Effects of Neuroticism on Differences in Symptom Structure of Life Satisfaction and Depression-Anxiety among College Students: A Network Analysis
Abstract
1. Introduction
2. Method
2.1. Participants
2.2. Measures
2.2.1. Big Five Inventory-2 (BFI-2)
2.2.2. Self-Rating Anxiety Scale (SAS)
2.2.3. Self-Rating Depression Scale (SDS)
2.2.4. Satisfaction with Life Scale (SWLS)
2.3. Data Analysis
3. Results
3.1. Network Structure
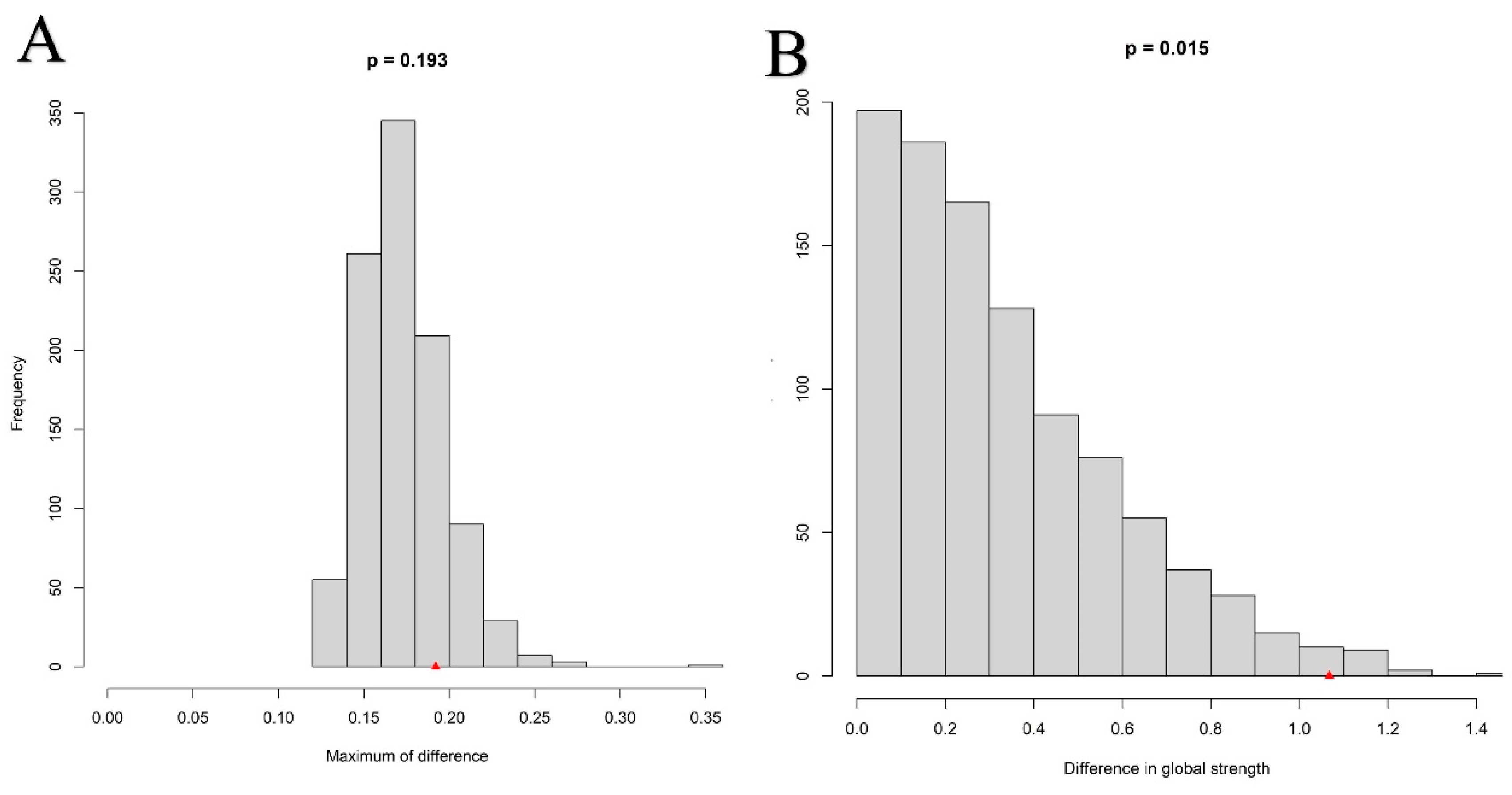
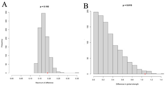
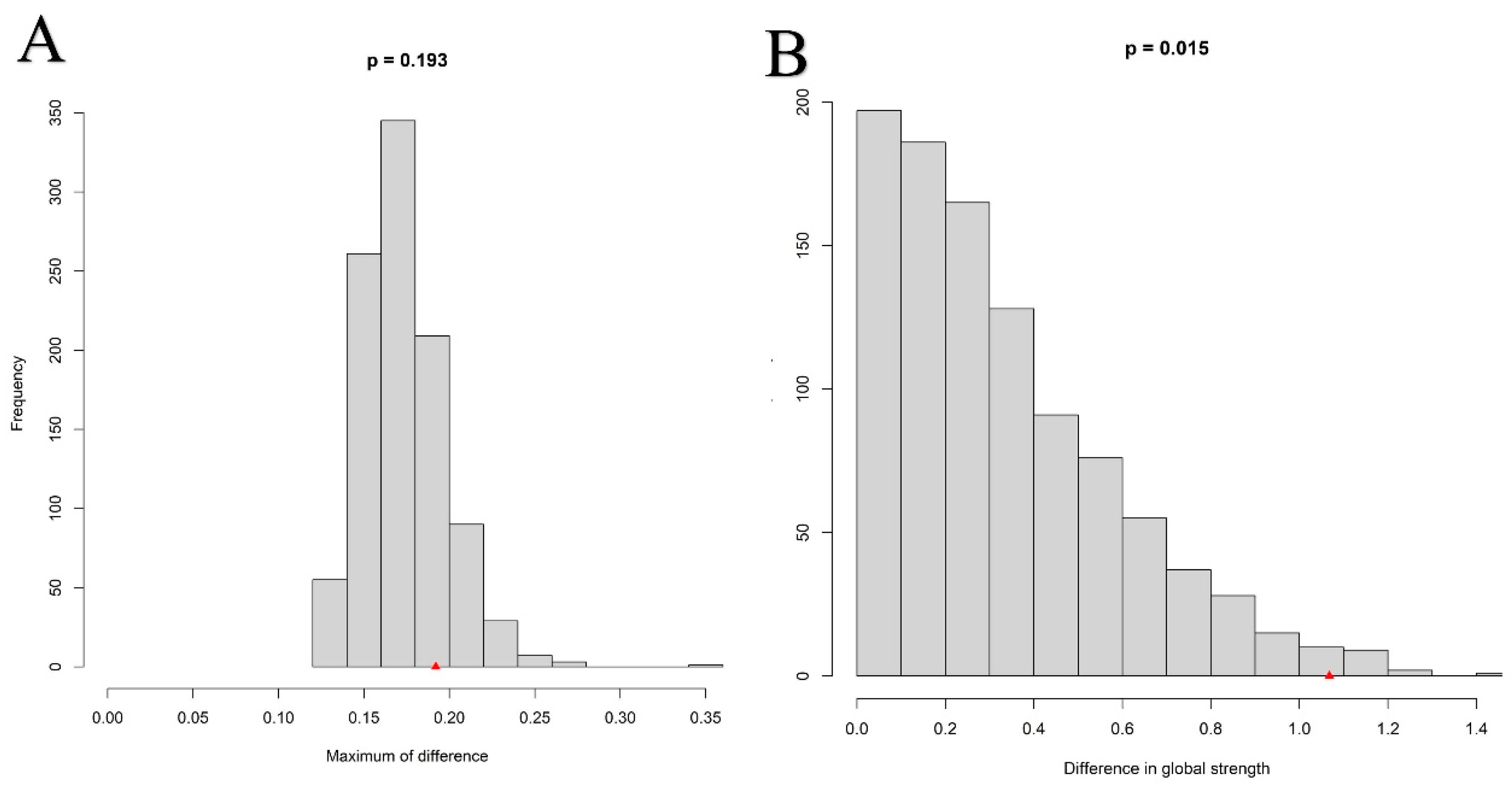
3.2. Network Comparison
3.3. Network Accuracy and Stability
4. Discussion
4.1. Bridge Symptoms of Depression-Anxiety Networks between the Low and High Neuroticism Groups
4.2. Difference in Global Strength between the High-Neuroticism Group and Low-Neuroticism Group
4.3. Flow Network between the Low and High Neuroticism Groups
4.4. Limitations and Conclusions
Supplementary Materials
Author Contributions
Funding
Institutional Review Board Statement
Informed Consent Statement
Data Availability Statement
Conflicts of Interest
References
- Proctor, C.; Linley, P.A.; Maltby, J.; Port, G. Life satisfaction. Encycl. Adolesc. 2017, 2, s2165–s2176. [Google Scholar]
- Suldo, S.M.; Riley, K.N.; Shaffer, E.J. Academic Correlates of Children and Adolescents’ Life Satisfaction. Sch. Psychol. Int. 2006, 27, 567–582. [Google Scholar] [CrossRef]
- Proctor, C.L.; Linley, P.A.; Maltby, J. Youth Life Satisfaction: A Review of the Literature. J. Happiness Stud. 2009, 10, 583–630. [Google Scholar] [CrossRef]
- Yalçın, İ. Social Support and Optimism as Predictors of Life Satisfaction of College Students. Int. J. Adv. Couns. 2011, 33, 79–87. [Google Scholar] [CrossRef]
- Stevic, C.R.; Ward, R.M. Initiating Personal Growth: The Role of Recognition and Life Satisfaction on the Development of College Students. Soc. Indic. Res. 2008, 89, 523–534. [Google Scholar] [CrossRef]
- Antaramian, S. The importance of very high life satisfaction for students’ academic success. Cogent Educ. 2017, 4, 1307622. [Google Scholar] [CrossRef]
- Hawi, N.S.; Samaha, M. The Relations Among Social Media Addiction, Self-Esteem, and Life Satisfaction in University Students. Soc. Sci. Comput. Rev. 2016, 35, 576–586. [Google Scholar] [CrossRef]
- Pengpid, S.; Peltzer, K. Sedentary Behaviour, Physical Activity and Life Satisfaction, Happiness and Perceived Health Status in University Students from 24 Countries. Int. J. Environ. Res. Public Health 2019, 16, 2084. [Google Scholar] [CrossRef]
- Kumar, H.; Shaheen, A.; Rasool, I.; Shafi, M. Psychological Distress and Life Satisfaction among University Students. J. Psychol. Clin. Psychiatry 2016, 5, 00283. [Google Scholar] [CrossRef]
- Bukhari, S.R.; Saba, F. Depression, anxiety and stress as negative predictors of life satisfaction in university students. Rawal. Med. J. 2017, 42, 255–257. [Google Scholar]
- Serin, N.B.; Serin, O.; Özbaş, L.F. Predicting university students’ life satisfaction by their anxiety and depression level. Procedia Soc. Behav. Sci. 2010, 9, 579–582. [Google Scholar] [CrossRef]
- Gigantesco, A.; Fagnani, C.; Toccaceli, V.; Stazi, M.A.; Lucidi, F.; Violani, C.; Picardi, A. The Relationship Between Satisfaction With Life and Depression Symptoms by Gender. Front. Psychiatry 2019, 10, 00419. [Google Scholar] [CrossRef] [PubMed]
- Goryczka, A.; Dębski, P.; Gogola, A.M.; Gorczyca, P.; Piegza, M. Depressive and Anxiety Symptoms and Their Relationships with Ego-Resiliency and Life Satisfaction among Well-Educated, Young Polish Citizens during the COVID-19 Pandemic. Int. J. Environ. Res. Public Health 2022, 19, 10364. [Google Scholar] [CrossRef]
- Al Omari, O.; Al Sabei, S.; Al Rawajfah, O.; Abu Sharour, L.; Aljohani, K.; Alomari, K.; Shkman, L.; Al Dameery, K.; Saifan, A.; Al Zubidi, B.; et al. Prevalence and Predictors of Depression, Anxiety, and Stress among Youth at the Time of COVID-19: An Online Cross-Sectional Multicountry Study. Depress. Res. Treat. 2020, 2020, 8887727. [Google Scholar] [CrossRef]
- Deng, J.; Zhou, F.; Hou, W.; Silver, Z.; Wong, C.Y.; Chang, O.; Drakos, A.; Zuo, Q.K.; Huang, E. The prevalence of depressive symptoms, anxiety symptoms and sleep disturbance in higher education students during the COVID-19 pandemic: A systematic review and meta-analysis. Psychiatry Res. 2021, 301, 113863. [Google Scholar] [CrossRef]
- Lopes, A.R.; Nihei, O.K. Depression, anxiety and stress symptoms in Brazilian university students during the COVID-19 pandemic: Predictors and association with life satisfaction, psychological well-being and coping strategies. PLoS ONE 2021, 16, e0258493. [Google Scholar] [CrossRef]
- Wang, S.; Li, H.; Chen, X.; Yan, N.; Wen, D. The mediating role of psychological capital in the association between life satisfaction and depressive and anxiety symptoms among Chinese medical students during the COVID-19 pandemic: A cross-sectional study. BMC Psychiatry 2023, 23, 398. [Google Scholar] [CrossRef]
- Borsboom, D.; Cramer, A.O. Network analysis: An integrative approach to the structure of psychopathology. Annu. Rev. Clin. Psychol. 2013, 9, 91–121. [Google Scholar] [CrossRef] [PubMed]
- Jones, P.J.; Ma, R.; McNally, R.J. Bridge Centrality: A Network Approach to Understanding Comorbidity. Multivar. Behav. Res. 2021, 56, 353–367. [Google Scholar] [CrossRef]
- Lyon, K.A.; Juhasz, G.; Brown, L.J.E.; Elliott, R. Big Five personality facets explaining variance in anxiety and depressive symptoms in a community sample. J. Affect. Disord. 2020, 274, 515–521. [Google Scholar] [CrossRef]
- Prince, E.J.; Siegel, D.J.; Carroll, C.P.; Sher, K.J.; Bienvenu, O.J. A longitudinal study of personality traits, anxiety, and depressive disorders in young adults. Anxiety Stress Coping 2021, 34, 299–307. [Google Scholar] [CrossRef] [PubMed]
- Digman, J.M. Personality structure: Emergence of the five-factor model. Annu. Rev. Psychol. 1990, 41, 417–440. [Google Scholar] [CrossRef]
- Gosling, S.D.; Rentfrow, P.J.; Swann, W.B. A very brief measure of the Big-Five personality domains. J. Res. Pers. 2003, 37, 504–528. [Google Scholar] [CrossRef]
- Zhang, F. Neuroticism. In The Wiley Encyclopedia of Personality and Individual Differences; Wiley: Hoboken, NJ, USA, 2020; pp. 281–286. [Google Scholar]
- Griffith, J.W.; Zinbarg, R.E.; Craske, M.G.; Mineka, S.; Rose, R.D.; Waters, A.M.; Sutton, J.M. Neuroticism as a common dimension in the internalizing disorders. Psychol. Med. 2010, 40, 1125–1136. [Google Scholar] [CrossRef]
- Pereira-Morales, A.J.; Adan, A.; Forero, D.A. Perceived Stress as a Mediator of the Relationship between Neuroticism and Depression and Anxiety Symptoms. Curr. Psychol. 2019, 38, 66–74. [Google Scholar] [CrossRef]
- Jeronimus, B.F.; Ormel, J.; Aleman, A.; Penninx, B.W.J.H.; Riese, H. Negative and positive life events are associated with small but lasting change in neuroticism. Psychol. Med. 2013, 43, 2403–2415. [Google Scholar] [CrossRef]
- Chen, X.; Pu, J.; Shi, W.; Zhou, Y. The Impact of Neuroticism on Symptoms of Anxiety and Depression in Elderly Adults: The Mediating Role of Rumination. Curr. Psychol. 2020, 39, 42–50. [Google Scholar] [CrossRef]
- Lyon, K.A.; Elliott, R.; Ware, K.; Juhasz, G.; Brown, L.J.E. Associations between Facets and Aspects of Big Five Personality and Affective Disorders:A Systematic Review and Best Evidence Synthesis. J. Affect. Disord. 2021, 288, 175–188. [Google Scholar] [CrossRef]
- Brandes, C.M.; Herzhoff, K.; Smack, A.J.; Tackett, J.L. The p Factor and the n Factor: Associations Between the General Factors of Psychopathology and Neuroticism in Children. Clin. Psychol. Sci. 2019, 7, 1266–1284. [Google Scholar] [CrossRef]
- Williams, A.L.; Craske, M.G.; Mineka, S.; Zinbarg, R.E. Neuroticism and the longitudinal trajectories of anxiety and depressive symptoms in older adolescents. J. Abnorm. Psychol. 2021, 130, 126–140. [Google Scholar] [CrossRef]
- Wang, X.; Lin, J.; Liu, Q.; Lv, X.; Wang, G.; Wei, J.; Zhu, G.; Chen, Q.; Tian, H.; Zhang, K.; et al. Major depressive disorder comorbid with general anxiety disorder: Associations among neuroticism, adult stress, and the inflammatory index. J. Psychiatr. Res. 2022, 148, 307–314. [Google Scholar] [CrossRef] [PubMed]
- Banjongrewadee, M.; Wongpakaran, N.; Wongpakaran, T.; Pipanmekaporn, T.; Punjasawadwong, Y.; Mueankwan, S. The role of perceived stress and cognitive function on the relationship between neuroticism and depression among the elderly: A structural equation model approach. BMC Psychiatry 2020, 20, 25. [Google Scholar] [CrossRef] [PubMed]
- Ikizer, G.; Kowal, M.; Aldemir, İ.D.; Jeftić, A.; Memisoglu-Sanli, A.; Najmussaqib, A.; Lacko, D.; Eichel, K.; Turk, F.; Chrona, S.; et al. Big Five traits predict stress and loneliness during the COVID-19 pandemic: Evidence for the role of neuroticism. Pers. Individ. Differ. 2022, 190, 111531. [Google Scholar] [CrossRef]
- Hakulinen, C.; Elovainio, M.; Pulkki-Råback, L.; Virtanen, M.; Kivimäki, M.; Jokela, M. Personality and depressive symptoms: Individual participant meta-analysis of 10 cohort studies. Depress. Anxiety 2015, 32, 461–470. [Google Scholar] [CrossRef]
- Vreeke, L.J.; Muris, P. Relations Between Behavioral Inhibition, Big Five Personality Factors, and Anxiety Disorder Symptoms in Non-Clinical and Clinically Anxious Children. Child Psychiat. Hum. Dev. 2012, 43, 884–894. [Google Scholar] [CrossRef]
- Vittengl, J.R. Who pays the price for high neuroticism? Moderators of longitudinal risks for depression and anxiety. Psychol. Med. 2017, 47, 1794–1805. [Google Scholar] [CrossRef]
- Aldinger, M.; Stopsack, M.; Ulrich, I.; Appel, K.; Reinelt, E.; Wolff, S.; Grabe, H.J.; Lang, S.; Barnow, S. Neuroticism developmental courses—Implications for depression, anxiety and everyday emotional experience; a prospective study from adolescence to young adulthood. BMC Psychiatry 2014, 14, 210. [Google Scholar] [CrossRef] [PubMed]
- Vinograd, M.; Williams, A.; Sun, M.; Bobova, L.; Wolitzky-Taylor, K.B.; Vrshek-Schallhorn, S.; Mineka, S.; Zinbarg, R.E.; Craske, M.G. Neuroticism and Interpretive Bias as Risk Factors for Anxiety and Depression. Clin. Psychol. Sci. 2020, 8, 641–656. [Google Scholar] [CrossRef]
- Schunk, F.; Trommsdorff, G. Longitudinal associations of neuroticism with life satisfaction and social adaptation in a nationally representative adult sample. J. Pers. 2022, 00, 1–15. [Google Scholar] [CrossRef]
- Wang, C.; Havewala, M.; Zhu, Q. COVID-19 stressful life events and mental health: Personality and coping styles as moderators. J. Am. Coll. Health 2022, 26, 1–10. [Google Scholar] [CrossRef]
- Sawyer, S.M.; Azzopardi, P.S.; Wickremarathne, D.; Patton, G.C. The age of adolescence. Lancet Child Adolesc. Health 2018, 2, 223–228. [Google Scholar] [CrossRef] [PubMed]
- Zhang, B.; Li, Y.M.; Li, J.; Luo, J.; Ye, Y.; Yin, L.; Chen, Z.; Soto, C.J.; John, O.P. The Big Five Inventory–2 in China: A Comprehensive Psychometric Evaluation in Four Diverse Samples. Assessment 2021, 29, 1262–1284. [Google Scholar] [CrossRef] [PubMed]
- Zung, W.W. A rating instrument for anxiety disorders. Psychosom. J. Consult. Liaison Psychiatry 1971, 12, 371–379. [Google Scholar] [CrossRef]
- Phillips, M. Evaluation and revision of translated Western scales. In Rating Scales for Mental Health; Chinese Mental Health: Shanghai, China, 1993; pp. 343–351. [Google Scholar]
- Zung, W.W.K. A Self-Rating Depression Scale. Arch. Gen. Psychiatry 1965, 12, 63–70. [Google Scholar] [CrossRef] [PubMed]
- Wang, X.D.; Wang, X.L.; Ma, H. Handbook of mental health assessment scale. Chin. Ment. Health J. 1999, 13, 31–35. [Google Scholar]
- Diener, E.; Emmons, R.A.; Larsen, R.J.; Griffin, S. The Satisfaction With Life Scale. J. Pers. Assess. 1985, 49, 71–75. [Google Scholar] [CrossRef] [PubMed]
- Xiong, C.; Xu, Y. Reliability and validity of the satisfaction with life scale for Chinese demos. China J. Health Psychol. 2009, 17, 948–949. [Google Scholar] [CrossRef]
- R Core Team. R: A Language and Environment for Statistical Computing, 4.3.0. 2023. Available online: https://www.r-project.org/ (accessed on 9 June 2023).
- Subirana, I.; Sanz, H.; Vila, J. Building bivariate tables: The compareGroups package for R. J. Stat. Softw. 2014, 57, 1–16. [Google Scholar] [CrossRef]
- Epskamp, S.; Cramer, A.O.J.; Waldorp, L.J.; Schmittmann, V.D.; Borsboom, D. qgraph: Network Visualizations of Relationships in Psychometric Data. J. Stat. Softw. 2012, 48, 1–18. [Google Scholar] [CrossRef]
- Epskamp, S.; Waldorp, L.J.; Mõttus, R.; Borsboom, D. The Gaussian Graphical Model in Cross-Sectional and Time-Series Data. Multivar. Behav. Res. 2018, 53, 453–480. [Google Scholar] [CrossRef]
- Epskamp, S.; Borsboom, D.; Fried, E.I. Estimating psychological networks and their accuracy: A tutorial paper. Behav. Res. Methods 2018, 50, 195–212. [Google Scholar] [CrossRef]
- Epskamp, S.; Fried, E.I. A tutorial on regularized partial correlation networks. Psychol. Methods 2018, 23, 617–634. [Google Scholar] [CrossRef]
- Wei, Z.; Ren, L.; Yang, L.; Liu, C.; Cao, M.; Yang, Q.; Liu, X.; Liu, Y.; Deng, Y. The relationship between social anxiety and felt stigma in patients with epilepsy: A network analysis. Seizure 2021, 92, 76–81. [Google Scholar] [CrossRef]
- Haslbeck, J.M.B.; Waldorp, L.J. mgm: Estimating Time-Varying Mixed Graphical Models in High-Dimensional Data. J. Stat. Softw. 2020, 93, 1–46. [Google Scholar] [CrossRef]
- Robinaugh, D.J.; Millner, A.J.; McNally, R.J. Identifying highly influential nodes in the complicated grief network. J. Abnorm. Psychol. 2016, 125, 747–757. [Google Scholar] [CrossRef]
- Haslbeck, J.M.B.; Fried, E.I. How predictable are symptoms in psychopathological networks? A reanalysis of 18 published datasets. Psychol. Med. 2017, 47, 2767–2776. [Google Scholar] [CrossRef] [PubMed]
- Elliott, H.; Jones, P.J.; Schmidt, U. Central symptoms predict posttreatment outcomes and clinical impairment in anorexia nervosa: A network analysis. Clin. Psychol. Sci. 2020, 8, 139–154. [Google Scholar] [CrossRef]
- Kaiser, T.; Herzog, P.; Voderholzer, U.; Brakemeier, E.-L. Unraveling the comorbidity of depression and anxiety in a large inpatient sample: Network analysis to examine bridge symptoms. Depress. Anxiety 2021, 38, 307–317. [Google Scholar] [CrossRef] [PubMed]
- van Borkulo, C.D.; van Bork, R.; Boschloo, L.; Kossakowski, J.J.; Tio, P.; Schoevers, R.A.; Borsboom, D.; Waldorp, L.J. Comparing network structures on three aspects: A permutation test. Psychol. Methods 2022. [Google Scholar] [CrossRef]
- Tarokh, L.; Saletin, J.M.; Carskadon, M.A. Sleep in adolescence: Physiology, cognition and mental health. Neurosci. Biobehav. Rev. 2016, 70, 182–188. [Google Scholar] [CrossRef] [PubMed]
- Miletínová, E.; Bušková, J. Functions of Sleep. Physiol. Res. 2021, 70, 177–182. [Google Scholar] [CrossRef]
- Zou, P.; Wang, X.; Sun, L.; Liu, K.; Hou, G.; Yang, W.; Liu, C.; Yang, H.; Zhou, N.; Zhang, G.; et al. Poorer sleep quality correlated with mental health problems in college students: A longitudinal observational study among 686 males. J. Psychosomat. Res. 2020, 136, 110177. [Google Scholar] [CrossRef] [PubMed]
- Altena, E.; Micoulaud-Franchi, J.-A.; Geoffroy, P.-A.; Sanz-Arigita, E.; Bioulac, S.; Philip, P. The bidirectional relation between emotional reactivity and sleep: From disruption to recovery. Behav. Neurosci. 2016, 130, 336–350. [Google Scholar] [CrossRef]
- Tempesta, D.; Socci, V.; De Gennaro, L.; Ferrara, M. Sleep and emotional processing. Sleep Med. Rev. 2018, 40, 183–195. [Google Scholar] [CrossRef]
- João, K.A.D.R.; Jesus, S.N.d.; Carmo, C.; Pinto, P. The impact of sleep quality on the mental health of a non-clinical population. Sleep Med. 2018, 46, 69–73. [Google Scholar] [CrossRef]
- Milojevich, H.M.; Lukowski, A.F. Sleep and mental health in undergraduate students with generally healthy sleep habits. PLoS ONE 2016, 11, e0156372. [Google Scholar] [CrossRef] [PubMed]
- Wang, S.; Hou, W.; Tao, Y.; Ma, Z.; Li, K.; Wang, Y.; Liu, X.; Zhang, L. Mapping Network Connection Among Symptoms of Anxiety, Depression, and Sleep Disturbance in Chinese High School Students. Front. Public Health 2022, 10, 1015166. [Google Scholar] [CrossRef]
- Ma, Z.; Wang, D.; Chen, Y.; Tao, Y.; Yang, Z.; Zhang, Y.; Huang, S.; Bu, L.; Wang, C.; Wu, L.; et al. Network structure of insomnia and depressive symptoms among shift workers in China. Sleep Med. 2022, 100, 150–156. [Google Scholar] [CrossRef]
- Nutt, D.; Wilson, S.; Paterson, L. Sleep disorders as core symptoms of depression. Dialogues Clin. Neurosci. 2008, 10, 329–336. [Google Scholar] [CrossRef] [PubMed]
- Riemann, D.; Krone, L.B.; Wulff, K.; Nissen, C. Sleep, insomnia, and depression. Neuropsychopharmacology 2020, 45, 74–89. [Google Scholar] [CrossRef]
- Staner, L. Sleep and anxiety disorders. Dialogues Clin. Neurosci. 2003, 5, 249–258. [Google Scholar] [CrossRef]
- Chellappa, S.L.; Aeschbach, D. Sleep and anxiety: From mechanisms to interventions. Sleep Med. Rev. 2022, 61, 101583. [Google Scholar] [CrossRef]
- Uhde, T.W.; Cortese, B.M.; Vedeniapin, A. Anxiety and sleep problems: Emerging concepts and theoretical treatment implications. Curr. Psychiatry Rep. 2009, 11, 269–276. [Google Scholar] [CrossRef]
- Fang, H.; Tu, S.; Sheng, J.; Shao, A. Depression in sleep disturbance: A review on a bidirectional relationship, mechanisms and treatment. J. Cell. Mol. Med. 2019, 23, 2324–2332. [Google Scholar] [CrossRef] [PubMed]
- Eysenck, M.W.; Fajkowska, M. Anxiety and depression: Toward overlapping and distinctive features. Cogn. Emot. 2018, 32, 1391–1400. [Google Scholar] [CrossRef]
- Clark, L.A.; Watson, D. Tripartite model of anxiety and depression: Psychometric evidence and taxonomic implications. J. Abnorm. Psychol. 1991, 100, 316–336. [Google Scholar] [CrossRef]
- Mineka, S.; Watson, D.; Clark, L.A. Comorbidity of anxiety and unipolar mood disorders. Annu. Rev. Psychol. 1998, 49, 377–412. [Google Scholar] [CrossRef]
- Khazanov, G.K.; Ruscio, A.M. Is low positive emotionality a specific risk factor for depression? A meta-analysis of longitudinal studies. Psychol. Bull. 2016, 142, 991–1015. [Google Scholar] [CrossRef]
- Hisler, G.C.; Krizan, Z.; DeHart, T.; Wright, A.G.C. Neuroticism as the intensity, reactivity, and variability in day-to-day affect. J. Res. Pers. 2020, 87, 103964. [Google Scholar] [CrossRef]
- Williams, D.G. Effects of psychoticism, extraversion, and neuroticism in current mood: A statistical review of six studies. Pers. Individ. Differ. 1990, 11, 615–630. [Google Scholar] [CrossRef]
- Tao, Y.; Hou, W.; Niu, H.; Ma, Z.; Shuang, Z.; Zhang, L.; Liu, X. Centrality and bridge symptoms of anxiety, depression, and sleep disturbance among college students during the COVID-19 pandemic—A network analysis. Curr. Psychol. 2022, 41, 1–12. [Google Scholar] [CrossRef] [PubMed]
- Ng, W. Clarifying the relation between neuroticism and positive emotions. Pers. Individ. Differ. 2009, 47, 69–72. [Google Scholar] [CrossRef]
- McNally, R.J. Networks and Nosology in Posttraumatic Stress Disorder. JAMA Psychiatry 2017, 74, 124–125. [Google Scholar] [CrossRef] [PubMed]
- Smith, E.M.; Reynolds, S.; Orchard, F.; Whalley, H.C.; Chan, S.W.Y. Cognitive biases predict symptoms of depression, anxiety and wellbeing above and beyond neuroticism in adolescence. J. Affect. Disord. 2018, 241, 446–453. [Google Scholar] [CrossRef]
- Ormel, J.; Bastiaansen, A.; Riese, H.; Bos, E.H.; Servaas, M.; Ellenbogen, M.; Rosmalen, J.G.M.; Aleman, A. The biological and psychological basis of neuroticism: Current status and future directions. Neurosci. Biobehav. Rev. 2013, 37, 59–72. [Google Scholar] [CrossRef]
- He, M.; Li, K.; Tan, X.; Zhang, L.; Su, C.; Luo, K.; Luo, X.; Liu, C.; Zhao, M.; Zhan, X.; et al. Association of burnout with depression in pharmacists: A network analysis. Front. Psychiatry 2023, 14, 1145606. [Google Scholar] [CrossRef]
- Ritchie, T.D.; Sedikides, C.; Wildschut, T.; Arndt, J.; Gidron, Y. Self-concept Clarity Mediates the Relation between Stress and Subjective Well-being. Self Identity 2011, 10, 493–508. [Google Scholar] [CrossRef]
- Julom, A.M.; de Guzmán, R. The effectiveness of logotherapy program in alleviating the sense of meaninglessness of paralyzed in-patients. Int. J. Psychol. Psychol. Ther. 2013, 13, 357–371. [Google Scholar]
- Frankl, V.E. Man’s Search for Meaning; Simon and Schuster: New York, NY, USA, 1985. [Google Scholar]
- Robatmili, S.; Sohrabi, F.; Shahrak, M.A.; Talepasand, S.; Nokani, M.; Hasani, M. The Effect of Group Logotherapy on Meaning in Life and Depression Levels of Iranian Students. Int. J. Adv. Couns. 2015, 37, 54–62. [Google Scholar] [CrossRef]
- Sun, F.-K.; Chiu, N.-M.; Yao, Y.; Wu, M.-K.; Hung, C.-F.; Chen, C.-C.; Lee, Y.-H.; Chiang, C.-Y. The effects of logotherapy on meaning in life, depression, hopelessness, and suicidal ideation, in patients with depression: An intervention study. Perspect. Psychiatr. Care 2022, 58, 1891–1899. [Google Scholar] [CrossRef]
- Hervás, G.; Vázquez, C. Construction and validation of a measure of integrative well-being in seven languages: The Pemberton Happiness Index. Health Qual. Life Outcomes 2013, 11, 66. [Google Scholar] [CrossRef] [PubMed]
- Huta, V. An overview of hedonic and eudaimonic well-being concepts. In Handbook of Media Use and Well-Being; Routledge: New York, NY, USA, 2016; Volume 2. [Google Scholar]
- Delle Fave, A.; Brdar, I.; Freire, T.; Vella-Brodrick, D.; Wissing, M.P. The Eudaimonic and Hedonic Components of Happiness: Qualitative and Quantitative Findings. Soc. Indic. Res. 2011, 100, 185–207. [Google Scholar] [CrossRef]
- Wenzler, S.; Hagen, M.; Tarvainen, M.P.; Hilke, M.; Ghirmai, N.; Huthmacher, A.-C.; Trettin, M.; van Dick, R.; Reif, A.; Oertel-Knöchel, V. Intensified emotion perception in depression: Differences in physiological arousal and subjective perceptions. Psychiatry Res. 2017, 253, 303–310. [Google Scholar] [CrossRef] [PubMed]
- Brandel, M.; Vescovelli, F.; Ruini, C. Beyond Ryff’s scale: Comprehensive measures of eudaimonic well-being in clinical populations. A systematic review. Clin. Psychol. Psychother. 2017, 24, O1524–O1546. [Google Scholar] [CrossRef] [PubMed]





| Labels | Symptoms | Items | Low-Neuroticism Group (n = 548) | High-Neuroticism Group (n = 685) | p |
|---|---|---|---|---|---|
| Mean (SD) | Mean (SD) | ||||
| SAS1 | Anxiousness | I feel more nervous and anxious than usual | 1.56 (0.70) | 2.30 (0.84) | <0.001 |
| SAS2 | Fear | I feel afraid for no reason at all | 1.32 (0.61) | 2.01 (0.86) | <0.001 |
| SAS3 | Panic | I get upset easily or feel panicky | 1.39 (0.61) | 2.14 (0.87) | <0.001 |
| SAS4 | Mental disintegration | I feel like I’m falling apart and going to pieces | 1.26 (0.57) | 1.86 (0.89) | <0.001 |
| SAS5 | Apprehension | I feel that everything is all right and nothing bad will happen | 2.05 (1.00) | 2.51 (0.87) | <0.001 |
| SAS6 | Tremors | My arms and legs shake and tremble | 1.31 (0.59) | 1.72 (0.81) | <0.001 |
| SAS7 | Body aches & pains | I am bothered by headaches neck and back pain | 1.47 (0.74) | 2.00 (0.89) | <0.001 |
| SAS8 | Easy fatiguability & weakness | I feel weak and get tired easily | 1.51 (0.74) | 2.20 (0.86) | <0.001 |
| SAS9 | Restlessness | I feel calm and can sit still easily | 1.93 (0.91) | 2.45 (0.88) | <0.001 |
| SAS10 | Palpitation | I can feel my heart beating fast | 1.47 (0.71) | 1.86 (0.79) | <0.001 |
| SAS11 | Dizziness | I am bothered by dizzy spells | 1.34 (0.64) | 1.80 (0.84) | <0.001 |
| SAS12 | Faintness | I have fainting spells or feel like it | 1.26 (0.59) | 1.69 (0.84) | <0.001 |
| SAS13 | Dyspnea | I can breathe in and out easily | 2.64 (1.30) | 2.65 (1.08) | 0.937 |
| SAS14 | Paresthesias | I get feelings of numbness and tingling in my fingers and toes | 1.22 (0.54) | 1.68 (0.83) | <0.001 |
| SAS15 | Nausea & vomiting | I am bothered by stomachaches or indigestion | 1.42 (0.72) | 1.89 (0.91) | <0.001 |
| SAS16 | Urinary frequency | I have to empty my bladder often | 1.42 (0.71) | 1.88 (0.90) | <0.001 |
| SAS17 | Sweating | My hands are usually dry and warm | 2.57 (1.09) | 2.71 (0.96) | 0.017 |
| SAS18 | Face flushing | My face gets hot and blushes | 1.57 (0.78) | 1.94 (0.84) | <0.001 |
| SAS19 | Insomnia | I fall asleep easily and get a good night’s rest | 2.03 (1.10) | 2.36 (0.98) | <0.001 |
| SAS20 | Nightmares | I have nightmares | 1.35 (0.68) | 1.78 (0.85) | <0.001 |
| SDS1 | Depressed affect | I feel down-hearted and blue | 1.36 (0.65) | 2.05 (0.84) | <0.001 |
| SDS2 | Diurnal variation | I feel the worst in the morning | 2.49 (1.09) | 2.75 (0.93) | <0.001 |
| SDS3 | Crying spells | I have crying spells or feel like it | 1.37 (0.66) | 1.93 (0.89) | <0.001 |
| SDS4 | Sleep disturbance | I have trouble sleeping at night | 1.43 (0.76) | 1.91 (0.95) | <0.001 |
| SDS5 | Decreased appetite | I eat less than usual | 2.05 (1.11) | 2.35 (0.99) | <0.001 |
| SDS6 | Decreased libido | I don’t feel as happy as before when I have close contact with the opposite sex | 2.28 (1.08) | 2.60 (0.96) | <0.001 |
| SDS7 | Weight loss | I notice that I am losing weight | 1.67 (0.86) | 1.90 (0.90) | <0.001 |
| SDS8 | Constipation | I’m troubled with constipation | 1.39 (0.72) | 1.76 (0.88) | <0.001 |
| SDS9 | Tachycardia | My heart beats faster than usual | 1.36 (0.68) | 1.77 (0.84) | <0.001 |
| SDS10 | Fatigue | I get tired for no reason | 1.45 (0.73) | 2.07 (0.88) | <0.001 |
| SDS11 | Confusion | I don’t have a clear mind as usual | 2.08 (1.09) | 2.47 (0.89) | <0.001 |
| SDS12 | Psychomotor retardation | I find it difficult to do what I used to do regularly | 2.26 (1.07) | 2.57 (0.89) | <0.001 |
| SDS13 | Psychomotor agitation | I am restless and can’t keep still | 1.40 (0.70) | 1.99 (0.88) | <0.001 |
| SDS14 | Hopelessness | I have no hope for the future | 1.82 (1.02) | 2.27 (0.93) | <0.001 |
| SDS15 | Irritability | I am more irritable than usual | 1.38 (0.68) | 2.00 (0.87) | <0.001 |
| SDS16 | Indecisiveness | I find it difficult to make decisions | 2.37 (1.02) | 2.68 (0.88) | <0.001 |
| SDS17 | Personal devaluation | I feel like a useless person and that no one needs me | 1.90 (0.97) | 2.40 (0.87) | <0.001 |
| SDS18 | Emptiness | My life is meaningless | 1.88 (0.95) | 2.43 (0.87) | <0.001 |
| SDS19 | Suicidal rumination | I feel that others would be better off if I were dead | 1.34 (0.70) | 1.77 (0.87) | <0.001 |
| SDS20 | Dissatisfaction | I’m no longer interested in what I’m usually interest in | 1.89 (1.00) | 2.27 (0.88) | <0.001 |
| LS | Life Satisfaction | 24.0 (6.12) | 20.3 (5.63) | <0.001 | |
| Age | 18.3 (0.80) | 18.3 (0.75) | 0.107 | ||
| Neuroticism | 25.2 (5.82) | 38.2 (4.55) | <0.001 |
Disclaimer/Publisher’s Note: The statements, opinions and data contained in all publications are solely those of the individual author(s) and contributor(s) and not of MDPI and/or the editor(s). MDPI and/or the editor(s) disclaim responsibility for any injury to people or property resulting from any ideas, methods, instructions or products referred to in the content. |
© 2023 by the authors. Licensee MDPI, Basel, Switzerland. This article is an open access article distributed under the terms and conditions of the Creative Commons Attribution (CC BY) license (https://creativecommons.org/licenses/by/4.0/).
Share and Cite
Tang, Q.; He, X.; Zhang, L.; Liu, X.; Tao, Y.; Liu, G. Effects of Neuroticism on Differences in Symptom Structure of Life Satisfaction and Depression-Anxiety among College Students: A Network Analysis. Behav. Sci. 2023, 13, 641. https://doi.org/10.3390/bs13080641
Tang Q, He X, Zhang L, Liu X, Tao Y, Liu G. Effects of Neuroticism on Differences in Symptom Structure of Life Satisfaction and Depression-Anxiety among College Students: A Network Analysis. Behavioral Sciences. 2023; 13(8):641. https://doi.org/10.3390/bs13080641
Chicago/Turabian StyleTang, Qihui, Xiaoyan He, Liang Zhang, Xiangping Liu, Yanqiang Tao, and Gang Liu. 2023. "Effects of Neuroticism on Differences in Symptom Structure of Life Satisfaction and Depression-Anxiety among College Students: A Network Analysis" Behavioral Sciences 13, no. 8: 641. https://doi.org/10.3390/bs13080641
APA StyleTang, Q., He, X., Zhang, L., Liu, X., Tao, Y., & Liu, G. (2023). Effects of Neuroticism on Differences in Symptom Structure of Life Satisfaction and Depression-Anxiety among College Students: A Network Analysis. Behavioral Sciences, 13(8), 641. https://doi.org/10.3390/bs13080641

