Shall I Show My Emotions? The Effects of Facial Expressions in the Ultimatum Game
Abstract
1. Introduction
1.1. The Intrapersonal and Interpersonal Effects and the EASI Model
1.2. Effects of the Proposer’s Emotions on the Responder
1.3. Effects of the Responder’s Emotions on the Proposer
1.4. Emotions in Ultimatum Bargaining
1.5. Present Study and Hypotheses
2. Experiment 1—Responder
2.1. Materials and Methods
2.1.1. Participants
2.1.2. Stimuli
2.1.3. Procedures
2.2. Data Analysis
2.3. Results
3. Experiment 2—Proposer
3.1. Materials and Methods
3.1.1. Participants
3.1.2. Stimuli
3.1.3. Procedures
3.2. Data Analysis
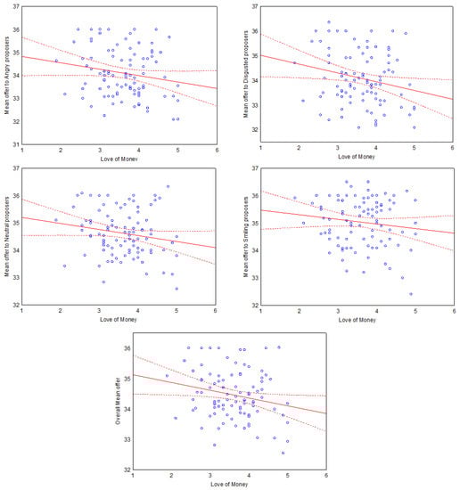
3.3. Results
4. Discussion
4.1. Responder
4.2. Proposer
4.3. The Hypothesis of Disgust
4.4. The Effect of LoM
4.5. Limitations and Future Direction
5. Conclusions
Author Contributions
Funding
Institutional Review Board Statement
Informed Consent Statement
Data Availability Statement
Conflicts of Interest
References
- Knutson, B. Facial Expressions of Emotion Influence Interpersonal Trait Inferences. J. Nonverbal Behav. 1996, 20, 165–182. [Google Scholar] [CrossRef]
- Pietroni, D.; Van Kleef, G.A.; Rubaltelli, E.; Rumiati, R. When Happiness Pays in Negotiation. Mind Soc. 2009, 8, 77–92. [Google Scholar] [CrossRef]
- Mussel, P.; Hewig, J.; Allen, J.J.; Coles, M.G.; Miltner, W. Smiling Faces, Sometimes They Don’t Tell the Truth: Facial Expression in the Ultimatum Game Impacts Decision Making and Event-Related Potentials. Psychophysiology 2014, 51, 358–363. [Google Scholar] [CrossRef] [PubMed]
- Van Dijk, E.; Van Kleef, G.A.; Steinel, W.; Van Beest, I. A Social Functional Approach to Emotions in Bargaining: When Communicating Anger Pays and When It Backfires. J. Pers. Soc. Psychol. 2008, 94, 600. [Google Scholar] [CrossRef]
- Mussel, P.; Göritz, A.S.; Hewig, J. The Value of a Smile: Facial Expression Affects Ultimatum-Game Responses. Judgm. Decis. Mak. 2013, 8, 381–385. [Google Scholar]
- Van Kleef, G.A.; De Dreu, C.K.; Pietroni, D.; Manstead, A.S. Power and Emotion in Negotiation: Power Moderates the Interpersonal Effects of Anger and Happiness on Concession Making. Eur. J. Soc. Psychol. 2006, 36, 557–581. [Google Scholar] [CrossRef]
- Pruitt, D.G. Negotiation Behavior; Academic Press: Cambridge, MA, USA, 2013. [Google Scholar]
- Güth, W.; Schmittberger, R.; Schwarze, B. An Experimental Analysis of Ultimatum Bargaining. J. Econ. Behav. Organ. 1982, 3, 367–388. [Google Scholar] [CrossRef]
- Camerer, C.F.; Thaler, R.H. Anomalies: Ultimatums, Dictators and Manners. J. Econ. Perspect. 1995, 9, 209–219. [Google Scholar] [CrossRef]
- Nowak, M.A.; Page, K.M.; Sigmund, K. Fairness versus Reason in the Ultimatum Game. Science 2000, 289, 1773–1775. [Google Scholar] [CrossRef] [PubMed]
- Camerer, C.F. Behavioral Game Theory: Experiments in Strategic Interaction; Princeton University Press: Princeton, NJ, USA, 2011. [Google Scholar]
- Samuelson, P.A. A Note on the Pure Theory of Consumer’s Behaviour. Economica 1938, 5, 61–71. [Google Scholar] [CrossRef]
- Keltner, D.; Haidt, J. Social Functions of Emotions at Four Levels of Analysis. Cogn. Emot. 1999, 13, 505–521. [Google Scholar] [CrossRef]
- Morris, M.W.; Keltner, D. How Emotions Work: The Social Functions of Emotional Expression in Negotiations. Res. Organ. Behav. 2000, 22, 1–50. [Google Scholar] [CrossRef]
- Pietroni, D.; Van Kleef, G.A.; De Dreu, C.K.; Pagliaro, S. Emotions as Strategic Information: Effects of Other’s Emotional Expressions on Fixed-Pie Perception, Demands, and Integrative Behavior in Negotiation. J. Exp. Soc. Psychol. 2008, 44, 1444–1454. [Google Scholar] [CrossRef]
- Dunn, B.D.; Evans, D.; Makarova, D.; White, J.; Clark, L. Gut Feelings and the Reaction to Perceived Inequity: The Interplay between Bodily Responses, Regulation, and Perception Shapes the Rejection of Unfair Offers on the Ultimatum Game. Cogn. Affect. Behav. Neurosci. 2012, 12, 419–429. [Google Scholar] [CrossRef]
- Reed, L.I.; Okun, S.; Cooley, C. The Intrapersonal and Interpersonal Effects of Anger in Ultimatum Bargaining. Adapt. Hum. Behav. Physiol. 2020, 6, 236–248. [Google Scholar] [CrossRef]
- Van Kleef, G.A.; De Dreu, C.K.; Manstead, A.S. The Interpersonal Effects of Anger and Happiness in Negotiations. J. Pers. Soc. Psychol. 2004, 86, 57. [Google Scholar] [CrossRef]
- Van Kleef, G.A. How Emotions Regulate Social Life: The Emotions as Social Information (EASI) Model. Curr. Dir. Psychol. Sci. 2009, 18, 184–188. [Google Scholar] [CrossRef]
- Liu, C.; Chai, J.W.; Yu, R. Negative Incidental Emotions Augment Fairness Sensitivity. Sci. Rep. 2016, 6, 1–8. [Google Scholar] [CrossRef] [PubMed]
- Pietroni, D.; Verdi, S.H.; Giuliani, F.; Rosa, A.; Del, F.M.; Palumbo, R. The Interpersonal Effects of Emotion on Rejection of Severely Unfair Ultimatum Proposal. Int. J. Confl. Manag. 2021. Available online: https://www.emerald.com/insight/content/doi/10.1108/IJCMA-03-2021-0049/full/html (accessed on 4 October 2021).
- Lelieveld, G.-J.; Van Dijk, E.; Van Beest, I.; Van Kleef, G.A. Why Anger and Disappointment Affect Other’s Bargaining Behavior Differently: The Moderating Role of Power and the Mediating Role of Reciprocal and Complementary Emotions. Pers. Soc. Psychol. Bull. 2012, 38, 1209–1221. [Google Scholar] [CrossRef]
- Nelissen, R.M.; Leliveld, M.C.; van Dijk, E.; Zeelenberg, M. Fear and Guilt in Proposers: Using Emotions to Explain Offers in Ultimatum Bargaining. Eur. J. Soc. Psychol. 2011, 41, 78–85. [Google Scholar] [CrossRef]
- Ciampaglia, G.L.; Lozano, S.; Helbing, D. Power and Fairness in a Generalized Ultimatum Game. PLoS ONE 2014, 9, e99039. [Google Scholar] [CrossRef]
- Handgraaf, M.J.; Van Dijk, E.; De Cremer, D. Social Utility in Ultimatum Bargaining. Soc. Justice Res. 2003, 16, 263–283. [Google Scholar] [CrossRef]
- Felson, R.B. Impression Management and the Escalation of Aggression and Violence. Soc. Psychol. Q. 1982, 45, 245–254. [Google Scholar] [CrossRef]
- Van Dijk, W.W.; Zeelenberg, M. Investigating the Appraisal Patterns of Regret and Disappointment. Motiv. Emot. 2002, 26, 321–331. [Google Scholar] [CrossRef]
- Parkinson, B. Emotions Are Social. Br. J. Psychol. 1996, 87, 663–683. [Google Scholar] [CrossRef]
- Lelieveld, G.-J.; Van Dijk, E.; Van Beest, I.; Steinel, W.; Van Kleef, G.A. Disappointed in You, Angry about Your Offer: Distinct Negative Emotions Induce Concessions via Different Mechanisms. J. Exp. Soc. Psychol. 2011, 47, 635–641. [Google Scholar] [CrossRef][Green Version]
- Alguacil, S.; Tudela, P.; Ruz, M. Ignoring Facial Emotion Expressions Does Not Eliminate Their Influence on Cooperation Decisions. Psicologica 2015, 36, 309–335. [Google Scholar]
- Kopelman, S.; Rosette, A.S.; Thompson, L. The Three Faces of Eve: Strategic Displays of Positive, Negative, and Neutral Emotions in Negotiations. Organ. Behav. Hum. Decis. Process. 2006, 99, 81–101. [Google Scholar] [CrossRef]
- Scharlemann, J.P.; Eckel, C.C.; Kacelnik, A.; Wilson, R.K. The Value of a Smile: Game Theory with a Human Face. J. Econ. Psychol. 2001, 22, 617–640. [Google Scholar] [CrossRef]
- Eckel, C.C.; Wilson, R.K. The Human Face of Game Theory: Trust and Reciprocity in Sequential Games. Trust Reciprocity Interdiscip. Lessons Exp. Res. 2003, 245–274. [Google Scholar]
- Chapman, H.A.; Kim, D.A.; Susskind, J.M.; Anderson, A.K. In Bad Taste: Evidence for the Oral Origins of Moral Disgust. Science 2009, 323, 1222–1226. [Google Scholar] [CrossRef]
- Pizarro, D.; Inbar, Y.; Helion, C. On Disgust and Moral Judgment. Emot. Rev. 2011, 3, 267–268. [Google Scholar] [CrossRef]
- Sanfey, A.G.; Rilling, J.K.; Aronson, J.A.; Nystrom, L.E.; Cohen, J.D. The Neural Basis of Economic Decision-Making in the Ultimatum Game. Science 2003, 300, 1755–1758. [Google Scholar] [CrossRef]
- Tabibnia, G.; Satpute, A.B.; Lieberman, M.D. The Sunny Side of Fairness: Preference for Fairness Activates Reward Circuitry (and Disregarding Unfairness Activates Self-Control Circuitry). Psychol. Sci. 2008, 19, 339–347. [Google Scholar] [CrossRef] [PubMed]
- Moretti, L.; Di Pellegrino, G. Disgust Selectively Modulates Reciprocal Fairness in Economic Interactions. Emotion 2010, 10, 169. [Google Scholar] [CrossRef]
- Lundqvist, D.; Flykt, A.; Öhman, A. The Karolinska Directed Emotional Faces (KDEF). CD ROM Dep. Clin. Neurosci. Psychol. Sect. Karolinska Inst. 1998, 91, 2. [Google Scholar]
- Sinaceur, M.; Tiedens, L.Z. Get Mad and Get More than Even: When and Why Anger Expression Is Effective in Negotiations. J. Exp. Soc. Psychol. 2006, 42, 314–322. [Google Scholar] [CrossRef]
- Van Kleef, G.A.; De Dreu, C.K.; Manstead, A.S. The Interpersonal Effects of Emotions in Negotiations: A Motivated Information Processing Approach. J. Pers. Soc. Psychol. 2004, 87, 510. [Google Scholar] [CrossRef]
- Bechara, A.; Damasio, A.R. The Somatic Marker Hypothesis: A Neural Theory of Economic Decision. Games Econ. Behav. 2005, 52, 336–372. [Google Scholar] [CrossRef]
- Loewenstein, G.F.; Weber, E.U.; Hsee, C.K.; Welch, N. Risk as Feelings. Psychol. Bull. 2001, 127, 267. [Google Scholar] [CrossRef] [PubMed]
- Tang, T.L.-P.; Chiu, R.K. Income, Money Ethic, Pay Satisfaction, Commitment, and Unethical Behavior: Is the Love of Money the Root of Evil for Hong Kong Employees? J. Bus. Ethics 2003, 46, 13–30. [Google Scholar] [CrossRef]
- Tang, T.L.-P. The Meaning of Money: Extension and Exploration of the Money Ethic Scale in a Sample of University Students in Taiwan. J. Organ. Behav. 1993, 93–99. [Google Scholar] [CrossRef]
- Tang, T.L.-P. The Development of a Short Money Ethic Scale: Attitudes toward Money and Pay Satisfaction Revisited. Personal. Individ. Differ. 1995, 19, 809–816. [Google Scholar] [CrossRef]
- Tang, T.L.-P.; Sutarso, T.; Akande, A.; Allen, M.W.; Alzubaidi, A.S.; Ansari, M.A.; Arias-Galicia, F.; Borg, M.G.; Canova, L.; Charles-Pauvers, B. The Love of Money and Pay Level Satisfaction: Measurement and Functional Equivalence in 29 Geopolitical Entities around the World. Manag. Organ. Rev. 2006, 2, 423–452. [Google Scholar] [CrossRef]
- Manippa, V.; Giuliani, F.; Brancucci, A. Healthiness or Calories? Side Biases in Food Perception and Preference. Appetite 2020, 147, 104552. [Google Scholar] [CrossRef]
- Mancini, A.; Betti, V.; Panasiti, M.S.; Pavone, E.F.; Aglioti, S.M. Suffering Makes You Egoist: Acute Pain Increases Acceptance Rates and Reduces Fairness during a Bilateral Ultimatum Game. PLoS ONE 2011, 6, e26008. [Google Scholar] [CrossRef]
- Ekman, P.; Friesen, W.V. Unmasking the Face Englewood Cliffs; Prentice Hall: Hoboken, NJ, USA, 1975. [Google Scholar]
- Steinel, W.; Van Kleef, G.A.; Harinck, F. Are You Talking to Me?! Separating the People from the Problem When Expressing Emotions in Negotiation. J. Exp. Soc. Psychol. 2008, 44, 362–369. [Google Scholar] [CrossRef]
- Fehr, E.; Schmidt, K.M. A Theory of Fairness, Competition, and Cooperation. Q. J. Econ. 1999, 114, 817–868. [Google Scholar] [CrossRef]
- Bolton, G.E.; Ockenfels, A. ERC: A Theory of Equity, Reciprocity, and Competition. Am. Econ. Rev. 2000, 90, 166–193. [Google Scholar] [CrossRef]
- Rabin, M. Incorporating Fairness into Game Theory and Economics. Am. Econ. Rev. 1993, 1281–1302. [Google Scholar]
- Falk, A.; Fischbacher, U. A Theory of Reciprocity. Games Econ. Behav. 2006, 54, 293–315. [Google Scholar] [CrossRef]
- Zheng, Y.; Yang, Z.; Jin, C.; Qi, Y.; Liu, X. The Influence of Emotion on Fairness-Related Decision Making: A Critical Review of Theories and Evidence. Front. Psychol. 2017, 8, 1592. [Google Scholar] [CrossRef] [PubMed]
- Barry, B.; Fulmer, I.S.; Van Kleef, G.A. I Laughed, I Cried, I Settled: The Role of Emotion in Negotiation. Handb. Negot. Cult. 2004, 71–94. [Google Scholar]
- Pietroni, D.; Van Kleef, A.G.; Steinel, W.; Rumiati, R. Chiudo La Porta e m’arrabbio! Gli Effetti Interpersonali Delle Emozioni Nelle Trattative Pubbliche e Private. Psicol. Soc. 2008, 3, 409–424. [Google Scholar]
- Balliet, D.; Mulder, L.B.; Van Lange, P.A. Reward, Punishment, and Cooperation: A Meta-Analysis. Psychol. Bull. 2011, 137, 594. [Google Scholar] [CrossRef]
- Hatfield, E.; Cacioppo, J.; Rapson, R. Emotional Contagion; Cambridge University Press: New York, NY, USA, 1994. [Google Scholar]
- Hess, U.; Blairy, S. Facial Mimicry and Emotional Contagion to Dynamic Emotional Facial Expressions and Their Influence on Decoding Accuracy. Int. J. Psychophysiol. 2001, 40, 129–141. [Google Scholar] [CrossRef]
- Horstmann, G. What Do Facial Expressions Convey: Feeling States, Behavioral Intentions, or Actions Requests? Emotion 2003, 3, 150. [Google Scholar] [CrossRef]
- Krumhuber, E.; Manstead, A.S. Are You Joking? The Moderating Role of Smiles in the Perception of Verbal Statements. Cogn. Emot. 2009, 23, 1504–1515. [Google Scholar] [CrossRef]
- Thaler, R.H. Anomalies: The Ultimatum Game. J. Econ. Perspect. 1988, 2, 195–206. [Google Scholar] [CrossRef]
- Bailey, P.E.; Ruffman, T.; Rendell, P.G. Age-Related Differences in Social Economic Decision Making: The Ultimatum Game. J. Gerontol. B. Psychol. Sci. Soc. Sci. 2013, 68, 356–363. [Google Scholar] [CrossRef]
- Fernandes, E.G.; Rodrigues, C.C.M.; Sartori, A.M.C.; De Soárez, P.C.; Novaes, H.M.D. Economic Evaluation of Adolescents and Adults’ Pertussis Vaccination: A Systematic Review of Current Strategies. Hum. Vaccines Immunother. 2019, 15, 14–27. [Google Scholar] [CrossRef] [PubMed]
- Rozin, P.; Fallon, A.E. A Perspective on Disgust. Psychol. Rev. 1987, 94, 23. [Google Scholar] [CrossRef] [PubMed]
- Lazarus, R.S.; Lazarus, R.S. Emotion and Adaptation; Oxford University Press on Demand: Oxford, UK, 1991. [Google Scholar]
- Tang, T.L.-P.; Chen, Y.-J.; Sutarso, T. Bad Apples in Bad (Business) Barrels: The Love of Money, Machiavellianism, Risk Tolerance, and Unethical Behavior. Manag. Decis. 2008. Available online: https://www.emerald.com/insight/content/doi/10.1108/00251740810854140/full/html (accessed on 4 October 2021).






| Angry | Disgusted | Neutral | Happiness | |
|---|---|---|---|---|
| Angry | 0.999 | 0.042 | 0.051 | |
| Disgusted | 0.999 | 0.034 | 0.042 | |
| Neutral | 0.042 | 0.034 | 0.999 | |
| Happiness | 0.051 | 0.042 | 0.999 |
| 10/90 | 20/80 | 30/70 | 40/60 | 50/50 | 60/40 | |
|---|---|---|---|---|---|---|
| 10/90 | 0.999 | 0.018 | <0.001 | <0.001 | <0.001 | |
| 20/80 | 0.999 | 0.056 | <0.001 | <0.001 | <0.001 | |
| 30/70 | 0.018 | 0.056 | <0.001 | <0.001 | <0.001 | |
| 40/60 | <0.001 | <0.001 | <0.001 | <0.001 | <0.001 | |
| 50/50 | <0.001 | <0.001 | <0.001 | <0.001 | 0.391 | |
| 60/40 | <0.001 | <0.001 | <0.001 | <0.001 | 0.391 |
| Mean Offer (DVs) | β | P | R2 |
|---|---|---|---|
| Angry | −0.22 | 0.02 * | 0.04 |
| Disgusted | −0.24 | 0.03 * | 0.05 |
| Neutral | −0.19 | 0.04 * | 0.03 |
| Happiness | −0.13 | 0.16 | 0.009 |
| Overall | −0.24 | 0.01 * | 0.05 |
| Mean Offer (DVs) | β | P | R2 |
|---|---|---|---|
| Angry | −0.25 | 0.01 * | 0.06 |
| Disgusted | −0.30 | 0.001 * | 0.09 |
| Neutral | −0.18 | 0.05 | 0.02 |
| Happiness | −0.006 | 0.9 | 0.001 |
| Overall | −0.24 | 0.01 * | 0.05 |
Publisher’s Note: MDPI stays neutral with regard to jurisdictional claims in published maps and institutional affiliations. |
© 2021 by the authors. Licensee MDPI, Basel, Switzerland. This article is an open access article distributed under the terms and conditions of the Creative Commons Attribution (CC BY) license (https://creativecommons.org/licenses/by/4.0/).
Share and Cite
Ferracci, S.; Giuliani, F.; Brancucci, A.; Pietroni, D. Shall I Show My Emotions? The Effects of Facial Expressions in the Ultimatum Game. Behav. Sci. 2022, 12, 8. https://doi.org/10.3390/bs12010008
Ferracci S, Giuliani F, Brancucci A, Pietroni D. Shall I Show My Emotions? The Effects of Facial Expressions in the Ultimatum Game. Behavioral Sciences. 2022; 12(1):8. https://doi.org/10.3390/bs12010008
Chicago/Turabian StyleFerracci, Sara, Felice Giuliani, Alfredo Brancucci, and Davide Pietroni. 2022. "Shall I Show My Emotions? The Effects of Facial Expressions in the Ultimatum Game" Behavioral Sciences 12, no. 1: 8. https://doi.org/10.3390/bs12010008
APA StyleFerracci, S., Giuliani, F., Brancucci, A., & Pietroni, D. (2022). Shall I Show My Emotions? The Effects of Facial Expressions in the Ultimatum Game. Behavioral Sciences, 12(1), 8. https://doi.org/10.3390/bs12010008
