Everyday Life; Springer: Cham, Switzerland, 2019; pp. 221–241. [Google Scholar]
- Nicolini, D. Zooming In and Out: Studying Practices by Switching Theoretical Lenses and Trailing Connections. Organ. Stud. 2009, 30, 1391–1418. [Google Scholar] [CrossRef]
- Shen, Y.; Guo, D.; Long, F.; Mateos, L.A.; Ding, H.; Xiu, Z.; Hellman, R.B.; King, A.; Chen, S.; Zhang, C.; et al. Robots Under COVID-19 Pandemic: A Comprehensive Survey. IEEE Access 2021, 9, 1590–1615. [Google Scholar] [CrossRef]
- Ben-Shalom, U.; Hitman, G.; Orr, R.T.; Rickover, I. Perceptions of Security and Civic Services among the Arab Minority Youth in Israel: Empirical Testing of Attraction and Repulsion Forces. Ethnopolitics 2024, 23, 238–253. [Google Scholar] [CrossRef]
- Syrdal, D.S.; Dautenhahn, K.; Koay, K.L.; Walters, M.L. The Negative Attitudes towards Robots Scale and Reactions to Robot Behaviour in a Live Human-Robot Interaction Study; The Society for the Study of Artificial Intelligence and the Simulation of Behaviour (AISB): London, UK, 2009. [Google Scholar]
- Tsui, K.M.; Desai, M.; Yanco, H.A.; Cramer, H.; Kemper, N. Using the “Negative Attitude toward Robots Scale” with Telepresence Robots. In Proceedings of the 10th Performance Metrics for Intelligent Systems Workshop on—PerMIS’10, Baltimore, MD, USA, 28–30 September 2010; ACM Press: Baltimore, MD, USA, 2010; p. 243. [Google Scholar]
- Lavrakas, P.J. Encyclopedia of Survey Research Methods; Sage Publications: Thousand Oaks, CA, USA, 2008; ISBN 1-4522-6147-4. [Google Scholar]
- McConnell, A.R.; Leibold, J.M. Relations among the Implicit Association Test, Discriminatory Behavior, and Explicit Measures of Racial Attitudes. J. Exp. Soc. Psychol. 2001, 37, 435–442. [Google Scholar] [CrossRef]
- Miller, D.A.; Smith, E.R.; Mackie, D.M. Effects of Intergroup Contact and Political Predispositions on Prejudice: Role of Intergroup Emotions. Group Process. Intergroup Relat. 2004, 7, 221–237. [Google Scholar] [CrossRef]
- Crawford, J.T.; Brandt, M.J. Who Is Prejudiced, and Toward Whom? The Big Five Traits and Generalized Prejudice. Pers. Soc. Psychol. Bull. 2019, 45, 1455–1467. [Google Scholar] [CrossRef]
- Breazeal, C.; Dautenhahn, K.; Kanda, T. Social Robotics. In Springer Handbook of Robotics; Springer: Cham, Switzerland, 2016; pp. 1935–1972. [Google Scholar]
- Webb, R. Mostly Harmless Statistics. In PDXOpen: Open Educational Resources; Portland State University Library: Portland, OR, USA, 2021. [Google Scholar]
- Hansen, K.; Świderska, A. Integrating Open- and Closed-Ended Questions on Attitudes towards Outgroups with Different Methods of Text Analysis. Behav. Res. Methods 2024, 56, 4802–4822. [Google Scholar] [CrossRef] [PubMed]






Disclaimer/Publisher’s Note: The statements, opinions and data contained in all publications are solely those of the individual author(s) and contributor(s) and not of MDPI and/or the editor(s). MDPI and/or the editor(s) disclaim responsibility for any injury to people or property resulting from any ideas, methods, instructions or products referred to in the content. |
© 2024 by the authors. Licensee MDPI, Basel, Switzerland. This article is an open access article distributed under the terms and conditions of the Creative Commons Attribution (CC BY) license (https://creativecommons.org/licenses/by/4.0/).
Share and Cite
Peled, A.; Leinonen, T.; Hasler, B.S. Telerobotic Intergroup Contact: Acceptance and Preferences in Israel and Palestine. Behav. Sci. 2024, 14, 854. https://doi.org/10.3390/bs14090854
Peled A, Leinonen T, Hasler BS. Telerobotic Intergroup Contact: Acceptance and Preferences in Israel and Palestine. Behavioral Sciences. 2024; 14(9):854. https://doi.org/10.3390/bs14090854
Chicago/Turabian StylePeled, Avner, Teemu Leinonen, and Béatrice S. Hasler. 2024. "Telerobotic Intergroup Contact: Acceptance and Preferences in Israel and Palestine" Behavioral Sciences 14, no. 9: 854. https://doi.org/10.3390/bs14090854
APA StylePeled, A., Leinonen, T., & Hasler, B. S. (2024). Telerobotic Intergroup Contact: Acceptance and Preferences in Israel and Palestine. Behavioral Sciences, 14(9), 854. https://doi.org/10.3390/bs14090854

