Effect of Banking Time Intervention on Child–Teacher Relationships and Problem Behaviors in China: A Multiple Baseline Design
Abstract
1. Introduction
1.1. The Importance of Positive Child–Teacher Relationships
1.2. Banking Time Intervention
1.3. The Current Study
2. Materials and Methods
2.1. Participants
2.2. Instruments
2.2.1. Student–Teacher Relationship Scale
2.2.2. Conners’ Comprehensive Behavior Rating Scales-Teacher Assessment Report
2.2.3. Child Behavior Observation Form
2.2.4. Child’s Perceived Child–Teacher Relationship Questionnaire
2.2.5. Banking Time Social Validity Questionnaire
2.2.6. Experimental Fidelity Check Form
2.2.7. One-on-One Teacher–Child Interaction: Banking Time Teacher Manual
2.3. Procedure
2.4. Data Analysis
2.4.1. Visual Analysis
2.4.2. Statistical Analysis
2.5. Research Validity
3. Results
3.1. Changes in Child–Teacher Relationships
3.1.1. Changes in Teacher-Perceived Child–Teacher Relationships
3.1.2. Changes in Child-Perceived Child–Teacher Relationships
3.1.3. Summary
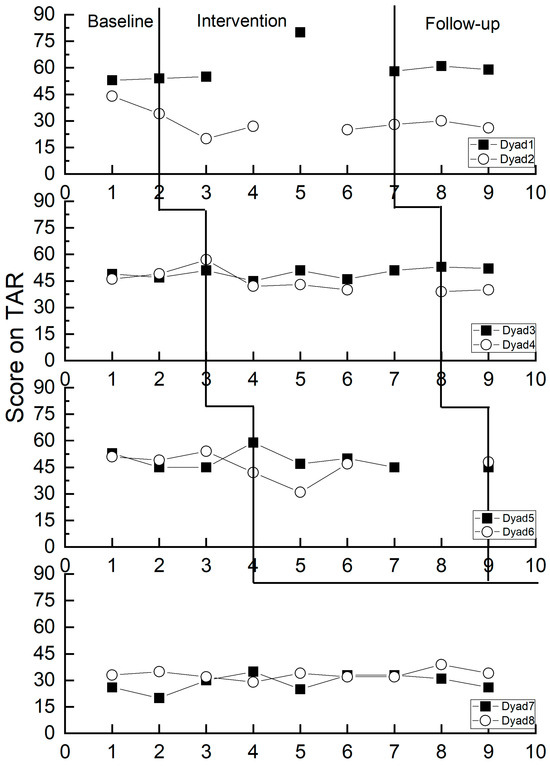
3.2. Changes in Child Problem Behavior
3.2.1. The Changes in Teacher’s Perception of Child Problem Behavior
3.2.2. The Changes in the Researcher’s Perception of Child Problem Behavior
3.2.3. Summary
3.3. Social Validity
4. Discussion
4.1. Limitation of Banking Time
4.2. Differences at the Participant Level
4.3. Implication
4.4. Limitations of This Study
4.5. Future Directions
5. Conclusions
Author Contributions
Funding
Institutional Review Board Statement
Informed Consent Statement
Data Availability Statement
Acknowledgments
Conflicts of Interest
References
- Achenbach, T.M.; McConaughy, S.H.; Howell, C.T. Child/Adolescent Behavioral and Emotional Problems: Implications of Cross-Informant Correlations for Situational Specificity. Psychol. Bull. 1987, 101, 213. [Google Scholar] [CrossRef]
- Basten, M.; Tiemeier, H.; Althoff, R.R.; Van De Schoot, R.; Jaddoe, V.W.V.; Hofman, A.; Hudziak, J.J.; Verhulst, F.C.; Van Der Ende, J. The Stability of Problem Behavior Across the Preschool Years: An Empirical Approach in the General Population. J. Abnorm. Child Psychol. 2016, 44, 393–404. [Google Scholar] [CrossRef]
- Gassman-Pines, A.; Ananat, E.O.; Fitz-Henley, J.; Leer, J. Effect of Daily School and Care Disruptions during the COVID-19 Pandemic on Child Problem behaviors. Dev. Psychol. 2022, 58, 1512–1527. [Google Scholar] [CrossRef]
- Jiao, W.Y.; Wang, L.N.; Liu, J.; Fang, S.F.; Jiao, F.Y.; Pettoello-Mantovani, M.; Somekh, E. Behavioral and Emotional Disorders in Children during the COVID-19 Epidemic. J. Pediatr. 2020, 221, 264–266.e1. [Google Scholar] [CrossRef]
- Schmidt, S.J.; Barblan, L.P.; Lory, I.; Landolt, M.A. Age-Related Effects of the COVID-19 Pandemic on Mental Health of Children and Adolescents. Eur. J. Psychotraumatol. 2021, 12, 1901407. [Google Scholar] [CrossRef]
- Ortega, J.H.; Collado, J.R. La Mediación Didáctica Del Profesorado Italiano de ELE Ante El Desafío Del Confinamiento Domiciliario Por COVID-19. In Proceedings of the Estudios de Lingüística Hispánica; Teorías, Datos, Contextos y Aplicaciones: Una Introducción Crítica; Dykinson: Madrid, Spain, 2022; pp. 1383–1411. [Google Scholar]
- Guerney, L. Child-Centered Play Therapy. Int. J. Play Ther. 2001, 10, 13–31. [Google Scholar] [CrossRef]
- LeBlanc, M.; Ritchie, M. Predictors of Play Therapy Outcomes. Int. J. Play Ther. 1999, 8, 19–34. [Google Scholar] [CrossRef]
- Lyon, A.R.; Gershenson, R.A.; Farahmand, F.K.; Thaxter, P.J.; Behling, S.; Budd, K.S. Effectiveness of Teacher-Child Interaction Training (TCIT) in a Preschool Setting. Behav. Modif. 2009, 33, 855–884. [Google Scholar] [CrossRef]
- Guerney, B., Jr. Filial Therapy: Description and Rationale. J. Consult. Psychol. 1964, 28, 304–310. [Google Scholar] [CrossRef]
- McNeil, C.B.; Hembree-Kigin, T.L. Parent-Child Interaction Therapy; Issues in Clinical Child Psychology; Springer: Boston, MA, USA, 2010; ISBN 978-0-387-88638-1. [Google Scholar]
- Ansari, A.; Hofkens, T.L.; Pianta, R.C. Teacher-Student Relationships across the First Seven Years of Education and Adolescent Outcomes. J. Appl. Dev. Psychol. 2020, 71, 101200. [Google Scholar] [CrossRef]
- Skalická, V.; Belsky, J.; Stenseng, F.; Wichstrøm, L. Reciprocal Relations Between Student–Teacher Relationship and Children’s Problem behaviors: Moderation by Child-Care Group Size. Child Dev. 2015, 86, 1557–1570. [Google Scholar] [CrossRef]
- Berry, D.; O’Connor, E. Behavioral Risk, Teacher–Child Relationships, and Social Skill Development across Middle Childhood: A Child-by-Environment Analysis of Change. J. Appl. Dev. Psychol. 2010, 31, 1–14. [Google Scholar] [CrossRef]
- Doumen, S.; Verschueren, K.; Buyse, E.; Germeijs, V.; Luyckx, K.; Soenens, B. Reciprocal Relations Between Teacher–Child Conflict and Aggressive Behavior in Kindergarten: A Three-Wave Longitudinal Study. J. Clin. Child Adolesc. Psychol. 2008, 37, 588–599. [Google Scholar] [CrossRef] [PubMed]
- Jerome, E.M.; Hamre, B.K.; Pianta, R.C. Teacher–Child Relationships from Kindergarten to Sixth Grade: Early Childhood Predictors of Teacher-perceived Conflict and Closeness. Soc. Dev. 2009, 18, 915–945. [Google Scholar] [CrossRef]
- Pianta, R.C.; Stuhlman, M.W. Teacher-Child Relationships and Children’s Success in the First Years of School. Sch. Psychol. Rev. 2004, 33, 444–458. [Google Scholar] [CrossRef]
- Sabol, T.J.; Pianta, R.C. Recent Trends in Research on Teacher–Child Relationships. Attach. Hum. Dev. 2012, 14, 213–231. [Google Scholar] [CrossRef]
- Ansari, A.; Pianta, R.C.; Whittaker, J.V.; Vitiello, V.E.; Ruzek, E.A. Preschool Teachers’ Emotional Exhaustion in Relation to Classroom Instruction and Teacher-Child Interactions. Early Educ. Dev. 2022, 33, 107–120. [Google Scholar] [CrossRef]
- Corbin, C.M.; Alamos, P.; Lowenstein, A.E.; Downer, J.T.; Brown, J.L. The Role of Teacher-Student Relationships in Predicting Teachers’ Personal Accomplishment and Emotional Exhaustion. J. Sch. Psychol. 2019, 77, 1–12. [Google Scholar] [CrossRef]
- Pianta, R.C. Enhancing Relationships between Children and Teachers; American Psychological Association: Washington, DC, USA, 1999; ISBN 1-55798-542-1. [Google Scholar]
- Pianta, R.C.; Allen, J.P. Building Capacity for Positive Youth Development in Secondary School Classrooms: Changing Teachers’ Interac-tions with Students. In Toward Positive Youth Development: Transforming Schools and Community Programs; Shinn, M., Yoshikawa, H., Eds.; Oxford University Press: New York, NY, USA, 2008; pp. 21–39. ISBN 978-0-19-532789-2. [Google Scholar]
- Brinkmeyer, M.Y.; Eyberg, S.M. Parent-Child Interaction Therapy for Oppositional Children. In Evidence-Based Psy-Chotherapies for Children and Adolescents; Kazdin, A.E., Weisz, J.R., Eds.; The Guilford Press: New York, NY, USA, 2003; pp. 204–223. ISBN 1-57230-683-1. [Google Scholar]
- Pianta, R.C.; Hamre, B.K. STARS Students, Teachers, and Relationship Support: Consultant’s Manual; Psychological Assessment Resources: Lutz, FL, USA, 2001. [Google Scholar]
- Verschueren, K.; Koomen, H.M.Y. Teacher–Child Relationships from an Attachment Perspective. Attach. Hum. Dev. 2012, 14, 205–211. [Google Scholar] [CrossRef]
- Driscoll, K.C.; Pianta, R.C. Banking Time in Head Start: Early Efficacy of an Intervention Designed to Promote Supportive Teacher–Child Relationships. Early Educ. Dev. 2010, 21, 38–64. [Google Scholar] [CrossRef]
- Driscoll, K.C.; Wang, L.; Mashburn, A.J.; Pianta, R.C. Fostering Supportive Teacher–Child Relationships: Intervention Implementation in a State-Funded Preschool Program. Early Educ. Dev. 2011, 22, 593–619. [Google Scholar] [CrossRef] [PubMed]
- Vancraeyveldt, C.; Verschueren, K.; Wouters, S.; Van Craeyevelt, S.; Van Den Noortgate, W.; Colpin, H. Improving Teacher-Child Relationship Quality and Teacher-Rated Behavioral Adjustment Amongst Externalizing Preschoolers: Effects of a Two-Component Intervention. J. Abnorm. Child Psychol. 2015, 43, 243–257. [Google Scholar] [CrossRef] [PubMed]
- Williford, A.P.; LoCasale-Crouch, J.; Whittaker, J.V.; DeCoster, J.; Hartz, K.A.; Carter, L.M.; Wolcott, C.S.; Hatfield, B.E. Changing Teacher–Child Dyadic Interactions to Improve Preschool Children’s Externalizing Behaviors. Child Dev. 2017, 88, 1544–1553. [Google Scholar] [CrossRef]
- Attwood, K.Z. Using Banking Time to Improve Student-Teacher Relationships and Student Behaviors. Ph.D. Dissertation, North Carolina State University, North Carolina, MA, USA, 2005. [Google Scholar]
- Strand Balunis, T.M. Effect of the Banking Time Intervention on Student-Teacher Relationships and Problem Behaviors in Early Childhood. Ph.D. Dissertation, University of Massachusetts Amherst, Amherst, MA, USA, 2016. [Google Scholar]
- Sahin Asi, D. How Banking Time Intervention Works in Turkish Preschool Classrooms for Enhancing Student–Teacher Relationships. ICEP 2019, 13, 3. [Google Scholar] [CrossRef]
- Heainisch, D.A.; Jex, S.M. Measurement of Negative Affectivity: A Comparison of Self-Reports and Observer Ratings. Work Stress 1998, 12, 145–160. [Google Scholar] [CrossRef]
- Dinger, U.; Schauenburg, H.; Hörz, S.; Rentrop, M.; Komo-Lang, M.; Klinkerfuß, M.; Köhling, J.; Grande, T.; Ehrenthal, J.C. Self-Report and Observer Ratings of Personality Functioning: A Study of the OPD System. J. Personal. Assess. 2014, 96, 220–225. [Google Scholar] [CrossRef]
- Sanford, K. Assessing Conflict Communication in Couples: Comparing the Validity of Self-Report, Partner-Report, and Observer Ratings. J. Fam. Psychol. 2010, 24, 165–174. [Google Scholar] [CrossRef]
- McCrae, R.R.; Costa, P.T.; Hřebíčková, M.; Urbánek, T.; Martin, T.A.; Oryol, V.E.; Rukavishnikov, A.A.; Senin, I.G. Age Differences in Personality Traits across Cultures: Self-report and Observer Perspectives. Eur. J. Pers. 2004, 18, 143–157. [Google Scholar] [CrossRef]
- Pianta, R.C.; Nimetz, S. Student-Teacher Relationship Scale; Psychological Assessment Resources: Lutz, FL, USA, 2001. [Google Scholar]
- Zhang, X. The Validation and Reliability Testing of the Teacher-Child Relationship Scale. Chin. J. Clin. Psychol. 2010, 18, 582–583. [Google Scholar] [CrossRef]
- Conners, C.K.; Pitkanen, J.; Rzepa, S.R. Conners Comprehensive Behavior Rating Scale. In Encyclopedia of Clinical Neuropsychology; Kreutzer, J.S., DeLuca, J., Caplan, B., Eds.; Springer: New York, NY, USA, 2011; pp. 678–680. ISBN 978-0-387-79948-3. [Google Scholar]
- Zhu, J.; Wang, Y.; Li, Y. Reliability Test of the Teacher’s Version of the Children’s Behavior Scale in Chinese Preschool Children. Chin. J. Clin. Psychol. 2018, 26, 910–913. [Google Scholar] [CrossRef]
- Robert, P.; Bridget, H.; Amanda, W. Banking Time Educator Manual. Available online: http://www.lookconsultation.org/resources/BankingTime-Resource1.pdf (accessed on 20 May 2022).
- Parker, R.I.; Vannest, K.J.; Davis, J.L.; Sauber, S.B. Combining Nonoverlap and Trend for Single-Case Research: Tau-U. Behav. Ther. 2011, 42, 284–299. [Google Scholar] [CrossRef] [PubMed]
- Parker, R.I.; Vannest, K. An Improved Effect Size for Single-Case Research: Nonoverlap of All Pairs. Behav. Ther. 2009, 40, 357–367. [Google Scholar] [CrossRef] [PubMed]
- Pustejovsky, J.E.; Chen, A. Calculator for Single-Case Effect Sizes. Available online: https://jepusto.github.io/SingleCaseES/#singlecasees-a-calculator-for-single-case-effect-size-indices (accessed on 3 December 2023).
- Landreth, G.L. Play Therapy: The Art of the Relationship; Routledge: London, UK, 2012; ISBN 0-203-83515-8. [Google Scholar]
- Cappella, E.; Jackson, D.R.; Kim, H.Y.; Bilal, C.; Holland, S.; Atkins, M.S. Implementation of Teacher Consultation and Coaching in Urban Schools: A Mixed Method Study. Sch. Ment. Health 2016, 8, 222–237. [Google Scholar] [CrossRef] [PubMed]
- Durlak, J.A.; DuPre, E.P. Implementation Matters: A Review of Research on the Influence of Implementation on Program Outcomes and the Factors Affecting Implementation. Am. J. Comm. Psychol. 2008, 41, 327–350. [Google Scholar] [CrossRef]
- Chen, W.; Tanaka, E.; Watanabe, K.; Tomisaki, E.; Watanabe, T.; Wu, B.; Anme, T. The Influence of Home-Rearing Environment on Children’s Problem behaviors 3 Years’ Later. Psychiatry Res. 2016, 244, 185–193. [Google Scholar] [CrossRef][Green Version]
- Cavanagh, S.E.; Huston, A.C. Family Instability and Children’s Early Problem Behavior. Soc. Forces 2006, 85, 551–581. [Google Scholar] [CrossRef]
- Karreman, A.; De Haas, S.; Van Tuijl, C.; Van Aken, M.A.G.; Deković, M. Relations among Temperament, Parenting and Problem Behavior in Young Children. Infant Behav. Dev. 2010, 33, 39–49. [Google Scholar] [CrossRef]
- Lohndorf, R.T.; Vermeer, H.J.; Cárcamo, R.A.; De La Harpe, C.; Mesman, J. Preschoolers’ Problem Behavior, Prosocial Behavior, and Language Ability in a Latin-American Context: The Roles of Child Executive Functions and Socialization Environments. Early Child. Res. Q. 2019, 48, 36–49. [Google Scholar] [CrossRef]
- Morgan, P.L.; Farkas, G.; Hillemeier, M.M.; Pun, W.H.; Maczuga, S. Kindergarten Children’s Executive Functions Predict Their Second-Grade Academic Achievement and Behavior. Child Dev. 2019, 90, 1802–1816. [Google Scholar] [CrossRef]
- Campbell, S.B. Problem behaviors in Preschool Children: A Review of Recent Research. Child Psychol. Psychiatry 1995, 36, 113–149. [Google Scholar] [CrossRef]
- Williford, A.P.; Carter, L.M.; Maier, M.F.; Hamre, B.K.; Cash, A.; Pianta, R.C.; Downer, J.T. Teacher Engagement in Core Components of an Effective, Early Childhood Professional Development Course: Links to Changes in Teacher–Child Interactions. J. Early Child. Teach. Educ. 2017, 38, 102–118. [Google Scholar] [CrossRef]
- Mashburn, A.J.; Hamre, B.K.; Downer, J.T.; Pianta, R.C. Teacher and Classroom Characteristics Associated With Teachers’ Ratings of Prekindergartners’ Relationships and Behaviors. J. Psychoeduc. Assess. 2006, 24, 367–380. [Google Scholar] [CrossRef]
- Murray, C.; Murray, K.M.; Waas, G.A. Child and Teacher Reports of Teacher–Student Relationships: Concordance of Perspectives and Associations with School Adjustment in Urban Kindergarten Classrooms. J. Appl. Dev. Psychol. 2008, 29, 49–61. [Google Scholar] [CrossRef]
- Fingerhut, J.; Xu, X.; Moeyaert, M. Impact of Within-Case Variability on Tau-U Indices and the Hierarchical Linear Modeling Approach for Multiple-Baseline Design Data: A Monte Carlo Simulation Study. Evid.-Based Commun. Assess. Interv. 2021, 15, 115–141. [Google Scholar] [CrossRef]
- Fingerhut, J.; Xu, X.; Moeyaert, M. Selecting the Proper Tau-U Measure for Single-Case Experimental Designs: Development and Application of a Decision Flowchart. Evid.-Based Commun. Assess. Interv. 2021, 15, 99–114. [Google Scholar] [CrossRef]
- Brossart, D.F.; Laird, V.C.; Armstrong, T.W. Interpreting Kendall’s Tau and Tau-U for Single-Case Experimental Designs. Cogent Psychol. 2018, 5, 1518687. [Google Scholar] [CrossRef]
- Dumas, J.E.; Wahler, R.G. Indiscriminate Mothering as a Contextual Factor in Aggressive-Oppositional Child Behavior: “Damned If You Do and Damned If You Don’t”. J. Abnorm. Child Psychol. 1985, 13, 1–17. [Google Scholar] [CrossRef]
- Rudolph, J.M.; Wendt, O. The Efficacy of the Cycles Approach: A Multiple Baseline Design. J. Commun. Disord. 2014, 47, 1–16. [Google Scholar] [CrossRef]
- LoCasale-Crouch, J. Does Fidelity of Implementation Account for Changes in Teacher-Child Interactions in a Randomized Controlled Trial of Banking Time? J. Res. Educ. Eff. 2018, 11, 35–55. [Google Scholar] [CrossRef]
- Williford, A.P.; Pianta, R.C. Banking Time: A Dyadic Intervention to Improve Teacher-Student Relationships. In Student Engagement; Reschly, A.L., Pohl, A.J., Christenson, S.L., Eds.; Springer International Publishing: Cham, Switzerlands, 2020; pp. 239–250. ISBN 978-3-030-37284-2. [Google Scholar]
- White, R.T.; Arzi, H.J. Longitudinal Studies: Designs, Validity, Practicality, and Value. Res. Sci. Educ. 2005, 35, 137–149. [Google Scholar] [CrossRef]
- Lillian, C.-D. Interventions with Culturally Diverse Populations. In The Oxford Handbook of Clinical Psychology; Barlow, D.H., Ed.; Oxford Library of Psychology; Oxford University Press: Oxford, UK; New York, NY, USA, 2011; pp. 877–896. ISBN 978-0-19-536688-4. [Google Scholar]





| Techniques | Right | Wrong |
|---|---|---|
| Observing | Continuous attention | Distracted |
| Narrating | Sportscasting (Child doing—Teacher describing) Reflection (Child saying—Teacher saying) Imitation (Child doing—Teacher doing) | Asking Giving suggestions Imparting knowledge Instructing the child to follow game rules |
| Labeling | Objectively describe all of the child’s emotions | Asking about the child’s feelings |
| Developing Relational Themes | Choose a fixed relationship theme to develop | Stop developing relationship themes after Banking Time |
| Kindergarten | Dyad | Participant |
|---|---|---|
| 1 | 1 | Teacher 1, female, 37 years old, main teacher, 5 years of teaching experience. |
| Child 1, male, 4 years old, STRS score 80. | ||
| 2 | Teacher 2, female, 30 years old, main teacher, 9 years of teaching experience. | |
| Child 2, female, 4 years old, STRS score 67. | ||
| 2 | 3 | Teacher 3, female, 28 years old, main teacher, 4 years of teaching experience. |
| Child 3, male, 4 years old, diagnosed with autism, STRS score 73. | ||
| 4 | Teacher 4, female, 20 years old, assistant teacher, 2 months of teaching experience. | |
| Child 4, male, 4 years old, STRS score 63. | ||
| 3 | 5 | Teacher 5, female, 28 years old, main teacher, 6 years of teaching experience. |
| Child 5, female, 4 years old, diagnosed with autism, STRS score 56. | ||
| 6 | Teacher 6, female, 26 years old, main teacher, 5 years of teaching experience. | |
| Child 6, male, 4 years old, STRS score 77. | ||
| 4 | 7 | Teacher 7, female, 25 years old, main teacher, 5 years of teaching experience. |
| Child 7, female, 4 years old, STRS score 86. | ||
| 8 | Teacher 8, female, 24 years old, main teacher, 3 years of teaching experience. | |
| Child 8, female, 4 years old, STRS score 75. |
| Participant | S | Pairs | Tau-U | z | p |
|---|---|---|---|---|---|
| Dyad 1 | 4 | 4 | 1.00 | 1.41 | 0.15 |
| Dyad 2 | 5 | 5 | 1.00 | 1.46 | 0.14 |
| Dyad 3 | 12 | 12 | 1.00 | 2.00 | 0.05 |
| Dyad 4 | 10 | 10 | 1.00 | 1.94 | 0.05 |
| Dyad 5 | 15 | 15 | 1.00 | 2.24 | 0.03 |
| Dyad 6 | 4 | 12 | 0.33 | 0.71 | 0.48 |
| Total | 50 | 58 | 0.86 | 3.98 | 0.00 |
| Mean | N | StDev | SE Mean | |
|---|---|---|---|---|
| Pre-test | 7.83 | 6 | 2.04 | 0.83 |
| Post-test | 9.50 | 6 | 1.76 | 0.72 |
| Mean | StDev | SE Mean | t | df | p | Mean |
|---|---|---|---|---|---|---|
| Pre-test–Post-test | −1.67 | 0.82 | 0.33 | −5.00 | 5.00 | 0.00 |
| Standardizer | Point Estimate | 95% Confidence Interval | |||
|---|---|---|---|---|---|
| Lower | Upper | ||||
| Pre-test–Post-test | Cohen’s d | 0.82 | −2.04 | −3.49 | −0.56 |
| S | Pairs | Tau-U | z | p | |
|---|---|---|---|---|---|
| Dyad 1 | 4 | 4 | 1.00 | 1.41 | 0.16 |
| Dyad 2 | −5 | 5 | −1.00 | −1.46 | 0.14 |
| Dyad 3 | 4 | 12 | 0.33 | 0.67 | 0.51 |
| Dyad 4 | −6 | 10 | −0.60 | −1.16 | 0.25 |
| Dyad 5 | 3 | 15 | 0.23 | 0.45 | 0.66 |
| Dyad 6 | −12 | 12 | −1.00 | −2.12 | 0.03 |
| Total | −12 | 58 | −0.21 | −0.99 | 0.32 |
| S | Pairs | Tau-U | z | p | |
|---|---|---|---|---|---|
| Dyad 1 | 2 | 4 | 0.50 | 0.71 | 0.48 |
| Dyad 2 | −5 | 5 | −1.00 | −1.46 | 0.14 |
| Dyad 3 | −2 | 12 | −0.17 | −0.33 | 0.74 |
| Dyad 4 | −8 | 10 | −0.80 | −1.55 | 0.12 |
| Dyad 5 | 2 | 15 | 0.14 | 0.30 | 0.77 |
| Dyad 6 | −4 | 12 | −0.36 | −0.71 | 0.48 |
| Total | −15 | 58 | −0.27 | −1.22 | 0.22 |
Disclaimer/Publisher’s Note: The statements, opinions and data contained in all publications are solely those of the individual author(s) and contributor(s) and not of MDPI and/or the editor(s). MDPI and/or the editor(s) disclaim responsibility for any injury to people or property resulting from any ideas, methods, instructions or products referred to in the content. |
© 2024 by the authors. Licensee MDPI, Basel, Switzerland. This article is an open access article distributed under the terms and conditions of the Creative Commons Attribution (CC BY) license (https://creativecommons.org/licenses/by/4.0/).
Share and Cite
Zhang, Z.; Wang, Y. Effect of Banking Time Intervention on Child–Teacher Relationships and Problem Behaviors in China: A Multiple Baseline Design. Behav. Sci. 2024, 14, 213. https://doi.org/10.3390/bs14030213
Zhang Z, Wang Y. Effect of Banking Time Intervention on Child–Teacher Relationships and Problem Behaviors in China: A Multiple Baseline Design. Behavioral Sciences. 2024; 14(3):213. https://doi.org/10.3390/bs14030213
Chicago/Turabian StyleZhang, Zedong, and Ye Wang. 2024. "Effect of Banking Time Intervention on Child–Teacher Relationships and Problem Behaviors in China: A Multiple Baseline Design" Behavioral Sciences 14, no. 3: 213. https://doi.org/10.3390/bs14030213
APA StyleZhang, Z., & Wang, Y. (2024). Effect of Banking Time Intervention on Child–Teacher Relationships and Problem Behaviors in China: A Multiple Baseline Design. Behavioral Sciences, 14(3), 213. https://doi.org/10.3390/bs14030213

