Effects of Perceptual-Cognitive Training on Anticipation and Decision-Making Skills in Team Sports: A Systematic Review and Meta-Analysis
Abstract
1. Introduction
2. Materials and Methods
2.1. Search Strategy
2.2. Selection Criteria
2.2.1. Inclusion Criteria
- Participants: Elite team sports athletes with more than three years of team sports experience, not limited to age.
- Interventions: Participants underwent cognitive-perceptual training (such as MOT or video-based training) programs to develop sports-specific anticipation or decision-making skills.
- Comparators: Control groups (passive control, no extra training except regular on-field training) or placebo groups (active control, watching videos of the same duration as training groups, but not performing meaningful training).
- Outcomes: At least one of the following indicators—laboratory task-specific response accuracy (RA), response time (RT), or on-court transfer RA/performance RT.
- Study design: RCT with pre-tests and post-tests or NRS with pre-tests and post-tests.
2.2.2. Exclusion Criteria
- Participants were individual sportspersons or beginners who had not participated in professional training or official events;
- The intervention group received on-field training (such as a mini-tournament or small-sided game) rather than cognitive-perceptual training;
- The study lacked a control/placebo group;
- The full text was not available, the study data (pre-test and post-test mean [M] and standard deviation [SD]) could not be extracted and calculated, and the data remained unavailable after contacting the corresponding authors;
- Qualitative research, reviews, non-intervention studies, dissertations, and conference papers.
2.3. Data Extraction
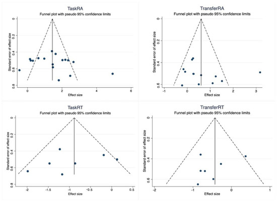
2.4. Assessment of Methodological Quality and Heterogeneity

| Author and Year | Pre-Intervention | At Intervention | Post-Intervention | Overall | ||||
|---|---|---|---|---|---|---|---|---|
| Confounding | Selection of Participants | Interventions Classification | Deviations from Intended Interventions | Missing Data | Measurement of Outcomes | Selection of Reported Results | ||
| Gabbett et al., 2008 [37] | Low | Low | Low | Low | Low | Low | Moderate | Low |
| Gorman et al., 2009 [17] | Moderate | Low | Low | Moderate | Moderate | Low | Moderate | Critical |
| Janvier et al., 2010 [38] | Low | Moderate | Moderate | Low | Moderate | Low | Low | Critical |
| Smeeton et al., 2013 [39] | Low | Low | Moderate | Low | Low | Moderate | Low | Moderate |
| Hohmann et al., 2016 [40] | Moderate | Low | Low | Low | Low | Low | Moderate | Moderate |
| Holding et al., 2017 [41] | Low | Low | Low | Low | Low | Low | Low | Low |
| Panchuk et al., 2018 [42] | Moderate | Critical | Moderate | Low | Low | Moderate | Low | Critical |
| Sáez-Gallego et al., 2018 [43] | Low | Low | Moderate | Moderate | Low | Low | Low | Moderate |
2.5. Statistical Analysis
2.5.1. Summary Measures and Effect Size (ES) Calculation
2.5.2. Sub-Group Analysis
3. Results
3.1. Study Identification and Selection
3.2. Characteristics of the Included Studies
3.2.1. Participants
3.2.2. Intervention vs. Comparison
3.2.3. On-Court Transfer Measurement
3.3. Total ES: Intervention vs. Control/Placebo
3.4. Sub-Group Analysis of the Transfer Effect
3.4.1. Age
3.4.2. Ecological Factors Affecting the Intervention
3.4.3. Duration and Frequency of Training Interventions
4. Discussion
4.1. Ecological Factors: Key Influences on Training Transfer Effectiveness
4.2. Comparative Characteristic Summary of the Details of Other Training Procedures
4.3. Limitations of Existing Studies and This Review
4.4. Future Research and Practical Training Application
Supplementary Materials
Author Contributions
Funding
Institutional Review Board Statement
Informed Consent Statement
Data Availability Statement
Conflicts of Interest
Appendix A
| Database | Search Strategy (Search Date 26 November 2023) Publication Date Must Be before 26 November 2023 | Total |
|---|---|---|
| PubMed | ((“decision training” [Title/Abstract] OR “decision making training” [Title/Abstract] OR “anticipation training” [Title/Abstract] OR “video-based training” [Title/Abstract] OR “VBT” [Title/Abstract] OR “video training” [Title/Abstract] OR “perceptual training” [Title/Abstract] OR “video feedback” [Title/Abstract] OR “visual training” [Title/Abstract] OR “vision training” [Title/Abstract] OR “anticipation” [Title/Abstract] OR “decision making” [Title/Abstract] OR “perceptual cognitive training” [Title/Abstract]) AND (“intervention” [Title/Abstract] OR “experimental” [Title/Abstract] OR “quasi-experimental” [Title/Abstract] OR “experimental group” [Title/Abstract] OR “control group” [Title/Abstract] OR “training” [Title/Abstract])) AND (“team sport” [Title/Abstract] OR football [Title/Abstract] OR soccer [Title/Abstract] OR futsal [Title/Abstract] OR handball [Title/Abstract] OR volleyball [Title/Abstract] OR basketball [Title/Abstract] OR hockey [Title/Abstract] OR rugby [Title/Abstract] OR cricket [Title/Abstract] OR “water polo” [Title/Abstract] OR lacrosse [Title/Abstract] OR softball [Title/Abstract] OR korall [Title/Abstract] OR “American football” [Title/Abstract]). Filters applied: Full text, Clinical Study, Clinical Trial, Observational Study, Randomized Controlled Trial, English. | 30 |
| Web of Science | TS=((“decision training” OR “decision making training” OR “anticipation training” OR “video-based training” OR “VBT” OR “video training” OR “perceptual training” OR “video feedback” OR “visual training” OR “vision training” OR “anticipation” OR “decision making” OR “perceptual cognitive training”) AND (“intervention” OR “experimental” OR “quasi-experimental” OR “experimental group” OR “control group” OR “training”) AND (“team sport” OR “football” OR “soccer” OR “futsal” OR “handball” OR “volleyball” OR “basketball” OR “hockey” OR “rugby” OR “cricket” OR “water polo” OR “lacrosse” OR “softball” OR “korall” OR “American football”)) and Preprint Citation Index (Exclude − Database) and Article (Document Types) | 1200 |
| Scopus | TITLE-ABS+B4-KEY (“decision training” OR “decision making training” OR “anticipation training” OR “video-based training” OR “VBT” OR “video training” OR “perceptual training” OR “video feedback” OR “visual training” OR “vision training” OR “anticipation” OR “decision making” OR “perceptual cognitive training”) AND TITLE-ABS-KEY (“intervention” OR “experimental” OR “quasi-experimental” OR “experimental group” OR “control group” OR “training”) AND TITLE-ABS-KEY (“team sport” OR “football” OR “soccer” OR “futsal” OR “handball” OR “volleyball” OR “basketball” OR “hockey” OR “rugby” OR “cricket” OR “water polo” OR “lacrosse” OR “softball” OR “korall OR “American football”) AND (LIMIT-TO (DOCTYPE, “ar”)) AND (LIMIT-TO (LANGUAGE, “English”)) AND (LIMIT-TO (PUBSTAGE, “final”)) | 811 |
| EBSCO (SPORTDiscus + PsychInfo) | SU (“decision training” OR “decision making training” OR “anticipation training” OR “video-based training” OR “VBT” OR “video training” OR “perceptual training” OR “video feedback” OR “visual training” OR “vision training” OR “anticipation” OR “decision making” OR “perceptual cognitive training”) AND SU (“intervention” OR “experimental” OR “quasi-experimental” OR “experimental group” OR “control group” OR “training”) AND SU (“team sport” OR football OR soccer OR futsal OR handball OR volleyball OR basketball OR hockey OR rugby OR cricket OR “water polo” OR lacrosse OR softball OR korall OR “American football”) Filters: Full Article, English, Academic Journal, Article. | 138 |
Appendix B

Appendix C
References
- Araújo, D.; Davids, K.; Diniz, A.; Rocha, L.; Santos, J.; Dias, G.; Fernandes, O. Ecological Dynamics of Continuous and Categorical Decision-Making: The Regatta Start in Sailing. Eur. J. Sport Sci. 2015, 15, 195–202. [Google Scholar] [CrossRef]
- Araújo, D.; Davids, K. Team Synergies in Sport: Theory and Measures. Front. Psychol. 2016, 7, 1449. [Google Scholar] [CrossRef]
- Bennett, K.J.M.; Novak, A.R.; Pluss, M.A.; Coutts, A.J.; Fransen, J. Assessing the Validity of a Video-Based Decision-Making Assessment for Talent Identification in Youth Soccer. J. Sci. Med. Sport 2019, 22, 729–734. [Google Scholar] [CrossRef]
- Zhu, R.; Zou, D.; Wang, K.; Cao, C. Expert Performance in Action Anticipation: Visual Search Behavior in Volleyball Spiking Defense from Different Viewing Perspectives. Behav. Sci. 2024, 14, 163. [Google Scholar] [CrossRef] [PubMed]
- Silva, A.; Conte, D.; Clemente, F. Decision-Making in Youth Team-Sports Players: A Systematic Review. Int. J. Environ. Res. Public Health 2020, 17, 3803. [Google Scholar] [CrossRef]
- Williams, A.M.; Davids, K.; Williams, J.G.P. Visual Perception and Action in Sport; Repr.; E & FN Spon [u.a.]: London, UK, 2000; ISBN 978-0-419-18290-0. [Google Scholar]
- Ehmann, P.; Beavan, A.; Spielmann, J.; Mayer, J.; Ruf, L.; Altmann, S.; Forcher, L.; Klever, N.; Rohrmann, S.; Nuss, C.; et al. Perceptual-Cognitive Performance of Youth Soccer Players in a 360°-Environment—An Investigation of the Relationship with Soccer-Specific Performance and the Effects of Systematic Training. Psychol. Sport Exerc. 2022, 61, 102220. [Google Scholar] [CrossRef]
- Mann, D.; Williams, A.; Ward, P.; Janelle, C. Perceptual-Cognitive Expertise in Sport: A Meta-Analysis. J. Sport Exerc. Psychol. 2007, 29, 457–478. [Google Scholar] [CrossRef]
- Kittel, A.; Cunningham, I.; Larkin, P.; Hawkey, M.; Rix-Lièvre, G. Decision-Making Training in Sporting Officials: Past, Present and Future. Psychol. Sport Exerc. 2021, 56, 102003. [Google Scholar] [CrossRef]
- Zhao, J.; Gu, Q.; Zhao, S.; Mao, J. Effects of Video-Based Training on Anticipation and Decision-Making in Football Players: A Systematic Review. Front. Hum. Neurosci. 2022, 16, 945067. [Google Scholar] [CrossRef]
- Suárez, M.; Serenini, A.; Fernández-Echeverría, C.; Collado-Mateo, D.; Moreno Arroyo, M. The Effect of Decision Training, from a Cognitive Perspective, on Decision-Making in Volleyball: A Systematic Review and Meta-Analysis. Int. J. Environ. Res. Public Health 2020, 17, 3628. [Google Scholar] [CrossRef] [PubMed]
- Silva, A.F.; Ramirez-Campillo, R.; Sarmento, H.; Afonso, J.; Clemente, F.M. Effects of Training Programs on Decision-Making in Youth Team Sports Players: A Systematic Review and Meta-Analysis. Front. Psychol. 2021, 12, 663867. [Google Scholar] [CrossRef]
- Araújo, D.; Davids, K.; Serpa, S. An Ecological Approach to Expertise Effects in Decision-Making in a Simulated Sailing Regatta. Psychol. Sport Exerc. 2005, 6, 671–692. [Google Scholar] [CrossRef]
- Larkin, P.; Mesagno, C.; Spittle, M.; Berry, J. An Evaluation of Video-Based Training Programs for Perceptual-Cognitive Skill Development. A Systematic Review of Current Sport-Based Knowledge. Int. J. Sport Psychol. 2015, 46, 555–586. [Google Scholar] [CrossRef]
- Cotterill, S.T. Developing Decision-Making for Performance: A Framework to Guide Applied Practice in Cricket. J. Sport Psychol. Action 2014, 5, 88–101. [Google Scholar] [CrossRef]
- Hadlow, S.M.; Panchuk, D.; Mann, D.L.; Portus, M.R.; Abernethy, B. Modified Perceptual Training in Sport: A New Classification Framework. J. Sci. Med. Sport 2018, 21, 950–958. [Google Scholar] [CrossRef]
- Gorman, A.; Farrow, D. Perceptual Training Using Explicit and Implicit Instructional Techniques: Does It Benefit Skilled Performers? Int. J. Sports Sci. Coach. 2009, 4, 193–208. [Google Scholar] [CrossRef]
- Page, M.J.; McKenzie, J.E.; Bossuyt, P.M.; Boutron, I.; Hoffmann, T.C.; Mulrow, C.D.; Shamseer, L.; Tetzlaff, J.M.; Akl, E.A.; Brennan, S.E.; et al. The PRISMA 2020 Statement: An Updated Guideline for Reporting Systematic Reviews. BMJ 2021, 372, 71. [Google Scholar] [CrossRef]
- Lefebvre, C.; Glanville, J.; Briscoe, S.; Littlewood, A.; Marshall, C.; Metzendorf, M.-I.; Noel-Storr, A.; Rader, T.; Shokraneh, F.; Thomas, J.; et al. Searching for and Selecting Studies. In Cochrane Handbook for Systematic Reviews of Interventions; John Wiley & Sons, Ltd.: Hoboken, NJ, USA, 2019; pp. 67–107. ISBN 978-1-119-53660-4. [Google Scholar]
- da Costa Santos, C.M.; de Mattos Pimenta, C.A.; Cuce Nobre, M.R. The PICO Strategy for the Research Question Construction and Evidence Search. Rev. Lat. Am. Enferm. 2007, 15, 508–511. [Google Scholar] [CrossRef]
- McKenzie, J.E.; Brennan, S.E.; Ryan, R.E.; Thomson, H.J.; Johnston, R.V.; Thomas, J. Defining the Criteria for Including Studies and How They Will Be Grouped for the Synthesis. In Cochrane Handbook for Systematic Reviews of Interventions; John Wiley & Sons, Ltd.: Hoboken, NJ, USA, 2019; pp. 33–65. ISBN 978-1-119-53660-4. [Google Scholar]
- Higgins, J.P.; Li, T.; Deeks, J.J. Choosing Effect Measures and Computing Estimates of Effect. In Cochrane Handbook for Systematic Reviews of Interventions; John Wiley & Sons, Ltd.: Hoboken, NJ, USA, 2019; pp. 143–176. ISBN 978-1-119-53660-4. [Google Scholar]
- Igelström, E.; Campbell, M.; Craig, P.; Katikireddi, S.V. Cochrane’s Risk of Bias Tool for Non-Randomized Studies (ROBINS-I) Is Frequently Misapplied: A Methodological Systematic Review. J. Clin. Epidemiol. 2021, 140, 22–32. [Google Scholar] [CrossRef]
- Williams, A.M.; Ward, P.; Chapman, C. Training Perceptual Skill in Field Hockey: Is There Transfer from the Laboratory to the Field? Res. Q. Exerc. Sport 2003, 74, 98–103. [Google Scholar] [CrossRef]
- Gabbett, T.; Rubinoff, M.; Thorburn, L.; Farrow, D. Testing and Training Anticipation Skills in Softball Fielders. Int. J. Sports Sci. Coach. 2007, 2, 15–24. [Google Scholar] [CrossRef]
- Hopwood, M.; Mann, D.; Farrow, D.; Nielsen, T. Does Visual-Perceptual Training Augment the Fielding Performance of Skilled Cricketers? Int. J. Sports Sci. Coach. 2011, 6, 523–535. [Google Scholar] [CrossRef]
- Serpell, B.G.; Young, W.B.; Ford, M. Are the Perceptual and Decision-Making Components of Agility Trainable? A Preliminary Investigation. J. Strength Cond. Res. 2011, 25, 1240–1248. [Google Scholar] [CrossRef] [PubMed]
- Lorains, M.; Ball, K.; MacMahon, C. An above Real Time Training Intervention for Sport Decision Making. Psychol. Sport Exerc. 2013, 14, 670–674. [Google Scholar] [CrossRef]
- Murgia, M.; Sors, F.; Muroni, A.F.; Santoro, I.; Prpic, V.; Galmonte, A.; Agostini, T. Using Perceptual Home-Training to Improve Anticipation Skills of Soccer Goalkeepers. Psychol. Sport Exerc. 2014, 15, 642–648. [Google Scholar] [CrossRef]
- Nimmerichter, A.; Weber, N.J.R.; Wirth, K.; Haller, A. Effects of Video-Based Visual Training on Decision-Making and Reactive Agility in Adolescent Football Players. Sports 2015, 4, 1. [Google Scholar] [CrossRef]
- Alsharji, K.E.; Wade, M.G. Perceptual Training Effects on Anticipation of Direct and Deceptive 7-m Throws in Handball. J. Sports Sci. 2016, 34, 155–162. [Google Scholar] [CrossRef]
- Engelbrecht, L.; Terblanche, E.; Welman, K.E. Video-Based Perceptual Training as a Method to Improve Reactive Agility Performance in Rugby Union Players. Int. J. Sports Sci. Coach. 2016, 11, 799–809. [Google Scholar] [CrossRef]
- Romeas, T.; Guldner, A.; Faubert, J. 3D-Multiple Object Tracking Training Task Improves Passing Decision-Making Accuracy in Soccer Players. Psychol. Sport Exerc. 2016, 22, 1–9. [Google Scholar] [CrossRef]
- Gray, R. Transfer of Training from Virtual to Real Baseball Batting. Front. Psychol. 2017, 8, 2183. [Google Scholar] [CrossRef]
- Page, C.; Bernier, P.-M.; Trempe, M. Using Video Simulations and Virtual Reality to Improve Decision-Making Skills in Basketball. J. Sports Sci. 2019, 37, 2403–2410. [Google Scholar] [CrossRef] [PubMed]
- Harenberg, S.; McCarver, Z.; Worley, J.; Murr, D.; Vosloo, J.; Kakar, R.S.; McCaffrey, R.; Dorsch, K.; Hoener, O. The Effectiveness of 3D Multiple Object Tracking Training on Decision-Making in Soccer. Sci. Med. Footb. 2022, 6, 355–362. [Google Scholar] [CrossRef] [PubMed]
- Gabbett, T.J.; Carius, J.; Mulvey, M. Does improved decision-making ability reduce the physiological demands of game-based activities in field sport athletes? J. Strength Cond. Res. 2008, 22, 2027–2035. [Google Scholar] [CrossRef]
- Javier Nunez, F.; Ona, A.; Raya, A.; Bilbao, A. Effects of providing advance cues during a soccer penalty kick on the kicker’s rate of success. Percept. Mot. Skills 2010, 111, 749–760. [Google Scholar] [CrossRef] [PubMed]
- Smeeton, N.J.; Hibbert, J.R.; Stevenson, K.; Cumming, J.; Williams, A.M. Can Imagery Facilitate Improvements in Anticipation Behavior? Psychol. Sport Exerc. 2013, 14, 200–210. [Google Scholar] [CrossRef]
- Hohmann, T.; Obelöer, H.; Schlapkohl, N.; Raab, M. Does Training with 3D Videos Improve Decision-Making in Team Invasion Sports? J. Sports Sci. 2016, 34, 746–755. [Google Scholar] [CrossRef]
- Holding, R.; Meir, R.; Zhou, S. Can Previewing Sport-Specific Video Influence Reactive-Agility Response Time? Int. J. Sports Physiol. Perform. 2017, 12, 224–229. [Google Scholar] [CrossRef]
- Panchuk, D.; Klusemann, M.; Hadlow, S. Exploring the Effectiveness of Immersive Video for Training Decision-Making Capability in Elite, Youth Basketball Players. Front. Psychol. 2018, 9, 2315. [Google Scholar] [CrossRef]
- Sáez-Gallego, N.; Vila-Maldonado, S.; Abellán, J.; Contreras, O. Perceptive training of female youth volleyball blockers. Rev. Int. Med. Cienc. Act. Fis. Deporte 2018, 18, 135–150. [Google Scholar] [CrossRef]
- Calculating and Reporting Effect Sizes to Facilitate Cumulative Science: A Practical Primer for t-Tests and ANOVAs. Front. Psychol. 2013, 4, 863. [CrossRef]
- Qiu, C.; Zhai, Q.; Chen, S. Effects of Practicing Closed- vs. Open-Skill Exercises on Executive Functions in Individuals with Attention Deficit Hyperactivity Disorder (ADHD)—A Meta-Analysis and Systematic Review. Behav. Sci. 2024, 14, 499. [Google Scholar] [CrossRef]
- Hedges, L.V.; Olkin, I. Chapter 5—Estimation of a Single Effect Size: Parametric and Nonparametric Methods. In Statistical Methods for Meta-Analysis; Hedges, L.V., Olkin, I., Eds.; Academic Press: San Diego, CA, USA, 1985; pp. 75–106. ISBN 978-0-08-057065-5. [Google Scholar]
- Huedo-Medina, T.B.; Sanchez-Meca, J.; Marin-Martinez, F.; Botella, J. Assessing Heterogeneity in Meta-Analysis: Q Statistic or I Index? Psychol. Methods 2006, 11, 193–206. [Google Scholar] [CrossRef]
- Borenstein, M. Avoiding Common Mistakes in Meta-Analysis: Understanding the Distinct Roles of, -Squared, Tau-Squared, and the Prediction Interval in Reporting Heterogeneity. Res. Synth. Methods 2024, 15, 354–368. [Google Scholar] [CrossRef]
- Van Maarseveen, M.J.; Oudejans, R.R.; Savelsbergh, G.J. System for Notational Analysis in Small-Sided Soccer Games. Int. J. Sports Sci. Coach. 2017, 12, 194–206. [Google Scholar] [CrossRef]
- Vickers, J.N. Perception, Cognition, and Decision Training: The Quiet Eye in Action; Human Kinetics: Champaign, IL, USA, 2007; ISBN 978-0-7360-4256-7. [Google Scholar]
- Abernethy, B.; Wood, J.; Parks, S. Can the Anticipatory Skills of Experts Be Learned by Novices? Res. Q. Exerc. Sport 1999, 70, 313–318. [Google Scholar] [CrossRef]
- Savelsbergh, G.J.P.; Van Gastel, P.J.; Van Kampen, P.M. Anticipation of Penalty Kicking Direction Can Be Improved by Directing Attention through Perceptual Learning. Int. J. Sport Psychol. 2010, 41, 24–41. [Google Scholar]
- Williams, A.; Grant, A. Training Perceptual Skill in Sport. Int. J. Sport Psychol. 1999, 30, 194–220. [Google Scholar]
- Roca, A.; Ford, P.R.; McRobert, A.P.; Williams, A.M. Identifying the Processes Underpinning Anticipation and Decision-Making in a Dynamic Time-Constrained Task. Cogn. Process. 2011, 12, 301–310. [Google Scholar] [CrossRef]
- Richlan, F.; Weiss, M.; Kastner, P.; Braid, J. Virtual Training, Real Effects: A Narrative Review on Sports Performance Enhancement through Interventions in Virtual Reality. Front. Psychol. 2023, 14, 1240790. [Google Scholar] [CrossRef]
- Baños, R.M.; Escobar, P.; Cebolla, A.; Guixeres, J.; Alvarez Pitti, J.; Lisón, J.F.; Botella, C. Using Virtual Reality to Distract Overweight Children from Bodily Sensations During Exercise. Cyberpsychol. Behav. Soc. Netw. 2016, 19, 115–119. [Google Scholar] [CrossRef]
- Vignais, N.; Kulpa, R.; Brault, S.; Presse, D.; Bideau, B. Which Technology to Investigate Visual Perception in Sport: Video vs. Virtual Reality. Hum. Mov. Sci. 2015, 39, 12–26. [Google Scholar] [CrossRef]
- Williams, A.M.; Ericsson, K.A. Perceptual-Cognitive Expertise in Sport: Some Considerations When Applying the Expert Performance Approach. Hum. Mov. Sci. 2005, 24, 283–307. [Google Scholar] [CrossRef]
- Farrow, D.; Abernethy, B.; Jackson, R.C. Probing Expert Anticipation with the Temporal Occlusion Paradigm: Experimental Investigations of Some Methodological Issues. Mot. Control 2005, 9, 332–351. [Google Scholar] [CrossRef]
- Farrow, D.; Abernethy, B. Can Anticipatory Skills Be Learned through Implicit Video-Based Perceptual Training? J. Sports Sci. 2002, 20, 471–485. [Google Scholar] [CrossRef]
- Araújo, D.; Davids, K.; Hristovski, R. The Ecological Dynamics of Decision Making in Sport. Psychol. Sport Exerc. 2006, 7, 653–676. [Google Scholar] [CrossRef]
- Raab, M.; Laborde, S. When to Blink and When to Think: Preference for Intuitive Decisions Results in Faster and Better Tactical Choices. Res. Q. Exerc. Sport 2011, 82, 89–98. [Google Scholar] [CrossRef]
- Jackson, R.; Farrow, D. Implicit Perceptual Training: How, When, and Why? Hum. Mov. Sci. 2005, 24, 308–325. [Google Scholar] [CrossRef]
- Ryu, D.; Kim, S.; Abernethy, B.; Mann, D.L. Guiding Attention Aids the Acquisition of Anticipatory Skill in Novice Soccer Goalkeepers. Res. Q. Exerc. Sport 2013, 84, 252–262. [Google Scholar] [CrossRef]
- Lorains, M.; Ball, K.; MacMahon, C. Expertise Differences in a Video Decision-Making Task: Speed Influences on Performance. Psychol. Sport Exerc. 2013, 14, 293–297. [Google Scholar] [CrossRef]
- Guadagnoli, M.A.; Lee, T.D. Challenge Point: A Framework for Conceptualizing the Effects of Various Practice Conditions in Motor Learning. J. Mot. Behav. 2004, 36, 212–224. [Google Scholar] [CrossRef]
- Memmert, D. Testing of Tactical Performance in Youth Elite Soccer. J. Sports Sci. Med. 2010, 9, 199–205. [Google Scholar] [PubMed]
- Albert, D.; Steinberg, L. Judgment and Decision Making in Adolescence. J. Res. Adolesc. 2011, 21, 211–224. [Google Scholar] [CrossRef]
- Zentgraf, K.; Heppe, H.; Fleddermann, M.-T. Training in Interactive Sports: A Systematic Review of Practice and Transfer Effects of Perceptual–Cognitive Training. Ger. J. Exerc. Sport Res. 2017, 47, 2–14. [Google Scholar] [CrossRef]
- Green, C.S.; Strobach, T.; Schubert, T. On Methodological Standards in Training and Transfer Experiments. Psychol. Res. 2014, 78, 756–772. [Google Scholar] [CrossRef]
- Simons, D.J.; Boot, W.R.; Charness, N.; Gathercole, S.E.; Chabris, C.F.; Hambrick, D.Z.; Stine-Morrow, E.A.L. Do “Brain-Training” Programs Work? Psychol. Sci. Public Interest 2016, 17, 103–186. [Google Scholar] [CrossRef]
- Schimit, R.A.; Lee, T.D.; Winstein, C.; Wulf, G.; Zelaznik, H.N. Motor Control and Learning: A Behavioral Emphasis, 6th Edition. Med. Sci. Sports Exerc. 2019, 51, 226. [Google Scholar] [CrossRef]
- Gil-Arias, A.; Garcia-Gonzalez, L.; Alvarez, F.; Gallego, D. Developing Sport Expertise in Youth Sport: A Decision Training Program in Basketball. PeerJ 2019, 2019, e7392. [Google Scholar] [CrossRef]
- Fortes, L.; Freitas, C.; Paes, P.; Vieira, L.; Nascimento, J.; Lima, D.; Ferreira, M. Effect of an Eight-Week Imagery Training Programme on Passing Decision-Making of Young Volleyball Players. Int. J. Sport Exerc. Psychol. 2020, 18, 120–128. [Google Scholar] [CrossRef]
- Moher, D.; Liberati, A.; Tetzlaff, J.; Altman, D.G.; The PRISMA Group. Preferred Reporting Items for Systematic Reviews and Meta-Analyses: The PRISMA Statement. PLoS Med. 2009, 6, e1000097. [Google Scholar] [CrossRef]




| Author and Year | Country | Study Design | Team Sport | Expertise Level (Training Yrs) | Gender | Age (M ± SD) | N (Sample Sizes) | Outcomes Extracted | How to Test and Measure the On-Court Transfer Skills? | Retention Test or Not? | |
|---|---|---|---|---|---|---|---|---|---|---|---|
| Intervention | Control | ||||||||||
| Williams et al., 2003 [24] | UK | RCT | Field hockey | University level (8.5 ± 2.2) | F | 21.6 ± 2.2 | VT: 8 | P *: 8 C: 8 | Task RA and RT Transfer RA and RT | The response accuracy and time (RA and RT) for defense of real penalty kicks | No |
| Gabbett et al., 2007 [25] | Australia | RCT | Softball | National/State level | F | 19 ± 1 | VT: 9 | P *: 8 C: 8 | Task RA Transfer RA | The RA and RT for anticipating and catching real pitcher throws | Retention (4 weeks) |
| Gabbett et al., 2008 [37] | Australia | NRS | Soccer | Professional/ National level | F | 18.3 ± 2.8 | VT: 8 | C: 8 | Task RA Transfer RA | Assessed decision-making using modified coding criteria by scientists blinded to the training protocol in the small-sided games (SSG) | No |
| Gorman et al., 2009 [17] | Australia | NRS | Basketball | Professional level (7.7 ± 3.4) | F/M | 17.8 ± 2.1 | EVT *: 10 IVT: 10 | P *: 9 C: 10 | Task RA Transfer RA | Assessed by the investigator using the coding instrument in the actual competition | Retention (2 weeks) |
| Javier Nunez et al., 2010 [38] | Spain | NRS | Soccer | Professional level (>10 yrs) | M | 23.2 ± 2.2 | VT *: 8 DT:8 | P *: 8 C: 8 | Task RA and RT Transfer RA | The success-goal rate (RA) of real penalty kicks | Retention (1 day) Retention (1 week) |
| Hopwood et al., 2011 [26] | Australia | RCT | Cricket | International level | M | 21.3 ± 2.6 | VT: 7 | C: 5 | Task RA Transfer RA and RT | The RA and RT for real batting by facing a bowling machine | No |
| Serpell et al., 2011 [27] | Australia | RCT | Rugby | National level | F/M | >18 | VT: 8 | C: 7 | Task RT | No transfer test, only a laboratory test | No |
| Lorains et al., 2013 [28] | Australia | RCT | Rugby | >3.2 yrs at AFL Professional level | F/M | 22.3 | FVT *: 16 NVT: 15 | C: 14 | Task RA | Assessed decision-making using coding instruments in real games (M ± SD data cannot be extracted) | Retention (2 weeks) Retention (10 weeks) |
| Smeeton et al., 2013 [39] | UK | NRS | Cricket | National level | M | 14.9 ± 0.75 | IT: 8 VT *: 7 | C: 10 | Task RA and RT | No transfer test, only a laboratory test | No |
| Murgia et al., 2014 [29] | Italy | RCT | Soccer | Professional/Semi-professional level (9.3 ± 2.6) | M | 16.0 ± 1.9 | VT: 13 | P *: 13 C: 12 | Task RA | No transfer test, only a laboratory test | No |
| Nimmerichter et al., 2015 [30] | Austria | RCT | Soccer | University level (3–5 yrs) | M | 14.4 ± 0.1 | VT: 18 | C: 16 | Task RA and RT Transfer RT | The RT of Reactive-agility Sprint Test in the soccer field (react ASAP by sprinting either left or right) | No |
| Alsharji et al., 2016 [31] | USA | RCT | Handball | National level (7.33 ± 1.24) | F/M | 16.8 ± 0.98 | VT: 14 | P *: 14 C: 14 | Task RA | No transfer test, only a laboratory test | No |
| Engelbrecht et al., 2016 [32] | South Africa | RCT | Rugby | Recreational/Club level | M | 19–23 | VT *: 10 FT: 9 | C: 7 | Transfer RT | The RT of Reactive-agility Sprint Test in the rugby field | Retention (6 weeks) |
| Romeas et al., 2016 [33] | Canada | RCT | Soccer | University level (12.32 ± 1.01) | M | 21.67 ± 0.46 | 3DMT: 9 | P *: 7 C: 7 | Transfer RA | Assessed soccer decision-making using modified coding criteria by the researcher in the SSG | No |
| Hohmann et al., 2016 [40] | Germany | NRS | Handball | National level | M | 14.89 ± 0.75 | 3DVT: 10 | P *: 10 C: 10 | Task RA and RT | No transfer test, only a laboratory test | Retention (4 weeks) |
| Holding et al., 2017 [41] | Australia | NRS | Rugby | Professional level | M | 14.6 ± 1.09 | EVT *: 10 IVT: 10 | C: 10 | Transfer RT | The RT of Reactive-agility Sprint Test in the rugby field | No |
| Gray et al., 2017 [34] | USA | RCT | Baseball | High school competitive level (8.5 ± 1.1) | M | 17–18 | 3DAVT *: 20 3DBT: 20 RBT: 20 | C: 20 | Task RA Transfer RA | % of swings at pitches inside the strike zone (Z-Swing %) in the on-field batting test | Retention (1 month) |
| Panchuk et al., 2018 [42] | Australia | NRS | Basketball | National level | F/M | 17.0 ± 0.6 | 3DVT: 11 | C: 7 | Task RA Transfer RA | Assessed basketball skills using SportsCode Elite (Hudl) by the researcher in the 4v4 SSG | No |
| Sáez-Gallego et al., 2018 [43] | Spain | NRS | Volleyball | Recreational/ Club level (5.88 ± 2.19) | F | 17.13 ± 0.89 | VT: 6 MT: 5 | C: 5 | Task RA and RT Transfer RA and RT | The RA and RT for real volleyball jump blocking | No |
| Page et al., 2019 [35] | Canada | RCT | Basketball | University level (7.0 ± 1.7) | F/M | 19.4 ± 3.7 | 3DVT: 9 | P *: 9 C: 9 | Transfer RA | Calculated on-court decision scores by coaches in the 5v5 SSG for harmonized settings | No |
| Ehmann et al., 2022 [7] | Germany | RCT | Soccer | Recreational/ Club level (6.9 ± 2.3) | F/M | 12.3 ± 0.7 | 3DMT: 14 | P *: 15 C: 9 | Task RA and RT Transfer RA | Assessed decision-making using a coding instrument [49] in the 4 vs. 3+ SSG. | No |
| Harenberg et al., 2022 [36] | Canada | RCT | Soccer | University level (13.97 ± 2.04) | F/M | 19.13 ± 0.92 | 3DMT: 16 | P: 15 | Task RA Transfer RA | The RA and RT of soccer ball passing on the real court | No |
| Author and Year | Type of Training Intervention | Type of Comparison (Placebo/Control) | Duration and Frequency | |||
|---|---|---|---|---|---|---|
| Stimuli | Response | Total Weeks | Sessions/Week | Minutes/Session | ||
| Williams et al., 2003 [24] | Life-size Video | Verbal/Keyboard | P *: Instructional video C: No training | 1 | 1 | 45 |
| Gabbett et al., 2007 [25] | Life-size Video | Specific action | P *: Left/Right arrows C: No extra training | 4 | 3 | 10 |
| Gabbett et al., 2008 [37] | Computer video | Verbal/Keyboard | C: No extra training | 4 | 3 | 15 |
| Gorman et al., 2009 [17] | Computer video | Verbal/Keyboard | P *: Non-sport training C: No extra training | 4 | 3 | 10 |
| Javier Nunez et al., 2010 [38] | Life-size Video | Specific action | P *: Regular sports video C: No extra training | 1 | 1 | 20 |
| Hopwood et al., 2011 [26] | Life-size Video | Specific action | C: No extra training | 6 | 3 | 10 |
| Serpell et al., 2011 [27] | Life-size Video | Specific action | C: Common warm-up | 3 | 2 | 15 |
| Lorains et al., 2013 [28] | Computer video | Verbal/Keyboard | C: No extra training | 5 | 1 | 15 |
| Smeeton et al., 2013 [39] | Computer video | Verbal/Keyboard | C: No extra training | 4 | 1 | 25 |
| Murgia et al., 2014 [29] | Computer video | Verbal/Keyboard | P *: Real game TV video C: No extra training | 8 | 1 | 15 |
| Nimmerichter et al., 2015 [30] | Computer video | Verbal/Keyboard | C: Regular training without extra session | 6 | 2 | 6 |
| Alsharji et al., 2016 [31] | Life-size Video | Specific action | P *: Real game video C: No extra training | 1 | 7 | 25 |
| Engelbrecht et al., 2016 [32] | Life-size Video | Specific action | C: Regular training without extra session | 6 | 2 | 10 |
| Romeas et al., 2016 [33] | 3D-MOT | Verbal/Keyboard | P *: Real game video C: No extra training | 5 | 2 | 24 |
| Hohmann et al., 2016 [40] | 3D/VR immersive video | Verbal/Keyboard | P *: Tactical board picture C: No extra training | 6 | 1 | 30 |
| Holding et al., 2017 [41] | Life-size Video | Specific action | P: Real game video | 1 | 1 | 8 |
| Gray et al., 2017 [34] | 3D/VR immersive video | Specific action | C: Regular training without extra session | 6 | 2 | 45 |
| Panchuk et al., 2018 [42] | 3D/VR immersive video | Specific action | C: Regular training without extra session | 3 | 4 | 5 |
| Sáez-Gallego et al., 2018 [43] | Computer video | Specific action | C: No extra training | 4 | 2 | 20 |
| Page et al., 2019 [35] | 3D/VR immersive video | Verbal/Keyboard | P *: Computer soccer video C: No extra training | 1 | 4 | 15 |
| Ehmann et al., 2022 [7] | 3D-MOT | Verbal/Keyboard | P *: Real game video C: No extra training | 5 | 2 | 20 |
| Harenberg et al., 2022 [36] | 3D-MOT | Specific action | P: Real game video | 4 | 2.5 | 25 |
Disclaimer/Publisher’s Note: The statements, opinions and data contained in all publications are solely those of the individual author(s) and contributor(s) and not of MDPI and/or the editor(s). MDPI and/or the editor(s) disclaim responsibility for any injury to people or property resulting from any ideas, methods, instructions or products referred to in the content. |
© 2024 by the authors. Licensee MDPI, Basel, Switzerland. This article is an open access article distributed under the terms and conditions of the Creative Commons Attribution (CC BY) license (https://creativecommons.org/licenses/by/4.0/).
Share and Cite
Zhu, R.; Zheng, M.; Liu, S.; Guo, J.; Cao, C. Effects of Perceptual-Cognitive Training on Anticipation and Decision-Making Skills in Team Sports: A Systematic Review and Meta-Analysis. Behav. Sci. 2024, 14, 919. https://doi.org/10.3390/bs14100919
Zhu R, Zheng M, Liu S, Guo J, Cao C. Effects of Perceptual-Cognitive Training on Anticipation and Decision-Making Skills in Team Sports: A Systematic Review and Meta-Analysis. Behavioral Sciences. 2024; 14(10):919. https://doi.org/10.3390/bs14100919
Chicago/Turabian StyleZhu, Ruihan, Man Zheng, Shuang Liu, Jia Guo, and Chunmei Cao. 2024. "Effects of Perceptual-Cognitive Training on Anticipation and Decision-Making Skills in Team Sports: A Systematic Review and Meta-Analysis" Behavioral Sciences 14, no. 10: 919. https://doi.org/10.3390/bs14100919
APA StyleZhu, R., Zheng, M., Liu, S., Guo, J., & Cao, C. (2024). Effects of Perceptual-Cognitive Training on Anticipation and Decision-Making Skills in Team Sports: A Systematic Review and Meta-Analysis. Behavioral Sciences, 14(10), 919. https://doi.org/10.3390/bs14100919

