Investigating the Relationship between Facial Mimicry and Empathy
Abstract
:1. Introduction
- 1.
- Studies often not accounting for the differences in the empathetic ability across various demographic groups;
- 2.
- Studies following different designs [20] and, in particular, employing different instruments to quantify empathy.
2. Materials and Methods
2.1. Experimental Procedure
2.2. Theoretical Background
2.2.1. Validation of iMotions
- Face detection: A classifier algorithm, e.g., Viola Jones Cascaded [45], identifies the position of the face in the video frame.
- Feature detection: A computer vision algorithm detects the landmarks of the face such as the corners of the eyebrow, corners of the mouth, and tip of the nose. In this step, an internal face model is created and it adapts to the movements of the face.
- Feature classification: Deep learning algorithms analyse the pixels in these regions and classify the facial expressions, which are then mapped to emotions.
2.2.2. Validation of Karolinska Directed Emotional Faces Database
2.2.3. Validation of Empathy Quotient Scale
2.3. Data Description
2.3.1. Data Collection
2.3.2. Data Preparation
- 0—good quality;
- 1—minor issues such as subjects supporting their head with a hand, sometimes covering lips;
- 2—major issues such as subjects occasionally talking, eating, drinking or covering most of their face with hands;
- 3—no facial data available, e.g., subjects with camera off.
2.4. Data Analysis
2.4.1. Difference in Empathy across Demographic Groups
2.4.2. Correlation between Facial Reactions and Empathy
3. Results
3.1. Difference in Empathy across Demographic Groups
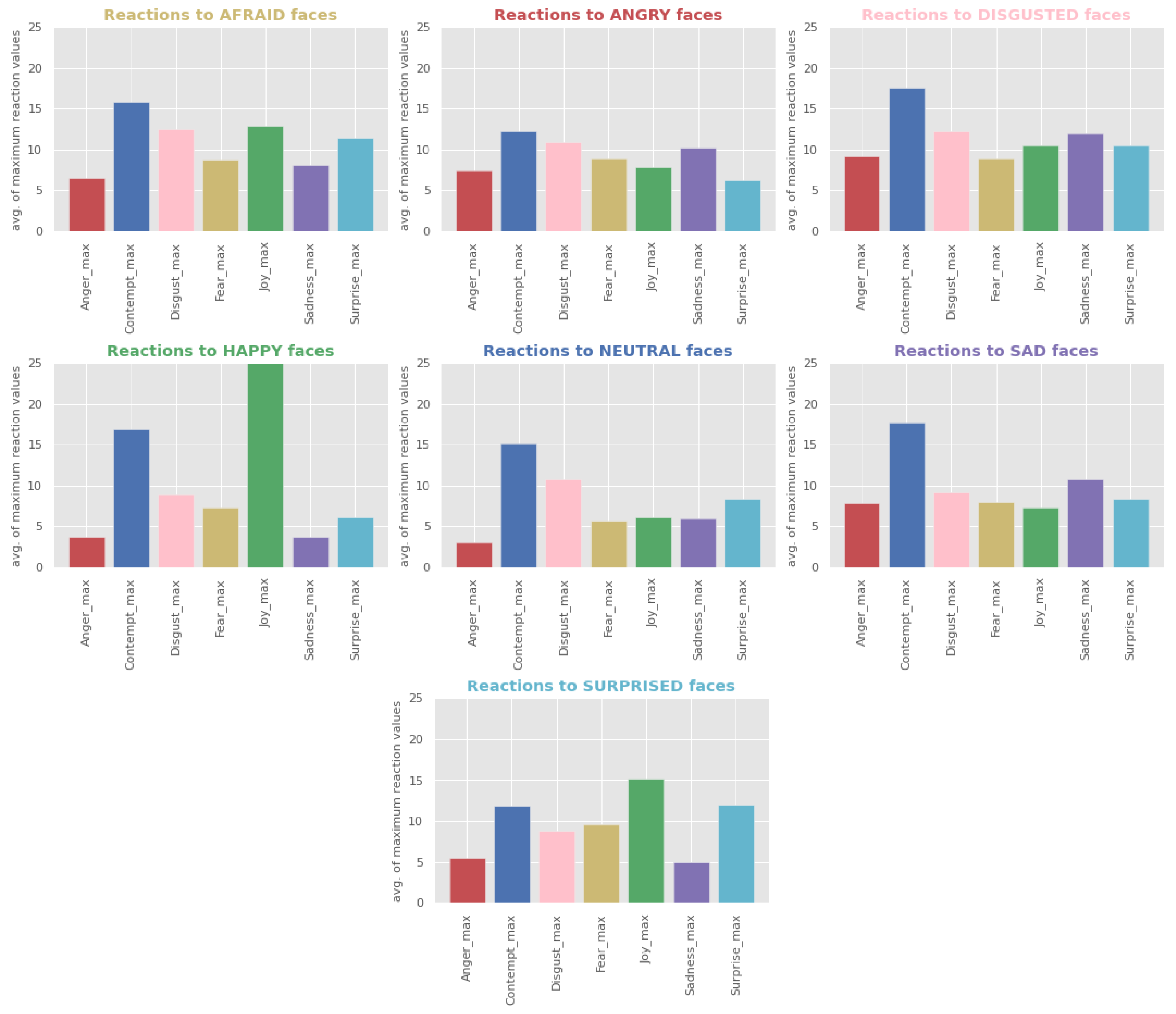
3.2. Correlation between Facial Reactions and Empathy
4. Discussion
5. Conclusions
Author Contributions
Funding
Institutional Review Board Statement
Informed Consent Statement
Data Availability Statement
Conflicts of Interest
Abbreviations
| EQ | Empathy Quotient |
| EMG | Electromyography |
Appendix A. Empathy Quotient Questionnaire
- 1.
- I can easily tell if someone else wants to enter a conversation.
- 2.
- I prefer animals to humans.
- 3.
- I try to keep up with the current trends and fashions.
- 4.
- I find it difficult to explain to others things that I understand easily, when they don’t understand it the first time.
- 5.
- I dream most nights.
- 6.
- I really enjoy caring for other people.
- 7.
- I try to solve my own problems rather than discussing them with others.
- 8.
- I find it hard to know what to do in a social situation.
- 9.
- I am at my best first thing in the morning.
- 10.
- People often tell me that I went too far in driving my point home in a discussion.
- 11.
- It doesn’t bother me too much if I am late meeting a friend.
- 12.
- Friendships and relationships are just too difficult, so I tend not to bother with them.
- 13.
- I would never break a law, no matter how minor.
- 14.
- I often find it difficult to judge if something is rude or polite.
- 15.
- In a conversation, I tend to focus on my own thoughts rather than on what my listener might be thinking.
- 16.
- I prefer practical jokes to verbal humor.
- 17.
- I live life for today rather than the future.
- 18.
- When I was a child, I enjoyed cutting up worms to see what would happen.
- 19.
- I can pick up quickly if someone says one thing but means another.
- 20.
- I tend to have very strong opinions about morality.
- 21.
- It is hard for me to see why some things upset people so much.
- 22.
- I find it easy to put myself in somebody else’s shoes.
- 23.
- I think that good manners are the most important thing a parent can teach their child.
- 24.
- I like to do things on the spur of the moment.
- 25.
- I am good at predicting how someone will feel.
- 26.
- I am quick to spot when someone in a group is feeling awkward or uncomfortable.
- 27.
- If I say something that someone else is offended by, I think that that’s their problem, not mine.
- 28.
- If anyone asked me if I liked their haircut, I would reply truthfully, even if I didn’t like it.
- 29.
- I can’t always see why someone should have felt offended by a remark.
- 30.
- People often tell me that I am very unpredictable.
- 31.
- I enjoy being the center of attention at any social gathering.
- 32.
- Seeing people cry doesn’t really upset me.
- 33.
- I enjoy having discussions about politics.
- 34.
- I am very blunt, which some people take to be rudeness, even though this is unintentional.
- 35.
- I don’t find social situations confusing.
- 36.
- Other people tell me I am good at understanding how they are feeling and what they are thinking.
- 37.
- When I talk to people, I tend to talk about their experiences rather than my own.
- 38.
- It upsets me to see an animal in pain.
- 39.
- I am able to make decisions without being influenced by people’s feelings.
- 40.
- I can’t relax until I have done everything I had planned to do that day.
- 41.
- I can easily tell if someone else is interested or bored with what I am saying.
- 42.
- I get upset if I see people suffering on news programs.
- 43.
- Friends usually talk to me about their problems as they say that I am very understanding.
- 44.
- I can sense if I am intruding, even if the other person doesn’t tell me.
- 45.
- I often start new hobbies, but quickly become bored with them and move on to something else.
- 46.
- People sometimes tell me that I have gone too far with teasing.
- 47.
- I would be too nervous to go on a big rollercoaster.
- 48.
- Other people often say that I am insensitive, though I don’t always see why.
- 49.
- If I see a stranger in a group, I think that it is up to them to make an effort to join in.
- 50.
- I usually stay emotionally detached when watching a film.
- 51.
- I like to be very organized in day-to-day life and often makes lists of the chores I have to do.
- 52.
- I can tune into how someone else feels rapidly and intuitively.
- 53.
- I don’t like to take risks.
- 54.
- I can easily work out what another person might want to talk about.
- 55.
- I can tell if someone is masking their true emotion.
- 56.
- Before making a decision, I always weigh up the pros and cons.
- 57.
- I don’t consciously work out the rules of social situations.
- 58.
- I am good at predicting what someone will do.
- 59.
- I tend to get emotionally involved with a friend’s problems.
- 60.
- I can usually appreciate the other person’s viewpoint, even if I don’t agree with it.
References
- Woolley, A.W.; Chabris, C.F.; Pentland, A.; Hashmi, N.; Malone, T.W. Evidence for a Collective Intelligence Factor in the Performance of Human Groups. Science 2010, 330, 686–688. [Google Scholar] [CrossRef] [Green Version]
- Salomon, G. Distributed Cognitions: Psychological and Educational Considerations; Cambridge University Press: Cambridge, UK, 1997. [Google Scholar]
- Howick, J.; Moscrop, A.; Mebius, A.; Fanshawe, T.R.; Lewith, G.; Bishop, F.L.; Mistiaen, P.; Roberts, N.W.; Dieninytė, E.; Hu, X.Y.; et al. Effects of empathic and positive communication in healthcare consultations: A systematic review and meta-analysis. J. R. Soc. Med. 2018, 111, 240–252. [Google Scholar] [CrossRef] [PubMed] [Green Version]
- Szilágyi, A.K.; Dioszeghy, C.; Benczúr, L.; Varga, K. Effectiveness of Psychological Support based on Positive Suggestion with the Ventilated Patient. Eur. J. Ment. Health 2007, 2, 149. [Google Scholar] [CrossRef]
- Rakel, D.P.; Hoeft, T.J.; Barrett, B.P.; Chewning, B.A.; Craig, B.M.; Niu, M. Practitioner Empathy and the Duration of the Common Cold. Fam. Med. 2009, 41, 494–501. [Google Scholar] [PubMed]
- Menendez, M.E.; Chen, N.C.; Mudgal, C.S.; Jupiter, J.B.; Ring, D. Physician Empathy as a Driver of Hand Surgery Patient Satisfaction. J. Hand Surg. 2015, 40, 1860–1865. [Google Scholar] [CrossRef]
- Cahill, J.; Paley, G.; Hardy, G. What do patients find helpful in psychotherapy? Implications for the therapeutic relationship in mental health nursing. J. Psychiatr. Ment. Health Nurs. 2013, 20, 782–791. [Google Scholar] [CrossRef]
- Sweeney, A.; Clement, S.; Filson, B.; Kennedy, A. Trauma-informed mental healthcare in the UK: What is it and how can we further its development? Ment. Health Rev. J. 2016, 21, 174–192. [Google Scholar] [CrossRef]
- Greenberg, D.M.; Warrier, V.; Allison, C.; Baron-Cohen, S. Testing the Empathizing–Systemizing theory of sex differences and the Extreme Male Brain theory of autism in half a million people. Proc. Natl. Acad. Sci. USA 2018, 115, 12152–12157. [Google Scholar] [CrossRef] [Green Version]
- Dimberg, U.; Thunberg, M.; Elmehed, K. Unconscious Facial Reactions to Emotional Facial Expressions. Psychol. Sci. 2000, 11, 86–89. [Google Scholar] [CrossRef]
- Watson, J.C.; Greenberg, L.S. Empathic Resonance: A Neuroscience Perspective. In The Social Neuroscience of Empathy; The MIT Press: Cambridge, MA, USA, 2009. [Google Scholar] [CrossRef]
- Borgomaneri, S.; Bolloni, C.; Sessa, P.; Avenanti, A. Blocking facial mimicry affects recognition of facial and body expressions. PLoS ONE 2020, 15, e0229364. [Google Scholar] [CrossRef] [Green Version]
- Chartrand, T.L.; Bargh, J.A. The chameleon effect: The perception–behavior link and social interaction.-PsycNET. J. Personal. Soc. Psychol. 1999, 76, 893. [Google Scholar] [CrossRef]
- Hatfield, E.; Carpenter, M.; Rapson, R.L. Emotional contagion as a precursor to collective emotions. Collect. Emot. Perspect. Psychol. Philos. Sociol. 2014, 108–122. [Google Scholar]
- Hess, U.; Fischer, A.H. Emotional Mimicry in Social Context; Studies in Emotion and Social Interaction; Cambridge University Press: Cambridge, UK, 2016. [Google Scholar] [CrossRef]
- Stel, M. The role of mimicry in understanding the emotions of others. In Emotional Mimicry in Social Context; Cambridge University Press: Cambridge, UK, 2016; pp. 27–43. [Google Scholar] [CrossRef]
- Wróbel, M.; Piórkowska, M.; Rzeczkowska, M.; Troszczyńska, A.; Tolopilo, A.; Olszanowski, M. The ‘Big Two’ and socially induced emotions: Agency and communion jointly influence emotional contagion and emotional mimicry. Motiv. Emot. 2021, 45, 683–704. [Google Scholar] [CrossRef]
- Peng, S.; Zhang, L.; Hu, P. Relating self-other overlap to ingroup bias in emotional mimicry. Soc. Neurosci. 2021, 16, 439–447. [Google Scholar] [CrossRef] [PubMed]
- Wingenbach, T.S.H.; Brosnan, M.; Pfaltz, M.C.; Peyk, P.; Ashwin, C. Perception of Discrete Emotions in Others: Evidence for Distinct Facial Mimicry Patterns. Sci. Rep. 2020, 10, 4692. [Google Scholar] [CrossRef]
- Wróbel, M.; Imbir, K.K. Broadening the Perspective on Emotional Contagion and Emotional Mimicry: The Correction Hypothesis. Perspect. Psychol. Sci. 2019, 14, 437–451. [Google Scholar] [CrossRef]
- Eisenberg, N.; Lennon, R. Sex Differences in Empathy and Related Capacities. Psychol. Bull. 1983, 94, 100–131. [Google Scholar] [CrossRef]
- Hoffman, M.L. Sex differences in empathy and related behaviors. Psychol. Bull. 1977, 84, 712–722. [Google Scholar] [CrossRef]
- Davis, M.H. Measuring individual differences in empathy: Evidence for a multidimensional approach. J. Pers. Soc. Psychol. 1983, 44, 113–126. [Google Scholar] [CrossRef]
- Christov-Moore, L.; Simpson, E.A.; Coudé, G.; Grigaityte, K.; Iacoboni, M.; Ferrari, P.F. Empathy: Gender effects in brain and behavior. Neurosci. Biobehav. Rev. 2014, 46, 604–627. [Google Scholar] [CrossRef] [Green Version]
- Sommerlad, A.; Huntley, J.; Livingston, G.; Rankin, K.P.; Fancourt, D. Empathy and its associations with age and sociodemographic characteristics in a large UK population sample. PLoS ONE 2021, 16, e0257557. [Google Scholar] [CrossRef] [PubMed]
- Sun, B.; Luo, Z.; Zhang, W.; Li, W.; Li, X. Age-related differences in affective and cognitive empathy: Self-report and performance-based evidence. Aging Neuropsychol. Cogn. 2018, 25, 655–672. [Google Scholar] [CrossRef] [PubMed]
- Beadle, J.N.; de la Vega, C.E. Impact of Aging on Empathy: Review of Psychological and Neural Mechanisms. Front. Psychiatry 2019, 10, 331. [Google Scholar] [CrossRef] [PubMed]
- Ziaei, M.; Oestreich, L.; Reutens, D.C.; Ebner, N.C. Age-related differences in negative cognitive empathy but similarities in positive affective empathy. Brain Struct. Funct. 2021, 226, 1823–1840. [Google Scholar] [CrossRef] [PubMed]
- Pollerhoff, L.; Stietz, J.; Depow, G.J.; Inzlicht, M.; Kanske, P.; Li, S.C.; Reiter, A.M.F. Investigating adult age differences in real-life empathy, prosociality, and well-being using experience sampling. Sci. Rep. 2022, 12, 3450. [Google Scholar] [CrossRef]
- Sonnby-Borgström, M.; Jönsson, P.; Svensson, O. Emotional Empathy as Related to Mimicry Reactions at Different Levels of Information Processing. J. Nonverbal. Behav. 2003, 27, 3–23. [Google Scholar] [CrossRef]
- Rymarczyk, K.; Żurawski, Ł.; Jankowiak-Siuda, K.; Szatkowska, I. Emotional Empathy and Facial Mimicry for Static and Dynamic Facial Expressions of Fear and Disgust. Front. Psychol. 2016, 7, 1853. [Google Scholar] [CrossRef] [Green Version]
- Hogan, R. Development of an empathy scale. J. Consult. Clin. Psychol. 1969, 33, 307–316. [Google Scholar] [CrossRef]
- Mehrabian, A.; Epstein, N. A measure of emotional empathy1. J. Pers. 1972, 40, 525–543. [Google Scholar] [CrossRef]
- Davis, M.H. A Multidimensional Approach to Individual Differences in Empathy. JSAS Cat. Sel. Doc. Psychol. 1980, 10, 1980. [Google Scholar]
- Baron-Cohen, S.; Wheelwright, S. The Empathy Quotient: An Investigation of Adults with Asperger Syndrome or High Functioning Autism, and Normal Sex Differences. J. Autism Dev. Disord. 2004, 34, 163–175. [Google Scholar] [CrossRef] [PubMed]
- Quinde-Zlibut, J.M.; Williams, Z.J.; Gerdes, M.; Mash, L.E.; Heflin, B.H.; Cascio, C. Multifaceted empathy differences in children and adults with autism. Sci. Rep. 2021, 11, 19503. [Google Scholar] [CrossRef]
- Dziobek, I.; Rogers, K.; Fleck, S.; Bahnemann, M.; Heekeren, H.R.; Wolf, O.T.; Convit, A. Dissociation of cognitive and emotional empathy in adults with Asperger syndrome using in the Multifaceted Empathy Test. J. Autism. Dev. Disord. 2008, 38, 464–473. [Google Scholar] [CrossRef] [PubMed]
- iMotions. Facial Expression Analysis—iMotions Software Solution. 2017. Available online: https://imotions.com/biosensor/fea-facial-expression-analysis/ (accessed on 18 October 2021).
- Affectiva. Solutions-Affectiva. 2020. Available online: https://www.affectiva.com/what/products (accessed on 18 October 2021).
- Ekman, P.; Friesen, W. Manual for the Facial Action Coding System; Consulting Psychologists Press: Palo Alto, CA, USA, 1978. [Google Scholar]
- Ekman, P.; Friesen, W.V.; Hager, J.C. Facial Action Coding System: The Manual; Research Nexus: Salt Lake City, UT, USA, 2002. [Google Scholar]
- Kanade, T.; Cohn, J.F.; Tian, Y. Comprehensive database for facial expression analysis. In Proceedings of the Proceedings Fourth IEEE International Conference on Automatic Face and Gesture Recognition (Cat. No. PR00580), Grenoble, France, 28–30 March 2000; pp. 46–53. [Google Scholar] [CrossRef] [Green Version]
- Barrett, L.F.; Adolphs, R.; Marsella, S.; Martinez, A.M.; Pollak, S.D. Emotional Expressions Reconsidered: Challenges to Inferring Emotion From Human Facial Movements. Psychol. Sci. Public Interest 2019, 20, 1–68. [Google Scholar] [CrossRef] [PubMed] [Green Version]
- iMotions. Facial Expression Analysis Guide. 2020. Available online: https://imotions.com/guides/ (accessed on 18 October 2021).
- Viola, P.; Jones, M. Rapid object detection using a boosted cascade of simple features. In Proceedings of the 2001 IEEE Computer Society Conference on Computer Vision and Pattern Recognition, CVPR 2001, Kauai, HI, USA, 8–14 December 2001; Volume 1, p. I. [Google Scholar] [CrossRef]
- Stöckli, S.; Schulte-Mecklenbeck, M.; Borer, S.; Samson, A.C. Facial expression analysis with AFFDEX and FACET: A validation study. Behav. Res. Methods 2018, 50, 1446–1460. [Google Scholar] [CrossRef]
- Kulke, L.; Feyerabend, D.; Schacht, A. A Comparison of the Affectiva iMotions Facial Expression Analysis Software with EMG for Identifying Facial Expressions of Emotion. Front. Psychol. 2020, 11, 329. [Google Scholar] [CrossRef]
- Dupré, D.; Krumhuber, E.G.; Küster, D.; McKeown, G.J. A performance comparison of eight commercially available automatic classifiers for facial affect recognition. PLoS ONE 2020, 15, e0231968. [Google Scholar] [CrossRef]
- Zhang, K.; Zhang, Z.; Li, Z.; Qiao, Y. Joint Face Detection and Alignment Using Multitask Cascaded Convolutional Networks. IEEE Signal Process. Lett. 2016, 23, 1499–1503. [Google Scholar] [CrossRef] [Green Version]
- Lundqvist, D.; Flykt, A.; Öhman, A. The Karolinska Directed Emotional Faces-KDEF, CD ROM from Department of Clinical Neuroscience, Psychology Section; Karolinska Institutet: Stockholm, Sweden, 1998; Volume 91, p. 2. [Google Scholar]
- Goeleven, E.; De Raedt, R.; Leyman, L.; Verschuere, B. The Karolinska Directed Emotional Faces: A validation study. Cogn. Emot. 2008, 22, 1094–1118. [Google Scholar] [CrossRef]
- Baron-Cohen, S.; Wheelwright, S. The Friendship Questionnaire: An Investigation of Adults with Asperger Syndrome or High-Functioning Autism, and Normal Sex Differences. J. Autism Dev. Disord. 2003, 33, 509–517. [Google Scholar] [CrossRef]
- Baron-Cohen, S.; Wheelwright, S.; Hill, J.; Raste, Y.; Plumb, I. The “Reading the Mind in the Eyes” Test revised version: A study with normal adults, and adults with Asperger syndrome or high-functioning autism. J. Child Psychol. Psychiatry 2001, 42, 241–251. [Google Scholar] [CrossRef] [PubMed]
- Bryant, C. Researchpy. 2018. Available online: https://github.com/researchpy/researchpy (accessed on 18 October 2021).
- Jones, E.; Oliphant, T.; Peterson, P. SciPy: Open Source Scientific Tools for Python. 2001. Available online: http://www.scipy.org/ (accessed on 21 July 2022).
- Pedregosa, F.; Varoquaux, G.; Gramfort, A.; Michel, V.; Thirion, B.; Grisel, O.; Blondel, M.; Prettenhofer, P.; Weiss, R.; Dubourg, V.; et al. Scikit-learn: Machine learning in Python. J. Mach. Learn. Res. 2011, 12, 2825–2830. [Google Scholar]
- Seabold, S.; Perktold, J. statsmodels: Econometric and statistical modeling with python. In Proceedings of the 9th Python in Science Conference, Austin, TX, USA, 28 June–3 July 2010. [Google Scholar]
- Mann, H.B.; Whitney, D.R. On a Test of Whether one of Two Random Variables is Stochastically Larger than the Other. Ann. Math. Stat. 1947, 18, 50–60. [Google Scholar] [CrossRef]
- Groen, Y.; Fuermaier, A.B.M.; Den Heijer, A.E.; Tucha, O.; Althaus, M. The Empathy and Systemizing Quotient: The Psychometric Properties of the Dutch Version and a Review of the Cross-Cultural Stability. J. Autism Dev. Disord. 2015, 45, 2848–2864. [Google Scholar] [CrossRef] [Green Version]
- Dapretto, M.; Davies, M.S.; Pfeifer, J.H.; Scott, A.A.; Sigman, M.; Bookheimer, S.Y.; Iacoboni, M. Understanding emotions in others: Mirror neuron dysfunction in children with autism spectrum disorders. Nat. Neurosci. 2006, 9, 28–30. [Google Scholar] [CrossRef] [Green Version]
- Tassinary, L.G.; Cacioppo, J.T. Unobservable Facial Actions and Emotion. Psychol. Sci. 1992, 3, 28–33. [Google Scholar] [CrossRef]
- Weyers, P.; Mühlberger, A.; Hefele, C.; Pauli, P. Electromyographic responses to static and dynamic avatar emotional facial expressions. Psychophysiology 2006, 43, 450–453. [Google Scholar] [CrossRef] [PubMed]
- Rymarczyk, K.; Biele, C.; Grabowska, A.; Majczynski, H. EMG activity in response to static and dynamic facial expressions. Int. J. Psychophysiol. 2011, 79, 330–333. [Google Scholar] [CrossRef]
- Cohen, J. A power primer. Psychol. Bull. 1992, 112, 155–159. [Google Scholar] [CrossRef]
- Holland, A.C.; O’Connell, G.; Dziobek, I. Facial mimicry, empathy, and emotion recognition: A meta-analysis of correlations. Cogn. Emot. 2021, 35, 150–168. [Google Scholar] [CrossRef]









| Facial Reaction | Correlation Coefficients |
|---|---|
| Lip Press_max | 0.284270 |
| Dimpler_max | 0.231334 |
| Smirk_max | 0.226920 |
| Contempt_max | 0.199976 |
| Lip Stretch_max | 0.192604 |
| Smile_max | 0.161596 |
| Joy_max | 0.155527 |
| Anger_max | 0.127649 |
| Lip Pucker_max | 0.119811 |
| Lip Suck_max | 0.112801 |
| Eye Closure_max | 0.112600 |
| Cheek Raise_max | 0.105514 |
| Chin Raise_max | 0.072400 |
| Eye Widen_max | 0.070983 |
| Sadness_max | 0.067079 |
| Fear_max | 0.035937 |
| Brow Raise_max | 0.031838 |
| Surprise_max | 0.021879 |
| Mouth Open_max | 0.014010 |
| Brow Furrow_max | −0.012756 |
| Lip Corner Depressor_max | −0.071880 |
| Jaw Drop_max | −0.138609 |
| Lid Tighten_max | −0.180354 |
| Inner Brow Raise_max | −0.196593 |
| Upper Lip Raise_max | −0.200510 |
| Disgust_max | −0.223726 |
| Nose Wrinkle_max | −0.266633 |
| Coef | Std Err | t | P | [0.025 | 0.975] | |
|---|---|---|---|---|---|---|
| const | 48.5614 | 0.760 | 63.922 | 0.000 | 47.069 | 50.053 |
| Anger | 0.4218 | 0.625 | 0.675 | 0.500 | −0.806 | 1.649 |
| Contempt | −2.6834 | 1.096 | −2.448 | 0.015 | −4.836 | −0.531 |
| Disgust | 0.7851 | 0.413 | 1.902 | 0.058 | −0.026 | 1.596 |
| Fear | −0.1177 | 0.194 | −0.606 | 0.545 | −0.499 | 0.264 |
| Joy | 2.6164 | 9.383 | 0.279 | 0.780 | −15.812 | 21.045 |
| Sadness | −0.2851 | 0.266 | −1.072 | 0.284 | −0.807 | 0.237 |
| Surprise | −0.2870 | 0.404 | −0.710 | 0.478 | −1.081 | 0.507 |
| Brow Furrow | 0.1652 | 0.055 | 2.977 | 0.003 | 0.056 | 0.274 |
| Brow Raise | 0.0568 | 0.086 | 0.658 | 0.511 | −0.113 | 0.226 |
| Cheek Raise | −0.5322 | 1.002 | −0.531 | 0.596 | −2.501 | 1.436 |
| Chin Raise | −0.2896 | 0.864 | −0.335 | 0.738 | −1.987 | 1.408 |
| Dimpler | 16.0359 | 20.694 | 0.775 | 0.439 | −24.607 | 56.679 |
| Eye Closure | 0.0736 | 0.033 | 2.213 | 0.027 | 0.008 | 0.139 |
| Eye Widen | 0.0040 | 0.053 | 0.076 | 0.940 | −0.101 | 0.109 |
| Inner Brow Raise | −0.5522 | 0.184 | −3.005 | 0.003 | −0.913 | −0.191 |
| Jaw Drop | −14.2914 | 2.925 | −4.886 | 0.000 | −20.035 | −8.547 |
| Lip Corner Depressor | −252.6221 | 127.722 | −1.978 | 0.048 | −503.471 | −1.774 |
| Lip Press | 59.9338 | 18.210 | 3.291 | 0.001 | 24.169 | 95.699 |
| Lip Pucker | 5.6872 | 15.657 | 0.363 | 0.717 | −25.064 | 36.438 |
| Lip Stretch | −53.8102 | 100.975 | −0.533 | 0.594 | −252.126 | 144.506 |
| Lip Suck | −0.0005 | 0.101 | −0.005 | 0.996 | −0.198 | 0.197 |
| Lid Tighten | −1.4160 | 0.298 | −4.756 | 0.000 | −2.001 | −0.831 |
| Mouth Open | 0.1907 | 0.100 | 1.909 | 0.057 | −0.006 | 0.387 |
| Nose Wrinkle | −2.7569 | 0.933 | −2.954 | 0.003 | −4.590 | −0.924 |
| Smile | 0.2902 | 0.642 | 0.452 | 0.651 | −0.971 | 1.552 |
| Smirk | 2.3048 | 0.898 | 2.568 | 0.010 | 0.542 | 4.068 |
| Upper Lip Raise | 0.4662 | 0.282 | 1.651 | 0.099 | −0.088 | 1.021 |
| Model | R-Squared | MAE |
|---|---|---|
| Linear regression using all data (emotions and facial landmarks) | 0.26 | 8.13 |
| Linear regression train–test split (emotions and facial landmarks) | 0.19 | 7.86 |
| Tuned linear regression (emotions and facial landmarks) | 0.24 | 8.74 |
| Linear regression using all data (emotions) | 0.03 | 9.80 |
| Linear regression train–test split (emotions) | 0.03 | 8.99 |
| Tuned linear regression (emotions) | 0.03 | 9.90 |
| Linear regression using all data (facial landmarks) | 0.16 | 8.85 |
| Linear regression train–test split (facial landmarks) | 0.09 | 8.35 |
| Tuned linear regression (facial landmarks) | 0.16 | 9.18 |
Publisher’s Note: MDPI stays neutral with regard to jurisdictional claims in published maps and institutional affiliations. |
© 2022 by the authors. Licensee MDPI, Basel, Switzerland. This article is an open access article distributed under the terms and conditions of the Creative Commons Attribution (CC BY) license (https://creativecommons.org/licenses/by/4.0/).
Share and Cite
Kovalchuk, Y.; Budini, E.; Cook, R.M.; Walsh, A. Investigating the Relationship between Facial Mimicry and Empathy. Behav. Sci. 2022, 12, 250. https://doi.org/10.3390/bs12080250
Kovalchuk Y, Budini E, Cook RM, Walsh A. Investigating the Relationship between Facial Mimicry and Empathy. Behavioral Sciences. 2022; 12(8):250. https://doi.org/10.3390/bs12080250
Chicago/Turabian StyleKovalchuk, Yevgeniya, Elizabeta Budini, Robert M. Cook, and Andrew Walsh. 2022. "Investigating the Relationship between Facial Mimicry and Empathy" Behavioral Sciences 12, no. 8: 250. https://doi.org/10.3390/bs12080250
APA StyleKovalchuk, Y., Budini, E., Cook, R. M., & Walsh, A. (2022). Investigating the Relationship between Facial Mimicry and Empathy. Behavioral Sciences, 12(8), 250. https://doi.org/10.3390/bs12080250

