Prioritizing Career Preparation: Learning Achievements and Extracurricular Activities of Undergraduate Students for Future Success
Abstract
1. Introduction
2. Literature Review
2.1. Criteria for Career Preparation: Importance, Performance, and External Assistance
2.2. Integration with IPA and AHP, and AHP Applications for Career Preparation
2.3. Alternative Activities for Job Preparation
3. Research Model and Methodology of AHP
3.1. Research Model
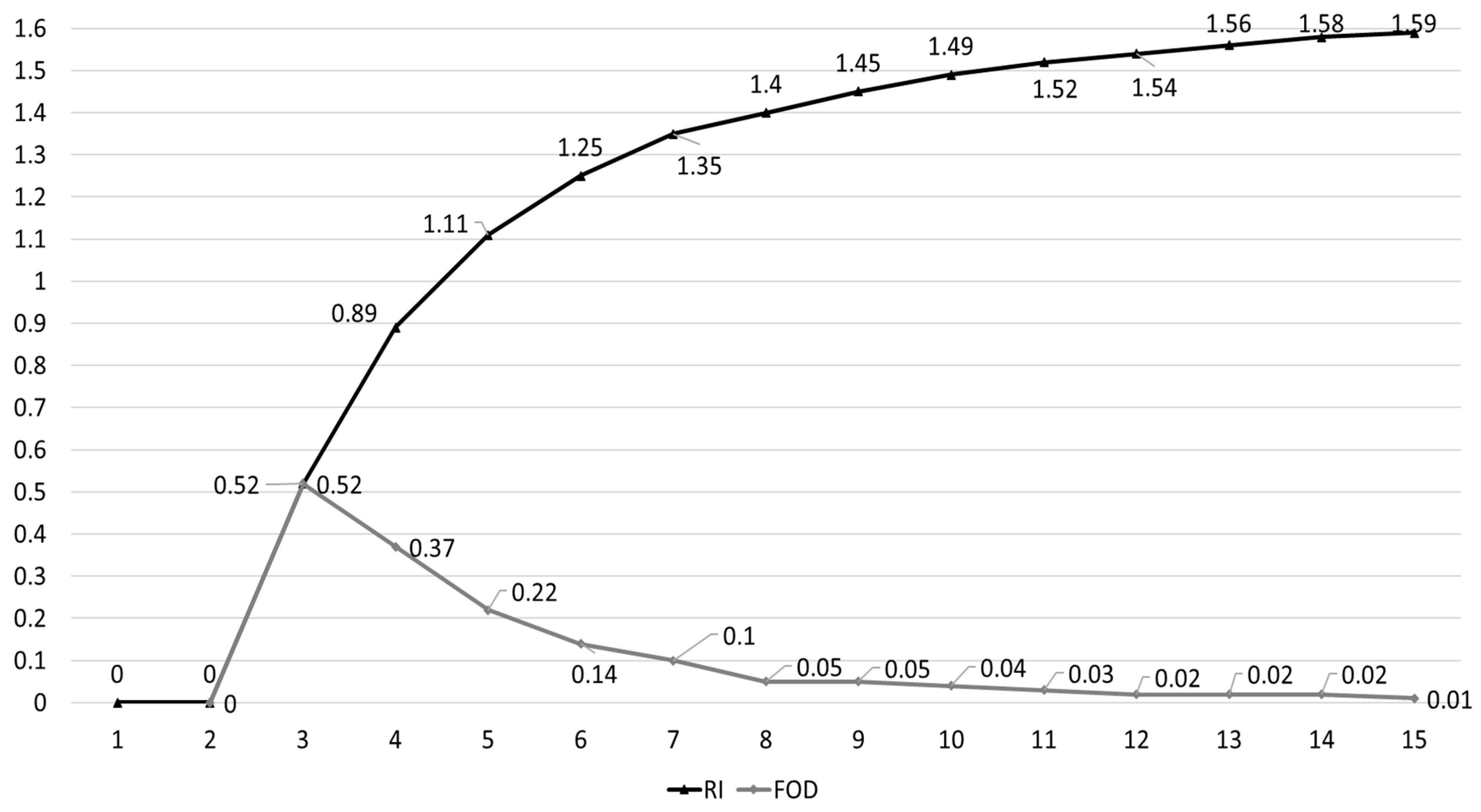
3.2. Statistical Method: AHP
4. Sample Data
Participants, Data Sources, and Variables
5. Results
6. Discussion
6.1. Academic Highlights
6.2. Practical Implications
7. Conclusions
Funding
Institutional Review Board Statement
Informed Consent Statement
Data Availability Statement
Acknowledgments
Conflicts of Interest
Appendix A
| Panel A. Announcement on the Privacy Laws and the Informed Consent | ||||||||
| 1. This survey complies with all relevant laws/rules concerning information/privacy protection, specifically Article of 15 and 17 in the Personal Information Protection Act of Republic of Korea. 2. The participants’ information will be used exclusively for research purposes and to improve the quality of relevant courses. 3. All information collected during this survey will be kept strictly confidential and will be deleted immediately after we have completed our analysis. 4. If you do not want to participate in this survey, you can stop answering the survey without completion.  | ||||||||
| Panel B. Three questions on comparative priorities between decision criteria | ||||||||
| In this survey, we would like to ask you to compare three aspects: relative importance, performance (or achievement), and the need for external help for your priority to prepare for future jobs and/or career development. | ||||||||
| 1. When it comes to preparing for future jobs or career development, which of the following options do you prioritize more: relative importance or performance? Please select one of the following answers (A to I) based on your preference. | ||||||||
| A | B | C | D | E | F | G | H | I | 
| I prefer importance. | - | - | - | I prefer them equally. | - | - | - | I prefer performance. | 
| 2. When it comes to preparing for future jobs or career development, which of the following options do you prioritize more: relative importance or the need for external help? Please select one of the following answers (A to I) based on your preference. | ||||||||
| A | B | C | D | E | F | G | H | I | 
| I prefer importance. | - | - | - | I prefer them equally. | - | - | - | I prefer the need for external help. | 
| 3. When it comes to preparing for future jobs or career development, which of the following options do you prioritize more: performance or the need for external help? Please select one of the following answers (A to I) based on your preference. | ||||||||
| A | B | C | D | E | F | G | H | I | 
| I prefer performance. | - | - | - | I prefer them equally. | - | - | - | I prefer the need for external help. | 
| Panel C1. Ten questions on comparative priorities between alternative activities based on the criterion of importance | ||||||||
| We would like to ask you to participate in this survey by comparing five alternative activities based on their importance for preparing for future jobs or career development. The activities we are interested in are as follows: 1. GPA in major courses 2. Networking with alumni/university 3. Job-related qualifications 4. Internship/job experiences 5. Extracurricular activities (such as competition exhibitions/fairs)  | ||||||||
| 4. When it comes to preparing for future jobs or career development, which of the following options do you prioritize more: GPA in major courses or networking with alumni/university? Please select one of the following answers (A to I) based on the criterion of importance. | ||||||||
| A | B | C | D | E | F | G | H | I | 
| I prefer GPA in major courses. | - | - | - | I prefer them equally. | - | - | - | I prefer networking with alumni/university. | 
| 5. When it comes to preparing for future jobs or career development, which of the following options do you prioritize more: GPA in major courses or job-related qualifications? Please select one of the following answers (from A to I) based on the criterion of importance. | ||||||||
| A | B | C | D | E | F | G | H | I | 
| I prefer GPA in major courses. | - | - | - | I prefer them equally. | - | - | - | I prefer job-related qualifications. | 
| 6. When it comes to preparing for future jobs or career development, which of the following options do you prioritize more: GPA in major courses or intern/job experiences? Please select one of the following answers (from A to I) based on the criterion of importance. | ||||||||
| A | B | C | D | E | F | G | H | I | 
| I prefer GPA in major courses. | - | - | - | I prefer them equally. | - | - | - | I prefer intern/job experiences. | 
| 7. When it comes to preparing for future jobs or career development, which of the following options do you prioritize more: GPA in major courses or extracurricular activities? Please select one of the following answers (A to I) based on the criterion of importance. | ||||||||
| A | B | C | D | E | F | G | H | I | 
| I prefer GPA in major courses. | - | - | - | I prefer them equally. | - | - | - | I prefer extracurricular activities. | 
| 8. When it comes to preparing for future jobs or career development, which of the following options do you prioritize more: networking with alumni/university or job-related qualifications? Please select one of the following answers (A to I) based on the criterion of importance. | ||||||||
| A | B | C | D | E | F | G | H | I | 
| I prefer networking with alumni/university. | - | - | - | I prefer them equally. | - | - | - | I prefer job-related qualifications. | 
| 9. When it comes to preparing for future jobs or career development, which of the following options do you prioritize more: networking with alumni/university or intern/job experiences? Please select one of the following answers (A to I) based on the criterion of importance. | ||||||||
| A | B | C | D | E | F | G | H | I | 
| I prefer networking with alumni/university. | - | - | - | I prefer them equally. | - | - | - | I prefer intern/job experiences. | 
| 10. When it comes to preparing for future jobs or career development, which of the following options do you prioritize more: networking with alumni/university or extracurricular activities? Please select one of the following answers (A to I) based on the criterion of importance. | ||||||||
| A | B | C | D | E | F | G | H | I | 
| I prefer networking with alumni/university. | - | - | - | I prefer them equally. | - | - | - | I prefer extracurricular activities. | 
| 11. When it comes to preparing for future jobs or career development, which of the following options do you prioritize more: job-related qualifications or intern/job experiences? Please select one of the following answers (A to I) based on the criterion of importance. | ||||||||
| A | B | C | D | E | F | G | H | I | 
| I prefer job-related qualifications. | - | - | - | I prefer them equally. | - | - | - | I prefer intern/job experiences. | 
| 12. When it comes to preparing for future jobs or career development, which of the following options do you prioritize more: job-related qualifications or extracurricular activities? Please select one of the following answers (A to I) based on the criterion of importance. | ||||||||
| A | B | C | D | E | F | G | H | I | 
| I prefer job-related qualifications. | - | - | - | I prefer them equally. | - | - | - | I prefer extracurricular activities. | 
| 13. When it comes to preparing for future jobs or career development, which of the following options do you prioritize more: intern/job experiences or extracurricular activities? Please select one of the following answers (A to I) based on the criterion of importance. | ||||||||
| A | B | C | D | E | F | G | H | I | 
| I prefer intern/job experiences. | - | - | - | I prefer them equally. | - | - | - | I prefer extracurricular activities. | 
| Panel C2. Ten questions on comparative priorities between alternative activities based on the criterion of performance | ||||||||
| We would like to ask you to participate in this survey by comparing five alternative activities based on their performance for preparing for future jobs or career development. The activities we are interested in are as follows: 1. GPA in major courses 2. Networking with alumni/university 3. Job-related qualifications 4. Internship/job experiences 5. Extracurricular activities (such as competition exhibitions/fairs)  | ||||||||
| 14. When it comes to preparing for future jobs or career development, which of the following options do you prioritize more: GPA in major courses or networking with alumni/university? Please select one of the following answers (A to I) based on the criterion of performance. | ||||||||
| A | B | C | D | E | F | G | H | I | 
| I prefer GPA in major courses. | - | - | - | I prefer them equally. | - | - | - | I prefer networking with alumni/university. | 
| 15. When it comes to preparing for future jobs or career development, which of the following options do you prioritize more: GPA in major courses or job-related qualifications? Please select one of the following answers (A to I) based on the criterion of performance. | ||||||||
| A | B | C | D | E | F | G | H | I | 
| I prefer GPA in major courses. | - | - | - | I prefer them equally. | - | - | - | I prefer job-related qualifications. | 
| 16. When it comes to preparing for future jobs or career development, which of the following options do you prioritize more: GPA in major courses or intern/job experiences? Please select one of the following answers (A to I) based on the criterion of performance. | ||||||||
| A | B | C | D | E | F | G | H | I | 
| I prefer GPA in major courses. | - | - | - | I prefer them equally. | - | - | - | I prefer intern/job experiences. | 
| 17. When it comes to preparing for future jobs or career development, which of the following options do you prioritize more: GPA in major courses or extracurricular activities? Please select one of the following answers (A to I) based on the criterion of performance. | ||||||||
| A | B | C | D | E | F | G | H | I | 
| I prefer GPA in major courses. | - | - | - | I prefer them equally. | - | - | - | I prefer extracurricular activities. | 
| 18. When it comes to preparing for future jobs or career development, which of the following options do you prioritize more: networking with alumni/university or job-related qualifications? Please select one of the following answers (A to I) based on the criterion of performance. | ||||||||
| A | B | C | D | E | F | G | H | I | 
| I prefer networking with alumni/university. | - | - | - | I prefer them equally. | - | - | - | I prefer job-related qualifications. | 
| 19. When it comes to preparing for future jobs or career development, which of the following options do you prioritize more: networking with alumni/university or intern/job experiences? Please select one of the following answers (A to I) based on the criterion of performance. | ||||||||
| A | B | C | D | E | F | G | H | I | 
| I prefer networking with alumni/university. | - | - | - | I prefer them equally. | - | - | - | I prefer intern/job experiences. | 
| 20. Please compare between networking with alumni/university or extracurricular activities and check one of the following answers (A to I) based on the criterion of performance. | ||||||||
| A | B | C | D | E | F | G | H | I | 
| I prefer networking with alumni/university. | - | - | - | I prefer them equally. | - | - | - | I prefer extracurricular activities. | 
| 21. When it comes to preparing for future jobs or career development, which of the following options do you prioritize more: job-related qualifications or intern/job experiences? Please select one of the following answers (A to I) based on the criterion of performance. | ||||||||
| A | B | C | D | E | F | G | H | I | 
| I prefer job-related qualifications. | - | - | - | I prefer them equally. | - | - | - | I prefer intern/job experiences. | 
| 22. When it comes to preparing for future jobs or career development, which of the following options do you prioritize more: job-related qualifications or extracurricular activities? Please select one of the following answers (A to I) based on the criterion of performance. | ||||||||
| A | B | C | D | E | F | G | H | I | 
| I prefer job-related qualifications. | - | - | - | I prefer them equally. | - | - | - | I prefer extracurricular activities. | 
| 23. When it comes to preparing for future jobs or career development, which of the following options do you prioritize more: intern/job experiences or extracurricular activities? Please select one of the following answers (A to I) based on the criterion of performance. | ||||||||
| A | B | C | D | E | F | G | H | I | 
| I prefer intern/job experiences. | - | - | - | I prefer them equally. | - | - | - | I prefer extracurricular activities. | 
| Panel C3. Ten questions on comparative priorities between alternative activities based on the criterion of need for external help | ||||||||
| We would like to ask you to participate in this survey by comparing five alternative activities based on their performance for preparing for future jobs or career development. The activities we are interested in are as follows: 1. GPA in major courses 2. Networking with alumni/university 3. Job-related qualifications 4. Internship/job experiences 5. Extracurricular activities (such as competition exhibitions/fairs)  | ||||||||
| 24. When it comes to preparing for future jobs or career development, which of the following options do you prioritize more: GPA in major courses or networking with alumni/university? Please select one of the following answers (A to I) based on the criterion of the need for external help. | ||||||||
| A | B | C | D | E | F | G | H | I | 
| I prefer GPA in major courses. | - | - | - | I prefer them equally. | - | - | - | I prefer networking with alumni/university. | 
| 25. When it comes to preparing for future jobs or career development, which of the following options do you prioritize more: GPA in major courses or job-related qualifications? Please select one of the following answers (A to I) based on the criterion of the need for external help. | ||||||||
| A | B | C | D | E | F | G | H | I | 
| I prefer GPA in major courses. | - | - | - | I prefer them equally. | - | - | - | I prefer job-related qualifications. | 
| 26. When it comes to preparing for future jobs or career development, which of the following options do you prioritize more: GPA in major courses or intern/job experiences? Please select one of the following answers (A to I) based on the criterion of the need for external help. | ||||||||
| A | B | C | D | E | F | G | H | I | 
| I prefer GPA in major courses. | - | - | - | I prefer them equally. | - | - | - | I prefer intern/job experiences. | 
| 27. When it comes to preparing for future jobs or career development, which of the following options do you prioritize more: GPA in major courses or extracurricular activities? Please select one of the following answers (A to I) based on the criterion of the need for external help. | ||||||||
| A | B | C | D | E | F | G | H | I | 
| I prefer GPA in major courses. | - | - | - | I prefer them equally. | - | - | - | I prefer extracurricular activities. | 
| 28. When it comes to preparing for future jobs or career development, which of the following options do you prioritize more: networking with alumni/university or job-related qualifications? Please select one of the following answers (A to I) based on the criterion of the need for external help. | ||||||||
| A | B | C | D | E | F | G | H | I | 
| I prefer networking with alumni/university. | - | - | - | I prefer them equally. | - | - | - | I prefer job-related qualifications. | 
| 29. When it comes to preparing for future jobs or career development, which of the following options do you prioritize more: networking with alumni/university or intern/job experiences? Please select one of the following answers (A to I) based on the criterion of need for external help. | ||||||||
| A | B | C | D | E | F | G | H | I | 
| I prefer networking with alumni/university. | - | - | - | I prefer them equally. | - | - | - | I prefer intern/job experiences. | 
| 30. When it comes to preparing for future jobs or career development, which of the following options do you prioritize more: networking with alumni/university or extracurricular activities? Please select one of the following answers (A to I) based on the criterion of the need for external help. | ||||||||
| A | B | C | D | E | F | G | H | I | 
| I prefer networking with alumni/university. | - | - | - | I prefer them equally. | - | - | - | I prefer extracurricular activities. | 
| 31. When it comes to preparing for future jobs or career development, which of the following options do you prioritize more: job-related qualifications or intern/job experiences? Please select one of the following answers (A to I) based on the criterion of the need for external help. | ||||||||
| A | B | C | D | E | F | G | H | I | 
| I prefer job-related qualifications. | - | - | - | I prefer them equally. | - | - | - | I prefer intern/job experiences. | 
| 32. When it comes to preparing for future jobs or career development, which of the following options do you prioritize more: job-related qualifications or extracurricular activities? Please select one of the following answers (A to I) based on the criterion of need for external help. | ||||||||
| A | B | C | D | E | F | G | H | I | 
| I prefer job-related qualifications. | - | - | - | I prefer them equally. | - | - | - | I prefer extracurricular activities. | 
| 33. When it comes to preparing for future jobs or career development, which of the following options do you prioritize more: intern/job experiences or extracurricular activities? Please select one of the following answers (A to I) based on the criterion of the need for external help. | ||||||||
| A | B | C | D | E | F | G | H | I | 
| I prefer intern/job experiences. | - | - | - | I prefer them equally. | - | - | - | I prefer extracurricular activities. | 
| Panel D. Eight questions on demographic variables of participants | ||||||||
| We would like to ask you to answer the following questions about your demographic information to better understand our survey participants. | ||||||||
| 34. What is your gender? Please select one of the following options: 1. Male. 2. Female.  | ||||||||
| 35. What year are you in? Please select one of the following options: 1. Freshman. 2. Sophomore. 3. Junior. 4. Senior.  | ||||||||
| 36. What is your first major? Please select one of the following options: 1. Management. 2. Other.  | ||||||||
| 37. How many times have you done an internship or other job-related activity? Please select one of the following options: 1. None. 2. Once. 3. More than twice.  | ||||||||
| 38. How many times have you participated in extracurricular activities? Please select one of the following options: 1. None. 2. Once. 3. Twice. 4. More than three times.  | ||||||||
| 39. How many times have you acquired certificates/licenses for jobs (e.g., TOEIC, OPIc)? Please select one of the following options: 1. None. 2. Once. 3. Twice. 4. More than three times.  | ||||||||
| 40. How many times have you done part-time work? Please select one of the following options: 1. None. 2. Once. 3. Twice. 4. More than three times.  | ||||||||
| 41. Where do you prefer to work in the future? Please select one of the following options: 1. Companies. 2. Public institutions. 3. Starting a business (or participating in a family business). 4. Other (Please specify).  | ||||||||
| This is the end of our survey. Thank you for your participation. If you have any questions or concerns, please do not hesitate to contact us.  | ||||||||
References
- Kim, J.; Min, S.; Kim, Y.; Kim, H. Analysis of Korean University Students’ Recognition about Their Jobs with COVID-19 and Industries’ Trends of Zero-Contact Adoptions (Written in Korean); Korean Council for University Education: Seoul, Republic of Korea, 2021. [Google Scholar]
 - Rivera, M.; Shapoval, V.; Medeiros, M. The relationship between career adaptability, hope, resilience, and life satisfaction for hospitality students in times of COVID-19. J. Hosp. Leis. Sport Tour. Educ. 2021, 29, 100344. [Google Scholar] [CrossRef] [PubMed]
 - Yonhap. South Korea’s Employment Rate of University Grads Ranks Low among OECD: Report; Yonhap New Agency: Seoul, Republic of Korea, 2021. [Google Scholar]
 - Chang, P.-Y.; Hung, C.-Y.; Wang, K.-L.; Huang, Y.-H.; Chang, K.-J. Factors influencing medical students’ choice of specialty. J. Formos. Med. Assoc. 2006, 105, 489–496. [Google Scholar] [CrossRef] [PubMed]
 - AlDhaheri, R.; Jabeen, F.; Hussain, M.; Abu-Rahma, A. Career choice of females in the private sector: Empirical evidence from the United Arab Emirates. High. Educ. Ski. Work.-Based Learn. 2017, 7, 179–197. [Google Scholar] [CrossRef]
 - Önder, E.; Önder, G.; Kuvat, Ö.; Taş, N. Identifying the importance level of factors influencing the selection of nursing as a career choice using ahp: Survey to compare the precedence of private vocational high school nursing students and their parents. Procedia-Soc. Behav. Sci. 2014, 122, 398–404. [Google Scholar] [CrossRef]
 - Akkermans, J.; Paradniké, K.; Van der Heijden, B.I.; De Vos, A. The best of both worlds: The role of career adaptability and career competencies in students’ well-being and performance. Front. Psychol. 2018, 9, 1678. [Google Scholar] [CrossRef]
 - Xia, T.; Gu, H.; Huang, Y.; Zhu, Q.; Cheng, Y. The relationship between career social support and employability of college students: A moderated mediation model. Front. Psychol. 2020, 11, 28. [Google Scholar] [CrossRef]
 - Merino-Tejedor, E.; Hontangas, P.M.; Boada-Grau, J. Career adaptability and its relation to self-regulation, career construction, and academic engagement among Spanish university students. J. Vocat. Behav. 2016, 93, 92–102. [Google Scholar] [CrossRef]
 - Negru-Subtirica, O.; Pop, E.I. Longitudinal links between career adaptability and academic achievement in adolescence. J. Vocat. Behav. 2016, 93, 163–170. [Google Scholar] [CrossRef]
 - Azzopardi, E.; Nash, R. A critical evaluation of importance–performance analysis. Tour. Manag. 2013, 35, 222–233. [Google Scholar] [CrossRef]
 - Phadermrod, B.; Crowder, R.M.; Wills, G.B. Importance-performance analysis based SWOT analysis. Int. J. Inf. Manag. 2019, 44, 194–203. [Google Scholar] [CrossRef]
 - Kang, D.; Park, M.J. Interaction and online courses for satisfactory university learning during the COVID-19 pandemic. Int. J. Manag. Educ. 2022, 20, 100678. [Google Scholar] [CrossRef]
 - Kang, D.; Park, M.J. Learner innovativeness, course interaction, and the use of a new educational technology system after the COVID-19 pandemic. Int. J. Manag. Educ. 2023, 21, 100824. [Google Scholar] [CrossRef]
 - Kang, D.; Heo, P.-S.; Lee, D.H. Global trade of South Korea in competitive products and their impact on regional dependence. PLoS ONE 2022, 17, e0267695. [Google Scholar] [CrossRef] [PubMed]
 - Ho, L.-H.; Feng, S.-Y.; Lee, Y.-C.; Yen, T.-M. Using modified IPA to evaluate supplier’s performance: Multiple regression analysis and DEMATEL approach. Expert Syst. Appl. 2012, 39, 7102–7109. [Google Scholar] [CrossRef]
 - Esmailpour, J.; Aghabayk, K.; Vajari, M.A.; De Gruyter, C. Importance–Performance Analysis (IPA) of bus service attributes: A case study in a developing country. Transp. Res. Part A Policy Pract. 2020, 142, 129–150. [Google Scholar] [CrossRef]
 - Tontini, G. Identifying opportunities for improvement in online shopping sites. J. Retail. Consum. Serv. 2016, 31, 228–238. [Google Scholar] [CrossRef]
 - Wang, X.; Li, X.R.; Zhen, F.; Zhang, J. How smart is your tourist attraction?: Measuring tourist preferences of smart tourism attractions via a FCEM-AHP and IPA approach. Tour. Manag. 2016, 54, 309–320. [Google Scholar] [CrossRef]
 - Kang, D.; Park, M.J. Competitive prospects of graduate program on the integration of ICT superiority, higher education, and international aid. Telemat. Inform. 2017, 34, 1625–1637. [Google Scholar] [CrossRef]
 - Pan, J.; Guan, Y.; Wu, J.; Han, L.; Zhu, F.; Fu, X.; Yu, J. The interplay of proactive personality and internship quality in Chinese university graduates’ job search success: The role of career adaptability. J. Vocat. Behav. 2018, 109, 14–26. [Google Scholar] [CrossRef]
 - QS. Quacquarelli Symonds (QS) World University Rankings: Methodology 2021. Available online: https://www.topuniversities.com/qs-world-university-rankings/methodology (accessed on 30 January 2022).
 - Saaty, T.L. The modern science of multicriteria decision making and its practical applications: The AHP/ANP approach. Oper. Res. 2013, 61, 1101–1118. [Google Scholar] [CrossRef]
 - Ishizaka, A.; Nemery, P. Multi-Criteria Decision Analysis: Methods and Software; John Wiley & Sons: Hoboken, NJ, USA, 2013. [Google Scholar]
 - Solangi, Y.A.; Tan, Q.; Mirjat, N.H.; Ali, S. Evaluating the strategies for sustainable energy planning in Pakistan: An integrated SWOT-AHP and Fuzzy-TOPSIS approach. J. Clean. Prod. 2019, 236, 117655. [Google Scholar] [CrossRef]
 - Sindhu, S.; Nehra, V.; Luthra, S. Solar energy deployment for sustainable future of India: Hybrid SWOC-AHP analysis. Renew. Sustain. Energy Rev. 2017, 72, 1138–1151. [Google Scholar] [CrossRef]
 - Saaty, T.L.; Ozdemir, M.S. Why the magic number seven plus or minus two. Math. Comput. Model. 2003, 38, 233–244. [Google Scholar] [CrossRef]
 - Podvezko, V. Application of AHP technique. J. Bus. Econ. Manag. 2009, 10, 181–189. [Google Scholar] [CrossRef]
 - Zhou, Q.; Du, C. A quantitative analysis of model predictive control as energy management strategy for hybrid electric vehicles: A review. Energy Rep. 2021, 7, 6733–6755. [Google Scholar] [CrossRef]
 - Byun, D.-H. The AHP approach for selecting an automobile purchase model. Inf. Manag. 2001, 38, 289–297. [Google Scholar] [CrossRef]
 - Yoon, C.-H.; Choi, K.-D. A Study on the Analytic Hierarchy Process of Group Decision Making Using R (written in Korean). J. Inf. Technol. Archit. 2019, 16, 405–418. [Google Scholar]
 - Kubler, S.; Robert, J.; Derigent, W.; Voisin, A.; Le Traon, Y. A state-of the-art survey & testbed of fuzzy AHP (FAHP) applications. Expert Syst. Appl. 2016, 65, 398–422. [Google Scholar]
 - Saaty, T.L. Decision making—The analytic hierarchy and network processes (AHP/ANP). J. Syst. Sci. Syst. Eng. 2004, 13, 1–35. [Google Scholar] [CrossRef]
 - Alonso, J.A.; Lamata, M.T. Consistency in the analytic hierarchy process: A new approach. Int. J. Uncertain. Fuzziness Knowl.-Based Syst. 2006, 14, 445–459. [Google Scholar] [CrossRef]
 - Kim, Y.; Ahn, S.J.; Park, C.H.; Choi, J.D. A Weight Analysis of Health Determinants and Healthy City Projects through Means of the AHP (written in Korean). J. Korean Urban Manag. Assoc. 2009, 22, 365–387. [Google Scholar]
 - MHWF. Enforcement Rule of Bioethics and Safety Act. Available online: https://www.law.go.kr/LSW/lsInfoP.do?lsiSeq=98198&viewCls=engLsInfoR&urlMode=engLsInfoR#0000 (accessed on 21 June 2023).
 - KLIC. Personal Information Protection Act. Available online: https://elaw.klri.re.kr/eng_service/lawView.do?hseq=53044&lang=ENG (accessed on 21 June 2023).
 - Lee, D.H.; Kang, D.; Rzayeva, I.; Rho, J.J. Effects of energy diversification policy against crude oil price fluctuations. Energy Sources Part B Econ. Plan. Policy 2017, 12, 166–171. [Google Scholar] [CrossRef]
 - Reichenberger, I.; Raymond, E.M. Tourism students’ career strategies in times of disruption. J. Hosp. Tour. Manag. 2021, 48, 220–229. [Google Scholar] [CrossRef]
 - Chicca, J.; Shellenbarger, T. Connecting with Generation Z: Approaches in nursing education. Teach. Learn. Nurs. 2018, 13, 180–184. [Google Scholar] [CrossRef]
 - Sakdiyakorn, M.; Golubovskaya, M.; Solnet, D. Understanding Generation Z through collective consciousness: Impacts for hospitality work and employment. Int. J. Hosp. Manag. 2021, 94, 102822. [Google Scholar] [CrossRef]
 - Glebova, E.; Zare, F. Career paths in sport management: Trends, typology, and trajectories. J. Phys. Educ. Sport 2023, 23, 463–468. [Google Scholar]
 - Yonhap. South Korea’s Population Continues to Decline in 2nd Quarter: Ministry Data; Yonhap New Agency: Seoul, Republic of Korea, 2021. [Google Scholar]
 - Van Hoye, G.; Van Hooft, E.A.; Lievens, F. Networking as a job search behaviour: A social network perspective. J. Occup. Organ. Psychol. 2009, 82, 661–682. [Google Scholar] [CrossRef]
 - Ramia, G.; Peterie, M.; Patulny, R.; Marston, G. Networks, case managers, and the job-search experiences of unemployed people. Soc. Policy Adm. 2020, 54, 765–776. [Google Scholar] [CrossRef]
 - Kang, D.; Lee, D.H. Energy shocks and detecting influential industries. Energy 2017, 125, 234–247. [Google Scholar] [CrossRef]
 - Liu, Y.; Eckert, C.M.; Earl, C. A review of fuzzy AHP methods for decision-making with subjective judgements. Expert Syst. Appl. 2020, 161, 113738. [Google Scholar] [CrossRef]
 - The Associated Press. ChatGPT Just Created a New Tool to Catch Students Trying to Cheat Using ChatGPT. Available online: https://fortune.com/2023/01/31/chatgpt-open-ai-new-tool-catch-students-cheating/ (accessed on 21 June 2023).
 - ChatGPT Passes Exams from Law and Business Schools. Available online: https://edition.cnn.com/2023/01/26/tech/chatgpt-passes-exams/index.html (accessed on 21 June 2023).
 










| Elements | Meaning | References | |
|---|---|---|---|
| Criteria for judgment | (Relative) importance | The degree of relative influence or importance when I identify/recognize the preparation factors necessary for future employment and determining priorities of the factors | - Importance–performance Analysis (IPA): Azzopardi and Nash [11], Phadermrod, Crowder [12]; - Concern in career adaptability: Akkermans, Paradniké [7], Negru-Subtirica, and Pop [10]  | 
| Performance/Achievement | The feeling of achievement or degree of performance when I identify/recognize the preparation factors necessary for future employment and determining priorities of the factors | - Importance–performance Analysis (IPA): Azzopardi and Nash [11], Phadermrod, Crowder [12]; - Confidence in career adaptability: Akkermans, Paradniké [7], Negru-Subtirica, and Pop [10]  | |
| The need for external help | The degree to which I need help or support of others (mentor) when I identify/recognize the preparation factors necessary for future employment and determining priorities of the factors | Control in career adaptability: Akkermans, Paradniké [7], Negru-Subtirica, and Pop [10] | |
| Alternative activities | Understanding my major courses | To increase my knowledge, GPA, or expertise in my major | Grade point average (GPA): Kim, Min [1], Akkermans, Paradniké [7] | 
| Networking activities with alumni/universities | To cooperate with my university and alumni for plausible employment | - Success of my school: Önder, Önder [6]; - Alumni’s reputation or image: Kang and Park [20]  | |
| Acquiring qualifications for employment | To obtain the required qualifications for future employment (e.g., TOEIC, OPIc)  | Kim, Min [1] | |
| Performing interns or job-relevant activities | To undertake an internship or work experience in the field or with the company/organization I want to work in | Intern: Kim, Min [1], Pan, Guan [21] | |
| Participating in extracurricular activities | To take part in competition fairs/exhibitions that could be necessary or helpful in the field or the company/organization I want to work in | Kim, Min [1] | |
| Demographic Factors | Features | |
|---|---|---|
| Gender | Male: 48 persons (51.6%) | Female: 45 persons (48.4%) | 
| Year of grades | Freshman: 26 persons (28%) Junior: 37 persons (39.8%)  | Sophomore: 19 persons (20.4%) Senior: 11 persons (11.8%)  | 
| Major | Non-management: 83 persons (89.2%) | Management: 10 persons (10.8%) | 
| Experiences on performing intern or other job-related activities | None: 88 persons (94.6%) Twice/More than three times: none  | Once: 5 persons (5.4%) | 
| Experiences on participating in extracurricular activities (e.g., competition exhibitions/fairs) | None: 62 persons (66.7%) Twice: 6 persons (6.5%)  | Once: 16 persons (17.2%) More than three times: 9 persons (9.7%)  | 
| Experiences on acquiring certificates/licenses for jobs (e.g., TOEIC, OPIc) | None: 58 persons (62.4%) Twice: 6 persons (6.5%)  | Once: 26 persons (28%) More than three times: 3 persons (3.2%)  | 
| Experiences on doing part-time works | None: 10 persons (10.8%) Twice: 13 persons (14%)  | Once: 25 persons (26.9%) More than three times: 45 persons (48.4%)  | 
| Preferred fields of workplaces for their jobs | Companies: 79 persons (84.9%) Starting a business or participating in a family business: 11 persons (11.8%)  | Public institutions: 18 persons (19.4%) Others: 3 persons (3.2%)  | 
| Alternatives | Global Evaluations | Local Evaluations | ||||||
|---|---|---|---|---|---|---|---|---|
| Performance (WE: 54.93%)  | Relative Importance (WE: 23.29%)  | Needs for Help (WE: 21.78%)  | ||||||
| RA | WE (%) | RA | WE (%) | RA | WE (%) | RA | WE (%) | |
| Extra activities | 1 | 30.52 | 1 | 31.80 | 1 | 30.27 | 2 | 27.57 | 
| Job experiences | 2 | 23.01 | 4 | 18.48 | 3 | 25.14 | 1 | 32.15 | 
| Licenses | 3 | 21.30 | 2 | 21.40 | 2 | 25.91 | 3 | 16.11 | 
| Majors | 4 | 16.53 | 3 | 21.06 | 4 | 12.81 | 5 | 9.06 | 
| University | 5 | 8.64 | 5 | 7.26 | 5 | 5.86 | 4 | 15.11 | 
| Total | - | 100 | - | 100 | - | 100 | - | 100 | 
| Conditions | All (Table 3)  | Intern | Licenses | Extra-Activities | ||
|---|---|---|---|---|---|---|
| None | More than Once | None | More than Once | None | ||
| Panel A. Weights of three criteria (Sum of each column: 100%) | ||||||
| Performances | 54.93 | 56.14 | 52.23 | 55.54 | 44.98 | 57.45 | 
| Relative importance | 23.29 | 23.34 | 26.03 | 22.54 | 38.02 | 19.38 | 
| Needs for help | 21.78 | 20.52 | 21.74 | 21.91 | 17.00 | 23.17 | 
| NHHI | 60.51 | 61.76 | 58.17 | 61.09 | 56.36 | 63.19 | 
| Panel B. Weights of five alternatives (Sum of each column: 100%) | ||||||
| Extra activities | 30.52 | 33.49 | 23.94 | 33.17 | 38.16 | 27.52 | 
| Job experiences | 23.01 | 21.93 | 23.92 | 22.40 | 22.16 | 24.60 | 
| Licenses | 21.30 | 20.26 | 21.41 | 20.90 | 16.75 | 22.81 | 
| Majors | 16.53 | 15.87 | 23.10 | 14.55 | 16.96 | 15.73 | 
| University | 8.64 | 8.45 | 7.64 | 8.99 | 5.97 | 9.35 | 
| NHHI | 28.28 | 29.20 | 27.44 | 29.14 | 31.89 | 27.72 | 
Disclaimer/Publisher’s Note: The statements, opinions and data contained in all publications are solely those of the individual author(s) and contributor(s) and not of MDPI and/or the editor(s). MDPI and/or the editor(s) disclaim responsibility for any injury to people or property resulting from any ideas, methods, instructions or products referred to in the content.  | 
© 2023 by the author. Licensee MDPI, Basel, Switzerland. This article is an open access article distributed under the terms and conditions of the Creative Commons Attribution (CC BY) license (https://creativecommons.org/licenses/by/4.0/).
Share and Cite
Kang, D. Prioritizing Career Preparation: Learning Achievements and Extracurricular Activities of Undergraduate Students for Future Success. Behav. Sci. 2023, 13, 611. https://doi.org/10.3390/bs13070611
Kang D. Prioritizing Career Preparation: Learning Achievements and Extracurricular Activities of Undergraduate Students for Future Success. Behavioral Sciences. 2023; 13(7):611. https://doi.org/10.3390/bs13070611
Chicago/Turabian StyleKang, Dongsuk. 2023. "Prioritizing Career Preparation: Learning Achievements and Extracurricular Activities of Undergraduate Students for Future Success" Behavioral Sciences 13, no. 7: 611. https://doi.org/10.3390/bs13070611
APA StyleKang, D. (2023). Prioritizing Career Preparation: Learning Achievements and Extracurricular Activities of Undergraduate Students for Future Success. Behavioral Sciences, 13(7), 611. https://doi.org/10.3390/bs13070611
        