The Impact of Long-Term Online Learning on Internet Addiction Symptoms among Depressed Secondary School Students: Insights from a Cross-Panel Network Analysis
Abstract
1. Introduction
2. Methods
2.1. Participants
2.2. Measures
2.2.1. The Internet Addiction Test (IAT-20)
2.2.2. Patient Health Questionnaire (PHQ-9)
2.3. Statistical Analysis
2.3.1. Cross-Lagged Panel Network Estimation
2.3.2. Network Comparison
2.3.3. Network Stability and Accuracy
2.4. Sensitivity Analysis
3. Result
3.1. Descriptive Analysis
3.2. Cross-Lagged Panel Network
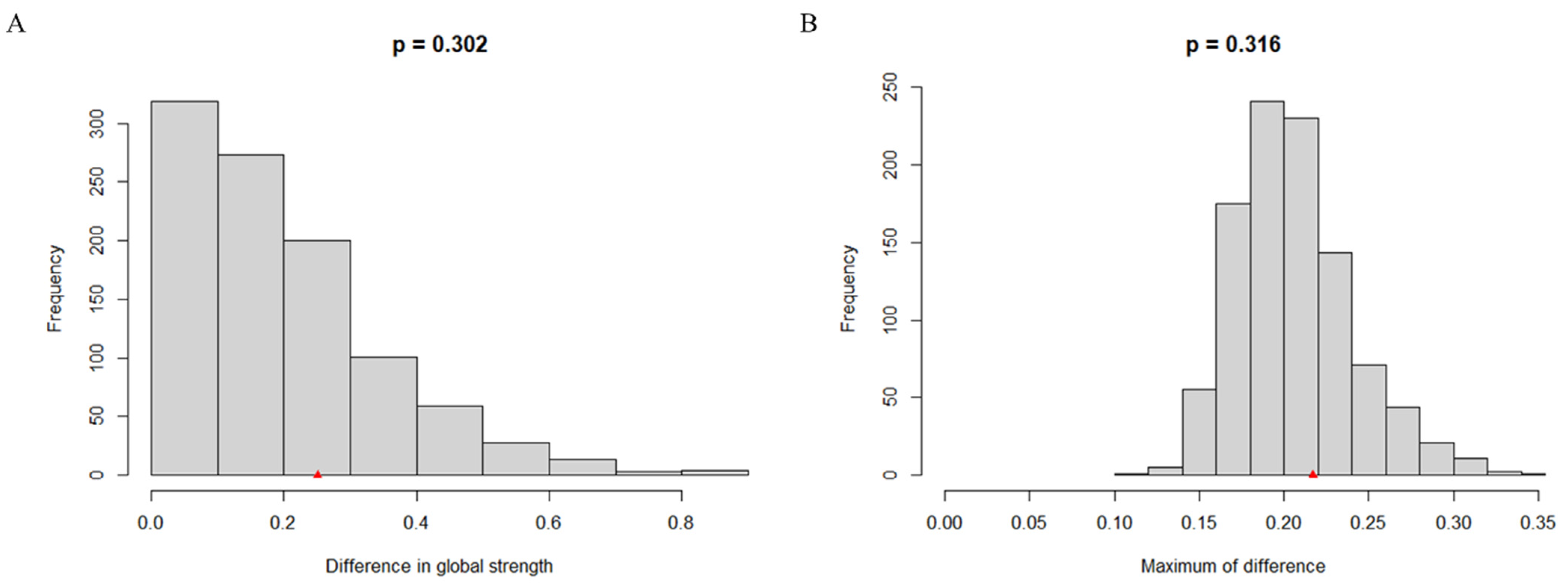
3.3. Network Comparison Test
3.4. Network Accuracy and Stability
3.5. Sensitivity Analysis
4. Discussion
5. Limitations and Conclusions
Supplementary Materials
Author Contributions
Funding
Institutional Review Board Statement
Informed Consent Statement
Data Availability Statement
Conflicts of Interest
References
- Kandell, J.J. Internet addiction on campus: The vulnerability of college students. Cyberpsychol. Behav. 1998, 1, 11–17. [Google Scholar] [CrossRef]
- Young, K.S. The research and controversy surrounding internet addiction. Cyberpsychol. Behav. 1999, 2, 381–383. [Google Scholar] [CrossRef]
- Kuss, D.J.; Griffiths, M.D. Online social networking and addiction—A review of the psychological literature. Int. J. Environ. Res. Public Health 2011, 8, 3528–3552. [Google Scholar] [CrossRef]
- Triberti, S.; Milani, L.; Villani, D.; Grumi, S.; Peracchia, S.; Curcio, G.; Riva, G. What matters is when you play: Investigating the relationship between online video games addiction and time spent playing over specific day phases. Addict. Behav. Rep. 2018, 8, 185–188. [Google Scholar] [CrossRef] [PubMed]
- Young, K.S. Internet Addiction: The Emergence of a New Clinical Disorder. Cyberpsychol. Behav. 1998, 1, 237–244. [Google Scholar] [CrossRef]
- Ha, J.H.; Kim, S.Y.; Bae, S.C.; Bae, S.; Kim, H.; Sim, M.; Lyoo, I.K.; Cho, S.C. Depression and Internet Addiction in Adolescents. Psychopathology 2007, 40, 424–430. [Google Scholar] [CrossRef]
- Tereshchenko, S.; Kasparov, E. Neurobiological Risk Factors for the Development of Internet Addiction in Adolescents. Behav. Sci. 2019, 9, 62. [Google Scholar] [CrossRef]
- Ozturk, E.; Ozmen, S.K. The relationship of self-perception, personality and high school type with the level of problematic internet use in adolescents. Comput. Hum. Behav. 2016, 65, 501–507. [Google Scholar] [CrossRef]
- Cheng, C.; Li, A.Y.-L. Internet Addiction Prevalence and Quality of (Real) Life: A Meta-Analysis of 31 Nations Across Seven World Regions. Cyberpsychol. Behav. Soc. Netw. 2014, 17, 755–760. [Google Scholar] [CrossRef] [PubMed]
- Griffiths, M.D.; Kuss, D.J.; Demetrovics, Z. Social Networking Addiction: An Overview of Preliminary Findings; Academic Press Ltd.-Elsevier Science Ltd.: London, UK, 2014. [Google Scholar]
- Whang, L.S.M.; Lee, S.; Chang, G. Internet over-users’ psychological profiles: A behavior sampling analysis on Internet addiction. Cyberpsychol. Behav. 2003, 6, 143–150. [Google Scholar] [CrossRef]
- Lozano-Blasco, R.; Robres, A.Q.; Sánchez, A.S. Internet addiction in young adults: A meta-analysis and systematic review. Comput. Hum. Behav. 2022, 130, 107201. [Google Scholar] [CrossRef]
- Meng, S.-Q.; Cheng, J.-L.; Li, Y.-Y.; Yang, X.-Q.; Zheng, J.-W.; Chang, X.-W.; Shi, Y.; Chen, Y.; Lu, L.; Sun, Y.; et al. Global prevalence of digital addiction in general population: A systematic review and meta-analysis. Clin. Psychol. Rev. 2022, 92, 102128. [Google Scholar] [CrossRef] [PubMed]
- Gao, M.; Teng, Z.; Wei, Z.; Jin, K.; Xiao, J.; Tang, H.; Wu, H.; Yang, Y.; Yan, H.; Chen, J.; et al. Internet addiction among teenagers in a Chinese population: Prevalence, risk factors, and its relationship with obsessive-compulsive symptoms. J. Psychiatr. Res. 2022, 153, 134–140. [Google Scholar] [CrossRef] [PubMed]
- Wu, Q.; Ren, Q.; Zhong, N.; Bao, J.; Zhao, Y.; Du, J.; Chen, T.; Zhao, M. Internet behavior patterns of adolescents before, during, and after COVID-19 pandemic. Front. Psychiatry 2022, 13, 947360. [Google Scholar] [CrossRef]
- Canan, F.; Yildirim, O.; Sinani, G.; Ozturk, O.; Ustunel, T.Y.; Ataoglu, A. Internet addiction and sleep disturbance symptoms among Turkish high school students. Sleep Biol. Rhythm. 2013, 11, 210–213. [Google Scholar] [CrossRef]
- Yayan, E.H.; Arikan, D.; Saban, F.; Gürarslan Baş, N.; Özel Özcan, Ö. Examination of the correlation between Internet addiction and social phobia in adolescents. West. J. Nurs. Res. 2017, 39, 1240–1254. [Google Scholar] [CrossRef]
- Lee, Y.S.; Han, D.H.; Kim, S.M.; Renshaw, P.F. Substance abuse precedes internet addiction. Addict. Behav. 2013, 38, 2022–2025. [Google Scholar] [CrossRef]
- Yang, L.; Sun, L.; Zhang, Z.; Sun, Y.; Wu, H.; Ye, D. Internet addiction, adolescent depression, and the mediating role of life events: Finding from a sample of Chinese adolescents. Int. J. Psychol. 2014, 49, 342–347. [Google Scholar] [CrossRef]
- Akin, A.; Iskender, M. Internet addiction and depression, anxiety and stress. Int. Online J. Educ. Sci. 2011, 3, 138–148. [Google Scholar]
- Khatcherian, E.; Zullino, D.; De Leo, D.; Achab, S. Feelings of Loneliness: Understanding the Risk of Suicidal Ideation in Adolescents with Internet Addiction. A Theoretical Model to Answer to a Systematic Literature Review, without Results. Int. J. Environ. Res. Public Health 2022, 19, 2012. [Google Scholar] [CrossRef]
- Lau, J.T.F.; Walden, D.L.; Wu, A.M.S.; Cheng, K.-M.; Lau, M.C.M.; Mo, P.K.H. Bidirectional predictions between Internet addiction and probable depression among Chinese adolescents. J. Behav. Addict. 2018, 7, 633–643. [Google Scholar] [CrossRef]
- McRae, K. Cognitive emotion regulation: A review of theory and scientific findings. Curr. Opin. Behav. Sci. 2016, 10, 119–124. [Google Scholar] [CrossRef]
- Joormann, J.; Quinn, M.E. Cognitive processes and emotion regulation in depression. Depress. Anxiety 2014, 31, 308–315. [Google Scholar] [CrossRef]
- Yildiz, M.A. Emotion regulation strategies as predictors of internet addiction and smartphone addiction in adolescents. J. Educ. Sci. Psychol. 2017, 7, 66–78. [Google Scholar]
- Luszczynska, A.; Schwarzer, R. Social cognitive theory. Fac. Health Sci. Publ. 2015, 225–251. [Google Scholar]
- Saritepeci, M.; Yildiz Durak, H.; Atman Uslu, N. A latent profile analysis for the study of multiple screen addiction, mobile social gaming addiction, general mattering, and family sense of belonging in university students. Int. J. Ment. Health Addict. 2022, 1–22. [Google Scholar] [CrossRef]
- Gao, T.; Li, J.; Zhang, H.; Gao, J.; Kong, Y.; Hu, Y.; Mei, S. The influence of alexithymia on mobile phone addiction: The role of depression, anxiety and stress. J. Affect. Disord. 2018, 225, 761–766. [Google Scholar] [CrossRef] [PubMed]
- AlAzzam, M.; Abuhammad, S.; Abdalrahim, A.; Hamdan-Mansour, A.M. Predictors of depression and anxiety among senior high school students during COVID-19 pandemic: The context of home quarantine and online education. J. Sch. Nurs. 2021, 37, 241–248. [Google Scholar] [CrossRef] [PubMed]
- Arpaci, I.; Kesici, Ş.; Baloğlu, M. Individualism and internet addiction: The mediating role of psychological needs. Internet Res. 2018, 28, 293–314. [Google Scholar] [CrossRef]
- Deng, L.Y.; Fang, X.Y.; Wan, J.J.; Zhang, J.T.; Xia, C.C. Psychological Needs, Need Gratification and Internet Addiction among College Students. J. Psychol. Sci. 2012, 35, 123. [Google Scholar]
- Li, D.; Zhou, Y.; Zhao, L.; Wang, Y.; Sun, W. Cumulative ecological risk and adolescent internet addiction: The mediating role of basic psychological need satisfaction and positive outcome expectancy. Acta Psychol. Sin. 2016, 48, 1519. [Google Scholar] [CrossRef]
- Tonioni, F.; D’Alessandris, L.; Lai, C.; Martinelli, D.; Corvino, S.; Vasale, M.; Fanella, F.; Aceto, P.; Bria, P. Internet addiction: Hours spent online, behaviors and psychological symptoms. Gen. Hosp. Psychiatry 2012, 34, 80–87. [Google Scholar] [CrossRef] [PubMed]
- Zhang, H.-X.; Jiang, W.-Q.; Lin, Z.-G.; Du, Y.-S.; Vance, A. Comparison of psychological symptoms and serum levels of neurotransmitters in Shanghai adolescents with and without internet addiction disorder: A case-control study. PLoS ONE 2013, 8, e63089. [Google Scholar] [CrossRef] [PubMed]
- Borsboom, D.; Cramer, A.O. Network analysis: An integrative approach to the structure of psychopathology. Annu. Rev. Clin. Psychol. 2013, 9, 91–121. [Google Scholar] [CrossRef] [PubMed]
- Borsboom, D.; Deserno, M.K.; Rhemtulla, M.; Epskamp, S.; Fried, E.I.; McNally, R.J.; Robinaugh, D.J.; Perugini, M.; Dalege, J.; Costantini, G. Network analysis of multivariate data in psychological science. Nat. Rev. Methods Prim. 2021, 1, 58. [Google Scholar] [CrossRef]
- Hirota, T.; McElroy, E.; So, R. Network Analysis of Internet Addiction Symptoms Among a Clinical Sample of Japanese Adolescents with Autism Spectrum Disorder. J. Autism Dev. Disord. 2021, 51, 2764–2772. [Google Scholar] [CrossRef]
- Barlow, D.H.; Durand, V.M.; Hofmann, S.G. Abnormal Psychology: An Integrative Approach; Cengage Learning: Boston, MA, USA, 2016. [Google Scholar]
- Lu, J.; Zhang, Q.; Zhong, N.; Chen, J.; Zhai, Y.; Guo, L.; Lu, C.; Chen, T.; Jiang, Z.; Zheng, H. Addiction Symptom Network of Young Internet Users: Network Analysis. J. Med. Internet Res. 2022, 24, e38984. [Google Scholar] [CrossRef]
- Cai, H.; Bai, W.; Sha, S.; Zhang, L.; Chow, I.H.; Lei, S.-M.; Lok, G.K.; Cheung, T.; Su, Z.; Hall, B.J. Identification of central symptoms in Internet addictions and depression among adolescents in Macau: A network analysis. J. Affect. Disord. 2022, 302, 415–423. [Google Scholar] [CrossRef]
- Zhao, Y.; Qu, D.; Chen, S.; Chi, X. Network analysis of internet addiction and depression among Chinese college students during the COVID-19 pandemic: A longitudinal study. Comput. Hum. Behav. 2023, 138, 107424. [Google Scholar] [CrossRef]
- Kroenke, K.; Spitzer, R.L.; Williams, J.B. The PHQ-9: Validity of a brief depression severity measure. J. Gen. Intern. Med. 2001, 16, 606–613. [Google Scholar] [CrossRef]
- Manea, L.; Gilbody, S.; McMillan, D. Optimal cut-off score for diagnosing depression with the Patient Health Questionnaire (PHQ-9): A meta-analysis. CMAJ 2012, 184, E191–E196. [Google Scholar] [CrossRef]
- Young, K.S. Caught in the Net: How to Recognize the Signs of Internet Addiction—And a Winning Strategy for Recovery; John Wiley & Sons: Hoboken, NJ, USA, 1998. [Google Scholar]
- Chang, M.K.; Law, S.P.M. Factor structure for Young’s Internet Addiction Test: A confirmatory study. Comput. Hum. Behav. 2008, 24, 2597–2619. [Google Scholar] [CrossRef]
- Niu, H.; Wang, S.; Tao, Y.; Tang, Q.; Zhang, L.; Liu, X. The association between online learning, parents’ marital status, and internet addiction among adolescents during the COVID-19 pandemic period: A cross-lagged panel network approach. J. Affect. Disord. 2023, 333, 553–561. [Google Scholar] [CrossRef] [PubMed]
- Tao, Y.; Hou, W.; Niu, H.; Ma, Z.; Zheng, Z.; Wang, S.; Liu, X.; Zhang, L. Comparing the centrality symptoms of major depressive disorder samples across junior high school students, senior high school students, college students and elderly adults during city lockdown of COVID-19 pandemic—A network analysis. J. Affect. Disord. 2023, 324, 190–198. [Google Scholar] [CrossRef] [PubMed]
- Team, R.C. R: A Language and Environment for Statistical Computing, 4.3.0. 2023. Available online: https://www.r-project.org/ (accessed on 21 April 2023).
- Friedman, J.; Hastie, T.; Tibshirani, R. Regularization paths for generalized linear models via coordinate descent. J. Stat. Softw. 2010, 33, 1–22. [Google Scholar] [CrossRef] [PubMed]
- Epskamp, S.; Cramer, A.O.; Waldorp, L.J.; Schmittmann, V.D.; Borsboom, D. qgraph: Network visualizations of relationships in psychometric data. J. Stat. Softw. 2012, 48, 1–18. [Google Scholar] [CrossRef]
- Karacic, S.; Oreskovic, S. Internet addiction through the phase of adolescence: A questionnaire study. JMIR Ment. Health 2017, 4, e5537. [Google Scholar] [CrossRef] [PubMed]
- Van Borkulo, C.D.; van Bork, R.; Boschloo, L.; Kossakowski, J.J.; Tio, P.; Schoevers, R.A.; Borsboom, D.; Waldorp, L.J. Comparing network structures on three aspects: A permutation test. Psychol. Methods 2022. [Google Scholar] [CrossRef]
- Epskamp, S.; Borsboom, D.; Fried, E.I. Estimating psychological networks and their accuracy: A tutorial paper. Behav. Res. Methods 2018, 50, 195–212. [Google Scholar] [CrossRef]
- Tao, Y.; Niu, H.; Hou, W.; Zhang, L.; Ying, R. Hopelessness during and after the COVID-19 pandemic lockdown among Chinese college students: A longitudinal network analysis. J. Clin. Psychol. 2023, 79, 748–761. [Google Scholar] [CrossRef]
- Lu, X.; Yeo, K.J.; Guo, F.; Zhao, Z.; Wu, O. Psychometric property and measurement invariance of internet addiction test: The effect of socio-demographic and internet use variables. BMC Public Health 2022, 22, 1548. [Google Scholar] [CrossRef]
- Cai, H.; Xi, H.-T.; An, F.; Wang, Z.; Han, L.; Liu, S.; Zhu, Q.; Bai, W.; Zhao, Y.-J.; Chen, L. The association between Internet addiction and anxiety in nursing students: A network analysis. Front. Psychiatry 2021, 12, 723355. [Google Scholar] [CrossRef]
- Ben-Yehuda, L.; Greenberg, L.; Weinstein, A. Internet addiction by using the smartphone-relationships between internet addiction, frequency of smartphone use and the state of mind of male and female students. J. Reward Defic. Syndr. Addict. Sci. 2016, 2, 22–27. [Google Scholar] [CrossRef]
- ElSalhy, M.; Miyazaki, T.; Noda, Y.; Nakajima, S.; Nakayama, H.; Mihara, S.; Kitayuguchi, T.; Higuchi, S.; Muramatsu, T.; Mimura, M. Relationships between Internet addiction and clinicodemographic and behavioral factors. Neuropsychiatr. Dis. Treat. 2019, 15, 739–752. [Google Scholar] [CrossRef] [PubMed]
- Baert, S.; Vujić, S.; Amez, S.; Claeskens, M.; Daman, T.; Maeckelberghe, A.; Omey, E.; De Marez, L. Smartphone use and academic performance: Correlation or causal relationship? Kyklos 2020, 73, 22–46. [Google Scholar] [CrossRef]
- Amez, S.; Baert, S. Smartphone use and academic performance: A literature review. Int. J. Educ. Res. 2020, 103, 101618. [Google Scholar] [CrossRef]
- Lu, J.-X.; Zhai, Y.-J.; Chen, J.; Zhang, Q.-H.; Chen, T.-Z.; Lu, C.-L.; Jiang, Z.-L.; Guo, L.; Zheng, H. Network analysis of internet addiction and sleep disturbance symptoms. Prog. Neuro-Psychopharmacol. Biol. Psychiatry 2023, 125, 110737. [Google Scholar] [CrossRef]
- La Greca, A.M.; Harrison, H.M. Adolescent peer relations, friendships, and romantic relationships: Do they predict social anxiety and depression? J. Clin. Child Adolesc. Psychol. 2005, 34, 49–61. [Google Scholar] [CrossRef]
- Platt, B.; Kadosh, K.C.; Lau, J.Y. The role of peer rejection in adolescent depression. Depress. Anxiety 2013, 30, 809–821. [Google Scholar] [CrossRef]
- Schwartz-Mette, R.A.; Shankman, J.; Dueweke, A.R.; Borowski, S.; Rose, A.J. Relations of friendship experiences with depressive symptoms and loneliness in childhood and adolescence: A meta-analytic review. Psychol. Bull. 2020, 146, 664–700. [Google Scholar] [CrossRef]
- Kardefelt-Winther, D. A conceptual and methodological critique of internet addiction research: Towards a model of compensatory internet use. Comput. Hum. Behav. 2014, 31, 351–354. [Google Scholar] [CrossRef]
- Elhai, J.D.; Dvorak, R.D.; Levine, J.C.; Hall, B.J. Problematic smartphone use: A conceptual overview and systematic review of relations with anxiety and depression psychopathology. J. Affect. Disord. 2017, 207, 251–259. [Google Scholar] [CrossRef]
- Dwyer, R.J.; Kushlev, K.; Dunn, E.W. Smartphone use undermines enjoyment of face-to-face social interactions. J. Exp. Soc. Psychol. 2018, 78, 233–239. [Google Scholar] [CrossRef]
- Ran, G.; Li, J.; Zhang, Q.; Niu, X. The association between social anxiety and mobile phone addiction: A three-level meta-analysis. Comput. Hum. Behav. 2022, 130, 107198. [Google Scholar] [CrossRef]
- Gámez-Guadix, M. Depressive symptoms and problematic Internet use among adolescents: Analysis of the longitudinal relationships from the cognitive–behavioral model. Cyberpsychol. Behav. Soc. Netw. 2014, 17, 714–719. [Google Scholar] [CrossRef] [PubMed]
- Yang, X.; Guo, W.-J.; Tao, Y.-J.; Meng, Y.-J.; Wang, H.-Y.; Li, X.-J.; Zhang, Y.-M.; Zeng, J.-K.; Tang, W.-J.; Wang, Q. A bidirectional association between internet addiction and depression: A large-sample longitudinal study among Chinese university students. J. Affect. Disord. 2022, 299, 416–424. [Google Scholar] [CrossRef] [PubMed]
- Holsen, I.; Kraft, P.; Vittersø, J. Stability in depressed mood in adolescence: Results from a 6-year longitudinal panel study. J. Youth Adolesc. 2000, 29, 61–78. [Google Scholar] [CrossRef]
- Cheung, J.C.-S.; Chan, K.H.-W.; Lui, Y.-W.; Tsui, M.-S.; Chan, C. Psychological well-being and adolescents’ internet addiction: A school-based cross-sectional study in Hong Kong. Child Adolesc. Soc. Work J. 2018, 35, 477–487. [Google Scholar] [CrossRef]
- Lee, J.Y.; Shin, K.M.; Cho, S.-M.; Shin, Y.M. Psychosocial risk factors associated with internet addiction in Korea. Psychiatry Investig. 2014, 11, 380–386. [Google Scholar] [CrossRef]
- Yen, J.Y.; Ko, C.H.; Yen, C.F.; Chen, S.H.; Chung, W.L.; Chen, C.C. Psychiatric symptoms in adolescents with Internet addiction: Comparison with substance use. Psychiatry Clin. Neurosci. 2008, 62, 9–16. [Google Scholar] [CrossRef]



| Variables | Mean (SD) | t | df | p | Difference [95% CI] | Cohen’s d [95% CI] |
|---|---|---|---|---|---|---|
| IAT1_F | 3.15 (1.15) | −3.88 | 341 | <0.001 | −0.31 [−0.46, −0.15] | −0.21 [−0.32, −0.10] |
| IAT1_S | 2.84 (1.36) | |||||
| IAT2_F | 2.80 (1.20) | −3.54 | 341 | <0.001 | −0.28 [−0.44, −0.13] | −0.19 [−0.30, −0.09] |
| IAT2_S | 2.51 (1.24) | |||||
| IAT3_F | 2.60 (1.26) | −2.92 | 341 | 0.004 | −0.25 [−0.41, −0.08] | −0.16 [−0.26, −0.05] |
| IAT3_S | 2.36 (1.28) | |||||
| IAT4_F | 2.10 (1.15) | −2.56 | 341 | 0.011 | −0.18 [−0.32, −0.04] | −0.14 [−0.24, −0.03] |
| IAT4_S | 1.92 (1.14) | |||||
| IAT5_F | 3.31 (1.28) | −4.92 | 341 | <0.001 | −0.40 [−0.56, −0.24] | −0.27 [−0.37, −0.16] |
| IAT5_S | 2.91 (1.39) | |||||
| IAT6_F | 2.85 (1.24) | −3.24 | 341 | 0.001 | −0.26 [−0.42, −0.10] | −0.18 [−0.28, −0.07] |
| IAT6_S | 2.58 (1.29) | |||||
| IAT7_F | 2.28 (1.25) | −2.72 | 341 | 0.007 | −0.23 [−0.40, −0.06] | −0.15 [−0.25, −0.04] |
| IAT7_S | 2.04 (1.19) | |||||
| IAT8_F | 2.36 (1.22) | −3.29 | 341 | 0.001 | −0.26 [−0.41, −0.10] | −0.18 [−0.28, −0.07] |
| IAT8_S | 2.10 (1.21) | |||||
| IAT9_F | 2.84 (1.40) | −3.44 | 341 | <0.001 | −0.31 [−0.49, −0.13] | −0.19 [−0.29, −0.08] |
| IAT9_S | 2.52 (1.43) | |||||
| IAT10_F | 2.89 (1.38) | −3.90 | 341 | <0.001 | −0.34 [−0.51, −0.17] | −0.21 [−0.32, −0.10] |
| IAT10_S | 2.55 (1.37) | |||||
| IAT11_F | 2.87 (1.24) | −4.89 | 341 | <0.001 | −0.40 [−0.56, −0.24] | −0.26 [−0.37, −0.16] |
| IAT11_ S | 2.47 (1.29) | |||||
| IAT12_F | 2.81 (1.26) | −4.43 | 341 | <0.001 | −0.37 [−0.54, −0.21] | −0.24 [−0.35, −0.13] |
| IAT12_S | 2.44 (1.31) | |||||
| IAT13_F | 2.55 (1.26) | −3.76 | 341 | <0.001 | −0.30 [−0.46, −0.14] | −0.20 [−0.31, −0.10] |
| IAT13_S | 2.25 (1.24) | |||||
| IAT14_F | 2.56 (1.29) | −4.81 | 341 | <0.001 | −0.38 [−0.53, −0.22] | −0.26 [−0.37, −0.15] |
| IAT14_S | 2.19 (1.23) | |||||
| IAT15_F | 2.72 (1.17) | −4.45 | 341 | <0.001 | −0.36 [−0.52, −0.20] | −0.24 [−0.35, −0.13] |
| IAT15_S | 2.36 (1.19) | |||||
| IAT16_F | 2.82 (1.22) | −3.72 | 341 | <0.001 | −0.30 [−0.46, −0.14] | −0.20 [−0.31, −0.09] |
| IAT16_S | 2.53 (1.26) | |||||
| IAT17_F | 2.67 (1.26) | −4.18 | 341 | <0.001 | −0.34 [−0.50, −0.18] | −0.23 [−0.33, −0.12] |
| IAT17_S | 2.33 (1.28) | |||||
| IAT18_F | 2.48 (1.29) | −3.34 | 341 | <0.001 | −0.27 [−0.43, −0.11] | −0.18 [−0.29, −0.07] |
| IAT18_S | 2.21 (1.29) | |||||
| IAT19_F | 2.39 (1.31) | −3.47 | 341 | <0.001 | −0.29 [−0.45, −0.12] | −0.19 [−0.29, −0.08] |
| IAT19_S | 2.11 (1.22) | |||||
| IAT20_F | 2.43 (1.30) | −4.61 | 341 | <0.001 | −0.36 [−0.51, −0.20] | −0.25 [−0.36, −0.14] |
| IAT20_S | 2.08 (1.26) |
Disclaimer/Publisher’s Note: The statements, opinions and data contained in all publications are solely those of the individual author(s) and contributor(s) and not of MDPI and/or the editor(s). MDPI and/or the editor(s) disclaim responsibility for any injury to people or property resulting from any ideas, methods, instructions or products referred to in the content. |
© 2023 by the authors. Licensee MDPI, Basel, Switzerland. This article is an open access article distributed under the terms and conditions of the Creative Commons Attribution (CC BY) license (https://creativecommons.org/licenses/by/4.0/).
Share and Cite
Tao, Y.; Tang, Q.; Zou, X.; Wang, S.; Ma, Z.; Liu, X.; Zhang, L. The Impact of Long-Term Online Learning on Internet Addiction Symptoms among Depressed Secondary School Students: Insights from a Cross-Panel Network Analysis. Behav. Sci. 2023, 13, 520. https://doi.org/10.3390/bs13070520
Tao Y, Tang Q, Zou X, Wang S, Ma Z, Liu X, Zhang L. The Impact of Long-Term Online Learning on Internet Addiction Symptoms among Depressed Secondary School Students: Insights from a Cross-Panel Network Analysis. Behavioral Sciences. 2023; 13(7):520. https://doi.org/10.3390/bs13070520
Chicago/Turabian StyleTao, Yanqiang, Qihui Tang, Xinyuan Zou, Shujian Wang, Zijuan Ma, Xiangping Liu, and Liang Zhang. 2023. "The Impact of Long-Term Online Learning on Internet Addiction Symptoms among Depressed Secondary School Students: Insights from a Cross-Panel Network Analysis" Behavioral Sciences 13, no. 7: 520. https://doi.org/10.3390/bs13070520
APA StyleTao, Y., Tang, Q., Zou, X., Wang, S., Ma, Z., Liu, X., & Zhang, L. (2023). The Impact of Long-Term Online Learning on Internet Addiction Symptoms among Depressed Secondary School Students: Insights from a Cross-Panel Network Analysis. Behavioral Sciences, 13(7), 520. https://doi.org/10.3390/bs13070520

