The Relationship between Corporate Social Responsibility on Social Media and Brand Advocacy Behavior of Customers in the Banking Context
Abstract
1. Introduction
2. Literature Review
3. Methodology
3.1. Study Sector and Data Collection
3.2. Measures
3.3. Social Desirability and Common Method Bias
4. Results
4.1. Preliminary Data Analysis
4.2. Main Data Analysis
5. Discussion
5.1. Implications
5.1.1. Implications for Theory
5.1.2. Implications for Practice
5.2. Limitations and Future Research Suggestions
6. Conclusions
Author Contributions
Funding
Institutional Review Board Statement
Informed Consent Statement
Data Availability Statement
Conflicts of Interest
Acronyms
Appendix A. Variable Items Used in This Survey
| CSR |
| I post or share thoughts about my bank’s CSR activities on social media |
| I like friending, liking, or following my bank’s CSR activities |
| I post personal experiences related to my bank’s CSR activities |
| I post or share photos, videos, memes, or gifs created by others that relate to my bank’s CSR activities |
| I post or share photos, videos, memes, or gifs created by me that relate to my bank’s CSR activities |
| CE |
| I feel very positive when I use the products/services of my bank |
| Using the products/services of my bank makes me happy |
| I feel good when I use the products/services of my bank |
| Using the products/services of my bank makes me proud |
| CCI |
| I have a sense of connection with my bank |
| I feel my bank is probably similar to me |
| I consider myself as belonging to the group of people who are in favor of my bank |
| I feel associated with my bank |
| Employees of my bank are probably similar to me |
| ADOC |
| I would defend my bank on social media to others if I heard someone speaking poorly about it |
| I try to recommend my friends and family to buy the products/services of my bank on social media |
| I seldom miss an opportunity to tell others the good things about my bank on social media |
| I ask my friends/family on social media to visit my bank with me because I think they would like it |
References
- Brian, D. Social Network Usage & Growth Statistics: How Many People Use Social Media in 2022? Available online: https://backlinko.com/social-media-users#how-many-people-use-social-media (accessed on 20 October 2022).
- Fletcher-Brown, J.; Turnbull, S.; Viglia, G.; Chen, T.; Pereira, V. Vulnerable consumer engagement: How corporate social media can facilitate the replenishment of depleted resources. Int. J. Res. Mark. 2020, 38, 518–529. [Google Scholar] [CrossRef]
- Ibrahim, B.; Aljarah, A. The era of Instagram expansion: Matching social media marketing activities and brand loyalty through customer relationship quality. J. Mark. Commun. 2021, 10, 1–25. [Google Scholar] [CrossRef]
- Ahmad, N.; Naveed, R.T.; Scholz, M.; Irfan, M.; Usman, M.; Ahmad, I. CSR communication through social media: A litmus test for banking consumers’ loyalty. Sustainability 2021, 13, 2319. [Google Scholar] [CrossRef]
- Zhang, H.; Gupta, S.; Sun, W.; Zou, Y. How social-media-enabled co-creation between customers and the firm drives business value? The perspective of organizational learning and social Capital. Inf. Manag. 2020, 57, 103200. [Google Scholar] [CrossRef]
- Krajcsák, Z. Implementing open innovation using quality management systems: The role of organizational commitment and customer loyalty. J. Open Innov. Technol. Mark. Complex. 2019, 5, 90. [Google Scholar] [CrossRef]
- Kircova, I.; Esen, E. The effect of corporate reputation on consumer behaviour and purchase intentions. Manag. Res. Pract. 2018, 10, 21–32. [Google Scholar]
- Islam, T.; Islam, R.; Pitafi, A.H.; Xiaobei, L.; Rehmani, M.; Irfan, M.; Mubarak, M.S. The impact of corporate social responsibility on customer loyalty: The mediating role of corporate reputation, customer satisfaction, and trust. Sustain. Prod. Consum. 2021, 25, 123–135. [Google Scholar] [CrossRef]
- Ahmad, N.; Mahmood, A.; Ariza-Montes, A.; Han, H.; Hernández-Perlines, F.; Araya-Castillo, L.; Scholz, M. Sustainable businesses speak to the heart of consumers: Looking at sustainability with a marketing lens to reap banking consumers’ loyalty. Sustainability 2021, 13, 3828. [Google Scholar] [CrossRef]
- Chu, S.C.; Chen, H.T. Impact of consumers’ corporate social responsibility-related activities in social media on brand attitude, electronic word-of-mouth intention, and purchase intention: A study of Chinese consumer behavior. J. Consum. Behav. 2019, 18, 453–462. [Google Scholar] [CrossRef]
- Chu, S.-C.; Chen, H.-T.; Gan, C. Consumers’ engagement with corporate social responsibility (CSR) communication in social media: Evidence from China and the United States. J. Bus. Res. 2020, 110, 260–271. [Google Scholar] [CrossRef]
- Latif, K.F.; Pérez, A.; Sahibzada, U.F. Corporate social responsibility (CSR) and customer loyalty in the hotel industry: A cross-country study. Int. J. Hosp. Manag. 2020, 89, 102565. [Google Scholar] [CrossRef]
- Agyei, J.; Sun, S.; Penney, E.K.; Abrokwah, E.; Agyare, R. Understanding CSR and customer loyalty: The role of customer engagement. J. Afr. Bus. 2022, 23, 869–886. [Google Scholar] [CrossRef]
- Zhang, Q.; Ahmad, S. Analysis of corporate social responsibility execution effects on purchase intention with the moderating role of customer awareness. Sustainability 2021, 13, 4548. [Google Scholar] [CrossRef]
- Bianchi, E.; Bruno, J.M.; Sarabia-Sanchez, F.J. The impact of perceived CSR on corporate reputation and purchase intention. Eur. J. Manag. Bus. Econ. 2019, 28, 206–221. [Google Scholar] [CrossRef]
- Cross, R.; Smith, J. Customer Bonding: Pathway to Lasting Customer Loyalty; NTC Business Books: Lincolnwood, IL, USA, 1995. [Google Scholar]
- Lowenstein, M. Customer Advocacy Behavior: Personal Brand Connection That is More Than Loyalty, Word-of-Mouth, or Recommendation. Available online: https://customerthink.com/customer_advocacy_behavior_personal_brand_connection/ (accessed on 20 August 2021).
- Urban, G.L. Customer advocacy: A new era in marketing? J. Public Policy Mark. 2005, 24, 155–159. [Google Scholar] [CrossRef]
- Mahmood, M.; Niazi, A.; Asghar, W.; Hussain, M. Impact of Perceived CSR on Brand Equity through Brand Admiration and Customer Advocacy Behaviour: Moderating Role of Brand Attitude and Customer Loyalty. Sustain. Bus. Soc. Emerg. Econ. 2021, 3, 177–194. [Google Scholar] [CrossRef]
- Glaveli, N. Two countries, two stories of CSR, customer trust and advocacy attitudes and behaviors? A study in the Greek and Bulgarian telecommunication sectors. Eur. Manag. Rev. 2021, 18, 151–166. [Google Scholar] [CrossRef]
- Glavas, A. Corporate social responsibility and employee engagement: Enabling employees to employ more of their whole selves at work. Front. Psychol. 2016, 7, 796. [Google Scholar] [CrossRef]
- Aguinis, H.; Glavas, A. What we know and don’t know about corporate social responsibility: A review and research agenda. J. Manag. 2012, 38, 932–968. [Google Scholar] [CrossRef]
- Nabi, R.L.; Gustafson, A.; Jensen, R. Framing climate change: Exploring the role of emotion in generating advocacy behavior. Sci. Commun. 2018, 40, 442–468. [Google Scholar] [CrossRef]
- Abbas, M.; Gao, Y.; Shah, S.S.H. CSR and customer outcomes: The mediating role of customer engagement. Sustainability 2018, 10, 4243. [Google Scholar] [CrossRef]
- Rather, R.A.; Hollebeek, L.D. Exploring and validating social identification and social exchange-based drivers of hospitality customer loyalty. Int. J. Contemp. Hosp. Manag. 2019, 31, 1432–1451. [Google Scholar] [CrossRef]
- Kassemeier, R.; Haumann, T.; Güntürkün, P. Whether, when, and why functional company characteristics engender customer satisfaction and customer-company identification: The role of self-definitional needs. Int. J. Res. Mark. 2022, 39, 699–723. [Google Scholar] [CrossRef]
- Mursid, A.; Wu, C.H.-J. Halal company identity and halal restaurant loyalty: The role of customer satisfaction, customer trust and customer-company identification. J. Islam. Mark. 2021, in press. [Google Scholar] [CrossRef]
- Huang, M.-H.; Cheng, Z.-H.; Chen, I.C. The importance of CSR in forming customer–company identification and long-term loyalty. J. Serv. Mark. 2017, 31, 63–72. [Google Scholar] [CrossRef]
- Ahmad, N.; Ullah, Z.; AlDhaen, E.; Han, H.; Scholz, M. A CSR perspective to foster employee creativity in the banking sector: The role of work engagement and psychological safety. J. Retail. Consum. Serv. 2022, 67, 102968. [Google Scholar] [CrossRef]
- Sun, H.; Rabbani, M.R.; Ahmad, N.; Sial, M.S.; Cheng, G.; Zia-Ud-Din, M.; Fu, Q. CSR, co-creation and green consumer loyalty: Are green banking initiatives important? A moderated mediation approach from an emerging economy. Sustainability 2020, 12, 10688. [Google Scholar] [CrossRef]
- Raza, A.; Saeed, A.; Iqbal, M.K.; Saeed, U.; Sadiq, I.; Faraz, N.A. Linking corporate social responsibility to customer loyalty through co-creation and customer company identification: Exploring sequential mediation mechanism. Sustainability 2020, 12, 2525. [Google Scholar] [CrossRef]
- Casaló, L.V.; Flavián, C.; Guinalíu, M. The role of satisfaction and website usability in developing customer loyalty and positive word-of-mouth in the e-banking services. Int. J. Bank Mark. 2008, 26, 399–417. [Google Scholar] [CrossRef]
- Rajaobelina, L.; Prom Tep, S.; Arcand, M.; Ricard, L. The relationship of brand attachment and mobile banking service quality with positive word-of-mouth. J. Prod. Brand Manag. 2021, 30, 1162–1175. [Google Scholar] [CrossRef]
- Woodside, A.G.; Bernal, P.M.; Kang, B. How Advertising E-Atmospherics Impact Consumer Behaviour: Evidence from True Field Experiments in Hospitality and Tourism. In Atmospheric Turn in Culture and Tourism: Place, Design and Process Impacts on Customer Behaviour, Marketing and Branding; Volgger, M., Pfister, D., Eds.; Advances in Culture, Tourism and Hospitality Research; Emerald Publishing Limited: Bingley, UK, 2019; Volume 16, pp. 319–332. [Google Scholar]
- Tajfel, H. Social categorization, social identity and social comparison. In Differentiation between Social Group; Academic Press: Cambridge, MA, USA, 1978; pp. 61–76. [Google Scholar]
- Rather, R.A.; Hollebeek, L.D.; VO-THANH, T.; Ramkissoon, H.; Leppiman, A.; Smith, D. Shaping customer brand loyalty during the pandemic: The role of brand credibility, value congruence, experience, identification, and engagement. J. Consum. Behav. 2022, 21, 1175–1189. [Google Scholar] [CrossRef]
- Martínez, P.; Del Bosque, I.R. CSR and customer loyalty: The roles of trust, customer identification with the company and satisfaction. Int. J. Hosp. Manag. 2013, 35, 89–99. [Google Scholar] [CrossRef]
- Pérez, A.; Rodríguez del Bosque, I. An integrative framework to understand how CSR affects customer loyalty through identification, emotions and satisfaction. J. Bus. Ethics 2015, 129, 571–584. [Google Scholar] [CrossRef]
- Phillips, S.; Thai, V.V.; Halim, Z. Airline value chain capabilities and CSR performance: The connection between CSR leadership and CSR culture with CSR performance, customer satisfaction and financial performance. Asian J. Shipp. Logist. 2019, 35, 30–40. [Google Scholar] [CrossRef]
- Park, E.; Kim, K.J.; Kwon, S.J. Corporate social responsibility as a determinant of consumer loyalty: An examination of ethical standard, satisfaction, and trust. J. Bus. Res. 2017, 76, 8–13. [Google Scholar] [CrossRef]
- Gürlek, M.; Düzgün, E.; Meydan Uygur, S. How does corporate social responsibility create customer loyalty? The role of corporate image. Soc. Responsib. J. 2017, 13, 409–427. [Google Scholar] [CrossRef]
- Tuan, L.T. Activating tourists’ citizenship behavior for the environment: The roles of CSR and frontline employees’ citizenship behavior for the environment. J. Sustain. Tour. 2018, 26, 1178–1203. [Google Scholar] [CrossRef]
- Kim, M.; Yin, X.; Lee, G. The effect of CSR on corporate image, customer citizenship behaviors, and customers’ long-term relationship orientation. Int. J. Hosp. Manag. 2020, 88, 102520. [Google Scholar] [CrossRef]
- Ansari, N.Y.; Anjum, T.; Farrukh, M.; Heidler, P. Do Good, Have Good: A Mechanism of Fostering Customer Pro-Environmental Behaviors. Sustainability 2021, 13, 3781. [Google Scholar] [CrossRef]
- Lee, S.; Park, H.J.; Kim, K.H.; Lee, C.-K. A moderator of destination social responsibility for tourists’ pro-environmental behaviors in the VIP model. J. Destin. Mark. Manag. 2021, 20, 100610. [Google Scholar] [CrossRef]
- Bialkova, S.; Te Paske, S. Campaign participation, spreading electronic word of mouth, purchase: How to optimise corporate social responsibility, CSR, effectiveness via social media? Eur. J. Manag. Bus. Econ. 2021, 30, 108–126. [Google Scholar] [CrossRef]
- Castro-González, S.; Bande, B.; Fernández-Ferrín, P.; Kimura, T. Corporate social responsibility and consumer advocacy behaviors: The importance of emotions and moral virtues. J. Clean. Prod. 2019, 231, 846–855. [Google Scholar] [CrossRef]
- Ettinger, A.; Grabner-Kräuter, S.; Okazaki, S.; Terlutter, R. The desirability of CSR communication versus greenhushing in the hospitality industry: The customers’ perspective. J. Travel Res. 2021, 60, 618–638. [Google Scholar] [CrossRef]
- Cheng, G.; Cherian, J.; Sial, M.S.; Mentel, G.; Wan, P.; Álvarez-Otero, S.; Saleem, U. The relationship between csr communication on social media, purchase intention, and e-wom in the banking sector of an emerging economy. J. Theor. Appl. Electron. Commer. Res. 2021, 16, 1025–1041. [Google Scholar] [CrossRef]
- Gupta, S.; Nawaz, N.; Alfalah, A.A.; Naveed, R.T.; Muneer, S.; Ahmad, N. The relationship of CSR communication on social media with consumer purchase intention and brand admiration. J. Theor. Appl. Electron. Commer. Res. 2021, 16, 1217–1230. [Google Scholar] [CrossRef]
- Tang, L.; Gallagher, C.C.; Bie, B. Corporate social responsibility communication through corporate websites: A comparison of leading corporations in the United States and China. Int. J. Bus. Commun. 2015, 52, 205–227. [Google Scholar] [CrossRef]
- Huang, R.; Kim, H.; Kim, J. Social capital in QQ China: Impacts on virtual engagement of information seeking, interaction sharing, knowledge creating, and purchasing intention. J. Mark. Manag. 2013, 29, 292–316. [Google Scholar] [CrossRef]
- National Bank of Pakistan. CSR at NBP. Available online: https://www.nbp.com.pk/csr/index.aspx (accessed on 11 December 2021).
- Allied Bank Limited. Community Services. Available online: https://www.abl.com/the-bank/community-services/ (accessed on 11 December 2021).
- Hilton, B.; Hajihashemi, B.; Henderson, C.M.; Palmatier, R.W. Customer Success Management: The next evolution in customer management practice? Ind. Mark. Manag. 2020, 90, 360–369. [Google Scholar] [CrossRef]
- Itani, O.S.; Kassar, A.-N.; Loureiro, S.M.C. Value get, value give: The relationships among perceived value, relationship quality, customer engagement, and value consciousness. Int. J. Hosp. Manag. 2019, 80, 78–90. [Google Scholar] [CrossRef]
- Bilro, R.G.; Loureiro, S.M.C.; Guerreiro, J. Exploring online customer engagement with hospitality products and its relationship with involvement, emotional states, experience and brand advocacy. J. Hosp. Mark. Manag. 2019, 28, 147–171. [Google Scholar] [CrossRef]
- Chang, C.-W.; Huang, H.-C.; Wang, S.-J.; Lee, H. Relational bonds, customer engagement, and service quality. Serv. Ind. J. 2021, 41, 330–354. [Google Scholar] [CrossRef]
- So, K.K.F.; Li, X.; Kim, H. A decade of customer engagement research in hospitality and tourism: A systematic review and research agenda. J. Hosp. Tour. Res. 2020, 44, 178–200. [Google Scholar] [CrossRef]
- Li, M.-W.; Teng, H.-Y.; Chen, C.-Y. Unlocking the customer engagement-brand loyalty relationship in tourism social media: The roles of brand attachment and customer trust. J. Hosp. Tour. Manag. 2020, 44, 184–192. [Google Scholar] [CrossRef]
- Hendriyani, C.; Raharja, S.u.J. Analysis building customer engagement through e-CRM in the era of digital banking in Indonesia. Int. J. Econ. Policy Emerg. Econ. 2018, 11, 479–486. [Google Scholar] [CrossRef]
- Abror, A.; Wardi, Y.; Trinanda, O.; Patrisia, D. The impact of Halal tourism, customer engagement on satisfaction: Moderating effect of religiosity. Asia Pac. J. Tour. Res. 2019, 24, 633–643. [Google Scholar] [CrossRef]
- Rather, R.A.; Hollebeek, L.D.; Islam, J.U. Tourism-based customer engagement: The construct, antecedents, and consequences. Serv. Ind. J. 2019, 39, 519–540. [Google Scholar] [CrossRef]
- De Oliveira Santini, F.; Ladeira, W.J.; Pinto, D.C.; Herter, M.M.; Sampaio, C.H.; Babin, B.J. Customer engagement in social media: A framework and meta-analysis. J. Acad. Mark. Sci. 2020, 48, 1211–1228. [Google Scholar] [CrossRef]
- Zhu, D.; Xu, Y.; Ma, H.; Liao, J.; Sun, W.; Chen, Y.; Liu, W. Building a three-level user experience (UX) measurement framework for mobile banking applications in a Chinese context: An analytic hierarchy process (AHP) analysis. Multimodal Technol. Interact. 2022, 6, 83. [Google Scholar] [CrossRef]
- Cordeiro, T.; Weevers, I. Design is No Longer an Option–User Experience (UX) in FinTech. In The FinTech Book: The Financial Technology Handbook for Investors, Entrepreneurs and Visionaries; John Wiley & Sons: Hoboken, NJ, USA, 2016; pp. 34–37. [Google Scholar] [CrossRef]
- Loureiro, S.M.C.; Lopes, J. How corporate social responsibility initiatives in social media affect awareness and customer engagement. J. Promot. Manag. 2019, 25, 419–438. [Google Scholar] [CrossRef]
- Hollebeek, L.D.; Glynn, M.S.; Brodie, R.J. Consumer brand engagement in social media: Conceptualization, scale development and validation. J. Interact. Mark. 2014, 28, 149–165. [Google Scholar] [CrossRef]
- Mishra, S.; Modi, S.B. Corporate social responsibility and shareholder wealth: The role of marketing capability. J. Mark. 2016, 80, 26–46. [Google Scholar] [CrossRef]
- Gupta, S.; Nawaz, N.; Tripathi, A.; Muneer, S.; Ahmad, N. Using Social Media as a Medium for CSR Communication, to Induce Consumer–Brand Relationship in the Banking Sector of a Developing Economy. Sustainability 2021, 13, 3700. [Google Scholar] [CrossRef]
- Yen, C.-H.; Teng, H.-Y.; Tzeng, J.-C. Innovativeness and customer value co-creation behaviors: Mediating role of customer engagement. Int. J. Hosp. Manag. 2020, 88, 102514. [Google Scholar] [CrossRef]
- Agyei, J.; Sun, S.; Penney, E.K.; Abrokwah, E.; Ofori-Boafo, R. Linking CSR and customer engagement: The role of customer-brand identification and customer satisfaction. Sage Open 2021, 11, 21582440211040113. [Google Scholar] [CrossRef]
- Fatma, M.; Ruiz, A.P.; Khan, I.; Rahman, Z. The effect of CSR engagement on eWOM on social media. Int. J. Organ. Anal. 2020, 28, 941–956. [Google Scholar] [CrossRef]
- Hu, B.; Liu, J.; Zhang, X. The impact of employees’ perceived CSR on customer orientation: An integrated perspective of generalized exchange and social identity theory. Int. J. Contemp. Hosp. Manag. 2020, 32, 2345–2364. [Google Scholar] [CrossRef]
- Fatma, M.; Khan, I.; Rahman, Z. Striving for legitimacy through CSR: An exploration of employees responses in controversial industry sector. Soc. Responsib. J. 2019, 15, 924–938. [Google Scholar] [CrossRef]
- Scott, S.G.; Lane, V.R. A stakeholder approach to organizational identity. Acad. Manag. Rev. 2000, 25, 43–62. [Google Scholar] [CrossRef]
- Wibowo, A.; Chen, S.-C.; Wiangin, U.; Ma, Y.; Ruangkanjanases, A. Customer behavior as an outcome of social media marketing: The role of social media marketing activity and customer experience. Sustainability 2020, 13, 189. [Google Scholar] [CrossRef]
- Habibi, M.R.; Laroche, M.; Richard, M.-O. Testing an extended model of consumer behavior in the context of social media-based brand communities. Comput. Hum. Behav. 2016, 62, 292–302. [Google Scholar] [CrossRef]
- Fernández, P.; Hartmann, P.; Apaolaza, V. What drives CSR communication effectiveness on social media? A process-based theoretical framework and research agenda. Int. J. Advert. 2022, 41, 385–413. [Google Scholar] [CrossRef]
- Hur, W.M.; Kim, H.; Kim, H.K. Does customer engagement in corporate social responsibility initiatives lead to customer citizenship behaviour? The mediating roles of customer-company identification and affective commitment. Corp. Soc. Responsib. Environ. Manag. 2018, 25, 1258–1269. [Google Scholar] [CrossRef]
- Raza, A.; Rather, R.A.; Iqbal, M.K.; Bhutta, U.S. An assessment of corporate social responsibility on customer company identification and loyalty in banking industry: A PLS-SEM analysis. Manag. Res. Rev. 2020, 43, 1337–1370. [Google Scholar] [CrossRef]
- State Bank of Pakistan. Islamic Banking Bulletin. Available online: https://www.sbp.org.pk/ibd/Bulletin/2021/Dec.pdf (accessed on 20 August 2022).
- Adnan, M.; Ahmad, N.; Scholz, M.; Khalique, M.; Naveed, R.T.; Han, H. Impact of substantive staging and communicative staging of sustainable servicescape on behavioral intentions of hotel customers through overall perceived image: A case of boutique hotels. Int. J. Environ. Res. Public Health 2021, 18, 9123. [Google Scholar]
- Awan, K.; Ahmad, N.; Naveed, R.T.; Scholz, M.; Adnan, M.; Han, H. The impact of work–family enrichment on subjective career success through job engagement: A case of banking sector. Sustainability 2021, 13, 8872. [Google Scholar] [CrossRef]
- Ullah, Z.; Shah, N.A.; Khan, S.S.; Ahmad, N.; Scholz, M. Mapping institutional interventions to mitigate suicides: A study of causes and prevention. Int. J. Environ. Res. Public Health 2021, 18, 10880. [Google Scholar] [CrossRef]
- Alam, T.; Ullah, Z.; AlDhaen, F.S.; AlDhaen, E.; Ahmad, N.; Scholz, M. Towards explaining knowledge hiding through relationship conflict, frustration, and irritability: The case of public sector teaching hospitals. Sustainability 2021, 13, 12598. [Google Scholar] [CrossRef]
- Chen, J.; Ghardallou, W.; Comite, U.; Ahmad, N.; Ryu, H.B.; Ariza-Montes, A.; Han, H. Managing Hospital Employees’ Burnout through Transformational Leadership: The Role of Resilience, Role Clarity, and Intrinsic Motivation. Int. J. Environ. Res. Public Health 2022, 19, 10941. [Google Scholar] [CrossRef]
- Peng, J.; Samad, S.; Comite, U.; Ahmad, N.; Han, H.; Ariza-Montes, A.; Vega-Muñoz, A. Environmentally specific servant leadership and employees’ Energy-specific pro-environmental behavior: Evidence from healthcare sector of a developing economy. Int. J. Environ. Res. Public Health 2022, 19, 7641. [Google Scholar] [CrossRef]
- Dniel, S. A-priori Sample Size Calculator for Structural Equation Models. Available online: https://www.danielsoper.com/statcalc/calculator.aspx?id=89 (accessed on 28 May 2022).
- Kuvaas, B.; Buch, R.; Dysvik, A. Individual variable pay for performance, controlling effects, and intrinsic motivation. Motiv. Emot. 2020, 44, 525–533. [Google Scholar] [CrossRef]
- Dedeoglu, B.B.; Bilgihan, A.; Ye, B.H.; Buonincontri, P.; Okumus, F. The impact of servicescape on hedonic value and behavioral intentions: The importance of previous experience. Int. J. Hosp. Manag. 2018, 72, 10–20. [Google Scholar] [CrossRef]
- Gil de Zúñiga, H.; Jung, N.; Valenzuela, S. Social media use for news and individuals’ social capital, civic engagement and political participation. J. Comput.-Mediat. Commun. 2012, 17, 319–336. [Google Scholar] [CrossRef]
- Eberle, D.; Berens, G.; Li, T. The impact of interactive corporate social responsibility communication on corporate reputation. J. Bus. Ethics 2013, 118, 731–746. [Google Scholar] [CrossRef]
- Melancon, J.P.; Noble, S.M.; Noble, C.H. Managing rewards to enhance relational worth. J. Acad. Mark. Sci. 2011, 39, 341–362. [Google Scholar] [CrossRef]
- Ahmad, N.; Scholz, M.; Arshad, M.Z.; Jafri, S.K.A.; Sabir, R.I.; Khan, W.A.; Han, H. The inter-relation of corporate social responsibility at employee level, servant leadership, and innovative work behavior in the time of crisis from the healthcare sector of pakistan. Int. J. Environ. Res. Public Health 2021, 18, 4608. [Google Scholar] [CrossRef]
- Yu, H.; Shabbir, M.S.; Ahmad, N.; Ariza-Montes, A.; Vega-Muñoz, A.; Han, H.; Scholz, M.; Sial, M.S. A contemporary issue of micro-foundation of CSR, employee pro-environmental behavior, and environmental performance toward energy saving, carbon emission reduction, and recycling. Int. J. Environ. Res. Public Health 2021, 18, 5380. [Google Scholar] [CrossRef]
- Fu, Q.; Cherian, J.; Ahmad, N.; Scholz, M.; Samad, S.; Comite, U. An Inclusive Leadership Framework to Foster Employee Creativity in the Healthcare Sector: The Role of Psychological Safety and Polychronicity. Int. J. Environ. Res. Public Health 2022, 19, 4519. [Google Scholar] [CrossRef]
- Deng, Y.; Cherian, J.; Ahmad, N.; Scholz, M.; Samad, S. Conceptualizing the Role of Target-Specific Environmental Transformational Leadership between Corporate Social Responsibility and Pro-Environmental Behaviors of Hospital Employees. Int. J. Environ. Res. Public Health 2022, 19, 3565. [Google Scholar] [CrossRef]
- Guan, X.; Ahmad, N.; Sial, M.S.; Cherian, J.; Han, H. CSR and organizational performance: The role of pro-environmental behavior and personal values. Corp. Soc. Responsib. Environ. Manag. 2022, in press. [Google Scholar] [CrossRef]
- Xu, L.; Mohammad, S.J.; Nawaz, N.; Samad, S.; Ahmad, N.; Comite, U. The Role of CSR for De-Carbonization of Hospitality Sector through Employees: A Leadership Perspective. Sustainability 2022, 14, 5365. [Google Scholar] [CrossRef]
- Ahmad, N.; Ullah, Z.; AlDhaen, E.; Han, H.; Araya-Castillo, L.; Ariza-Montes, A. Fostering hotel-employee creativity through micro-level corporate social responsibility: A social identity theory perspective. Front. Psychol. 2022, 13, 853125. [Google Scholar] [CrossRef]
- Guo, M.; Ahmad, N.; Adnan, M.; Scholz, M.; Naveed, R.T. The relationship of csr and employee creativity in the hotel sector: The mediating role of job autonomy. Sustainability 2021, 13, 10032. [Google Scholar] [CrossRef]
- Ullah, Z.; AlDhaen, E.; Naveed, R.T.; Ahmad, N.; Scholz, M.; Hamid, T.A.; Han, H. Towards making an invisible diversity visible: A study of socially structured barriers for purple collar employees in the workplace. Sustainability 2021, 13, 9322. [Google Scholar] [CrossRef]
- Murtaza, S.A.; Mahmood, A.; Saleem, S.; Ahmad, N.; Sharif, M.S.; Molnár, E. Proposing stewardship theory as an alternate to explain the relationship between CSR and Employees’ pro-environmental behavior. Sustainability 2021, 13, 8558. [Google Scholar] [CrossRef]
- Ahmad, N.; Ullah, Z.; Arshad, M.Z.; waqas Kamran, H.; Scholz, M.; Han, H. Relationship between corporate social responsibility at the micro-level and environmental performance: The mediating role of employee pro-environmental behavior and the moderating role of gender. Sustain. Prod. Consum. 2021, 27, 1138–1148. [Google Scholar] [CrossRef]
- Han, H.; Al-Ansi, A.; Chua, B.-L.; Ahmad, N.; Kim, J.J.; Radic, A.; Bobby Ryu, H. Reconciling civilizations: Eliciting residents’ attitude and behaviours for international Muslim tourism and development. Curr. Issues Tour. 2022, 1–19. [Google Scholar] [CrossRef]
- Ahmad, N.; Ullah, Z.; AlDhaen, E.; Han, H.; Ariza-Montes, A.; Vega-Muñoz, A. Fostering advocacy behavior of employees: A corporate social responsibility perspective from the hospitality sector. Front. Psychol. 2022, 13, 865021. [Google Scholar] [CrossRef]
- Zhang, D.; Mahmood, A.; Ariza-Montes, A.; Vega-Muñoz, A.; Ahmad, N.; Han, H.; Sial, M.S. Exploring the impact of corporate social responsibility communication through social media on banking customer e-wom and loyalty in times of crisis. Int. J. Environ. Res. Public Health 2021, 18, 4739. [Google Scholar] [CrossRef]
- Molnár, E.; Mahmood, A.; Ahmad, N.; Ikram, A.; Murtaza, S.A. The Interplay between Corporate Social Responsibility at Employee Level, Ethical Leadership, Quality of Work Life and Employee Pro-Environmental Behavior: The Case of Healthcare Organizations. Int. J. Environ. Res. Public Health 2021, 18, 4521. [Google Scholar] [CrossRef]
- Ahmad, N.; Ullah, Z.; Mahmood, A.; Ariza-Montes, A.; Vega-Muñoz, A.; Han, H.; Scholz, M. Corporate social responsibility at the micro-level as a “new organizational value” for sustainability: Are females more aligned towards it? Int. J. Environ. Res. Public Health 2021, 18, 2165. [Google Scholar] [CrossRef]
- Ahmad, N.; Scholz, M.; AlDhaen, E.; Ullah, Z.; Scholz, P. Improving Firm’s Economic and Environmental Performance through the Sustainable and Innovative Environment: Evidence from an Emerging Economy. Front. Psychol. 2021, 12, 651394. [Google Scholar] [CrossRef] [PubMed]
- Kim, T.; Yang, J.; Yim, M.C. The effect of institutional CSR on brand advocacy during COVID-19: The moderated mediation effect of CSR expectancy and value-driven motivation. J. Prod. Brand Manag. 2022, in press. [Google Scholar] [CrossRef]
- Limbu, Y.B.; Pham, L.; Mann, M. Corporate social responsibility and hospital brand advocacy. Int. J. Pharm. Healthc. Mark. 2020, 14, 159–174. [Google Scholar] [CrossRef]
- Fatma, M.; Khan, I.; Kumar, V.; Shrivastava, A.K. Corporate social responsibility and customer-citizenship behaviors: The role of customer–company identification. Eur. Bus. Rev. 2022, 34, 858–875. [Google Scholar] [CrossRef]
- Xie, C.; Bagozzi, R.P.; Grønhaug, K. The impact of corporate social responsibility on consumer brand advocacy: The role of moral emotions, attitudes, and individual differences. J. Bus. Res. 2019, 95, 514–530. [Google Scholar] [CrossRef]
- Alshebami, A.S.; Al Marri, S.H. The impact of financial literacy on entrepreneurial intention: The mediating role of saving behavior. Front. Psychol. 2022, 13, 911605. [Google Scholar] [CrossRef]
- Alshebami, A.S.; Aldhyani, T.H. The interplay of social influence, financial literacy, and saving behaviour among Saudi youth and the moderating effect of self-control. Sustainability 2022, 14, 8780. [Google Scholar] [CrossRef]

| Distributed | Returned | Unreturned | Removed | Outliers | Final |
|---|---|---|---|---|---|
| 500 (HBL = 78) (ABL = 84) (MB = 67) (NBP = 95) (UBL = 64) | 388 | 112 | 32 | 09 | 356 |
| - | 77.6% | 22.4% | 8.24% | 28.12% | 71.2% |
| Case No. | Mahalanobis d-Squared | p1 | p2 |
|---|---|---|---|
| 243 | 12.733 | 0.002 | 0.000 |
| 9 | 8.450 | 0.015 | 0.006 |
| 64 | 8.450 | 0.015 | 0.002 |
| 119 | 8.450 | 0.015 | 0.001 |
| 175 | 8.450 | 0.015 | 0.000 |
| 229 | 8.450 | 0.015 | 0.000 |
| 20 | 7.679 | 0.022 | 0.001 |
| 75 | 7.679 | 0.022 | 0.000 |
| 130 | 7.679 | 0.022 | 0.000 |
| 243 | 12.733 | 0.002 | 0.000 |
| λ | λ2 | E-Variance | |
|---|---|---|---|
| CSR | 0.79 | 0.62 | 0.38 |
| AVE = 0.65 | 0.73 | 0.53 | 0.47 |
| CR = 0.90 | 0.90 | 0.81 | 0.19 |
| ∑λ2 = 3.23 | 0.88 | 0.77 | 0.23 |
| Total items = 5 | 0.70 | 0.49 | 0.51 |
| CE | 0.73 | 0.53 | 0.47 |
| AVE = 0.61 | 0.77 | 0.59 | 0.41 |
| CR = 0.86 | 0.89 | 0.79 | 0.21 |
| ∑λ2 = 2.42 | 0.71 | 0.50 | 0.50 |
| Total items = 4 | - | - | - |
| CCI | 0.93 | 0.86 | 0.14 |
| AVE = 0.63 | 0.69 | 0.48 | 0.52 |
| CR = 0.90 | 0.74 | 0.55 | 0.45 |
| ∑λ2 = 3.17 | 0.76 | 0.58 | 0.42 |
| Total items = 5 | 0.84 | 0.71 | 0.29 |
| ADOC | 0.78 | 0.61 | 0.39 |
| AVE = 0.60 | 0.83 | 0.69 | 0.31 |
| CR = 0.85 | 0.72 | 0.52 | 0.48 |
| ∑λ2 = 2.39 | 0.76 | 0.58 | 0.42 |
| Total items = 4 | - | - | - |
| Model | χ2/df (<3) | Δχ2/df - | RMSEA (<0.08) | GFI (>0.9) | TLI (>0.9) | IFI (>0.9) | CFI (>0.9) |
|---|---|---|---|---|---|---|---|
| 1 | 2.92 | _ | 0.066 | 0.94 | 0.92 | 0.94 | 0.95 |
| 2 | 3.88 | 2.43 | 0.076 | 0.82 | 0.82 | 0.83 | 0.83 |
| 3 | 5.92 | 1.44 | 0.096 | 0.70 | 0.68 | 0.72 | 0.72 |
| 4 | 6.84 | 1.59 | 0.119 | 0.64 | 0.60 | 0.62 | 0.67 |
| Variable | 1 | 2 | 3 | 4 |
|---|---|---|---|---|
| 1 | 0.80 | 0.56 | 0.43 | 0.58 |
| 2 | (3.29, 0.65) | 0.78 | 0.39 | 0.52 |
| 3 | (2.96, 0.53) | 0.80 | 0.47 | |
| 4 | (3.49, 0.74) | 0.77 | ||
| (2.99, 0.60) |
| Hypotheses | Estimates (SE) | t and z Values | p-Value | CI | Decission |
|---|---|---|---|---|---|
| Direct effects | |||||
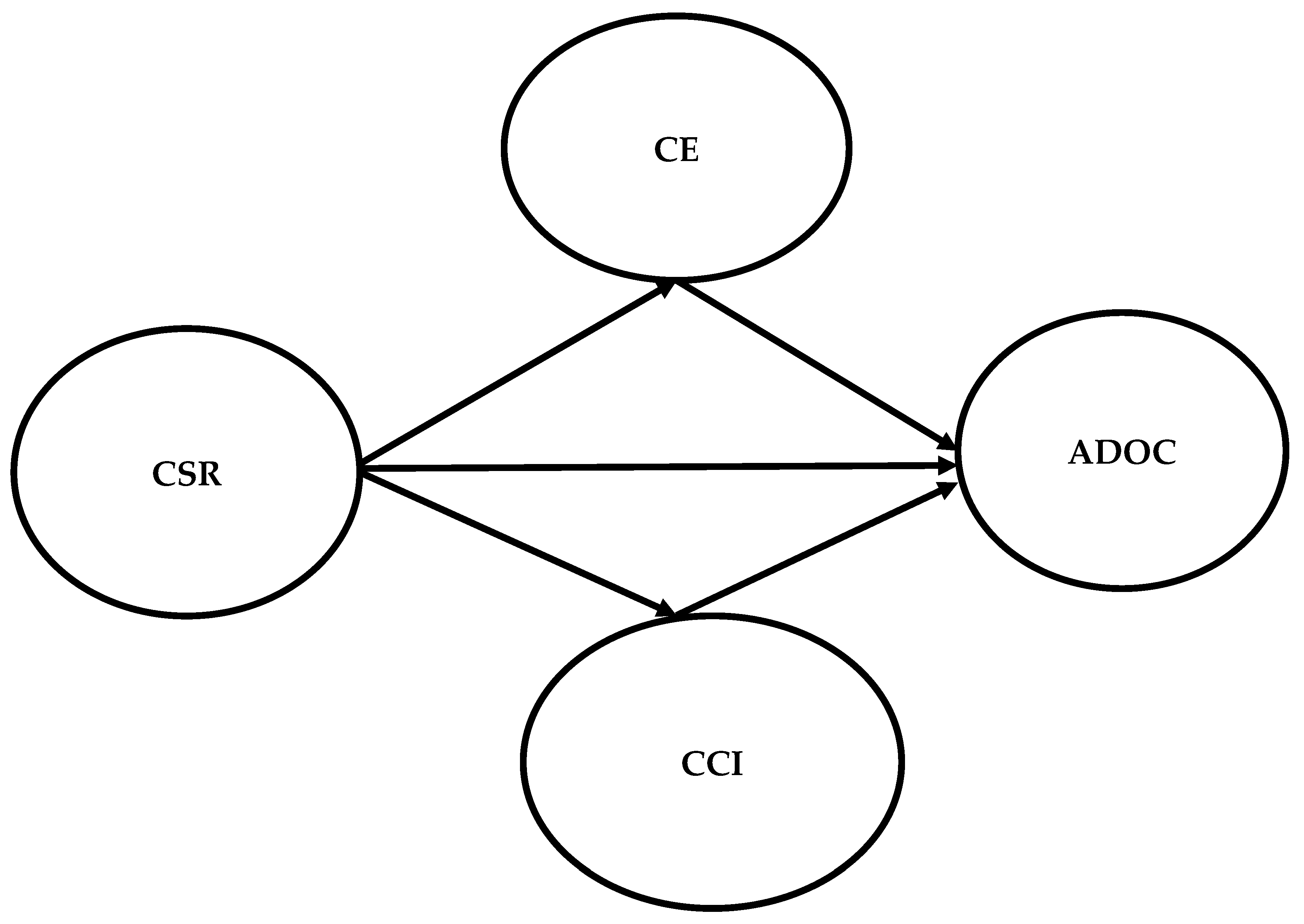
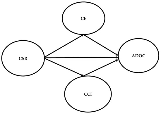
| H1: (CSR→ADOC) | 0.44 (0.059) | 7.46 | **** | 0.22, 0.49 | Supported |
| H2: (CSR→CE) | 0.38 (0.052) | 7.31 | **** | 0.19, 0.42 | Supported |
| H4: (CSR→CCI) | 0.34 (0.043) | 7.91 | **** | 0.24, 0.65 | Supported |
| Indirect effects | |||||
| H3: (CSR→CE→ADOC) | 0.29 (0.036) | 8.05 | **** | 0.24, 0.82 | Supported |
| H5: (CSR→CCI→ADOC) | 0.22 (0.030) | 7.33 | **** | 0.36, 0.41 | Supported |
| Total effect | |||||
| (CSR→ADOC) | 0.61 (0.074) | 8.24 | **** | 0.39, 0.73 | Supported |
Disclaimer/Publisher’s Note: The statements, opinions and data contained in all publications are solely those of the individual author(s) and contributor(s) and not of MDPI and/or the editor(s). MDPI and/or the editor(s) disclaim responsibility for any injury to people or property resulting from any ideas, methods, instructions or products referred to in the content. |
© 2022 by the authors. Licensee MDPI, Basel, Switzerland. This article is an open access article distributed under the terms and conditions of the Creative Commons Attribution (CC BY) license (https://creativecommons.org/licenses/by/4.0/).
Share and Cite
Huang, S.; Hai, X.; Adam, N.A.; Fu, Q.; Ahmad, A.; Zapodeanu, D.; Badulescu, D. The Relationship between Corporate Social Responsibility on Social Media and Brand Advocacy Behavior of Customers in the Banking Context. Behav. Sci. 2023, 13, 32. https://doi.org/10.3390/bs13010032
Huang S, Hai X, Adam NA, Fu Q, Ahmad A, Zapodeanu D, Badulescu D. The Relationship between Corporate Social Responsibility on Social Media and Brand Advocacy Behavior of Customers in the Banking Context. Behavioral Sciences. 2023; 13(1):32. https://doi.org/10.3390/bs13010032
Chicago/Turabian StyleHuang, Shijiao, Xu Hai, Nawal Abdalla Adam, Qinghua Fu, Aqeel Ahmad, Daniela Zapodeanu, and Daniel Badulescu. 2023. "The Relationship between Corporate Social Responsibility on Social Media and Brand Advocacy Behavior of Customers in the Banking Context" Behavioral Sciences 13, no. 1: 32. https://doi.org/10.3390/bs13010032
APA StyleHuang, S., Hai, X., Adam, N. A., Fu, Q., Ahmad, A., Zapodeanu, D., & Badulescu, D. (2023). The Relationship between Corporate Social Responsibility on Social Media and Brand Advocacy Behavior of Customers in the Banking Context. Behavioral Sciences, 13(1), 32. https://doi.org/10.3390/bs13010032

