The Chain-Mediating Effects of Mindfulness and Sense of Control on Corporate Employees’ Mental Health Problems
Abstract
1. Introduction
1.1. Work–Family Conflict and Mental Health State
1.2. Mindfulness and Mental Health
1.3. Sense of Control and Mental Health
1.4. Work–Family Conflict, Mindfulness, Sense of Control, and Mental Health
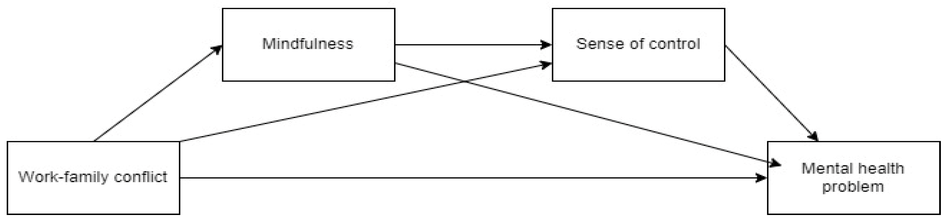
1.5. This Study
1.6. Model Assumptions
2. Methods
2.1. Participants
2.2. Research Tools
2.2.1. Work–Family Conflict Scale
2.2.2. Mindful Attention Awareness Scale (MAAS)
2.2.3. Sense of Control Scale
2.2.4. Brief Symptom Inventory-18 (BSI-18)
2.3. Data Processing
3. Results
3.1. Testing for Common Method Bias
3.2. Correlation Analysis
3.3. Analysis of Chain Mediating Effects
4. Discussion
4.1. Correlation Analysis
4.2. Mediating Effects Analysis
- (1)
- Independent effect of mindfulness
- (2)
- Independent effect of sense of control
- (3)
- Combined effect of mindfulness and sense of control
5. Conclusions
Author Contributions
Funding
Institutional Review Board Statement
Informed Consent Statement
Data Availability Statement
Conflicts of Interest
Appendix A
| No | Items | Not at All | Slight | Moderate | Relatively Serious | Extremely |
|---|---|---|---|---|---|---|
| 1 | Faintness or dizziness | 1 | 2 | 3 | 4 | 5 |
| 2 | Feeling no interest in things | 1 | 2 | 3 | 4 | 5 |
| 3 | Nervousness or shakiness inside | 1 | 2 | 3 | 4 | 5 |
| 4 | Pains in heart or chest | 1 | 2 | 3 | 4 | 5 |
| 5 | Feeling lonely | 1 | 2 | 3 | 4 | 5 |
| 6 | Feeling tense or keyed up | 1 | 2 | 3 | 4 | 5 |
| 7 | Nausea or upset stomach | 1 | 2 | 3 | 4 | 5 |
References
- Seu, M.; Lopez, D.; Nave, M.; Rodriguez, E.; Ureta, E.; Equils, O. Assessing front office staff awareness on mental health resources at youth friendly clinics in Los Angeles County. Community Ment. Health J. 2020, 56, 1544–1548. [Google Scholar] [CrossRef] [PubMed]
- Jiang, G.; Li, D.; Ren, Z.; Yan, Y.; Wu, X.; Zhu, X.; Yu, L.; Xia, M.; Li, F.; Wei, H.; et al. The status quo and characteristics of Chinese mental health literacy. Acta Psychol. Sin. 2021, 53, 182–198. [Google Scholar] [CrossRef]
- Xu, H.C.; Huang, X.T. Mental health service abroad and its enlightenment. Psychol. Sci. 2007, 30, 1006–1009. [Google Scholar] [CrossRef]
- Yan, Z. Analysis of the existing problems in the research of mental health standards—And commenting on Chinese and western mental health concepts. Educ. Res. Exp. 1996, 4, 48–52. [Google Scholar]
- Liao, Y.G.; Lian, R. Changes in Chinese People’s mental health of China from 1986 to 2017: A cross-temporal meta-analysis. J. Southwest Univ. 2019, 45, 105–116. [Google Scholar] [CrossRef]
- Goldberg, D.P.; Hillier, V.F. A scaled version of the general health questionnaire. Psychol. Med. 1979, 9, 139–145. [Google Scholar] [CrossRef] [PubMed]
- Schein, E.H. Culture as an environmental context for careers. J. Occup. Behav. 1984, 5, 71–81. [Google Scholar] [CrossRef]
- Zhang, M.; Griffeth, R.W.; Fried, D.D. Work-family conflict and individual consequences. J. Manag. Psychol. 2012, 27, 696–713. [Google Scholar] [CrossRef]
- Allen, T.D.; Herst, D.E.; Bruck, C.S.; Sutton, M. Consequences associated with work-to-family conflict: A review and agenda for future research. J. Occup. Health Psychol. 2000, 5, 278–308. [Google Scholar] [CrossRef]
- Michel, J.S.; Kotrba, L.M.; Mitchelson, J.K.; Clark, M.A.; Baltes, B.B. Antecedents of work-family conflict: A meta-analytic review. J. Organ. Behav. 2011, 32, 689–725. [Google Scholar] [CrossRef]
- Byron, K. A meta-analytic review of work–family conflict and its antecedents. J. Vocat. Behav. 2005, 67, 169–198. [Google Scholar] [CrossRef]
- Katz, D.; Kahn, R.L. The social psychology of organizations. Admin. Sci. Q. 2014, 24, 495–500. [Google Scholar] [CrossRef]
- Greenhaus, J.H.; Beutell, N.J. Sources of conflict between work and family roles. Acad. Manag. Rev. 1985, 10, 76–88. [Google Scholar] [CrossRef]
- Greenhaus, J.H.; Powell, G.N. When work and family are allies: A theory of work-family enrichment. Acad. Manag. Rev. 2006, 31, 72–92. [Google Scholar] [CrossRef]
- Frone, M.R.; Russell, M.; Cooper, M.L. Antecedents and outcomes of work-family conflict: Testing a model of the work-family interface. J. Appl. Psychol. 1992, 77, 65–78. [Google Scholar] [CrossRef] [PubMed]
- Frone, M.R.; Russell, M.L.; Cooper, M.L. Relation of work-family conflict to health outcomes: A four-year longitudinal study of employed parents. J. Occup. Organ. Psychol. 1997, 70, 325–335. [Google Scholar] [CrossRef]
- Goode, W.J. A theory of role strain. Am. Sociol. Rev. 1960, 25, 483–496. [Google Scholar] [CrossRef]
- Netemeyer, R.G.; Boles, J.S.; McMurrian, R. Development and validation of work–family conflict and family–work conflict scales. J. Appl. Psychol. 1996, 81, 400–410. [Google Scholar] [CrossRef]
- Yuan, L. Work-family conflict and balance: Work-family boundary theory perspective. Soc. Sci. Front 2013, 2, 180–188. [Google Scholar]
- Baruch, Y.; Swartz, M.; Sirkis, S.; Mirecki, I.; Barak, Y. Staff happiness and work satisfaction in a tertiary psychiatric centre. Occup. Med. 2013, 63, 442–444. [Google Scholar] [CrossRef]
- Blau, G.; Tatum, D.S.; Ward Goldberg, C. Exploring correlates of burnout dimensions in a sample of psychiatric rehabilitation practitioners: A cross-sectional study. Psychiatr. Rehabil. J. 2013, 36, 166–172. [Google Scholar] [CrossRef] [PubMed]
- Zhang, Y.; Duffy, J.F.; De Castillero, E.R. Do sleep disturbances mediate the association between work-family conflict and depressive symptoms among nurses? A cross-sectional study. J. Psychiatr. Ment. Health Nurs. 2017, 24, 620–628. [Google Scholar] [CrossRef] [PubMed]
- Zhang, Y.; Punnett, L.; Nannini, A. Work-family conflict, sleep, and mental health of nursing assistants working in nursing homes. Workplace Health Saf. 2017, 65, 295–303. [Google Scholar] [CrossRef] [PubMed]
- William, V.G.; Edo, S.; Masood, Z.; Mark, D.G. Work-related mental health and job performance: Can mindfulness help? Int. J. Ment. Health Addict. 2014, 12, 129–137. [Google Scholar] [CrossRef][Green Version]
- Bishop, S.R.; Lau, M.; Shapiro, S.; Carlson, L.; Anderson, N.D.; Carmody, J.; Segal, Z.V.; Abbey, S.; Speca, M.; Velting, D.; et al. Mindfulness: A proposed operational definition. Clin. Psychol. Sci. Pract. 2004, 11, 230–241. [Google Scholar] [CrossRef]
- Le, T.N.; Trieu, D.T. Feasibility of a mindfulness-based intervention to address youth issues in Vietnam. Health Promot. Int. 2016, 31, 470–479. [Google Scholar] [CrossRef]
- Spijkerman, M.P.; Pots, W.T.; Bohlmeijer, E.T. Effectiveness of online mindfulness-based interventions in improving mental health: A review and meta-analysis of randomised controlled trials. Clin. Psychol. Rev. 2016, 45, 102–114. [Google Scholar] [CrossRef] [PubMed]
- Greenhaus, J.H.; Collins, K.M.; Shaw, J.D. The relation between work–family balance and quality of life. J. Vocat. Behav. 2003, 63, 510–531. [Google Scholar] [CrossRef]
- Brown, K.W.; Ryan, R.M. The benefits of being present: Mindfulness and its role in psychological well-being. J. Pers. Soc. Psychol. 2003, 84, 822–848. [Google Scholar] [CrossRef]
- Kabat-Zinn, J. Mindfulness-based interventions in context: Past, present, and future. Clin. Psychol. Sci. Pract. 2003, 10, 144–156. [Google Scholar] [CrossRef]
- Chiesa, A.; Serretti, A. Mindfulness-based interventions for chronic pain: A systematic review of the evidence. J. Altern. Complement. Med. 2011, 17, 83–93. [Google Scholar] [CrossRef] [PubMed]
- Creswell, J.D. Mindfulness interventions. Annu. Rev. Psychol. 2017, 68, 491–516. [Google Scholar] [CrossRef]
- Li, W.; Howard, M.O.; Garland, E.L.; McGovern, P.; Lazar, M. Mindfulness treatment for substance misuse: A systematic review and meta-analysis. J. Subst. Abuse Treat. 2017, 75, 62–96. [Google Scholar] [CrossRef]
- Singh, N.N.; Lancioni, G.E.; Winton, A.S.W.; Karazsia, B.T.; Singh, A.D.A.; Singh, A.N.A.; Singh, J. A mindfulness-based smoking cessation program for individuals with mild intellectual disability. Mindfulness 2013, 4, 148–157. [Google Scholar] [CrossRef]
- Singh, N.N.; Lancioni, G.E.; Karazsia, B.T.; Winton, A.S.W.; Singh, J.; Wahler, R.G. Shenpa and compassionate abiding: Mindfulness-based practices for anger and aggression by individuals with schizophrenia. Int. J. Ment. Health Addict. 2014, 12, 138–152. [Google Scholar] [CrossRef]
- Ryan, R.M.; Deci, E.L. Self-determination theory and the facilitation of intrinsic motivation, social development, and well-being. Am. Psychol. 2000, 55, 68–78. [Google Scholar] [CrossRef] [PubMed]
- Galante, J.; Iribarren, S.J.; Pearce, P.F. Effects of mindfulness-based cognitive therapy on mental disorders: A systematic review and meta-analysis of randomised controlled trials. J. Res. Nurs. 2013, 18, 133–155. [Google Scholar] [CrossRef] [PubMed]
- Keng, S.L.; Smoski, M.J.; Robins, C.J. Effects of mindfulness on psychological health: A review of empirical studies. Clin. Psychol. Rev. 2011, 31, 1041–1056. [Google Scholar] [CrossRef] [PubMed]
- Rawlett, K.; Scrandis, D. Mindfulness based programs implemented with at-risk adolescents. Open Nurs. J. 2016, 10, 90–98. [Google Scholar] [CrossRef] [PubMed]
- Xu, W.; Jia, K.; Liu, X.; Hofmann, S.G. The effects of mindfulness training on emotional health in Chinese long-term male prison inmates. Mindfulness 2016, 7, 1044–1051. [Google Scholar] [CrossRef]
- Rasmussen, M.K.; Pidgeon, A.M. The direct and indirect benefits of dispositional mindfulness on self-esteem and social anxiety. Anxiety Stress Coping 2011, 24, 227–233. [Google Scholar] [CrossRef] [PubMed]
- Askey-Jones, R. Mindfulness-based cognitive therapy: An efficacy study for mental health care staff. J. Psychiatr. Ment. Health Nurs. 2018, 25, 380–389. [Google Scholar] [CrossRef] [PubMed]
- Coyne, J.C.; Downey, G. Social factors and psychopathology: Stress, social support, and coping processes. Annu. Rev. Psychol. 1991, 42, 401–425. [Google Scholar] [CrossRef] [PubMed]
- Lachman, M.E.; Weaver, S.L. The sense of control as a moderator of social class differences in health and well-being. J. Pers. Soc. Psychol. 1998, 74, 763–773. [Google Scholar] [CrossRef] [PubMed]
- Ma, J.H.; Bao, L.P. An analysis of the Relationship between Job Characteristics, Sense of Control and Occupational Stress. Psychol. Sci. 1999, 22, 77–78. [Google Scholar] [CrossRef]
- Burger, J.M.; Arkin, R.M. Prediction, control, and learned helplessness. J. Pers. Soc. Psychol. 1980, 38, 482–491. [Google Scholar] [CrossRef]
- Rodin, J. Aging and health: Effects of the sense of control. Science 1986, 233, 1271–1276. [Google Scholar] [CrossRef] [PubMed]
- Jang, Y.; Borenstein-Graves, A.; Haley, W.E.; Small, B.J.; Mortimer, J.A. Determinants of a sense of mastery in African American and White older adults. J. Gerontol. B Psychol. Sci. Soc. Sci. 2003, 58, S221–S224. [Google Scholar] [CrossRef] [PubMed]
- Johnson, W.; Krueger, R.F. Higher perceived life control decreases genetic variance in physical health: Evidence from a national twin study. J. Pers. Soc. Psychol. 2005, 88, 165–173. [Google Scholar] [CrossRef]
- Skinner, E.A. A guide to constructs of control. J. Pers. Soc. Psychol. 1996, 71, 549–570. [Google Scholar] [CrossRef]
- Thompson, C.A.; Prottas, D.J. Relationships among organizational family support, job autonomy, perceived control, and employee well-being. J. Occup. Health Psychol. 2006, 11, 100–118. [Google Scholar] [CrossRef] [PubMed]
- Beutell, N.J.; Schneer, J.A. Work-family conflict and synergy among Hispanics. J. Manag. Psychol. 2014, 29, 705–735. [Google Scholar] [CrossRef]
- Gallagher, S.; Trigg, D. Agency and anxiety: Delusions of control and loss of control in schizophrenia and agoraphobia. Front. Hum. Neurosci. 2016, 10, 459. [Google Scholar] [CrossRef] [PubMed]
- Korte, K.J.; Unruh, A.S.; Oglesby, M.E.; Schmidt, N.B. Safety aid use and social anxiety symptoms: The mediating role of perceived control. Psychiatry Res. 2015, 228, 510–515. [Google Scholar] [CrossRef] [PubMed]
- Jang, Y.; Chiriboga, D.A.; Small, B.J. Perceived discrimination and psychological well-being: The mediating and moderating role of sense of control. Int. J. Aging Hum. Dev. 2008, 66, 213–227. [Google Scholar] [CrossRef] [PubMed]
- Pei, G.G.; Li, W.D.; Zhang, J.X.; Lei, R. Perceived control, perceived organizational support, job burnout and psychological health of officer in Chinese armed police force: An structural equation modeling study. Chin. J. Clin. Psychol. 2009, 17, 115–117. [Google Scholar] [CrossRef]
- Huang, Y.Z.; Jiang, J.Q.; Yao, N.S.; Zhao, N.; Qian, M.Y. Self-focused attention and social anxiety: The mediation effect of sense of control. Chin. J. Clin. Psychol. 2019, 27, 1232–1236. [Google Scholar] [CrossRef]
- Neupert, S.D.; Almeida, D.M.; Charles, S.T. Age differences in reactivity to daily stressors: The role of personal control. J. Gerontol. B Psychol. Sci. Soc. Sci. 2007, 64, P216–P225. [Google Scholar] [CrossRef] [PubMed]
- Chou, K.L.; Chi, I. Stressful life events and depressive symptoms: Social support and sense of control as mediators or moderators? Int. J. Aging Hum. Dev. 2001, 52, 155–171. [Google Scholar] [CrossRef] [PubMed]
- Moradi, B.; Hasan, N.T. Arab American persons’ reported experiences of discrimination and mental health: The mediating role of personal control. J. Couns. Psychol. 2004, 51, 418–428. [Google Scholar] [CrossRef]
- Marks, S.R.; MacDermid, S.M. Multiple role and the self: A theory of role balance. J. Marriage Fam. 1996, 58, 417–432. [Google Scholar] [CrossRef]
- Oberle, E.; Schonert-Reichl, K.A.; Lawlor, M.S.; Thomson, K.C. Mindfulness and inhibitory control in early adolescence. J. Early Adolesc. 2012, 32, 565–588. [Google Scholar] [CrossRef]
- Hofmann, S.G. Perception of control over anxiety mediates the relation between catastrophic thinking and social anxiety in social phobia. Behav. Res. Ther. 2005, 43, 885–895. [Google Scholar] [CrossRef] [PubMed]
- Abbott, R.A.; Whear, R.; Rodgers, L.R.; Bethel, A.; Thompson Coon, J.; Kuyken, W.; Stein, K.; Dickens, C. Effectiveness of mindfulness-based stress reduction and mindfulness based cognitive therapy in vascular disease: A systematic review and meta-analysis of randomised controlled trials. J. Psychosom. Res. 2014, 76, 341–351. [Google Scholar] [CrossRef] [PubMed]
- Gootjes, L.; Rassin, E. Perceived thought control mediates positive effects of meditation experience on affective functioning. Mindfulness 2014, 5, 1–9. [Google Scholar] [CrossRef]
- Liu, K.; Yin, T.; Shen, Q. Relationships between sleep quality, mindfulness and work-family conflict in Chinese nurses: A cross-sectional study. Appl. Nurs. Res. 2020, 55, 151250. [Google Scholar] [CrossRef] [PubMed]
- Deng, Y.Q.; Li, S.; Tang, Y.Y.; Zhu, L.H.; Ryan, R.; Brown, K. Psychometric properties of the Chinese translation of the Mindful Attention Awareness Scale (MAAS). Mindfulness 2012, 3, 10–14. [Google Scholar] [CrossRef]
- Derogatis, L. Brief Symptoms Inventory 18: Administration, Scoring, and Procedures Manual; NCS Pearson: Minneapolis, MN, USA, 2001. [Google Scholar]
- Hayes, A.F. Introduction to Mediation, Moderation, and Conditional Process Analysis: A Regression-Based Approach; Guilford Press: New York, NY, USA, 2013. [Google Scholar]
- Podsakoff, P.M.; Mackenzie, S.B.; Lee, J.Y.; Podsakoff, N.P. Common method biases in behavioral research: A critical review of the literature and recommended remedies. J. Appl. Psychol. 2003, 88, 879–903. [Google Scholar] [CrossRef] [PubMed]
- Amstad, F.T.; Meier, L.L.; Fasel, U.; Elfering, A.; Semmer, N.K. A meta-analysis of work-family conflict and various outcomes with a special emphasis on cross-domain versus matching-domain relations. J. Occup. Health Psychol. 2011, 16, 151–169. [Google Scholar] [CrossRef]
- Bowlin, S.L.; Baer, R.A. Relationships between mindfulness, self-control, and psychological functioning. Pers. Individ. Dif. 2012, 52, 411–415. [Google Scholar] [CrossRef]
- Zhao, L.M.; Yinghua, L.; Jianhui, S.; Xueqiong, N.; Maoxuan, T. Survey on the status of psychological health and social support among 5 kinds of occupational populations in Beijing. Chin. J. Health Educ. 2011, 27, 643–646. [Google Scholar]
- Xu, W.; Wang, Y.Z.; Fu, Z.F. The moderating role of dispositional mindfulness and locus of control in the impact of perceived stress on negative emotions in daily life. Psychol. Sci. 2018, 41, 749–754. [Google Scholar]
- Frone, M.R.; Yardley, J.K.; Markel, K.S. Developing and testing an integrative model of the work-family interface. J. Vocat. Behav. 1997, 50, 145–167. [Google Scholar] [CrossRef]



| Mean | SD | 1 | 2 | 3 | 4 | 5 | 6 | 7 | 8 | |
|---|---|---|---|---|---|---|---|---|---|---|
| 1. WFC | 13.75 | 5.30 | 1 | |||||||
| 2. FWC | 9.38 | 4.30 | 0.48 ** | 1 | ||||||
| 3. Control | 55.19 | 11.40 | −0.40 ** | −0.35 ** | 1 | |||||
| 4. Anxiety | 8.20 | 3.58 | 0.31 ** | 0.25 ** | −0.40 ** | 1 | ||||
| 5. Depression | 8.52 | 3.58 | 0.37 ** | 0.28 ** | −0.48 ** | 0.82 ** | 1 | |||
| 6. Somatization | 7.70 | 2.66 | 0.30 ** | 0.26 ** | −0.36 ** | 0.69 ** | 0.65 ** | 1 | ||
| 7. Mindfulness | 65.80 | 12.43 | −0.41 ** | −0.32 ** | 0.49 ** | −0.50 ** | −0.53 ** | −0.45 ** | 1 | |
| 8. GSI | 24.40 | 8.90 | 0.36 ** | 0.29 ** | −0.46 ** | 0.94 ** | 0.93 ** | 0.84 ** | −0.55 ** | 1 |
| Predictor Variable | Outcome Variable | R | R2 | F | β | t | Boot LLCI | Boot ULCI |
|---|---|---|---|---|---|---|---|---|
| WFC | Mindfulness | 0.44 | 0.20 | 19.90 | −0.98 | −11.78 *** | −1.14 | −0.82 |
| WFC | Control | 0.54 | 0.29 | 30.20 | −0.46 | −5.90 *** | −0.62 | −0.31 |
| Mindfulness | 0.36 | 10.85 *** | 0.30 | 0.43 | ||||
| WFC | GSI | 0.61 | 0.37 | 38.24 | 0.18 | 2.96 ** | 0.60 | 0.29 |
| Mindfulness | −0.28 | −10.39 *** | −0.33 | −0.23 | ||||
| Control | −0.17 | −5.95 *** | −2.23 | −0.12 | ||||
| Effect | Boot SE | Boot LLCI | Boot ULCI | Ratio of Indirect to Total Effect | |
|---|---|---|---|---|---|
| Total indirect effect | 0.43 | 0.06 | 0.31 | 0.54 | 70.88% |
| Indirect effect 1 | 0.28 | 0.05 | 0.19 | 0.38 | 45.86% |
| Indirect effect 2 | 0.07 | 0.01 | 0.04 | 0.10 | 10.82% |
| Indirect effect 3 | 0.09 | 0.02 | 0.05 | 0.13 | 14.20% |
| Predictor Variable | Outcome Variable | R | R2 | F | β | t | Boot LLCI | Boot ULCI |
|---|---|---|---|---|---|---|---|---|
| FWC | Mindfulness | 0.35 | 0.13 | 11.71 | −0.93 | −8.66 *** | −1.14 | −0.72 |
| FWC | Control | 0.54 | 0.29 | 30.04 | −0.54 | −5.80 *** | −0.73 | −0.36 |
| Mindfulness | 0.39 | 12.02 *** | 0.32 | 0.45 | ||||
| FWC | GSI | 0.60 | 0.37 | 37.65 | 0.16 | 2.23 ** | 0.02 | 0.30 |
| Mindfulness | −0.29 | −11.07 *** | −0.34 | −0.24 | ||||
| Control | −0.18 | −6.10 *** | −2.24 | −0.12 | ||||
| Effect | Boot SE | Boot LLCI | Boot ULCI | Ratio of Indirect to Total Effect | |
|---|---|---|---|---|---|
| Total indirect effect | 0.45 | 0.06 | 0.31 | 0.57 | 74.61% |
| Indirect effect 1 | 0.28 | 0.05 | 0.18 | 0.40 | 46.37% |
| Indirect effect 2 | 0.07 | 0.01 | 0.04 | 0.10 | 11.54% |
| Indirect effect 3 | 0.10 | 0.02 | 0.06 | 0.16 | 16.70% |
Disclaimer/Publisher’s Note: The statements, opinions and data contained in all publications are solely those of the individual author(s) and contributor(s) and not of MDPI and/or the editor(s). MDPI and/or the editor(s) disclaim responsibility for any injury to people or property resulting from any ideas, methods, instructions or products referred to in the content. |
© 2024 by the authors. Licensee MDPI, Basel, Switzerland. This article is an open access article distributed under the terms and conditions of the Creative Commons Attribution (CC BY) license (https://creativecommons.org/licenses/by/4.0/).
Share and Cite
Li, X.; Ni, X.; Zhang, J. The Chain-Mediating Effects of Mindfulness and Sense of Control on Corporate Employees’ Mental Health Problems. Behav. Sci. 2024, 14, 654. https://doi.org/10.3390/bs14080654
Li X, Ni X, Zhang J. The Chain-Mediating Effects of Mindfulness and Sense of Control on Corporate Employees’ Mental Health Problems. Behavioral Sciences. 2024; 14(8):654. https://doi.org/10.3390/bs14080654
Chicago/Turabian StyleLi, Xiaoran, Xiaoli Ni, and Juguo Zhang. 2024. "The Chain-Mediating Effects of Mindfulness and Sense of Control on Corporate Employees’ Mental Health Problems" Behavioral Sciences 14, no. 8: 654. https://doi.org/10.3390/bs14080654
APA StyleLi, X., Ni, X., & Zhang, J. (2024). The Chain-Mediating Effects of Mindfulness and Sense of Control on Corporate Employees’ Mental Health Problems. Behavioral Sciences, 14(8), 654. https://doi.org/10.3390/bs14080654

