Stress Control in Older People through Healing Garden Activities
Abstract
1. Introduction
2. Materials and Methods
2.1. Participants
2.2. Experimental Procedures
2.2.1. Healing Garden Activity Program
2.2.2. Measuring Tool
2.3. Statistical Analysis
3. Results
3.1. Test for Homogeneity between Gardening Group and Control Group
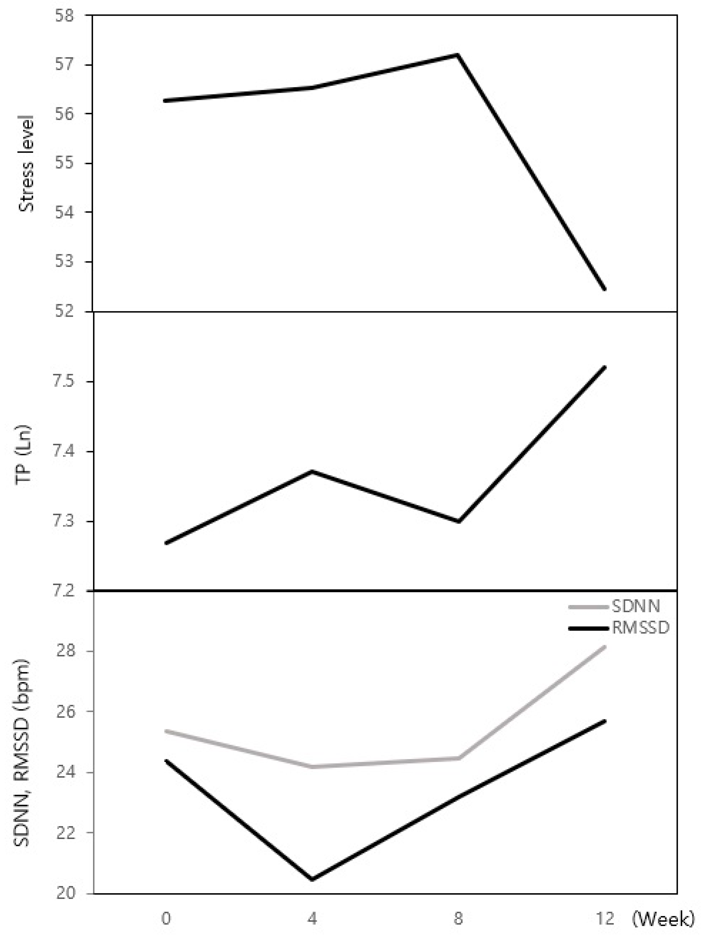
3.2. Changes in Stress and TP, SDNN, and RMSSD of the Gardening Group
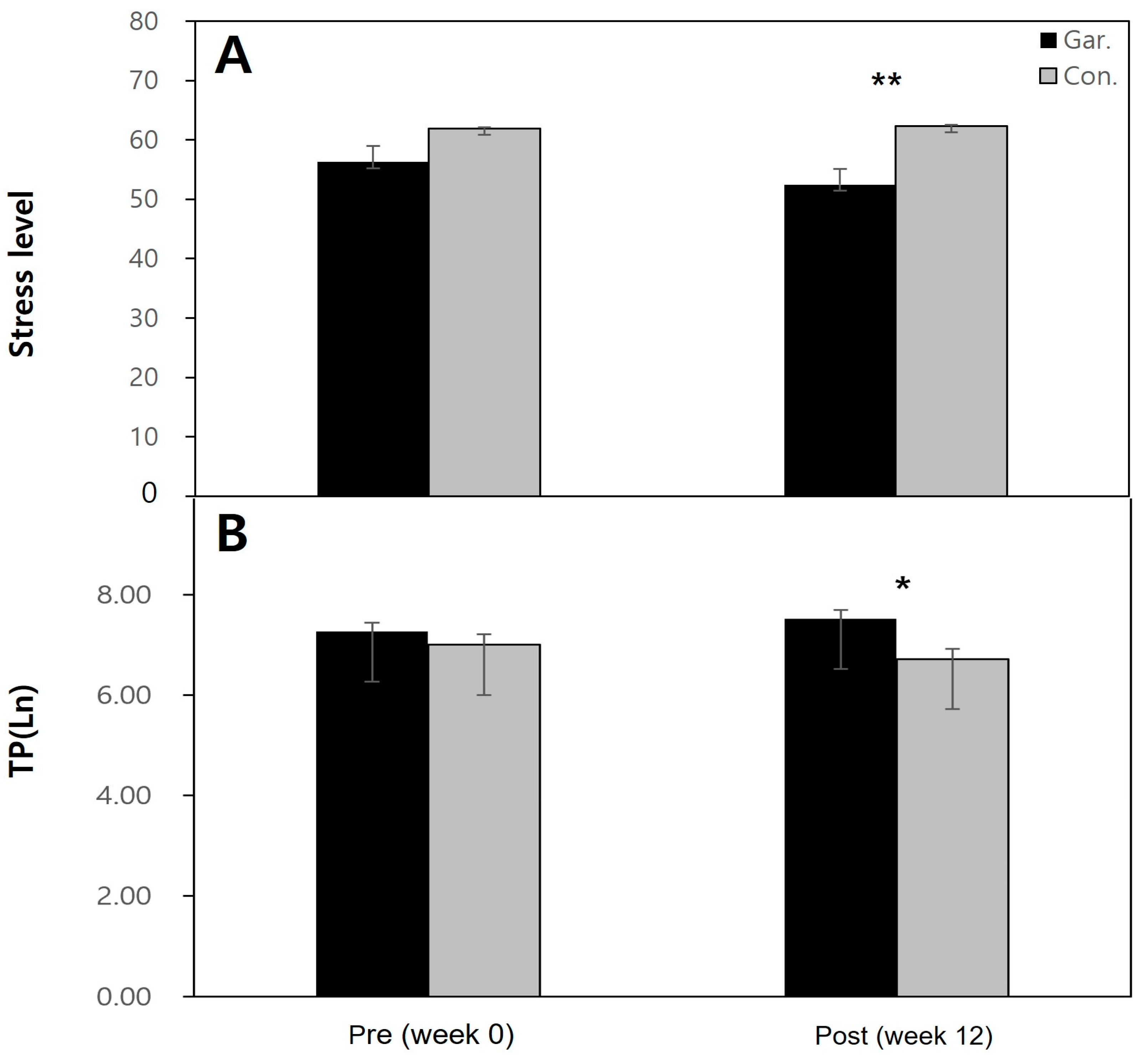
3.3. Changes after the Program in the Gardening Group and Control Group
4. Discussion
Author Contributions
Funding
Institutional Review Board Statement
Informed Consent Statement
Data Availability Statement
Conflicts of Interest
References
- Korean Statistical Information Service. Available online: https://kosis.kr/statHtml/statHtml.do?orgId=109&tblId=DT_109006_I015&conn_path=I2 (accessed on 5 February 2024).
- Ulrich, R.S. Effects of gardens on health outcomes: Theory and research. In Healing Gardens: Therapeutic Benefits and Design Recommendation; Chapter I; Marcus, C.C., Barnes, M., Eds.; Whiley: New York, NY, USA, 1999. [Google Scholar]
- American Psychological Association. Available online: https://www.apa.org/topics/stress/health (accessed on 22 February 2024).
- Camh. Available online: https://www.camh.ca/en/health-info/mental-illness-and-addiction-index/stress (accessed on 23 February 2024).
- Gameiro, G.R.; Minguini, I.P.; Alves, T.C.T.F. The role of stress and life events in the onset of depression in the elderly. Rev. Med. 2014, 93, 31–40. [Google Scholar]
- Lee, I.J. The Effects of stressors and coping on depression of the oldest old. Health Soc. Welfare Rev. 2014, 34, 264–294. [Google Scholar] [CrossRef]
- Lee, Y.H.; Park, J.S. Effects of a stress management program on perceived stress, depression, and somatic symptom in the elderly. J. Korean Acad. Soc. Home Health Care Nurs. 2010, 17, 127–134. [Google Scholar]
- Shahrad, A. What Are the Design Principles of Healing Gardens: For People Who Are Suffering from Stress-Related Diseases? Second Cycle, A2E. Alnarp: SLU, Landscape Architecture. 2013. Available online: http://urn.kb.se/resolve?urn=urn:nbn:se:slu:epsilon-s-2031 (accessed on 7 January 2024).
- Rimmer, L. The clinical use of aromatherapy in the reduction of stress. Home Health Nurse 1998, 16, 123–126. [Google Scholar] [CrossRef]
- Styles, J.L. The use of aromatherapy in hospitalized children with HIV disease. Complement Ther. Nurs. Midwifery 1997, 3, 16–20. [Google Scholar] [CrossRef]
- Kaplan, S. The restorative benefits of nature: Toward an integrative framework. J. Environ. Psycho. 1995, 15, 169–182. [Google Scholar] [CrossRef]
- Yoon, S.Y.; Kim, H.Y. Effect of the Horticultural Therapy on Hand Function of Demented Elders. Korean J. Hortic. Sci. Technol. 2009, 27, 673–677. [Google Scholar]
- Choi, Y.A. Horticultural Therapy; Hakjisa: Seoul, Republic of Korea, 2003; pp. 23–46. [Google Scholar]
- Kwon, O.G.; Lee, J.K. A Study on Therapy Garden of Nursing Homes. J. Korea Inst. Spat. Des. 2019, 14, 265–277. [Google Scholar] [CrossRef]
- Lee, S.D.; Kim, J.Y.; Kim, K.T.; Beon, M.G.; Kim, S.H.; Park, D.I. The study on the activity of autonomic nerve system by using HRV on neurosis. J. Int. Korean Med. 2016, 1–6. [Google Scholar]
- Lee, A.R. Study on the Effects of Aromatherapy on the Stress Related Changes in the Autonomic Nerve System of the Middle-Age Working Women. Ph.D. Thesis, University of Seokyeon, Seoul, Republic of Korea, 27 May 2014. [Google Scholar]
- Welltory. Available online: https://help.welltory.com/en/articles/3878862-frequency-domain-scores-of-your-heart-rate-variability (accessed on 13 February 2024).
- Choi, W.J.; Lee, B.C.; Jeong, K.S.; Lee, Y.J. Minimum Measurement Time Affecting the Reliability of the Heart Rate Variability Analysis. Korean J. Health Promot. 2017, 17, 269–274. [Google Scholar] [CrossRef]
- Jang, E.H.; Kim, A.Y.; Yu, H.Y. Relationships of psychological factors to stress and heart rate variability as stress responses induced by cognitive stressors. Korean Soc. Emot. Sensib. 2018, 21, 71–82. [Google Scholar] [CrossRef]
- You, M.O.; Bae, M.J. Effects of music therapy on autonomous nerve balance of human body by Arirang singing. J. Naturop. 2015, 4, 1–9. [Google Scholar]
- Kim, D.G.; Jung, J.S. Relationship among daily stress, perceived health, and successful aging of older people participating in physical activity. J. Sport Leis. Stud. 2013, 54, 913–924. [Google Scholar] [CrossRef]
- Mustafa, Z. News-Medical. Available online: https://www.news-medical.net/health/How-does-Stress-Affect-Your-Immune-System.aspx (accessed on 13 February 2024).
- Han, S.H. Effects of aromatherapy on headache, stress, and immune response of students with tension-type headache. JKASNE 2008, 14, 273–281. [Google Scholar]
- Van Den Berg, A.E.; Custers, M.H.G. Gardening Promotes Neuroendocrine and Affective Restoration from Stress. J. Health Psychol. 2011, 16, 3–11. [Google Scholar] [CrossRef] [PubMed]
- Lee, G.Y.; Jung, H.J.; Woo, M.J. Are athletes with high physical anxiety more vulnerable to stress? J. Sport Leis. Stud. 2022, 90, 215–225. [Google Scholar] [CrossRef]
- Chang, S.J.; Koh, S.B.; Choi, H.R.; Woo, J.M.; Cha, B.S.; Park, J.K.; Chen, Y.H.; Chung, H.K. Job Stress, heart rate variability and metabolic syndrome. AOEM 2004, 16, 70–81. [Google Scholar] [CrossRef]
- Jeong, Y.O.; Lee, J.H. The influence of in-classroom horticultural activities on the reduction of elementary school students aggression and stress. J. Korean Pract. Arts Educ. 2009, 22, 151–172. [Google Scholar]
- Heo, D.G. Effect of meditation program on stress response reduction of the elderly. J. Korea Contents Assoc. 2009, 9, 232–240. [Google Scholar] [CrossRef][Green Version]
- Scott, T.L.; Masser, B.M.; Pachana, N.A. Positive aging benefits of home and community gardening activities: Older adults report enhanced self-esteem, productive endeavours, social engagement and exercise. SAGE Open Med. 2020, 8. [Google Scholar] [CrossRef]
- Kaplan, R.; Kaplan, S. The Experience of Nature: A Psychological Perspective; Cambridge University Press: Cambridge, UK, 1989; pp. 150–174. [Google Scholar]
- Shao, Y.; Elsadek, M.; Liu, B. Horticultural Activity: Its Contribution to Stress Recovery and Wellbeing for Children. Int. J. Environ. Res. Public Health 2020, 17, 1229. [Google Scholar] [CrossRef] [PubMed]



| Class | Topic | Garden Activities and Test for Stress | Healing Effect |
|---|---|---|---|
| 1 | We met on the green | Program orientation and pre-test (u-Bio) Introductions A tour of the garden | Rapport formation |
| 2 | A budding seed in my heart | Fertilizing the garden planting annuals A plant that resembles my heart | Improved athletic performance and cognitive ability. |
| 3 | Herbs and Flowers | Planting herbs and edible flowers Showing off my pet plants | Improved athletic performance, comfort, psychological stability, and self-esteem. |
| 4 | Beautiful, my life | Taking care of the garden and my heart Making a terrarium Week 4 u-Bio test | Improved activity and tactile ability |
| 5 | A scented day | Walking in the herb garden My favorite scent/making herb soap | Psychological stability; improved perception |
| 6 | Forest is my friend | Forest meditation Taking care of the garden | Recognition of seasonal and temporal changes; strengthening cardiopulmonary function |
| 7 | Flavor and coolness | Cooking with herbs and edible flowers Sharing food | The joy of harvest; reminiscing about the past |
| 8 | The growing number of green friends | Greenwood cutting Taking care of the garden Week 8 u-Bio test | Improved athletic performance and orientation. |
| 9 | I’m a flower | Cutting flowers in the garden Arranging flowers/showing my flowers | The joy of harvest; the sense of the season |
| 10 | The pigments of flowers | Dyeing scarves with natural dyes Talking about my color | Improved visual ability and change in perception. |
| 11 | Mini my garden | Making a succulent garden Taking care of the garden | Improved athletic performance, concentration, and orientation. |
| 12 | A heart-sharing garden | Taking care of the garden Creating a natural object frame Week 12 u-Bio test | Improved athletic performance and gratitude. |
| Demographics | Gardening N (%) | Control N (%) | Χ2 | p | |
|---|---|---|---|---|---|
| Gender | Male | 3 (27.3) | 3 (27.3) | 4.545 | 0.682 |
| Female | 8 (72.7) | 8 (72.7) | |||
| Marital status | Unmarried | 1 (9.1) | 0 (0.0) | 1.048 | 0.306 |
| Married | 10 (90.9) | 11 (100) | |||
| Age (years old) | 60 to 69 | 8 (72.7) | 6 (54.5) | 0.786 | 0.375 |
| 70 to 79 | 3 (27.3) | 5 (45.5) | |||
| 80 to 89 | 0 (0.0) | 0 (0.0) | |||
| Education | High school graduate | 5 (45.5) | 9 (81.8) | 5.143 | 0.162 |
| Collage graduate | 4 (36.3) | 0 (0.0) | |||
| University graduate | 1 (9.1) | 1 (9.1) | |||
| Master’s or higher degree | 1 (9.1) | 1 (9.1) | |||
| Work Experience (years) | Less than 3 | 2 (18.1) | 0 (0.0) | 3.867 | 0.424 |
| 4 to 7 | 1 (9.2) | 2 (18.1) | |||
| 8 to 12 | 3 (27.3) | 6 (54.5) | |||
| 12 to 20 | 2 (18.1) | 1 (9.1) | |||
| More than 21 | 3 (27.3) | 2 (18.1) | |||
| Stress Level Indicator | Almost no stress (>25) | 0 (0.0) | 0 (0.0) | 5.200 | 0.158 |
| Temporary stress (26 to 35) | 1 (9.1) | 0 (0.0) | |||
| Initial stress (36 to 45) | 0 (0.0) | 1 (9.1) | |||
| Tolerance stress (46 to 59) | 7 (63.6) | 3 (27.3) | |||
| Chronic stress (<60) | 3 (27.3) | 7 (63.6) | |||
| Analysis | Gardening | Control | z | p |
|---|---|---|---|---|
| Stress Level | 56.26 ± 10.54 w | 61.87 ± 10.55 | −1.22 | 0.22 NS |
| TP z | 7.27 ± 0.74 | 7.01 ± 0.84 | −0.85 | 0.39 NS |
| SDNN y | 25.34 ± 10.74 | 22.22 ±10.06 | −0.69 | 0.49 NS |
| RMSSD x | 24.36 ± 19.74 | 17.93 ± 9.93 | −1.28 | 0.20 NS |
| Analysis | Pre (Week 0) | Week 4 | Week 8 | Post (Week 12) | F | p |
|---|---|---|---|---|---|---|
| M ± SD | M ± SD | M ± SD | M ± SD | |||
| Stress Level | 56.26 ± 10.54 w | 56.53 ± 13.22 | 57.21 ± 9.71 | 52.44 ± 12.84 | 2.55 | 0.13 NS |
| TP z | 7.27 ± 0.74 | 7.37 ± 0.65 | 7.30 ± 0.49 | 7.52 ± 0.57 | 0.49 | 0.70 NS |
| SDNN y | 25.34 ± 10.74 | 24.17 ± 14.69 | 24.46 ± 7.17 | 28.12 ± 11.55 | 0.93 | 0.47 NS |
| RMSSD x | 24.36 ± 19.74 | 20.46 ± 14.34 | 23.20 ± 10.54 | 25.70 ± 15.63 | 1.09 | 0.41 NS |
| Analysis | Gardening | Control | z | p |
|---|---|---|---|---|
| Stress Level | 52.44 ± 12.84 w | 65.28 ± 6.92 | −2.66 | 0.008 ** |
| TP z | 7.52 ± 0.57 | 6.72 ± 0.66 | −2.30 | 0.022 * |
| SDNN y | 28.12 ± 11.54 | 22.01 ± 8.94 | −1.02 | 0.31 NS |
| RMSSD x | 25.70 ± 15.63 | 19.60 ± 12.37 | −1.28 | 0.20 NS |
Disclaimer/Publisher’s Note: The statements, opinions and data contained in all publications are solely those of the individual author(s) and contributor(s) and not of MDPI and/or the editor(s). MDPI and/or the editor(s) disclaim responsibility for any injury to people or property resulting from any ideas, methods, instructions or products referred to in the content. |
© 2024 by the authors. Licensee MDPI, Basel, Switzerland. This article is an open access article distributed under the terms and conditions of the Creative Commons Attribution (CC BY) license (https://creativecommons.org/licenses/by/4.0/).
Share and Cite
Kim, S.-H.; Seo, J.-B.; Ryu, B.-Y. Stress Control in Older People through Healing Garden Activities. Behav. Sci. 2024, 14, 234. https://doi.org/10.3390/bs14030234
Kim S-H, Seo J-B, Ryu B-Y. Stress Control in Older People through Healing Garden Activities. Behavioral Sciences. 2024; 14(3):234. https://doi.org/10.3390/bs14030234
Chicago/Turabian StyleKim, Sun-Hee, Joo-Bong Seo, and Byung-Yeol Ryu. 2024. "Stress Control in Older People through Healing Garden Activities" Behavioral Sciences 14, no. 3: 234. https://doi.org/10.3390/bs14030234
APA StyleKim, S.-H., Seo, J.-B., & Ryu, B.-Y. (2024). Stress Control in Older People through Healing Garden Activities. Behavioral Sciences, 14(3), 234. https://doi.org/10.3390/bs14030234
