The Effect of Time Monitoring on the Development of Time-Based Prospective Memory among Children Aged 7–11 Years Old
Abstract
1. Introduction
2. Experiment 1: The Development of Different Types of TBPM in Children Aged 7–11 Years
2.1. Participants
2.2. Experimental Design and Materials
2.3. Experimental Task
2.3.1. Time-Based Prospective Memory Task
2.3.2. Ongoing Task
2.3.3. Experimental Procedures
2.4. Scoring
2.5. Results Analysis
2.5.1. PM Performance
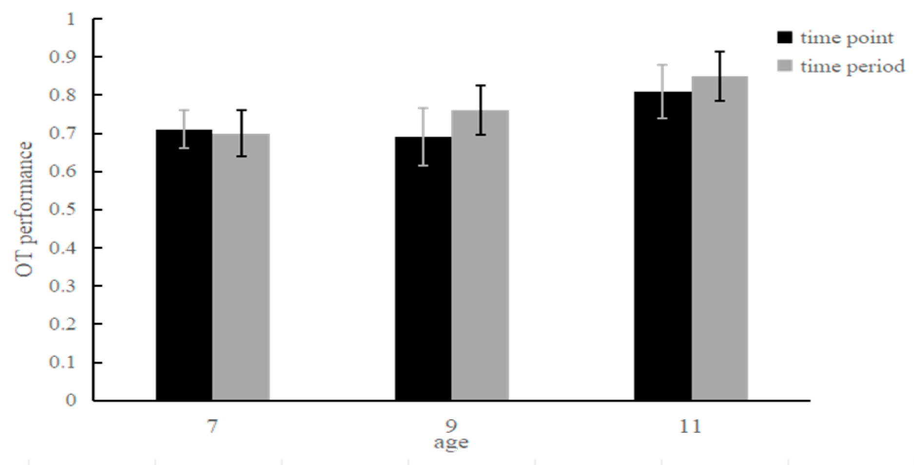
2.5.2. OT Performance
2.5.3. Monitoring Frequency
3. Experiment 2: The Development of TBPM in Children Aged 7–11 Years under Different Monitoring Frequencies
3.1. Participants
3.2. Experimental Design and Materials
3.3. Experimental Task
3.3.1. Time-Based Prospective Memory Task
3.3.2. Ongoing Task
3.3.3. Experimental Procedure
3.4. Scoring Methods
3.5. Results Analysis
3.5.1. PM Performance
3.5.2. OT Performance
3.5.3. Monitoring Frequency
4. Discussion
4.1. The Development Trend of TBPM among School-Age Children
4.2. The Role of Time Monitoring in the TBPM Development of School-Age Children
5. Conclusions
Author Contributions
Funding
Institutional Review Board Statement
Informed Consent Statement
Data Availability Statement
Conflicts of Interest
References
- Cona, G.; Santacesaria, P.; Scarpazza, C. Envisioning the future: An ALE meta-analysis on neural correlates of future thinking, prospective memory and delay discounting. Neurosci. Biobehav. Rev. 2023, 153, 105355. [Google Scholar] [CrossRef]
- Einstein, G.; Mcdaniel, M. Normal aging and prospective memory. J. Exp. Psychol. Learn. Mem. Cogn. 1990, 16, 717–726. [Google Scholar] [CrossRef]
- Wang, Y.; Yu, H.; Ren, Z.; Wang, L. Effect of covered cues on time-based prospective memory. Psychol. Res. 2024, 17, 15–25. [Google Scholar]
- Hasher, L.; Zacks, R.T. Working memory, comprehension, and aging: A review and a new view. Psychol. Learn. Motiv. 1988, 22, 193–225. [Google Scholar]
- Smith, R.E. The cost of remembering to remember in event based prospective memory: Investigating the capacity demands of delayed intention performance. J. Exp. Psychol. Learn. Mem. Cogn. 2003, 29, 347–361. [Google Scholar] [CrossRef] [PubMed]
- Smith, R.E.; Hunt, R.R.; McVay, J.C.; McConnell, M.D. The cost of event-based prospective memory: Salient target events. J. Exp. Psychol. Learn. Mem. Cogn. 2007, 33, 734–746. [Google Scholar] [CrossRef]
- Scullin, M.K.; McDaniel, M.A.; Einstein, G.O. Control of Cost in Prospective Memory: Evidence for Spontaneous Retrieval Processes. J. Exp. Psychol. Learn. Mem. Cogn. 2010, 36, 190–203. [Google Scholar] [CrossRef]
- Heathcote, A.; Loft, S.; Remington, R.W. Slow down and remember to remember! A delay theory of prospective memory costs. Psychol. Rev. 2015, 122, 376–410. [Google Scholar] [CrossRef]
- Strickland, L.; Heathcote, A.; Remington, R.W.; Loft, S. Accumulating evidence about what prospective memory costs actually reveal. J. Exp. Psychol. Learn. Mem. Cogn. 2017, 43, 1616–1629. [Google Scholar] [CrossRef] [PubMed]
- Ceci, S.J.; Bronfenbrenner, U. ‘Don’t forget to take the cupcakes out of the oven’: Prospective memory, strategic time-monitoring, and contrast. Child Dev. 1985, 56, 152–164. [Google Scholar] [CrossRef] [PubMed]
- Kerns, K.A. The CyberCruiser: An investigation of development of prospective memory inchildren. J. Int. Neuropsychol. Soc. 2000, 6, 62–70. [Google Scholar] [CrossRef]
- Mackinlay, R.J.; Kliegel, M.; Mäntylä, T. Predictors of time-based prospective memory in children. J. Exp. Child Psychol. 2009, 102, 251–264. [Google Scholar] [CrossRef] [PubMed]
- Zuber, S.; Mahy, C.E.V.; Kliegel, M. How executive functions are associated with event-based and time-based prospective memory during childhood. Cogn. Dev. 2019, 50, 66–79. [Google Scholar] [CrossRef]
- Voigt, B.; Aberle, I.; Schönfeld, J.; Kliegel, M. Time-based prospective memory in school-children-the role of self-initiation and strategic time-monitoring. Z. Psychol. J. Psychol. 2011, 219, 92–99. [Google Scholar] [CrossRef]
- Yang, T.-X.; Chan, R.C.K.; Shum, D. The development of prospective memory intypically developing children. Neuropsychology 2011, 25, 342–352. [Google Scholar] [CrossRef] [PubMed]
- Zuber, S.; Haas, M.; Framorando, D.; Ballhausen, N.; Gillioz, E.; Künzi, M.; Kliegel, M. The Geneva Space Cruiser: A fully selfadministered online tool to assess prospective memory across the adult lifespan. Memory 2021, 30, 117–132. [Google Scholar] [CrossRef] [PubMed]
- Nigro, G.; Senese, V.P.; Natullo, O.; Sergi, I. Preliminary remarks on type of taskand delay in children’s prospective memory. Percept. Mot. Ski. 2002, 95, 515–519. [Google Scholar] [CrossRef] [PubMed]
- Mäntylä, T.; Grazia Carelli, M.; Forman, H. Time monitoring and executive functioning in children and adults. J. Exp. Child Psychol. 2007, 96, 1–19. [Google Scholar] [CrossRef] [PubMed]
- Einstein, G.O.; Richardson, S.L.; Guynn, M.J.; Cunfer, A.R.; McDaniel, M.A. Aging and prospective memory: Examining the influences of self-initiated retrieval-processes. J. Exp. Psychol. Learn. Mem. Cogn. 1995, 21, 996–1007. [Google Scholar] [CrossRef]
- Guynn, M.J. Theory of strategic monitoring: Instantiating a retrieval mode and periodic target checking. In Prospective Memory: Cognitive, Neuroscience, Developmental, and Applied Perspectives; Taylor & Francis Group/Lawrence Erlbaum Associates: Oxfordshire, UK, 2008; pp. 53–76. [Google Scholar]
- Harris, J.E.; Wilkins, A.J. Remember to do things: A theoretical framework and an illustrative experiment. Hum. Learn. 1982, 1, 123–136. [Google Scholar]
- Kretschmer, A.; Voigt, B.; Friedrich, S.; Pfeiffer, K.; Kliegel, M. Time-based prospectivememory in young children—Exploring executive functions as a developmental mechanism. Child Neuropsychol. 2014, 20, 662–676. [Google Scholar] [CrossRef]
- Mahy, C.E.V. The development of children’s prospective memory: Lessons for developmental science. Child Dev. Perspect. 2022, 16, 41–47. [Google Scholar] [CrossRef]
- Mioni, G.; Stablum, F. Monitoring behaviour in a time-based prospective memory task: The involvement of executive functions and time perception. Memory 2014, 22, 536–552. [Google Scholar] [CrossRef] [PubMed]
- Zinke, K.; Altgassen, M.; Mackinlay, R.J.; Rizzo, P.; Drechsler, R.; Kliegel, M. Time-based prospective memory performance and time-monitoring in children with ADHD. Child Neuropsychol. 2010, 16, 338–349. [Google Scholar] [CrossRef] [PubMed]
- Voigt, B.; Mahy, C.E.V.; Ellis, J.; Schnitzspahn, K.; Krause, I.; Altgassen, M. Thedevelopment of time-based prospective memory in childhood: The role of working memoryupdating. Dev. Psychol. 2014, 50, 2393–2404. [Google Scholar] [CrossRef]
- Henry, J.D.; MacLeod, M.S.; Phillips, L.H.; Crawford, J.R. A meta-analytic review of prospective memory and aging. Psychol. Aging 2004, 19, 27–39. [Google Scholar] [CrossRef]
- Huang, T.; Loft, S.; Humphreys, M.S. Internalizing versus externalizing control: Different ways to perform a time-based prospective memory Task. J. Exp. Psychol. Learn. Mem. Cogn. 2014, 40, 1064–1071. [Google Scholar] [CrossRef]
- Jäger, T.; Kliegel, M. Time-based and event-based prospective memory across adulthood:Underlying mechanisms and differential costs on the ongoing task. J. Gen. Psychol. 2008, 135, 4–22. [Google Scholar] [CrossRef]
- Mioni, G.; Grondin, S.; McLennan, S.N.; Stablum, F. The role of time-monitoring behaviour in time-based prospective memory performance in younger and older adults. Memory 2020, 28, 34–48. [Google Scholar] [CrossRef]
- Joly-Burra, E.; Haas, M.; Laera, G.; Ghisletta, P.; Kliegel, M.; Zuber, S. Frequency and strategicness of clock-checking explain detrimental age effects in time-based prospective memory. Psychol. Aging 2022, 37, 637–648. [Google Scholar] [CrossRef] [PubMed]
- McFarland, C.P.; Glisky, E.L. Frontal lobe involvement in a task of time-based prospective memory. Neuropsychologia 2009, 47, 1660–1669. [Google Scholar] [CrossRef]
- Maylor, E.A.; Smith, G.; Della Sala, S.; Logie, R.H. Prospective and retrospective memory in normal aging and dementia: An experimental study. Mem. Cogn. 2002, 30, 871–884. [Google Scholar] [CrossRef]
- Maylor, E.A. Age and prospective memory. Q. J. Exp. Psychol. A 1990, 42, 471–493. [Google Scholar] [CrossRef]
- Phillips, L.H.; Henry, J.D.; Martin, M. Adult Aging and Prospective Memory: The Importance of Ecological Validity; Kliegel, M., McDaniel, M.A., Einstein, G.O., Eds.; Erlbaum: Mahwah, NJ, USA, 2008; pp. 161–181. [Google Scholar]
- Rendell, P.G.; Craik, F.I. Virtual week and actual week: Age-related differences in prospective memory. Appl. Cogn. Psychol. 2000, 14, S43–S62. [Google Scholar] [CrossRef]
- Rose, N.; Rendell, P.; McDaniel, M.; Aberle, I.; Kliegel, M. Age and individual differences in prospective memory during a ‘‘virtual week’’: The roles of working memory, vigilance, task regularity, and cue focality. Psychol. Aging 2010, 25, 595–605. [Google Scholar] [CrossRef]
- Einstein, G.O.; Mcdaniel, M.A.; Thomas, R.; Mayfield, S.; Shank, H.; Morrisette, N.; Breneiser, J. Multiple processes in prospective memory retrieval: Factors determining monitoring versus spontaneous retrieval. J. Exp. Psychol. Gen. 2005, 134, 327–342. [Google Scholar] [CrossRef]
- Einstein, G.O.; McDaniel, M.A. Prospective memory multiple retrieval processes. Curr. Dir. Psychol. Sci. 2005, 14, 286–290. [Google Scholar] [CrossRef]
- Kliegel, M.; Mackinlay, R.; Jäger, T. Complex prospective memory: Development across the lifespan and the role of task interruption. Dev. Psychol. 2008, 44, 612–617. [Google Scholar] [CrossRef] [PubMed]
- Haines, S.J.; Randall, S.E.; Terrett, G.; Busija, L.; Tatangelo, G.; McLennan, S.N.; Rose, N.S.; Kliegel, M.; Henry, J.D.; Rendell, P.G. Differences in time-based task characteristics help to explain the age prospective memory paradox. Cognition 2020, 202, 104350. [Google Scholar] [CrossRef] [PubMed]
- Guo, Y.; Huang, X. Time-based prospective memory has plasticity in behavior under different monitoring conditions. Curr. Psychol. 2019, 40, 3386–3392. [Google Scholar] [CrossRef]
- Schmidt, N.; Haas, M.; Krebs, C.; Klöppel, S.; Kliegel, M.; Peter, J. Clock monitoring is associated with age-related decline in time-based prospective memory. Curr. Psychol. 2023, 42, 18333–18340. [Google Scholar] [CrossRef]
- Gonneaud, J.; Kalpouzos, G.; Bon, L.; Viader, F.; Eustache, F.; Desgranges, B. Distinctandshared cognitive functions mediate event- and time-based prospective memory impairment in normal ageing. Memory 2011, 19, 360–377. [Google Scholar] [CrossRef]
- Aberle, I.; Rendell, P.G.; Rose, N.S.; McDaniel, M.A.; Kliegel, M. The age prospective memory paradox: Young adults may not give their best outside of the lab. Dev. Psychol. 2010, 46, 1444–1453. [Google Scholar] [CrossRef]
- Mattli, F.; Zöllig, J.; West, R. Age-related differences in the temporal dynamics of prospective memory retrieval: A lifespan approach. Neuropsychologia 2011, 49, 3494–3504. [Google Scholar] [CrossRef] [PubMed]
- Maylor, E.A.; Logie, R.H. A large-scale comparison of prospective and retrospective memory development from childhood to middle age. Q. J. Exp. Psychol. 2010, 63, 442–451. [Google Scholar] [CrossRef] [PubMed]
- Rendell, P.G.; Vella, M.J.; Kliegel, M.; Terrett, G. Effect of delay on children’s delay-execute prospective memory performance. Cogn. Dev. 2009, 24, 156–168. [Google Scholar] [CrossRef]
- Zimmermann, T.D.; Meier, B. The rise and decline of prospective memory performanceacross the lifespan. Q. J. Exp. Psychol. 2006, 59, 2040–2046. [Google Scholar] [CrossRef]
- Zöllig, J.; West, R.; Martin, M.; Altgassen, M.; Lemke, U.; Kliegel, M. Neural correlates of prospective memory across the lifespan. Neuropsychologia 2007, 45, 3299–3314. [Google Scholar] [CrossRef] [PubMed]
- Zöllig, J.; Martin, M.; Kliegel, M. Forming intentions successfully: Differential compensational mechanisms of adolescents and old adults. Cortex 2010, 46, 575–589. [Google Scholar] [CrossRef]
- Kliegel, M.; Mahy, C.E.V.; Voigt, B.; Henry, J.D.; Rendell, P.G.; Aberle, I. The development of prospective memory in young schoolchildren: The impact of ongoing task absorption, cue salience, and cue centrality. J. Exp. Child Psychol. 2013, 116, 792–810. [Google Scholar] [CrossRef]
- Kvavilashvili, L.; Messer, D.J.; Ebdon, P. Prospective memory in children: The effects of age and task interruption. Dev. Psychol. 2001, 37, 418–430. [Google Scholar] [CrossRef]
- Best, J.R.; Miller, P.H. A Developmental Perspective on Executive Function. Child Dev. 2010, 81, 1641–1660. [Google Scholar] [CrossRef] [PubMed]
- Carlson, S.M.; Moses, L.J. Individual differences in inhibitory control and children’s theory of mind. Child Dev. 2010, 72, 1032–1053. [Google Scholar] [CrossRef] [PubMed]
- Davidson, M.C.; Amso, D.; Anderson, L.C.; Diamond, A. Development of cognitive control and executive functions from 4 to 13 years: Evidence from manipulations of memory, inhibition, and task switching. Neuropsychologia 2006, 44, 2037–2078. [Google Scholar] [CrossRef] [PubMed]
- Kliegel, M.; Jäger, T. The effects of age and cue-action reminders on event-based prospective memory performance in preschoolers. Cogn. Dev. 2007, 22, 33–46. [Google Scholar] [CrossRef]
- Chen, Y.Z.; Huang, X.T.; Yuan, H. Processing mechanisms underlying a mixed prospective memory. Acta Psychol. Sin. 2011, 42, 1040–1049. [Google Scholar] [CrossRef]
- Chen, Y.; Meng, Y.; Yuan, H.; Yang, L. Neural correlates of the interference effect of a type of mixed prospective memory. J. Psychol. Sci. 2014, 37, 1073–1078. [Google Scholar]
- Cona, G.; Arcara, G.; Tarantino, V.; Bisiacchi, P.S. Electrophysiological correlates of strategic monitoring in eventbased and time-based prospective memory. PLoS ONE 2012, 7, e31659. [Google Scholar] [CrossRef]
- Cook, G.I.; Marsh, R.L.; Hicks, J.L. Associating a time-based prospective memory task with an expected context can improve or impair intention completion. Appl. Cogn. Psychol. 2005, 19, 345–360. [Google Scholar] [CrossRef]
- Gan, J.; Guo, Y. The cognitive mechanism of the practice effect of time-based prospective memory: The role of time estimation. Front. Psychol. 2019, 10, 2780. [Google Scholar] [CrossRef]
- Mcbride, D.M.; Flaherty, M. Comparing costs in time-based and event-based prospective memory. Memory 2020, 28, 918–925. [Google Scholar] [CrossRef] [PubMed]
- Conte, A.M.; Mcbride, D.M. Comparing time-based and event-based prospective memory over short delays. Memory 2018, 26, 936–945. [Google Scholar] [CrossRef] [PubMed]
- Redshaw, J.; Henry, J.D.; Suddendorf, T. Disentangling the effect of event-based cues on children’s time-based prospective memory performance. J. Exp. Child Psychol. 2016, 150, 130–140. [Google Scholar] [CrossRef] [PubMed]
- Talbot, K.D.S.; Kerns, K.A. Event-and time-triggered remembering: The impact of attention deficit hyperactivity disorder on prospective memory performance in children. J. Exp. Child Psychol. 2014, 127, 126–143. [Google Scholar] [CrossRef]
- Mioni, G.; Stablum, F.; Biernacki, K.; Rendell, P.G. Virtual Week: Translation and adaptation for the Italian population. Neuropsychol. Rehabil. 2015, 27, 486–506. [Google Scholar] [CrossRef] [PubMed]
- Chen, X.Q.; Zhang, J.J. The model of attentive capacity theories and its new progress. Explor. Psychol. 2003, 23, 24–28. [Google Scholar]









| Authors, Year | Age | TBPM Task |
|---|---|---|
| Ceci and Bronfenbrenner, 1985 [10] | 10–14 | Remove the cake after 45 min. |
| Voige et al., 2011 [14] | 6–10 | Fill up the car with gasoline. |
| Nigro et al., 2002 [17] | 7–11 | Do something at a certain time. |
| Mäntylä et al., 2007 [18] | 8–12 | Press a key every 5 min; |
| Mioni and Stablum, 2014 [24] | 19–34, 60–88 | the key response every five minutes (two monitoring conditions). |
| Mioni et al., 2020 [30] | 22,74 | Virtual Week (Rendell and Craik, 2000) [36]. |
| Joly-Burra et al., 2022 [31] | 19–86 | Each minute button. |
| Guo and Huang, 2019 [42] | 18–24 | Press a key every minute. |
| Haines et al., 2020 [41] | 19–30, 69–86 | Virtual Week. |
| Schmidt et al., 2023 [43] | 62–85 | Press a key every 2 min. |
| Ongoing Task | Monitoring Measures | Relation with PM Performance |
| video game | TCC | TCC |
| electronic driving game | LIC | LIC |
| jigsaw puzzle | TCE | No report |
| Watch the video | TCC and LIC | TCC: no; LIC: yes |
| Watch a movie | TCC, FCC, Index of strategic monitoring | LIC: yes |
| Virtual Week | TCC and FCC | TCC: yes; LIC: yes |
| 2-back | TCC, FCC, relative and absolute frequency | TCC: yes; relative frequency: yes |
| 1-back | TCC, Time difference indicator | Not reported |
| Virtual Week | relative and absolute frequency | Not reported |
| 1-back | TCC and FCC | TCC: yes |
| 7 Years Old | 9 Years Old | 11 Years Old | ||||
|---|---|---|---|---|---|---|
| M | SD | M | SD | M | SD | |
| Time-point PM | 6.85 | 3.34 | 6.95 | 3.65 | 10.45 | 1.93 |
| Time-period PM | 3.45 | 3.64 | 6.15 | 3.12 | 6.15 | 3.65 |
| Time-point OT | 0.71 | 0.11 | 0.69 | 0.14 | 0.81 | 0.11 |
| Time-period OT | 0.70 | 0.13 | 0.76 | 0.17 | 0.86 | 0.98 |
| Time-point relative frequency | 0.37 | 0.17 | 0.48 | 0.10 | 0.59 | 0.14 |
| Time-period relative frequency | 0.14 | 0.18 | 0.23 | 0.20 | 0.26 | 0.20 |
| Time-point absolute frequency | 0.33 | 0.15 | 0.43 | 0.14 | 0.53 | 0.13 |
| Time-period absolute frequency | 0.16 | 0.17 | 0.26 | 0.21 | 0.30 | 0.17 |
| Predictor | β | p | t | |
|---|---|---|---|---|
| TBPM | age | 0.130 | 0.051 | 1.974 |
| TBPM types | 0.092 | 0.247 | 1.164 | |
| relative frequency | 0.723 *** | <0.001 | 11.365 | |
| absolute frequency | 0.111 | 0.457 | 0.756 |
| 7 Years Old | 9 Years Old | 11 Years Old | ||||
|---|---|---|---|---|---|---|
| M | SD | M | SD | M | SD | |
| fixed monitoring TBPM | 5.90 | 2.93 | 7.43 | 2.81 | 8.00 | 2.42 |
| free monitoring TBPM | 5.73 | 3.81 | 6.30 | 3.21 | 9.97 | 2.31 |
| fixed monitoring OT | 0.74 | 0.10 | 0.75 | 0.12 | 0.74 | 0.15 |
| free monitoring OT | 0.74 | 0.13 | 0.74 | 0.14 | 0.73 | 0.13 |
| fixed monitoring relative frequency | 0.21 | 0.16 | 0.25 | 0.14 | 0.49 | 0.21 |
| free monitoring relative frequency | 0.22 | 0.22 | 0.20 | 0.13 | 0.40 | 0.16 |
| fixed monitoring absolute frequency | 0.48 | 0.17 | 0.44 | 0.20 | 0.42 | 0.20 |
| free monitoring absolute frequency | 0.39 | 0.20 | 0.40 | 0.18 | 0.57 | 0.15 |
| Predictor | β | p | t | |
|---|---|---|---|---|
| TBPM | age | 0.369 *** | <0.001 | 5.778 |
| monitoring conditions | 0.033 | 0.629 | 0.484 | |
| relative frequency | −0.001 | 0.992 | −0.011 | |
| absolute frequency | 0.069 | 0.321 | 0.995 |
Disclaimer/Publisher’s Note: The statements, opinions and data contained in all publications are solely those of the individual author(s) and contributor(s) and not of MDPI and/or the editor(s). MDPI and/or the editor(s) disclaim responsibility for any injury to people or property resulting from any ideas, methods, instructions or products referred to in the content. |
© 2024 by the authors. Licensee MDPI, Basel, Switzerland. This article is an open access article distributed under the terms and conditions of the Creative Commons Attribution (CC BY) license (https://creativecommons.org/licenses/by/4.0/).
Share and Cite
Wang, Y.; Ren, Z.; Yue, Y.; Zheng, X.; Zhang, X.; Wang, L. The Effect of Time Monitoring on the Development of Time-Based Prospective Memory among Children Aged 7–11 Years Old. Behav. Sci. 2024, 14, 233. https://doi.org/10.3390/bs14030233
Wang Y, Ren Z, Yue Y, Zheng X, Zhang X, Wang L. The Effect of Time Monitoring on the Development of Time-Based Prospective Memory among Children Aged 7–11 Years Old. Behavioral Sciences. 2024; 14(3):233. https://doi.org/10.3390/bs14030233
Chicago/Turabian StyleWang, Yinya, Zhi Ren, Yaqi Yue, Xi Zheng, Xinyuan Zhang, and Lijuan Wang. 2024. "The Effect of Time Monitoring on the Development of Time-Based Prospective Memory among Children Aged 7–11 Years Old" Behavioral Sciences 14, no. 3: 233. https://doi.org/10.3390/bs14030233
APA StyleWang, Y., Ren, Z., Yue, Y., Zheng, X., Zhang, X., & Wang, L. (2024). The Effect of Time Monitoring on the Development of Time-Based Prospective Memory among Children Aged 7–11 Years Old. Behavioral Sciences, 14(3), 233. https://doi.org/10.3390/bs14030233

