Mind over Matter: Examining the Role of Cognitive Dissonance and Self-Efficacy in Discontinuous Usage Intentions on Pan-Entertainment Mobile Live Broadcast Platforms
Abstract
1. Introduction
2. Literature Review
2.1. Pan-Entertainment Mobile Live Broadcast Platform
2.2. Discontinuous Usage Intention
2.3. Cognitive Dissonance Theory
2.4. Self-Efficacy Theory
2.5. Research Status Analysis
3. Research Hypotheses and Model
3.1. Research Hypotheses
3.2. Research Model
4. Methods
4.1. Questionnaire Design
4.2. Sample Characteristics
5. Results
5.1. Measurement Model Assessment
5.1.1. Results of the Reliability and Validity Test
5.1.2. Discriminant Validity
5.2. Structural Equation Model
5.2.1. Model Fit R2
5.2.2. Path Size Significance
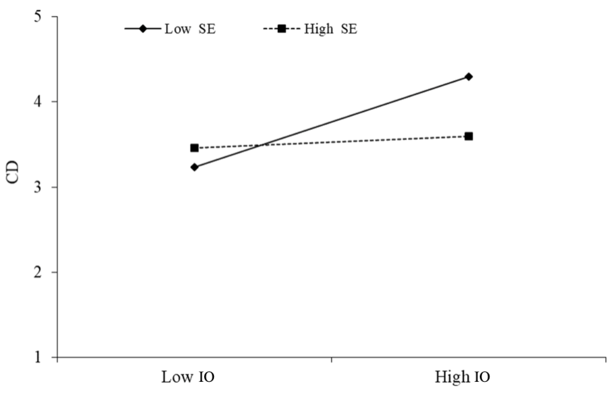
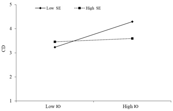
5.2.3. Moderating Effect
6. Discussion
6.1. Discussion of Key Findings
6.2. Theoretical Implications
6.3. Implications for Practice
7. Research Limitations and Future Research Directions
8. Conclusions
Author Contributions
Funding
Institutional Review Board Statement
Informed Consent Statement
Data Availability Statement
Conflicts of Interest
References
- CNNIC. The 50th China Statistical Report on Internet Development; China Internet Network Information Center (CNNIC): Beijing, China, 2022. [Google Scholar]
- Xu, Y.; Ye, Y. Who Watches Live Streaming in China? Examining Viewers’ Behaviors, Personality Traits, and Motivations. Front. Psychol. 2020, 11, 1607. [Google Scholar] [CrossRef] [PubMed]
- Qianfan, A. Annual Comprehensive Analysis of China’s Live Entertainment Market 2022; Shanghai FanXun Technology Co.: Shanghai, China, 2022. [Google Scholar]
- Fu, X. Research and Analysis Report on the Development of Webcast in China. J. Lit. Art Stud. 2022, 12, 160–166. [Google Scholar]
- Ye, D.; Liu, F.; Cho, D.; Jia, Z. Investigating switching intention of e-commerce live streaming users. Heliyon 2022, 8, e11145. [Google Scholar] [CrossRef] [PubMed]
- Lin, Y.-H. Compulsive Instagram use: Roles of stickiness, gratifications, and mindfulness. Cyberpsychology J. Psychosoc. Res. Cyberspace 2022, 16, 3. [Google Scholar] [CrossRef]
- Cao, X.; Sun, J. Exploring the effect of overload on the discontinuous intention of social media users: An S-O-R perspective. Comput. Hum. Behav. 2018, 81, 10–18. [Google Scholar] [CrossRef]
- Liu, X. The Market Changes and Causes of Game Live Streaming Industry from 2019 to 2020 by Case Study of HUYA. In Proceedings of the 2022 International Conference on Economics, Smart Finance and Contemporary Trade (ESFCT 2022), Xi’an, China, 22–24 July 2022; pp. 1093–1103. [Google Scholar]
- Yang, G.; Wang, W. Engaging Social Media in China: Platforms, Publics, and Production; MSU Press: East Lansing, MI, USA, 2021. [Google Scholar]
- Ye, C.; Zheng, R.; Li, L. The effect of visual and interactive features of tourism live streaming on tourism consumers’ willingness to participate. Asia Pac. J. Tour. Res. 2022, 27, 506–525. [Google Scholar] [CrossRef]
- Ye, D.; Cho, D.; Chen, J.; Jia, Z. Empirical investigation of the impact of overload on the discontinuous usage intentions of short video users: A stressor-strain-outcome perspective. Online Inf. Rev. 2022. ahead-of-print. [Google Scholar] [CrossRef]
- Wang, Z.; Li, J.; Chen, P. Factors influencing Chinese flower and seedling family farms’ intention to use live streaming as a sustainable marketing method: An application of extended theory of planned behavior. Environ. Dev. Sustain. 2021, 24, 4299–4322. [Google Scholar] [CrossRef]
- Wu, Y.; Niu, G.; Chen, Z.; Zhang, D. Purchasing social attention by tipping: Materialism predicts online tipping in live streaming platform through self-enhancement motive. J. Consum. Behav. 2021, 21, 468–480. [Google Scholar] [CrossRef]
- Hou, F.; Guan, Z.; Li, B.; Chong, A.Y.L. Factors influencing people’s continuous watching intention and consumption intention in live streaming. Internet Res. 2019, 30, 141–163. [Google Scholar] [CrossRef]
- Lin, J.; Lin, S.; Turel, O.; Xu, F. The buffering effect of flow experience on the relationship between overload and social media users’ discontinuance intentions. Telemat. Inform. 2020, 49, 101374. [Google Scholar] [CrossRef]
- Fan, X.; Jiang, X.; Deng, N.; Dong, X.; Lin, Y. Does role conflict influence discontinuous usage intentions? Privacy concerns, social media fatigue and self-esteem. Inf. Technol. People 2020, 34, 1152–1174. [Google Scholar] [CrossRef]
- Cao, X.; Khan, A.N.; Ali, A.; Khan, N.A. Consequences of Cyberbullying and Social Overload while Using SNSs: A Study of Users’ Discontinuous Usage Behavior in SNSs. Inf. Syst. Front. 2019, 22, 1343–1356. [Google Scholar] [CrossRef]
- Lin, K.-Y.; Lu, H.-P. Why people use social networking sites: An empirical study integrating network externalities and motivation theory. Comput. Hum. Behav. 2011, 27, 1152–1161. [Google Scholar] [CrossRef]
- Sarfraz, M.; Khawaja, K.F.; Ivascu, L.; Khalil, M. An empirical study on cyber ostracism and students’ discontinuous usage intention of social networking sites during the COVID-19 pandemic: A mediated and moderated model. Stud. Educ. Eval. 2023, 76, 101235. [Google Scholar] [CrossRef]
- Pang, H.; Ruan, Y. Determining influences of information irrelevance, information overload and communication overload on WeChat discontinuance intention: The moderating role of exhaustion. J. Retail. Consum. Serv. 2023, 72, 103289. [Google Scholar] [CrossRef]
- Xie, Y.; Liu, C.; Qiao, R.; Chen, W.; Zhang, X. Survey of Chinese Internet Users’ Internet-Using Habits. In New Media and China’s Social Development; Springer: Singapore, 2017; pp. 15–24. [Google Scholar]
- Giertz, J.N.; Weiger, W.H.; Törhönen, M.; Hamari, J. Content versus community focus in live streaming services: How to drive engagement in synchronous social media. J. Serv. Manag. 2021, 33, 33–58. [Google Scholar] [CrossRef]
- Guan, Z.; Hou, F.; Li, B.; Phang, C.W.; Chong, A.Y.L. What influences the purchase of virtual gifts in live streaming in China? A cultural context-sensitive model. Inf. Syst. J. 2021, 32, 653–689. [Google Scholar] [CrossRef]
- Guo, L.; Hu, X.; Lu, J.; Ma, L. Effects of customer trust on engagement in live streaming commerce: Mediating role of swift guanxi. Internet Res. 2021, 31, 1718–1744. [Google Scholar] [CrossRef]
- Chang, J.; Lee, D. Changes in user experience and satisfaction as media technology evolves: The reciprocal relationship between video games and video game-related media. Technol. Forecast. Soc. Change 2022, 174, 121219. [Google Scholar] [CrossRef]
- Hilvert-Bruce, Z.; Neill, J.T.; Sjöblom, M.; Hamari, J. Social motivations of live-streaming viewer engagement on Twitch. Comput. Hum. Behav. 2018, 84, 58–67. [Google Scholar] [CrossRef]
- Li, Y.; Li, X.; Cai, J. How attachment affects user stickiness on live streaming platforms: A socio-technical approach perspective. J. Retail. Consum. Serv. 2021, 60, 102478. [Google Scholar] [CrossRef]
- Zhou, F.; Chen, L.; Su, Q. Understanding the impact of social distance on users’ broadcasting intention on live streaming platforms: A lens of the challenge-hindrance stress perspective. Telemat. Inform. 2019, 41, 46–54. [Google Scholar] [CrossRef]
- Liu, H.; Tan, K.H.; Pawar, K. Predicting viewer gifting behavior in sports live streaming platforms: The impact of viewer perception and satisfaction. J. Bus. Res. 2022, 144, 599–613. [Google Scholar] [CrossRef]
- Wang, M.; Li, D. What motivates audience comments on live streaming platforms? PLoS ONE 2020, 15, e0231255. [Google Scholar] [CrossRef]
- Chen, Y.; Xiong, F. The Business Model of Live Streaming Entertainment Services in China and Associated Challenges for Key Stakeholders. IEEE Access 2019, 7, 116321–116327. [Google Scholar] [CrossRef]
- Guo, Y.; Zhang, K.; Wang, C. Way to success: Understanding top streamer’s popularity and influence from the perspective of source characteristics. J. Retail. Consum. Serv. 2022, 64, 102786. [Google Scholar] [CrossRef]
- Luqman, A.; Cao, X.; Ali, A.; Masood, A.; Yu, L. Empirical investigation of Facebook discontinues usage intentions based on SOR paradigm. Comput. Hum. Behav. 2017, 70, 544–555. [Google Scholar] [CrossRef]
- Dai, B.; Ali, A.; Wang, H. Exploring information avoidance intention of social media users: A cognition–affect–conation perspective. Internet Res. 2020, 30, 1455–1478. [Google Scholar] [CrossRef]
- Zhou, Z.; Li, X.; Jin, X.-L. Enablers and inhibitors of discontinuous use in social networking sites: A study on Weibo. PACIS 2018 Proc. 2018, 179, 45. [Google Scholar]
- Wang, H.; Xiong, L.; Guo, J.; Lu, M.; Meng, Q. Predicting the antecedents of discontinuous usage intention of mobile government social media during public health emergencies. Int. J. Disaster Risk Reduct. 2023, 87, 103582. [Google Scholar] [CrossRef]
- Guo, Y.; Lu, Z.; Kuang, H.; Wang, C. Information avoidance behavior on social network sites: Information irrelevance, overload, and the moderating role of time pressure. Int. J. Inf. Manag. 2020, 52, 102067. [Google Scholar] [CrossRef]
- Festinger, L. Cognitive dissonance. Sci. Am. 1962, 207, 93–106. [Google Scholar] [CrossRef] [PubMed]
- Hinojosa, A.S.; Gardner, W.L.; Walker, H.J.; Cogliser, C.; Gullifor, D. A Review of Cognitive Dissonance Theory in Management Research. J. Manag. 2016, 43, 170–199. [Google Scholar] [CrossRef]
- Bock, G.-W.; Mahmood, M.; Sharma, S.; Kang, Y.J. The Impact of Information Overload and Contribution Overload on Continued Usage of Electronic Knowledge Repositories. J. Organ. Comput. Electron. Commer. 2010, 20, 257–278. [Google Scholar] [CrossRef]
- Benlian, A. Effect Mechanisms of Perceptual Congruence between Information Systems Professionals and Users on Satisfaction with Service. J. Manag. Inf. Syst. 2014, 29, 63–96. [Google Scholar] [CrossRef]
- Szajna, B.; Scamell, R.W. The Effects of Information System User Expectations on Their Performance and Perceptions. MIS Q. 1993, 17, 493. [Google Scholar] [CrossRef]
- Jeong, M.; Zo, H.; Lee, C.H.; Ceran, Y. Feeling displeasure from online social media postings: A study using cognitive dissonance theory. Comput. Hum. Behav. 2019, 97, 231–240. [Google Scholar] [CrossRef]
- Kwon, O.; Choi, K.; Kim, M. User acceptance of context-aware services: Self-efficacy, user innovativeness and perceived sensitivity on contextual pressure. Behav. Inf. Technol. 2007, 26, 483–498. [Google Scholar] [CrossRef]
- Bandura, A. Self-efficacy: Toward a unifying theory of behavioral change. Psychol. Rev. 1977, 84, 191–215. [Google Scholar] [CrossRef]
- Schwarzer, R. Self-Efficacy: Thought Control of Action; Taylor & Francis: Abingdon, UK, 2014. [Google Scholar]
- Lee, Y.-K. Impacts of Digital Technostress and Digital Technology Self-Efficacy on Fintech Usage Intention of Chinese Gen Z Consumers. Sustainability 2021, 13, 5077. [Google Scholar] [CrossRef]
- Bandura, A.; Caprara, G.V.; Barbaranelli, C.; Gerbino, M.; Pastorelli, C. Role of affective self-regulatory efficacy in diverse spheres of psychosocial functioning. Child Dev. 2003, 74, 769–782. [Google Scholar] [CrossRef] [PubMed]
- Chen, C.-C.; Lin, Y.-C. What drives live-stream usage intention? The perspectives of flow, entertainment, social interaction, and endorsement. Telemat. Inform. 2018, 35, 293–303. [Google Scholar] [CrossRef]
- Zhou, L.; Jin, F.; Wu, B.; Wang, X.; Lynette Wang, V.; Chen, Z. Understanding the role of influencers on live streaming platforms: When tipping makes the difference. Eur. J. Mark. 2022, 56, 2677–2697. [Google Scholar] [CrossRef]
- Zhang, H.; Gordon, S.; Buhalis, D.; Ding, X. Experience Value Cocreation on Destination Online Platforms. J. Travel Res. 2017, 57, 1093–1107. [Google Scholar] [CrossRef]
- Sasaki, Y.; Kawai, D.; Kitamura, S. Unfriend or ignore tweets? A time series analysis on Japanese Twitter users suffering from information overload. Comput. Hum. Behav. 2016, 64, 914–922. [Google Scholar] [CrossRef]
- Apuke, O.D.; Omar, B.; Tunca, E.A.; Gever, C.V. Information overload and misinformation sharing behaviour of social media users: Testing the moderating role of cognitive ability. J. Inf. Sci. 2022, 01655515221121942. [Google Scholar] [CrossRef]
- Lee, B.-K.; Lee, W.-N. The effect of information overload on consumer choice quality in an on-line environment. Psychol. Mark. 2004, 21, 159–183. [Google Scholar] [CrossRef]
- Lv, J.; Liu, X. The Impact of Information Overload of E-Commerce Platform on Consumer Return Intention: Considering the Moderating Role of Perceived Environmental Effectiveness. Int. J. Environ. Res. Public Health 2022, 19, 8060. [Google Scholar] [CrossRef]
- Lee, A.R.; Son, S.-M.; Kim, K.K. Information and communication technology overload and social networking service fatigue: A stress perspective. Comput. Hum. Behav. 2016, 55, 51–61. [Google Scholar] [CrossRef]
- Young, K.S. Internet Addiction: The Emergence of a New Clinical Disorder. CyberPsychology Behav. 1998, 1, 237–244. [Google Scholar] [CrossRef]
- Hidalgo, C.T.R. Facehooked? Assessing the Relationships between Users’ Self-Disclosure, Their Privacy Behavior, Their Negative Experiences and Feelings of Digital Crowding When Using Facebook. Arno. Available online: https://xueshu.baidu.com/usercenter/paper/show?paperid=4e23096f91ed21c853d17047e1d68708&site=xueshu_se (accessed on 8 March 2023).
- Maier, C.; Laumer, S.; Eckhardt, A.; Weitzel, T. Giving too much social support: Social overload on social networking sites. Eur. J. Inf. Syst. 2017, 24, 447–464. [Google Scholar] [CrossRef]
- Gaspar, R.; Luís, S.; Seibt, B.; Lima, M.L.; Marcu, A.; Rutsaert, P.; Fletcher, D.; Verbeke, W.; Barnett, J. Consumers’ avoidance of information on red meat risks: Information exposure effects on attitudes and perceived knowledge. J. Risk Res. 2015, 19, 533–549. [Google Scholar] [CrossRef]
- Chakraborty, T.; Kumar, A.; Upadhyay, P.; Dwivedi, Y.K. Link between social distancing, cognitive dissonance, and social networking site usage intensity: A country-level study during the COVID-19 outbreak. Internet Res. 2021, 31, 419–456. [Google Scholar] [CrossRef]
- Turel; Serenko; Giles. Integrating Technology Addiction and Use: An Empirical Investigation of Online Auction Users. MIS Q. 2011, 35, 1043–1061. [Google Scholar] [CrossRef]
- Lu, X.; Zhao, X.; Zhao, X. How Does Smartphone Usage Feedback Influence Mobility Behavior? J. Comput. Inf. Syst. 2022, 1–14. [Google Scholar] [CrossRef]
- Kim, E.J.; Namkoong, K.; Ku, T.; Kim, S.J. The relationship between online game addiction and aggression, self-control and narcissistic personality traits. Eur. Psychiatry 2008, 23, 212–218. [Google Scholar] [CrossRef]
- Vaghefi, I.; Qahri-Saremi, H.; Turel, O. Dealing with social networking site addiction: A cognitive-affective model of discontinuance decisions. Internet Res. 2020, 30, 1427–1453. [Google Scholar] [CrossRef]
- Bandura, A. Regulation of cognitive processes through perceived self-efficacy. Dev. Psychol. 1989, 25, 729–735. [Google Scholar] [CrossRef]
- Bandura, A.; Schunk, D.H. Cultivating competence, self-efficacy, and intrinsic interest through proximal self-motivation. J. Personal. Soc. Psychol. 1981, 41, 586–598. [Google Scholar] [CrossRef]
- Savitha, B.; Hawaldar, I.T.; Kumar, K.N. Continuance intentions to use FinTech peer-to-peer payments apps in India. Heliyon 2022, 8, e11654. [Google Scholar] [CrossRef] [PubMed]
- Haritha, S.; Mohan, B.C. Cognitive Dissonance in Online Shopping in an Emerging E-tailing Market. Transnatl. Mark. J. 2022, 10, 719–737. [Google Scholar]
- Bandura, A. Perceived Self-Efficacy in Cognitive Development and Functioning. Educ. Psychol. 1993, 28, 117–148. [Google Scholar] [CrossRef]
- Harvey, P.; Martinko, M.J.; Borkowski, N. Justifying Deviant Behavior: The Role of Attributions and Moral Emotions. J. Bus. Ethics 2016, 141, 779–795. [Google Scholar] [CrossRef]
- Watson, D.; Tellegen, A. Toward a consensual structure of mood. Psychol. Bull. 1985, 98, 219–235. [Google Scholar] [CrossRef]
- Zhou, Z.; Liu, H.; Zhang, D.; Wei, H.; Zhang, M.; Huang, A. Mediating effects of academic self-efficacy and smartphone addiction on the relationship between professional attitude and academic burnout in nursing students: A cross-sectional study. Nurse Educ. Today 2022, 116, 105471. [Google Scholar] [CrossRef]
- Yen, Y.-S. Job demands and technology overload influencing work stress in organizations during the COVID-19 pandemic. Aslib J. Inf. Manag. 2022. ahead-of-print. [Google Scholar] [CrossRef]
- Bandura, A. Toward a Psychology of Human Agency. Perspect. Psychol. Sci. 2006, 1, 164–180. [Google Scholar] [CrossRef]
- Fredrickson, B.L.; Joiner, T. Positive emotions trigger upward spirals toward emotional well-being. Psychol. Sci. 2002, 13, 172–175. [Google Scholar] [CrossRef]
- Venkatesh, V. Determinants of Perceived Ease of Use: Integrating Control, Intrinsic Motivation, and Emotion into the Technology Acceptance Model. Inf. Syst. Res. 2000, 11, 342–365. [Google Scholar] [CrossRef]
- Agarwal, R.; Karahanna, E. Time Flies When You’re Having Fun: Cognitive Absorption and Beliefs about Information Technology Usage. MIS Q. 2000, 24, 665–694. [Google Scholar] [CrossRef]
- Zhang, S.; Zhao, L.; Lu, Y.; Yang, J. Do you get tired of socializing? An empirical explanation of discontinuous usage behaviour in social network services. Inf. Manag. 2016, 53, 904–914. [Google Scholar] [CrossRef]
- Maier, C.; Laumer, S.; Weinert, C.; Weitzel, T. The effects of technostress and switching stress on discontinued use of social networking services: A study of Facebook use. Inf. Syst. J. 2015, 25, 275–308. [Google Scholar] [CrossRef]
- Turel, O. Quitting the use of a habituated hedonic information system: A theoretical model and empirical examination of Facebook users. Eur. J. Inf. Syst. 2017, 24, 431–446. [Google Scholar] [CrossRef]
- Kwon, M.; Kim, D.J.; Cho, H.; Yang, S. The smartphone addiction scale: Development and validation of a short version for adolescents. PLoS ONE 2013, 8, e83558. [Google Scholar] [CrossRef] [PubMed]
- Marikyan, D.; Papagiannidis, S.; Alamanos, E. Cognitive Dissonance in Technology Adoption: A Study of Smart Home Users. Inf. Syst. Front. 2020. online ahead of print. [Google Scholar] [CrossRef]
- Shahin Sharifi, S.; Rahim Esfidani, M. The impacts of relationship marketing on cognitive dissonance, satisfaction, and loyalty. Int. J. Retail. Distrib. Manag. 2014, 42, 553–575. [Google Scholar] [CrossRef]
- Avornyo, P.; Fang, J.; Antwi, C.O.; Aboagye, M.O.; Boadi, E.A. Are customers still with us? The influence of optimum stimulation level and IT-specific traits on mobile banking discontinuous usage intentions. J. Retail. Consum. Serv. 2019, 47, 348–360. [Google Scholar] [CrossRef]
- Hair, J.F. Multivariate Data Analysis; Pearson: London, UK, 2009. [Google Scholar]
- Fornell, C.; Larcker, D.F. Evaluating Structural Equation Models with Unobservable Variables and Measurement Error. J. Mark. Res. 2018, 18, 39–50. [Google Scholar] [CrossRef]
- Hair, J.F., Jr.; Sarstedt, M.; Hopkins, L.; Kuppelwieser, V.G. Partial least squares structural equation modeling (PLS-SEM). Eur. Bus. Rev. 2014, 26, 106–121. [Google Scholar] [CrossRef]
- Fornell, C.; Larcker, D.F. Structural Equation Models with Unobservable Variables and Measurement Error: Algebra and Statistics. J. Mark. Res. 2018, 18, 382–388. [Google Scholar] [CrossRef]
- Kuss, D.J.; Griffiths, M.D. Internet and gaming addiction: A systematic literature review of neuroimaging studies. Brain Sci. 2012, 2, 347–374. [Google Scholar] [CrossRef] [PubMed]
- Lin, Y.H.; Lin, Y.C.; Lee, Y.H.; Lin, P.H.; Lin, S.H.; Chang, L.R.; Tseng, H.W.; Yen, L.Y.; Yang, C.C.; Kuo, T.B. Time distortion associated with smartphone addiction: Identifying smartphone addiction via a mobile application (App). J. Psychiatr. Res. 2015, 65, 139–145. [Google Scholar] [CrossRef] [PubMed]
- Qaisar, S.; Chu, J.; Shah, Z.; Hassan, Z. Effects of social networking site overloads on discontinuous intentions of users: A moderated mediation analysis. Behav. Inf. Technol. 2021, 41, 3530–3551. [Google Scholar] [CrossRef]
- Islam, A.K.M.N.; Whelan, E.; Brooks, S. Does multitasking computer self-efficacy mitigate the impact of social media affordances on overload and fatigue among professionals? Inf. Technol. People 2020, 34, 1439–1461. [Google Scholar] [CrossRef]
- Ajzen, I. The theory of planned behavior. Organ. Behav. Hum. Decis. Process. 1991, 50, 179–211. [Google Scholar] [CrossRef]
- Festinger, L. A Theory of Cognitive Dissonance; Fornell, C., Larcker, D.F., Eds.; Evaluating structural equation models with 1957; Stanford University Press: Redwood City, CA, USA, 1981. [Google Scholar]
- Brehm, J.W.; Cohen, A.R. Explorations in Cognitive Dissonance; John Wiley & Sons Inc.: Hoboken, NJ, USA, 1962. [Google Scholar]
- Cooper, J.; Fazio, R.H. A new look at dissonance theory. In Advances in Experimental Social Psychology; Elsevier: Amsterdam, The Netherlands, 1984; Volume 17, pp. 229–266. [Google Scholar]
- Locke, E.A. Self-efficacy: The exercise of control. Pers. Psychol. 1997, 50, 801. [Google Scholar]
- Venkatesh, V.; Morris, M.G.; Davis, G.B.; Davis, F.D. User Acceptance of Information Technology: Toward a Unified View. MIS Q. 2003, 27, 425–478. [Google Scholar] [CrossRef]
- Yener, S.; Arslan, A.; Kilinç, S. The moderating roles of technological self-efficacy and time management in the technostress and employee performance relationship through burnout. Inf. Technol. People 2020, 34, 1890–1919. [Google Scholar] [CrossRef]
- Li, J.; Zhang, S.; Ao, W. Why is instant messaging not instant? Understanding users’ negative use behavior of instant messaging software. Comput. Hum. Behav. 2023, 142, 107655. [Google Scholar] [CrossRef]
- Li, T.; Sahu, A.K.; Talwalkar, A.; Smith, V. Federated Learning: Challenges, Methods, and Future Directions. IEEE Signal Process. Mag. 2020, 37, 50–60. [Google Scholar] [CrossRef]
- Liao, S. The platformization of misogyny: Popular media, gender politics, and misogyny in China’s state-market nexus. Media Cult. Soc. 2023. [Google Scholar] [CrossRef]






| Measure | Category | Frequency | Percentage (%) |
|---|---|---|---|
| Gender | Male | 153 | 39.130 |
| Female | 238 | 60.870 | |
| Age | <18 | 11 | 2.813 |
| 18-25 | 209 | 53.453 | |
| 26-35 | 149 | 38.107 | |
| 36-45 | 14 | 3.581 | |
| >45 | 8 | 2.046 | |
| Education | High school or below | 22 | 5.627 |
| Junior college | 24 | 6.138 | |
| Bachelor | 163 | 41.688 | |
| Master | 155 | 39.642 | |
| Doctor | 27 | 6.905 | |
| Frequency of using pan-entertainment mobile live broadcast platforms | Rarely use | 131 | 33.504 |
| Occasionally use | 95 | 24.297 | |
| Frequently use | 165 | 42.199 |
| Measurements | Path | Factor Loading | Standard Error | T | p | CA | CR | AVE |
|---|---|---|---|---|---|---|---|---|
| Cognitive dissonance (CD) | CD1←CD | 0.853 | 0.015 | 56.303 | 0.000 | 0.831 | 0.899 | 0.747 |
| CD2←CD | 0.873 | 0.012 | 74.614 | 0.000 | ||||
| CD3←CD | 0.867 | 0.012 | 72.382 | 0.000 | ||||
| Information overload (IO) | IO1←IO | 0.830 | 0.017 | 47.783 | 0.000 | 0.866 | 0.908 | 0.712 |
| IO2←IO | 0.870 | 0.013 | 65.725 | 0.000 | ||||
| IO3←IO | 0.834 | 0.018 | 47.032 | 0.000 | ||||
| IO4←IO | 0.842 | 0.017 | 50.087 | 0.000 | ||||
| Discontinuous usage intention (DUI) | DUI1←DUI | 0.843 | 0.015 | 54.983 | 0.000 | 0.808 | 0.886 | 0.723 |
| DUI2←DUI | 0.879 | 0.010 | 87.304 | 0.000 | ||||
| DUI3←DUI | 0.828 | 0.020 | 42.138 | 0.000 | ||||
| Self-efficacy (SE) | SE1←SE | 0.829 | 0.019 | 44.130 | 0.000 | 0.849 | 0.898 | 0.687 |
| SE2←SE | 0.848 | 0.019 | 45.427 | 0.000 | ||||
| SE3←SE | 0.828 | 0.019 | 44.196 | 0.000 | ||||
| SE4←SE | 0.811 | 0.021 | 38.151 | 0.000 | ||||
| Service overload (SO) | SO1←SO | 0.885 | 0.016 | 55.839 | 0.000 | 0.857 | 0.913 | 0.777 |
| SO2←SO | 0.901 | 0.013 | 69.136 | 0.000 | ||||
| SO3←SO | 0.859 | 0.025 | 33.814 | 0.000 | ||||
| User addiction (UA) | UA1←UA | 0.848 | 0.014 | 59.344 | 0.000 | 0.855 | 0.901 | 0.696 |
| UA2←UA | 0.828 | 0.018 | 46.525 | 0.000 | ||||
| UA3←UA | 0.844 | 0.016 | 52.974 | 0.000 | ||||
| UA4←UA | 0.816 | 0.018 | 44.344 | 0.000 |
| IO | SO | UA | SE | CD | DUI | |
|---|---|---|---|---|---|---|
| IO | 0.844 | |||||
| SO | 0.189 | 0.882 | ||||
| UA | 0.264 | 0.219 | 0.834 | |||
| SE | −0.288 | −0.218 | −0.233 | 0.829 | ||
| CD | 0.429 | 0.280 | 0.516 | −0.318 | 0.864 | |
| DUI | 0.459 | 0.321 | 0.432 | −0.340 | 0.542 | 0.850 |
| IO | SO | UA | SE | CD | DUI | |
|---|---|---|---|---|---|---|
| IO | ||||||
| SO | 0.219 | |||||
| UA | 0.297 | 0.25 | ||||
| SE | 0.333 | 0.253 | 0.269 | |||
| CD | 0.497 | 0.332 | 0.607 | 0.374 | ||
| DUI | 0.544 | 0.383 | 0.516 | 0.403 | 0.657 |
| R2 | Adjusted R2 | |
|---|---|---|
| CD | 0.486 | 0.476 |
| DUI | 0.432 | 0.428 |
| Path | Path Coefficient | Standard Deviation | T | p | 95% Upper Interval | 95% Lower Interval |
|---|---|---|---|---|---|---|
| IO→CD | 0.300 | 0.041 | 7.235 | 0.000 | 0.217 | 0.380 |
| SO→CD | 0.121 | 0.037 | 3.308 | 0.001 | 0.046 | 0.192 |
| UA→CD | 0.365 | 0.039 | 9.408 | 0.000 | 0.285 | 0.439 |
| SE→CD | −0.118 | 0.042 | 2.849 | 0.004 | −0.197 | −0.034 |
| SE→DUI | −0.167 | 0.045 | 3.751 | 0.000 | −0.253 | −0.080 |
| CD→DUI | 0.410 | 0.043 | 9.612 | 0.000 | 0.321 | 0.487 |
| IO × SE→CD | −0.232 | 0.037 | 6.270 | 0.000 | −0.305 | −0.162 |
| SO × SE→CD | −0.090 | 0.034 | 2.641 | 0.008 | −0.159 | −0.025 |
| UA × SE→CD | −0.120 | 0.039 | 3.063 | 0.002 | −0.197 | −0.044 |
| CD × SE→DUI | −0.338 | 0.039 | 8.588 | 0.000 | −0.417 | −0.260 |
| Path | Path Coefficient | Standard Deviation | T | p | 95% Upper Interval | 95% Lower Interval |
|---|---|---|---|---|---|---|
| IO × SE→CD | −0.232 | 0.037 | 6.270 | 0.000 | −0.305 | −0.162 |
| SO × SE→CD | −0.090 | 0.034 | 2.641 | 0.008 | −0.159 | −0.025 |
| UA × SE→CD | −0.120 | 0.039 | 3.063 | 0.002 | −0.197 | −0.044 |
| CD × SE→DUI | −0.338 | 0.039 | 8.588 | 0.000 | −0.417 | −0.260 |
Disclaimer/Publisher’s Note: The statements, opinions and data contained in all publications are solely those of the individual author(s) and contributor(s) and not of MDPI and/or the editor(s). MDPI and/or the editor(s) disclaim responsibility for any injury to people or property resulting from any ideas, methods, instructions or products referred to in the content. |
© 2023 by the authors. Licensee MDPI, Basel, Switzerland. This article is an open access article distributed under the terms and conditions of the Creative Commons Attribution (CC BY) license (https://creativecommons.org/licenses/by/4.0/).
Share and Cite
Zhang, S.; Pan, Y. Mind over Matter: Examining the Role of Cognitive Dissonance and Self-Efficacy in Discontinuous Usage Intentions on Pan-Entertainment Mobile Live Broadcast Platforms. Behav. Sci. 2023, 13, 254. https://doi.org/10.3390/bs13030254
Zhang S, Pan Y. Mind over Matter: Examining the Role of Cognitive Dissonance and Self-Efficacy in Discontinuous Usage Intentions on Pan-Entertainment Mobile Live Broadcast Platforms. Behavioral Sciences. 2023; 13(3):254. https://doi.org/10.3390/bs13030254
Chicago/Turabian StyleZhang, Shu, and Younghwan Pan. 2023. "Mind over Matter: Examining the Role of Cognitive Dissonance and Self-Efficacy in Discontinuous Usage Intentions on Pan-Entertainment Mobile Live Broadcast Platforms" Behavioral Sciences 13, no. 3: 254. https://doi.org/10.3390/bs13030254
APA StyleZhang, S., & Pan, Y. (2023). Mind over Matter: Examining the Role of Cognitive Dissonance and Self-Efficacy in Discontinuous Usage Intentions on Pan-Entertainment Mobile Live Broadcast Platforms. Behavioral Sciences, 13(3), 254. https://doi.org/10.3390/bs13030254

