Diagnosis and Treatment of Nontraumatic Osteonecrosis of the Femoral Head: A Systematic Review and Meta-Analyses for the ARCO Clinical Practice Guideline Development Workgroup
Abstract
1. Introduction
2. Methods
2.1. Study Selection Criteria
2.2. Search Strategy and Screening
2.3. Data Extraction
2.4. Risk of Bias Assessment
2.5. Data Analyses
2.6. Strength of Evidence Assessment
3. Results
3.1. KQ1a: Modality for Diagnosis
3.2. KQ1b: Detection of Subchondral Fracture
3.3. KQ1c: Monitoring Treatment Response
3.4. KQ1d: Distinguishing Symptomatic from Asymptomatic ONFH
3.5. KQ2a: Optimal Management of ARCO Stages I to II ONFH
3.6. KQ2b: Observation Versus Treatment for ARCO Stages I to II ONFH
4. Discussion
4.1. Diagnostic Imaging: Clinical Interpretation and Implications
4.2. Treatment of Precollapse ONFH: Interpreting Comparative Evidence
4.3. Natural History and the Challenge of Asymptomatic Disease
4.4. Methodological Limitations of the Evidence Base
4.5. Strengths and Limitations of the Review Process
4.6. Implications for Guidelines and Future Research
5. Conclusions
Supplementary Materials
Author Contributions
Funding
Institutional Review Board Statement
Informed Consent Statement
Data Availability Statement
Acknowledgments
Conflicts of Interest
References
- Moya-Angeler, J.; Gianakos, A.L.; Villa, J.C.; Ni, A.; Lane, J.M. Current concepts on osteonecrosis of the femoral head. World J. Orthop. 2015, 6, 590–601. [Google Scholar] [CrossRef]
- Ikeuchi, K.; Hasegawa, Y.; Seki, T.; Takegami, Y.; Amano, T.; Ishiguro, N. Epidemiology of nontraumatic osteonecrosis of the femoral head in Japan. Mod. Rheumatol. 2015, 25, 278–281. [Google Scholar] [CrossRef]
- Mont, M.A.; Zywiel, M.G.; Marker, D.R.; McGrath, M.S.; Delanois, R.E. The natural history of untreated asymptomatic osteonecrosis of the femoral head: A systematic literature review. J. Bone Jt. Surg. Am. 2010, 92, 2165–2170. [Google Scholar] [CrossRef] [PubMed]
- Zhao, D.-W.; Yu, M.; Hu, K.; Wang, W.; Yang, L.; Wang, B.-J.; Gao, X.-H.; Guo, Y.-M.; Xu, Y.-Q.; Wei, Y.-S.; et al. Prevalence of nontraumatic osteonecrosis of the femoral head and its associated risk factors in the Chinese population: Results from a nationally representative survey. Chin. Med. J. (Engl.) 2015, 128, 2843–2850. [Google Scholar] [CrossRef] [PubMed]
- Mankin, H.J. Nontraumatic necrosis of bone (osteonecrosis). N. Engl. J. Med. 1992, 326, 1473–1479. [Google Scholar]
- Mont, M.A.; Salem, H.S.; Piuzzi, N.S.; Goodman, S.B.; Jones, L.C. Nontraumatic osteonecrosis of the femoral head: Where do we stand today? A 5-year update. J. Bone Jt. Surg. Am. 2020, 97, 1604–1627. [Google Scholar] [CrossRef]
- Cheng, E.; Mont, M.A.; Goodman, S.B.; Sierra, R.J.; Cui, Q.; Salem, H.S. Diagnosis and Treatment of Femoral Head Osteonecrosis: A Protocol for Development of Evidence-Based Clinical Practice Guidelines. Surg. Technol. Int. 2021, 38, 371–378. [Google Scholar] [CrossRef] [PubMed]
- Methods Guide for Effectiveness and Comparative Effectiveness Reviews; Agency for Healthcare Research and Quality: Rockville, MD, USA, 2008. Available online: https://www.ncbi.nlm.nih.gov/books/NBK47095/ (accessed on 1 May 2025).
- Guyatt, G.H.; Oxman, A.D.; Vist, G.E.; Kunz, R.; Falck-Ytter, Y.; Alonso-Coello, P.; Schünemann, H.J. GRADE: An emerging consensus on rating quality of evidence and strength of recommendations. BMJ 2008, 336, 924–926. [Google Scholar] [CrossRef] [PubMed] [PubMed Central]
- Page, M.J.; McKenzie, J.E.; Bossuyt, P.M.; Boutron, I.; Hoffmann, T.C.; Mulrow, C.D.; Shamseer, L.; Tetzlaff, J.M.; Akl, E.A.; Brennan, S.E.; et al. The PRISMA 2020 statement: An updated guideline for reporting systematic reviews. BMJ 2021, 372, n71. [Google Scholar] [CrossRef] [PubMed] [PubMed Central]
- McInnes, M.D.F.; Moher, D.; Thombs, B.D.; McGrath, T.A.; Bossuyt, P.M.; Clifford, T.; Cohen, J.F.; Deeks, J.J.; Gatsonis, C.; Hooft, L.; et al. Preferred Reporting Items for a Systematic Review and Meta-analysis of Diagnostic Test Accuracy Studies: The PRISMA-DTA Statement. JAMA 2018, 319, 388–396, Erratum in: JAMA 2019, 322, 2026. https://doi.org/10.1001/jama.2019.18307. PMID: 29362800. [Google Scholar] [CrossRef]
- McGowan, J.; Sampson, M.; Salzwedel, D.M.; Cogo, E.; Foerster, V.; Lefebvre, C. PRESS Peer Review of Electronic Search Strategies: 2015 Guideline Statement. J. Clin. Epidemiol. 2016, 75, 40–46. [Google Scholar] [CrossRef] [PubMed]
- Hoffmann, T.C.; Glasziou, P.P.; Boutron, I.; Milne, R.; Perera, R.; Moher, D.; Altman, D.G.; Barbour, V.; Macdonald, H.; Johnston, M.; et al. Better reporting of interventions: Template for intervention description and replication (TIDieR) checklist and guide. BMJ 2014, 348, g1687. [Google Scholar] [CrossRef] [PubMed]
- Whiting, P.F.; Rutjes, A.W.S.; Westwood, M.E.; Mallett, S.; Deeks, J.J.; Reitsma, J.B.; Leeflang, M.M.G.; Sterne, J.A.C.; Bossuyt, P.M.M. QUADAS-2: A revised tool for the quality assessment of diagnostic accuracy studies. Ann. Intern. Med. 2011, 155, 529–536. [Google Scholar] [CrossRef] [PubMed]
- Sterne, J.A.C.; Savović, J.; Page, M.J.; Elbers, R.G.; Blencowe, N.S.; Boutron, I.; Cates, C.J.; Cheng, H.Y.; Corbett, M.S.; Eldridge, S.M.; et al. RoB 2: A revised tool for assessing risk of bias in randomised trials. BMJ 2019, 366, l4898. [Google Scholar] [CrossRef] [PubMed]
- Sterne, J.A.C.; Hernán, M.A.; Reeves, B.C.; Savović, J.; Berkman, N.D.; Viswanathan, M.; Henry, D.; Altman, D.G.; Ansari, M.T.; Boutron, I.; et al. ROBINS-I: A tool for assessing risk of bias in non-randomised studies of interventions. BMJ 2016, 355, i4919. [Google Scholar] [CrossRef] [PubMed] [PubMed Central]
- Lee, J.; Kim, K.W.; Choi, S.H.; Huh, J.; Park, S.H. Systematic Review and Meta-Analysis of Studies Evaluating Diagnostic Test Accuracy: A Practical Review for Clinical Researchers-Part II. Statistical Methods of Meta-Analysis. Korean J. Radiol. 2015, 16, 1188–1196. [Google Scholar] [CrossRef] [PubMed] [PubMed Central]
- Röver, C.; Knapp, G.; Friede, T. Hartung-Knapp-Sidik-Jonkman approach and its modification for random-effects meta-analysis with few studies. BMC Med. Res. Methodol. 2015, 15, 99. [Google Scholar] [CrossRef] [PubMed] [PubMed Central]
- Agarwal, K.K.; Mukherjee, A.; Sharma, P.; Bal, C.; Kumar, R. Incremental value of 99mTc-MDP hybrid SPECT/CT over planar scintigraphy and SPECT in avascular necrosis of the femoral head. Nucl. Med. Commun. 2015, 36, 1055–1062. [Google Scholar] [CrossRef]
- Bassett, L.W.; Gold, R.H.; Reicher, M.; Bennett, L.R.; Tooke, S.M. Magnetic resonance imaging in the early diagnosis of ischemic necrosis of the femoral head. Preliminary results. Clin. Orthop. Relat. Res. 1987, 214, 237–248. [Google Scholar] [CrossRef]
- Beltran, J.; Herman, L.J.; Burk, J.M.; A Zuelzer, W.; Clark, R.N.; Lucas, J.G.; Weiss, L.D.; Yang, A. Femoral head avascular necrosis: MR imaging with clinical-pathologic and radionuclide correlation. Radiology 1988, 166, 215–220. [Google Scholar] [CrossRef]
- Collier, B.; Carrera, G.; Johnson, R.; Isitman, A.; Hellman, R.; Knobel, J.; Finger, W.; Gonyo, J.; Malloy, P. Detection of femoral head avascular necrosis in adults by SPECT. J. Nucl. Med. 1985, 26, 979–987. [Google Scholar]
- Ge, H.; Wang, Z.; Zhang, J. X-ray, digital tomographic fusion, CT, and MRI in early ischemic necrosis of the femoral head. Medicine 2024, 103, e36281. [Google Scholar] [CrossRef]
- Miller, I.L.; Savory, C.G.; Polly, D.W., Jr.; Graham, G.D.; McCabe, J.M.; Callaghan, J.J. Femoral head osteonecrosis. Detection by magnetic resonance imaging versus single-photon emission computed tomography. Clin. Orthop. Relat. Res. 1989, 247, 152–162. [Google Scholar] [CrossRef]
- Ryu, J.-S.; Kim, J.S.; Moon, D.H.; Kim, S.M.; Shin, M.J.; Chang, J.S.; Kil Park, S.; Han, D.J.; Lee, H.K. Bone SPECT is more sensitive than MRI in the detection of early osteonecrosis of the femoral head after renal transplantation. J. Nucl. Med. 2002, 43, 1006–1011. [Google Scholar]
- Stulberg, B.N.; Levine, M.; Bauer, T.W.; Belhobek, G.H.; Pflanze, W.; Feiglin, D.H.I.; Roth, A.I. Multimodality approach to osteonecrosis of the femoral head. Clin. Orthop. Relat. Res. 1989, 240, 181–193. [Google Scholar] [CrossRef]
- Thickman, D.; Axel, L.; Kressel, H.Y.; Steinberg, M.; Chen, H.; Velchick, M.; Fallon, M.; Dalinka, M. Magnetic resonance imaging of avascular necrosis of the femoral head. Skelet. Radiol. 1986, 15, 133–140. [Google Scholar] [CrossRef] [PubMed]
- Chee, C.G.; Cho, J.; Kang, Y.; Kim, Y.; Lee, E.; Lee, J.W.; Ahn, J.M.; Kang, H.S. Diagnostic accuracy of digital radiography for the diagnosis of osteonecrosis of the femoral head, revisited. Acta Radiol. 2019, 60, 969–976. [Google Scholar] [CrossRef]
- Stevens, K.; Tao, C.; Lee, S.-U.; Salem, N.; Vandevenne, J.; Cheng, C.; Neumann, G.; Valentin-Opran, A.; Lang, P. Subchondral fractures in osteonecrosis of the femoral head: Comparison of radiography, CT, and MR imaging. AJR Am. J. Roentgenol. 2003, 180, 363–368. [Google Scholar] [CrossRef] [PubMed]
- Yang, F.; Deng, X.; Xin, P.; Hong, Z.; Pang, F.; He, W.; Wei, Q.; Li, Z. The Value of the Frog Lateral View Radiograph for Detecting Collapse of Femur Head Necrosis: A Retrospective Study of 1001 Cases. Front. Med. 2022, 9, 811644. [Google Scholar] [CrossRef]
- Plenk, H., Jr.; Gstettner, M.; Grossschmidt, K.; Breitenseher, M.; Urban, M.; Hofmann, S. Magnetic resonance imaging and histology of repair in femoral head osteonecrosis. Clin. Orthop. Relat. Res. 2001, 386, 42–53. [Google Scholar] [CrossRef]
- Bassounas, A.E.; Karantanas, A.H.; Fotiadis, D.I.; Malizos, K.N. Femoral head osteonecrosis: Volumetric MRI assessment and outcome. Eur. J. Radiol. 2007, 63, 10–15. [Google Scholar] [CrossRef] [PubMed]
- Hatanaka, H.; Motomura, G.; Ikemura, S.; Kubo, Y.; Utsunomiya, T.; Baba, S.; Kawano, K.; Nakashima, Y. Differences in magnetic resonance findings between symptomatic and asymptomatic pre-collapse osteonecrosis of the femoral head. Eur. J. Radiol. 2019, 112, 1–6. [Google Scholar] [CrossRef]
- Huang, G.S.; Chan, W.P.; Chang, Y.C.; Chang, C.Y.; Chen, C.Y.; Yu, J.S. MR imaging of bone marrow edema and joint effusion in patients with osteonecrosis of the femoral head: Relationship to pain. AJR Am. J. Roentgenol. 2003, 181, 545–549. [Google Scholar] [CrossRef] [PubMed]
- Koo, K.-H.; Ahn, I.-O.; Kim, R.; Song, H.-R.; Jeong, S.-T.; Na, J.-B.; Kim, Y.-S.; Cho, S.-H. Bone marrow edema and associated pain in early stage osteonecrosis of the femoral head: Prospective study with serial MR images. Radiology 1999, 213, 715–722. [Google Scholar] [CrossRef] [PubMed]
- Gangji, V.; Toungouz, M.; Lechanteur, C.; Beguin, Y.; Baudoux, E.; De Maertelaer, V.; Pather, S.; Katz, R.; Ino, J.; Egrise, D.; et al. THU0540 Autologous Osteoblastic Cells versus Concentrated Bone Marrow Implantation in Osteonecrosis of The Femoral Head: A Randomized Controlled Single Blind Study. Ann. Rheum. Dis. 2016, 75, 387. [Google Scholar] [CrossRef]
- Pepke, W.; Kasten, P.; Beckmann, N.A.; Janicki, P.; Egermann, M. Core Decompression and Autologous Bone Marrow Concentrate for Treatment of Femoral Head Osteonecrosis: A Randomized Prospective Study. Orthop. Rev. 2016, 8, 6162. [Google Scholar] [CrossRef]
- Boontanapibul, K.; Huddleston, J.I., 3rd; Amanatullah, D.F.; Maloney, W.J.; Goodman, S.B. Modified Kerboul Angle Predicts Outcome of Core Decompression with or Without Additional Cell Therapy. J. Arthroplast. 2021, 36, 1879–1886. [Google Scholar] [CrossRef]
- Wan, J.; Hu, Y.; Li, J.; Zeng, Y.; Ren, H. Comparison of the outcome of different bone grafts combined with modified core decompression for the treatment of ARCO II stage femoral head necrosis. Int. Orthop. 2022, 46, 1955–1962. [Google Scholar] [CrossRef]
- Kim, S.Y.; Kim, Y.G.; Kim, P.T.; Ihn, J.C.; Cho, B.C.; Koo, K.H. Vascularized compared with nonvascularized fibular grafts for large osteonecrotic lesions of the femoral head. J. Bone Jt. Surg. Am. 2005, 87, 2012–2018. [Google Scholar] [CrossRef]
- Plakseychuk, A.Y.; Kim, S.Y.; Park, B.C.; Varitimidis, S.E.; Rubash, H.E.; Sotereanos, D.G. Vascularized compared with nonvascularized fibular grafting for the treatment of osteonecrosis of the femoral head. J. Bone Jt. Surg. Am. 2003, 85, 589–596. [Google Scholar] [CrossRef]
- Kawate, K.; Ohmura, T.; Hiyoshi, N.; Teranishi, T.; Kataoka, H.; Tamai, K.; Ueha, T.; Takakura, Y. Limitations of Joint-Preserving Treatment for Osteonecrosis of the Femoral Head: Limitation of Free Vascularized Fibular Grafting. In Treatment of Osteoarthritic Change in the Hip: Joint Preservation or Joint Replacement? Springer: Berlin/Heidelberg, Germany, 2007; pp. 97–104. [Google Scholar]
- Öztürk, K.; Baydar, M.; Alpay, Y.; Şencan, A.; Orman, O.; Aykut, S. Clinical results of free vascularized fibula graft in the management of precollapse osteonecrosis of the femoral head: A retrospective clinical study. Acta Orthop. Traumatol. Turc. 2022, 56, 105–110. [Google Scholar] [CrossRef]
- Soucacos, P.N.; Beris, A.E.; Malizos, K.; Koropilias, A.; Zalavras, H.; Dailiana, Z. Treatment of avascular necrosis of the femoral head with vascularized fibular transplant. Clin. Orthop. Relat. Res. 2001, 386, 120–130. [Google Scholar] [CrossRef]
- Ünal, M.B.; Cansu, E.; Parmaksızoğlu, F.; Cift, H.; Gürcan, S. Treatment of osteonecrosis of the femoral head with free vascularized fibular grafting: Results of 7.6-year follow-up. Acta Orthop. Traumatol. Turc. 2016, 50, 501–506. [Google Scholar] [CrossRef]
- Biswal, S.; Hazra, S.; Yun, H.H.; Hur, C.Y.; Shon, W.Y. Transtrochanteric rotational osteotomy for nontraumatic osteonecrosis of the femoral head in young adults. Clin. Orthop. Relat. Res. 2009, 467, 1529–1537. [Google Scholar] [CrossRef]
- Hamanishi, M.; Yasunaga, Y.; Yamasaki, T.; Mori, R.; Shoji, T.; Ochi, M. The clinical and radiographic results of intertrochanteric curved varus osteotomy for idiopathic osteonecrosis of the femoral head. Arch. Orthop. Trauma. Surg. 2014, 134, 305–310. [Google Scholar] [CrossRef]
- Simank, H.G.; Brocai, D.R.; Brill, C.; Lukoschek, M. Comparison of results of core decompression and intertrochanteric osteotomy for nontraumatic osteonecrosis of the femoral head using Cox regression and survivorship analysis. J. Arthroplast. 2001, 16, 790–794. [Google Scholar] [CrossRef]
- Mohanty, S.P.; Singh, K.A.; Kundangar, R.; Shankar, V. Management of non-traumatic avascular necrosis of the femoral head-a comparative analysis of the outcome of multiple small diameter drilling and core decompression with fibular grafting. Musculoskelet. Surg. 2017, 101, 59–66. [Google Scholar] [CrossRef]
- Hernigou, P.; Habibi, A.; Bachir, D.; Galacteros, F. The natural history of asymptomatic osteonecrosis of the femoral head in adults with sickle cell disease. J. Bone Jt. Surg. Am. 2006, 88, 2565–2572. [Google Scholar] [CrossRef] [PubMed]
- Kang, J.S.; Moon, K.H.; Kwon, D.G.; Shin, B.K.; Woo, M.S. The natural history of asymptomatic osteonecrosis of the femoral head. Int. Orthop. 2013, 37, 379–384. [Google Scholar] [CrossRef] [PubMed] [PubMed Central]
- Min, B.W.; Song, K.S.; Cho, C.H.; Lee, S.M.; Lee, K.J. Untreated asymptomatic hips in patients with osteonecrosis of the femoral head. Clin. Orthop. Relat. Res. 2008, 466, 1087–1092. [Google Scholar] [CrossRef] [PubMed] [PubMed Central]
- Nam, K.W.; Kim, Y.L.; Yoo, J.J.; Koo, K.H.; Yoon, K.S.; Kim, H.J. Fate of untreated asymptomatic osteonecrosis of the femoral head. J. Bone Jt. Surg. Am. 2008, 90, 477–484. [Google Scholar] [CrossRef] [PubMed]
- Jordan, E.; Varady, N.H.; Hosseinzadeh, S.; Smith, S.; Chen, A.F.; Mont, M.; Iorio, R. Femoral Head Osteonecrosis: Computed Tomography Not Needed to Identify Collapse When Using the Association Research Circulation Osseous Staging System. Arthroplast. Today 2023, 24, 101244. [Google Scholar] [CrossRef] [PubMed]
- Sneag, D.B.; Abel, F.; Potter, H.G.; Fritz, J.; Koff, M.F.; Chung, C.B.; Pedoia, V.; Tan, E.T. MRI Advancements in Musculoskeletal Clinical and Research Practice. Radiology 2023, 308, e230531. [Google Scholar] [CrossRef] [PubMed] [PubMed Central]
- Demehri, S.; Baffour, F.I.; Klein, J.G.; Ghotbi, E.; Ibad, H.A.; Moradi, K.; Taguchi, K.; Fritz, J.; Carrino, J.A.; Guermazi, A.; et al. Musculoskeletal CT Imaging: State-of-the-Art Advancements and Future Directions. Radiology 2023, 308, e230344. [Google Scholar] [CrossRef] [PubMed] [PubMed Central]
- Hua, K.C.; Yang, X.G.; Feng, J.T.; Wang, F.; Yang, L.; Zhang, H.; Hu, Y.C. The efficacy and safety of core decompression for the treatment of femoral head necrosis: A systematic review and meta-analysis. J. Orthop. Surg. Res. 2019, 14, 306. [Google Scholar] [CrossRef] [PubMed] [PubMed Central]
- Konarski, W. Effectiveness of Different Types of Core Decompression in Early-Stage Osteonecrosis of the Femoral Head: A Systematic Review and Meta-Analysis. Med. Sci. 2025, 13, 258. [Google Scholar] [CrossRef] [PubMed] [PubMed Central]
- Tang, H.; Ling, T.; Zhao, E.; You, M.; Chen, X.; Chen, G.; Zhou, K.; Zhou, Z. The efficacy of core decompression combined with regenerative therapy in early femoral head necrosis: A systematic review and meta-analysis involving 954 subjects. Front. Pharmacol. 2025, 15, 1501590. [Google Scholar] [CrossRef] [PubMed] [PubMed Central]
- Chow, S.K.; Rainey, J.P.; Mont, M.A.; Jones, L.P.; Goodman, S.B. The Role of Cell Therapies for the Treatment of Osteonecrosis of the Femoral Head. J. Arthroplast. 2025, 40, S46–S50. [Google Scholar] [CrossRef] [PubMed]
- Millikan, P.D.; Karas, V.; Wellman, S.S. Treatment of osteonecrosis of the femoral head with vascularized bone grafting. Curr. Rev. Musculoskelet. Med. 2015, 8, 252–259. [Google Scholar] [CrossRef] [PubMed] [PubMed Central]
- Hu, L.; Deng, X.; Wei, B.; Wang, J.; Hou, D. Comparative analysis of surgical interventions for osteonecrosis of the femoral head: A network meta-analysis of randomized controlled trials. J. Orthop. Surg. Res. 2023, 18, 965. [Google Scholar] [CrossRef] [PubMed] [PubMed Central]
- Rodham, P.L.; Jido, J.T.; Bethell, H.; Giannoudis, V.P.; Panteli, M.; Kanakaris, N.K.; Giannoudis, P.V. The Role of Proximal Femoral Osteotomy for the Treatment of Avascular Necrosis: A Systematic Review of Clinical and Patient-Reported Outcomes. J. Clin. Med. 2025, 14, 5592. [Google Scholar] [CrossRef] [PubMed] [PubMed Central]



| Key Question (KQ): Statement | K = Number of Studies (n = Sample Size) Risk of Bias (ROB) | Summary of Findings | Consistency Precision Directness Publication Bias Other Considerations | Grade |
|---|---|---|---|---|
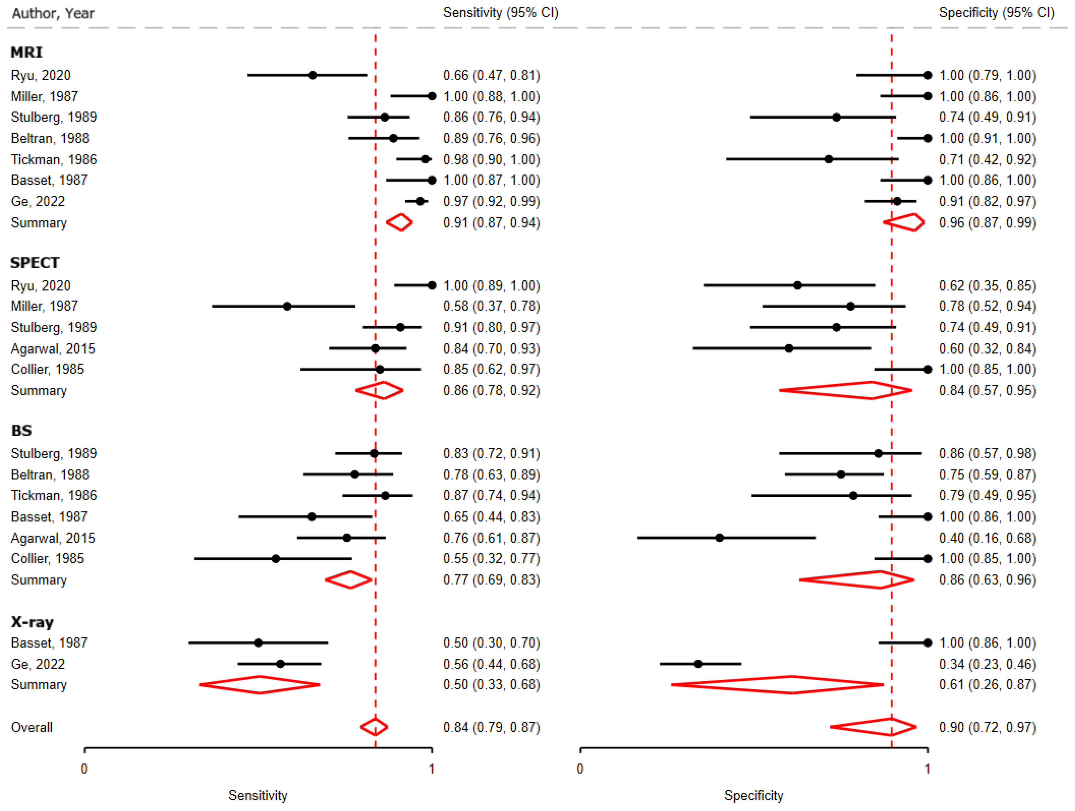
| KQ1a: MRI is the preferred modality for diagnosis of ONFH due to higher sensitivity and specificity compared with CT, SPECT, bone scintigraphy, or X-ray | K = 9 studies (n = 933 hips) 9 high ROB | Pooled sensitivity (Sn) and pooled specificity (Sp) shown in Figure 2, for: MRI– Sn = 0.91 (95% CI, 0.87–0.94), Sp = 0.96 (95% CI, 0.87–0.99); SPECT– Sn = 0.86 (95% CI, 0.78–0.92), Sp = 0.84 (95% CI, 0.57–0.95); Bone scintigraphy– Sn = 0.77 (95% CI, 0.69–0.83), Sp = 0.86 (95% CI, 0.63–0.96); X-ray– Sn = 0.50 (95% CI, 0.33–0.68), Sp = 0.61 (95% CI, 0.26–0.87). | Serious Serious Not serious Not serious None | Very low ⊕◯◯◯ |
| KQ1b: CT or MRI are preferred over plain radiography for detecting subchondral fractures. | K = 2 studies (n = 273 hips) 2 high ROB | One study reported that CT detected more fractures than 1.5-T MRI or X-ray. Compared with CT, 1.5-T MRI has a sensitivity and specificity of 38 and 100%, and unenhanced radiography has a sensitivity and specificity of 71 and 97%. One study reported that 3-T MRI was not inferior to CT. | Serious Serious Not serious Not serious None | Very low ⊕◯◯◯ |
| KQ1b: There is conflicting evidence to justify the benefit of adding frog-leg lateral radiograph to standard antero-posterior radiograph in detecting subchondral fracture. | K = 2 studies (n = 1403 hips) 2 high ROB | One study comparing frog-lateral vs. AP radiographs (n = 1001 hips) found that the combined radiographic approach demonstrated the highest diagnostic performance, with sensitivity 87% and specificity 100%. Another study found no incremental diagnostic value from adding the frog-leg image. | Serious Serious Not serious Not serious None | Very low ⊕◯◯◯ |
| KQ1c: MRI has better diagnostic performance than BS, to monitor the effect of treatment in terms of detecting the extent of necrotic tissue | K = 1 study (n = 45 hips) 1 high ROB | One study showed superior sensitivity and specificity of MRI (86 and 98%, respectively) compared with BS (79 and 71%, respectively) to detect necrotic tissue. | Cannot assess Serious Not serious Not serious None | Very low ⊕◯◯◯ |
| KQ1d: In precollapse nontraumatic ONFH, bone marrow edema and grade 2+ effusion on MRI can help differentiate symptomatic from asymptomatic hip | K = 3 studies (n = 270 hips) 2 low ROB and 1 unclear ROB | MRI signs have good, pooled specificity for pain: MRI—0.98 (95% CI, 0.88, 1.00) Effusion—0.80 (95% CI, 0.64, 0.90) | Not serious Serious * Not serious Not serious Upgraded for large estimate (pooled specificity) | Moderate ⊕⊕⊕◯ |
| KQ1d: In precollapse nontraumatic ONFH, on MRI, bone marrow edema is more accurate than grade 2+ effusion to differentiate symptomatic (painful) from asymptomatic hip | K = 3 studies (n = 270 hips) 2 low ROB and 1 unclear ROB | Pooled diagnostic odds ratio (OR): BME—OR = 35.68 (95% CI, 4.50, 283.08) Effusion—OR = 10.14 (95% CI, 5.57, 21.63) Pooled positive likelihood ratio: BME—16.21 (95% CI, 3.50, 75.13) Effusion—3.26 (95% CI, 2.06, 5.16) | Serious Serious * Not serious Not serious Upgraded for large estimate and dose–response association (greater likelihood of BME for greater degree of pain in precollapse ONFH) | Moderate ⊕⊕⊕◯ |
| Key Question (KQ): Statement | K = Number of Studies (n = Sample Size) Risk of Bias (ROB) | Summary of Findings | Consistency Precision Directness Publication Bias Other Considerations | Grade |
|---|---|---|---|---|
| KQ2a: For patients undergoing core decompression, adding bone marrow concentrate to the procedure may reduce the risk of femoral head collapse | K = 3 studies (n = 132 hips) 1 moderate ROB RCT 1 high ROB RCT 1 high ROB NRSI | Risk of collapse in: CD + BMC = 31.08% and CD = 56.90% Pooled RR (Figure 3) = 0.55 (95% CI, 0.36, 0.83) | Serious Serious Not serious Not serious None | Very low ⊕◯◯◯ |
| KQ2a: For patients undergoing bone grafting, compared with non-vascularized bone graft, vascularized bone graft may reduce the risk of femoral head collapse | K = 3 studies (n = 181 hips) 2 high ROB RCTs 1 high ROB NRSI | Risk of collapse in: VBG = 9.89% and non-VBG = 34.44% Pooled RR (Figure 3) = 0.35 (95% CI, 0.14, 0.84) | Serious Serious Not serious Not serious None | Very low ⊕◯◯◯ |
Disclaimer/Publisher’s Note: The statements, opinions and data contained in all publications are solely those of the individual author(s) and contributor(s) and not of MDPI and/or the editor(s). MDPI and/or the editor(s) disclaim responsibility for any injury to people or property resulting from any ideas, methods, instructions or products referred to in the content. |
© 2026 by the authors. Licensee MDPI, Basel, Switzerland. This article is an open access article distributed under the terms and conditions of the Creative Commons Attribution (CC BY) license.
Share and Cite
Parikh, R.R.; Mirzaei, A.; Butler, M.E.; Restrepo, D.J.; Guarin Perez, S.F.; Brandt, S.; Swartz, G.; Katanbaf, R.; Goodman, S.B.; Mont, M.A.; et al. Diagnosis and Treatment of Nontraumatic Osteonecrosis of the Femoral Head: A Systematic Review and Meta-Analyses for the ARCO Clinical Practice Guideline Development Workgroup. Med. Sci. 2026, 14, 107. https://doi.org/10.3390/medsci14010107
Parikh RR, Mirzaei A, Butler ME, Restrepo DJ, Guarin Perez SF, Brandt S, Swartz G, Katanbaf R, Goodman SB, Mont MA, et al. Diagnosis and Treatment of Nontraumatic Osteonecrosis of the Femoral Head: A Systematic Review and Meta-Analyses for the ARCO Clinical Practice Guideline Development Workgroup. Medical Sciences. 2026; 14(1):107. https://doi.org/10.3390/medsci14010107
Chicago/Turabian StyleParikh, Romil R., Alireza Mirzaei, Mary E. Butler, Diego J. Restrepo, Sergio F. Guarin Perez, Sallee Brandt, Gabrielle Swartz, Reza Katanbaf, Stuart B. Goodman, Michael A. Mont, and et al. 2026. "Diagnosis and Treatment of Nontraumatic Osteonecrosis of the Femoral Head: A Systematic Review and Meta-Analyses for the ARCO Clinical Practice Guideline Development Workgroup" Medical Sciences 14, no. 1: 107. https://doi.org/10.3390/medsci14010107
APA StyleParikh, R. R., Mirzaei, A., Butler, M. E., Restrepo, D. J., Guarin Perez, S. F., Brandt, S., Swartz, G., Katanbaf, R., Goodman, S. B., Mont, M. A., Cui, Q., Jones, L. C., & Cheng, E. Y. (2026). Diagnosis and Treatment of Nontraumatic Osteonecrosis of the Femoral Head: A Systematic Review and Meta-Analyses for the ARCO Clinical Practice Guideline Development Workgroup. Medical Sciences, 14(1), 107. https://doi.org/10.3390/medsci14010107

