Molecular Pathogenesis of Joint Hypermobility: The Role of Intergenic Interactions
Abstract
1. Introduction
2. Materials and Methods
2.1. General Characteristics of the Study Cohort
2.2. DNA Extraction
2.3. Hardy–Weinberg Equilibrium Analysis
2.4. SNP–SNP Interaction Analysis
2.5. Gene–Gene Interaction Networks and Expression Product Interaction Analysis
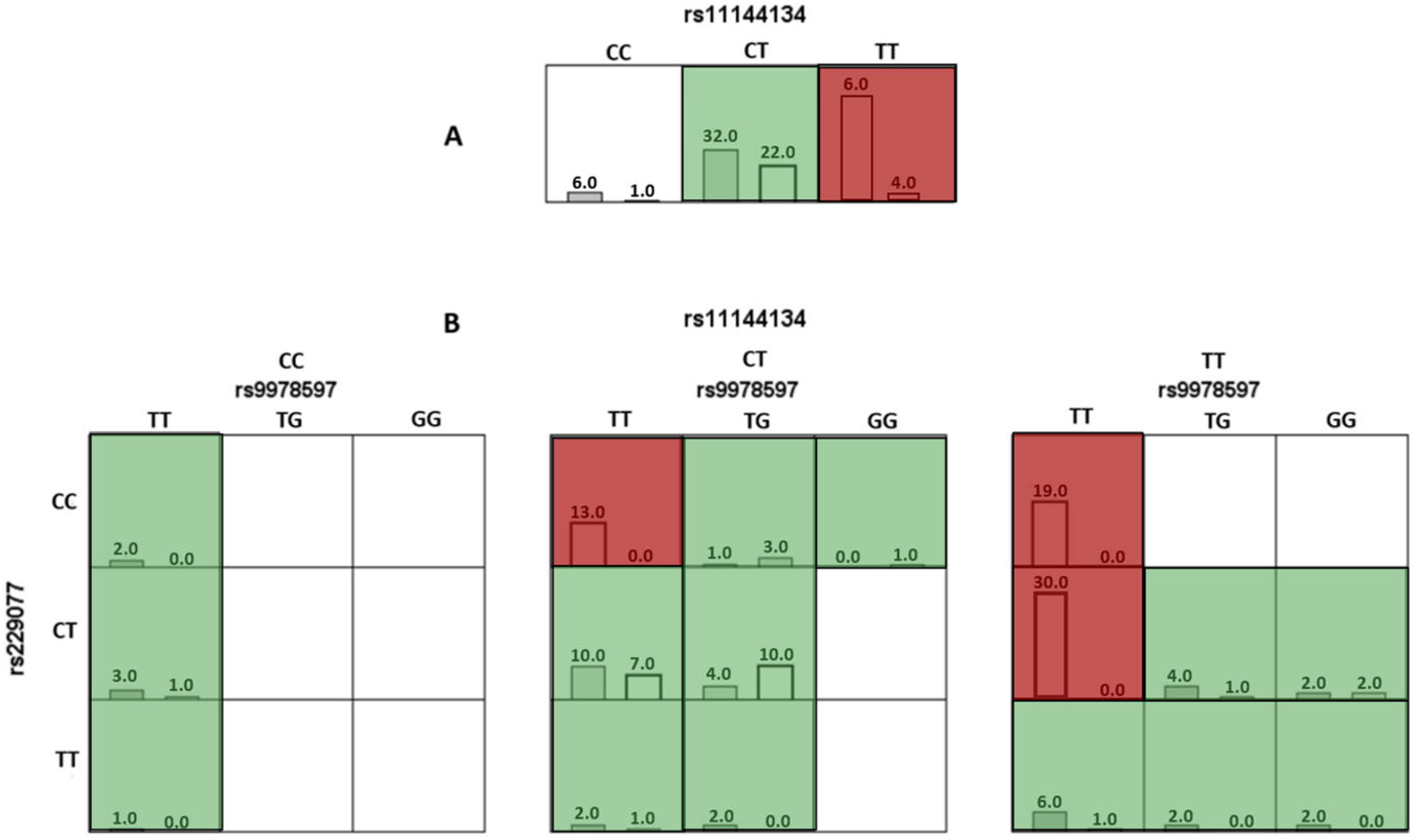
3. Results
4. Discussion
5. Study Limitations
6. Conclusions
Author Contributions
Funding
Institutional Review Board Statement
Informed Consent Statement
Data Availability Statement
Conflicts of Interest
Abbreviations
| JH | Joint hypermobility |
| VDR | Vitamin D receptor |
| LUM | Lumican |
| GDF5 | Growth differentiation factor 5 |
| BMP5 | Bone morphogenetic protein 5 |
| TRPM6 | Transient receptor potential cation channel subfamily M member 6 |
| ADAMTS5 | Aggrecanase-2 |
| NBL1 | Neuroblastoma suppressor of tumorigenesis 1 |
| GREM2 | Gremlin-2 |
| HJV | Hemojuvelin |
| OR | Overall rusk |
| CI | Confidence interval |
| CVC | cross-validation consistency |
Appendix A

Appendix B
| Population | n | Allele Frequencies | Genotypes Frequencies | |||
|---|---|---|---|---|---|---|
| VDR rs11540149 | ||||||
| Group | G | A | GG | GA | AA | |
| JH+ | 129 | 210 (0.913) | 20 (0.087) | 96 (0.834) | 18 (0.157) | 1 (0.009) |
| JH− | 52 | 51 (0.911) | 5 (0.089) | 24 (0.857) | 3 (0.107) | 1 (0.036) |
| BMP5 rs1470527 | ||||||
| C | T | CC | CT | TT | ||
| JH+ | 129 | 137 (0.591) | 95 (0.409) | 39 (0.336) | 59 (0.509) | 18 (0.155) |
| JH− | 52 | 40 (0.741) | 14 (0.259) | 13 (0.481) | 14 (0.519) | 0 (0.000) |
| BMP5 rs3734444 | ||||||
| C | G | CC | CG | GG | ||
| JH+ | 129 | 19 (0.083) | 211 (0.917) | 0 (0.000) | 19 (0.165) | 96 (0.835) |
| p = 0.001 p * = 0.014 OR 3.7 Cl 1.72–7.96 | p = 0.0004 p * = 0.002 OR 5.1 Cl 2.08–12.29 | |||||
| JH− | 52 | 14 (0.250) | 42 (0.750) | 0 (0.000) | 14 (0.500) | 14 (0.500) |
| LUM rs2268578 | ||||||
| C | T | CC | CT | TT | ||
| JH+ | 129 | 174 (0.757) | 56 (0.243) | 66 (0.574) | 42 (0.365) | 7 (0.061) |
| JH− | 52 | 48 (0.857) | 8 (0.143) | 20 (0.714) | 8 (0.286) | 0 (0.000) |
| LUM rs3759222 | ||||||
| A | C | AA | AC | CC | ||
| JH+ | 129 | 57 (0.246) | 175 (0.754) | 6 (0.052) | 45 (0.388) | 65 (0.560) |
| JH− | 52 | 11 (0.204) | 43 (0.796) | 0 (0.000) | 13 (0.407) | 16 (0.593) |
| TRPM6 rs38224347 | ||||||
| C | T | CC | CT | TT | ||
| JH+ | 129 | 99 (0.430) | 131 (0.570) p = 0.026 p* = 0.42 OR 2.04 Cl 1.13–3.71 | 16 (0.139) | 67 (0.583) | 32 (0.278) |
| JH− | 52 | 34 (0.607) | 22 (0.393) | 9 (0.322) | 16 (0.571) | 3 (0.107) |
| TRPM6 rs11144134 | ||||||
| C | T | CC | CT | TT | ||
| JH+ | 129 | 49 (0.211) | 183 (0.789) p = 0.0006 p* = 0.0096 OR 3.0 Cl 1.63–5.56 | 6 (0.052) | 37 (0.319) | 73 (0.629) p = 0.00001 p* = 0.00014 OR 10.19 Cl 3.31–31.32 |
| JH− | 52 | 25 (0.446) | 31 (0.554) | 1 (0.036) | 23 (0.821) | 4 (0.143) |
| GDF5 rs73611720 | ||||||
| G | T | GG | GT | TT | ||
| JH+ | 129 | 37 (0.162) | 191 (0.838) | 0 (0.000) | 37 (0.325) | 77 (0.675) |
| JH− | 52 | 7 (0.130) | 47 (0.870) | 0 (0.000) | 7 (0.259) | 20 (0.741) |
| ADAMTS5 rs226794 | ||||||
| G | A | GG | GA | AA | ||
| JH+ | 111 | 181 (0.815) p = 0.029 p* = 0.46 | 41 (0.185) | 78 (0.703) p = 0.003 p* = 0.046 OR = 3.87 95% CI 1.64–9.07 | 25 (0.225) | 8 (0.0a72) |
| JH− | 52 | 39 (0.672) | 19 (0.328) | 11 (0.379) | 17 (0.586) | 1 (0.035) |
| ADAMTS5 rs9978597 | ||||||
| G | T | GG | GT | TT | ||
| JH+ | 115 | 23 (0.100) | 207 (0.900) p = 4.0 × 10−6 p* = 5.9 × 10−5 OR = 5.00 95% CI 2.49–10.03 | 4 (0.035) | 15 (0.130) | 96 (0.835) p = 4.0 × 10−6 p* = 5.6 × 10−5 OR = 7.81 95% CI 3.16–19.28 |
| JH− | 28 | 20 (0.526) | 18 (0.474) | 3 (0.107) | 14 (0.500) | 11 (0.393) |
| ADAMTS5 rs2830585 | ||||||
| C | T | CC | CT | TT | ||
| JH+ | 111 | 191 (0.860) | 31 (0.140) | 84 (0.757) | 23 (0.207) | 4 (0.036) |
| JH− | 29 | 52 (0.897) | 6 (0.103) | 23 (0.793) | 6 (0.207) | 0 (0.000) |
| ADAMTS5 rs229077 | ||||||
| C | T | CC | CT | TT | ||
| JH+ | 117 | 139 (0.599) | 93 (0.401) | 40 (0.345) | 59 (0.509) p = 0.014 p* = 0.21 | 17 (0.147) |
| JH− | 28 | 30 (0.536) | 26 (0.464) | 4 (0.143) | 22 (0.786) | 2 (0.071) |
| ADAMTS5 rs229069 | ||||||
| C | G | CC | CG | GG | ||
| JH+ | 115 | 162 (0.704) | 68 (0.296) | 51 (0.443) | 60 (0.522) | 4 (0.035) |
| JH− | 28 | 44 (0.786) | 12 (0.214) | 18 (0.643) | 8 (0.286) | 2 (0.071) |
References
- Bulbena-Cabré, A.; Baeza-Velasco, C.; Rosado-Figuerola, S.; Bulbena, A. Updates on the Psychological and Psychiatric Aspects of the Ehlers–Danlos Syndromes and Hypermobility Spectrum Disorders. Am. J. Med. Genet. Part C Semin. Med. Genet. 2021, 187, 482–490. [Google Scholar] [CrossRef]
- Aukštuolytė-Bačienė, E.; Daunoravičienė, A.; Tamulionytė, V.; Berškienė, K.; Narbutaitė, J.; Razon, S.; Slapšinskaitė-Dackevičienė, A. Present but Ignored: Physical Condition and Health-Related Quality of Life in College-Aged Females with Generalized Joint Hypermobility. Healthcare 2024, 12, 1065. [Google Scholar] [CrossRef]
- Van Meulenbroek, T.; Huijnen, I.P.J.; Simons, L.E.; Conijn, A.E.A.; Engelbert, R.H.H.; Verbunt, J.A. Exploring the Underlying Mechanism of Pain-Related Disability in Hypermobile Adolescents with Chronic Musculoskeletal Pain. Scand. J. Pain 2021, 21, 22–31. [Google Scholar] [CrossRef]
- Scheper, M.C.; De Vries, J.E.; Juul-Kristensen, B.; Nollet, F.; Engelbert, R.H. The Functional Consequences of Generalized Joint Hypermobility: A Cross-Sectional Study. BMC Musculoskelet. Disord. 2014, 15, 243. [Google Scholar] [CrossRef]
- Liaghat, B.; Pedersen, J.R.; Young, J.J.; Thorlund, J.B.; Juul-Kristensen, B.; Juhl, C.B. Joint Hypermobility in Athletes Is Associated with Shoulder Injuries: A Systematic Review and Meta-Analysis. BMC Musculoskelet. Disord. 2021, 22, 389. [Google Scholar] [CrossRef]
- Shiue, K.Y.; Cleveland, R.J.; Schwartz, T.A.; Nelson, A.E.; Kraus, V.B.; Hannan, M.T.; Hillstrom, H.J.; Goode, A.P.; Flowers, P.P.E.; Renner, J.B.; et al. Is the Association between Knee Injury and Knee Osteoarthritis Modified by the Presence of General Joint Hypermobility? Osteoarthr. Cartil. Open 2020, 2, 100045. [Google Scholar] [CrossRef]
- Coussens, M.; Banica, T.; Lapauw, B.; De Wandele, I.; Rombaut, L.; Malfait, F.; Calders, P. Bone Parameters in Hypermobile Ehlers-Danlos Syndrome and Hypermobility Spectrum Disorder: A Comparative Cross-Sectional Study. Bone 2023, 166, 116583. [Google Scholar] [CrossRef]
- Akhiiarova, K.E.; Khusainova, R.I.; Yalaev, B.I.; Tyurin, A.V. Polymorphic Variants of the ADAMTS5 Gene as New Markers of Joint Hypermobility. Sovrem. Revmatol. 2023, 17, 45–50. [Google Scholar] [CrossRef]
- Ribeiro, J.A.S.; Gomes, G.; Aldred, A.; Desuó, I.C.; Giacomini, L.A. Chronic Pain and Joint Hypermobility: A Brief Diagnostic Review for Clinicians and the Potential Application of Infrared Thermography in Screening Hypermobile Inflamed Joints. Yale J. Biol. Med. 2024, 97, 225–238. [Google Scholar] [CrossRef]
- Karamanou, K.; Perrot, G.; Maquart, F.X.; Brézillon, S. Lumican as a Multivalent Effector in Wound Healing. Adv. Drug Deliv. Rev. 2018, 129, 344–351. [Google Scholar] [CrossRef]
- Rymen, D.; Ritelli, M.; Zoppi, N.; Cinquina, V.; Giunta, C.; Rohrbach, M.; Colombi, M. Clinical and Molecular Characterization of Classical-like Ehlers-Danlos Syndrome Due to a Novel TNXB Variant. Genes 2019, 10, 843. [Google Scholar] [CrossRef]
- Kania, K.; Colella, F.; Riemen, A.H.K.; Wang, H.; Howard, K.A.; Aigner, T.; Dell’Accio, F.; Capellini, T.D.; Roelofs, A.J.; De Bari, C. Regulation of Gdf5 Expression in Joint Remodelling, Repair and Osteoarthritis. Sci. Rep. 2020, 10, 157. [Google Scholar] [CrossRef]
- Mailhot, G.; Yang, M.; Mason-Savas, A.; Mackay, C.A.; Leav, I.; Odgren, P.R. BMP-5 Expression Increases during Chondrocyte Differentiation in Vivo and in Vitro and Promotes Proliferation and Cartilage Matrix Synthesis in Primary Chondrocyte Cultures. J. Cell. Physiol. 2008, 214, 56–64. [Google Scholar] [CrossRef]
- Saraç, M.; Önalan, E.; Bakal, Ü.; Tartar, T.; Aydın, M.; Orman, A.; Tektemur, A.; Taşkın, E.; Erol, F.S.; Kazez, A. Magnesium-Permeable TRPM6 Polymorphisms in Patients with Meningomyelocele. SpringerPlus 2016, 5, 1703. [Google Scholar] [CrossRef]
- Jiang, L.; Lin, J.; Zhao, S.; Wu, J.; Jin, Y.; Yu, L.; Wu, N.; Wu, Z.; Wang, Y.; Lin, M. ADAMTS5 in Osteoarthritis: Biological Functions, Regulatory Network, and Potential Targeting Therapies. Front. Mol. Biosci. 2021, 8, 703110. [Google Scholar] [CrossRef]
- Akhiiarova, K.E.; Khusainova, R.I.; Yalaev, B.I.; Tyurin, A.V. Search for Molecular Markers of Joint Hypermobility. Res. Results Biomed. 2024, 10, 187–205. [Google Scholar] [CrossRef]
- Savikina, K.G.; Mashkina, E.V.; Aleksandrova, A.A.; Shkurat, T.P.; Lomteva, S.V. Intergenic Interactions and the Contribution of Polymorphic Gene Loci of Enzymes Involved in Free Radical Processes in Pathozoospermia. Nauchno-Prakt. Zhurnal Med. Genet. 2021, 20, 36–44. [Google Scholar] [CrossRef]
- Moskalenko, M.I.; Ponomarenko, I.V.; Verzilina, I.N.; Efremova, O.A.; Polonikov, A.V. The Role of Gene-Gene and Gene-Environment Interactions of Polymorphic Locuses of MMPs in the Formation of Hypertension in Women. Arter. Hypertens. Russ. Fed. 2021, 25, 518–525. [Google Scholar] [CrossRef]
- Novakov, V.; Novakova, O.; Churnosova, M.; Sorokina, I.; Aristova, I.; Polonikov, A.; Reshetnikov, E.; Churnosov, M. Intergenic Interactions of SBNO1, NFAT5 and GLT8D1 Determine the Susceptibility to Knee Osteoarthritis among Europeans of Russia. Life 2023, 13, 405. [Google Scholar] [CrossRef]
- Gola, D.; Mahachie John, J.M.; Van Steen, K.; König, I.R. A Roadmap to Multifactor Dimensionality Reduction Methods. Brief. Bioinform. 2016, 17, 293–308. [Google Scholar] [CrossRef]
- World Medical Association. World Medical Association Declaration of Helsinki Ethical Principles for Medical Research Involving Human Subjects. Jama 2013, 292, 2191–2194. [Google Scholar] [CrossRef]
- Mathew, C.C. The Isolation of High Molecular Weight Eucaryotic DNA. Methods Mol. Biol. 1984, 2, 31–34. [Google Scholar] [CrossRef]
- Chung, Y.; Lee, S.Y.; Elston, R.C.; Park, T. Odds Ratio Based Multifactor-Dimensionality Reduction Method for Detecting Gene—Gene Interactions. Bioinformatics 2007, 23, 71–76. [Google Scholar] [CrossRef]
- Ponomarenko, I.V. Selection of Polymorphic Loci for Association Analysis in Genetic-Epidemiological Studies. Res. Results Biomed. 2018, 4, 40–54. [Google Scholar] [CrossRef]
- Polonikov, A.V.; Klyosova, E.Y.; Azarova, I.E. Bioinformatic Tools and Internet Resources for Functional Annotation of Polymorphic Loci Detected by Genome Wide Association Studies of Multifactorial Diseases (Review). Res. Results Biomed. 2021, 7, 15–31. [Google Scholar] [CrossRef]
- Zhang, C.; Qin, Q.; Li, Y.; Zheng, X.; Chen, W.; Zhen, Q.; Li, B.; Wang, W.; Sun, L. Multifactor Dimensionality Reduction Reveals the Effect of Interaction between ERAP1 and IFIH1 Polymorphisms in Psoriasis Susceptibility Genes. Front. Genet. 2022, 13, 1009589. [Google Scholar] [CrossRef]
- Curtis, A.A.; Yu, Y.; Carey, M.; Parfrey, P.; Yilmaz, Y.E.; Savas, S. Multifactor Dimensionality Reduction Method Identifies Novel SNP Interactions in the WNT Protein Interaction Networks That Are Associated with Recurrence Risk in Colorectal Cancer. Front. Oncol. 2023, 13, 1122229. [Google Scholar] [CrossRef]
- Abudureyimu, S.; He, C.; Abulaiti, D.; Xie, W.; Airikenjiang, H.; Qiu, H.; Liu, M.; Cao, Y.; Li, H.; Zhang, J.; et al. Roles of Single Nucleotide Polymorphisms of C3 Gene in Patients with Coronary Artery Disease. Rev. Cardiovasc. Med. 2024, 25, 147. [Google Scholar] [CrossRef]
- Shilenok, I.; Kobzeva, K.; Stetskaya, T.; Freidin, M.; Soldatova, M.; Deykin, A.; Soldatov, V.; Churnosov, M.; Polonikov, A.; Bushueva, O. SERPINE1 MRNA Binding Protein 1 Is Associated with Ischemic Stroke Risk: A Comprehensive Molecular–Genetic and Bioinformatics Analysis of SERBP1 SNPs. Int. J. Mol. Sci. 2023, 24, 8716. [Google Scholar] [CrossRef]
- Yalaev, B.; Tyurin, A.; Prokopenko, I.; Karunas, A.; Khusnutdinova, E.; Khusainova, R. Using a Polygenic Score to Predict the Risk of Developing Primary Osteoporosis. Int. J. Mol. Sci. 2022, 23, 10021. [Google Scholar] [CrossRef]
- Choi, S.W.; Mak, T.S.H.; O’Reilly, P.F. Tutorial: A Guide to Performing Polygenic Risk Score Analyses. Nat. Protoc. 2020, 15, 2759–2772. [Google Scholar] [CrossRef]
- Chen, Y.J.; Chang, W.A.; Huang, M.S.; Chen, C.H.; Wang, K.Y.; Hsu, Y.L.; Kuo, P.L. Identification of Novel Genes in Aging Osteoblasts Using Nextgeneration Sequencing and Bioinformatics. Oncotarget 2017, 8, 113598–113613. [Google Scholar] [CrossRef]
- Kelemen, L.E.; Couch, F.J.; Ahmed, S.; Dunning, A.M.; Pharoah, P.D.P.; Easton, D.F.; Fredericksen, Z.S.; Vierkant, R.A.; Pankratz, V.S.; Goode, E.L.; et al. Genetic Variation in Stromal Proteins Decorin and Lumican with Breast Cancer: Investigations in Two Case-Control Studies. Breast Cancer Res. 2008, 10, R98. [Google Scholar] [CrossRef]
- Sharma, A.C.; Srivastava, R.N.; Srivastava, S.R.; Agrahari, A.; Singh, A.; Parmar, D. Evaluation of the Association between a Single-Nucleotide Polymorphism of Bone Morphogenetic Proteins 5 Gene and Risk of Knee Osteoarthritis. J. Postgrad. Med. 2017, 63, 151–156. [Google Scholar] [CrossRef]
- Huang, S.P.; Bao, B.Y.; Hour, T.C.; Huang, C.Y.; Yu, C.C.; Liu, C.C.; Lee, Y.C.; Huang, C.N.; Pao, J.B.; Huang, C.H. Genetic Variants in CASP3, BMP5, and IRS2 Genes May Influence Survival in Prostate Cancer Patients Receiving Androgen-Deprivation Therapy. PLoS ONE 2012, 7, e41219. [Google Scholar] [CrossRef]
- Tyurin, A.; Shapovalova, D.; Gantseva, H.; Pavlov, V.; Khusainova, R. Association between MiRNA Target Sites and Incidence of Primary Osteoarthritis in Women from Volga-Ural Region of Russia: A Case-Control Study. Diagnostics 2021, 11, 1222. [Google Scholar] [CrossRef]
- Adomako, E.A.; Yu, A.S.L. Magnesium Disorders: Core Curriculum 2024. Am. J. Kidney Dis. 2024, 83, 803–815. [Google Scholar] [CrossRef]
- Cheng, W.W.; Zhu, Q.; Zhang, H.Y. Mineral Nutrition and the Risk of Chronic Diseases: A Mendelian Randomization Study. Nutrients 2019, 11, 378. [Google Scholar] [CrossRef]
- Walder, R.Y.; Yang, B.; Stokes, J.B.; Kirby, P.A.; Cao, X.; Shi, P.; Searby, C.C.; Husted, R.F.; Sheffield, V.C. Mice Defective in Trpm6 Show Embryonic Mortality and Neural Tube Defects. Hum. Mol. Genet. 2009, 18, 4367–4375. [Google Scholar] [CrossRef]
- Barbagallo, M.; Veronese, N.; Dominguez, L.J. Magnesium in Aging, Health and Diseases. Nutrients 2021, 13, 463. [Google Scholar] [CrossRef]
- Reddy, S.T.; Soman, S.S.; Yee, J. Magnesium Balance and Measurement. Adv. Chronic Kidney Dis. 2018, 25, 224–229. [Google Scholar] [CrossRef] [PubMed]
- Fiorentini, D.; Cappadone, C.; Farruggia, G.; Prata, C. Magnesium: Biochemistry, Nutrition, Detection, and Social Impact of Diseases Linked to Its Deficiency. Nutrients 2021, 13, 1136. [Google Scholar] [CrossRef] [PubMed]
- Castiglioni, S.; Cazzaniga, A.; Albisetti, W.; Maier, J.A.M. Magnesium and Osteoporosis: Current State of Knowledge and Future Research Directions. Nutrients 2013, 5, 3022–3033. [Google Scholar] [CrossRef] [PubMed]
- Mazur, A.; Maier, J.A.M.; Rock, E.; Gueux, E.; Nowacki, W.; Rayssiguier, Y. Magnesium and the Inflammatory Response: Potential Physiopathological Implications. Arch. Biochem. Biophys. 2007, 458, 48–56. [Google Scholar] [CrossRef]
- Yue, H.; Lee, J.D.; Shimizu, H.; Uzui, H.; Mitsuke, Y.; Ueda, T. Effects of Magnesium on the Production of Extracellular Matrix Metalloproteinases in Cultured Rat Vascular Smooth Muscle Cells. Atherosclerosis 2003, 166, 271–277. [Google Scholar] [CrossRef]
- Mio, K.; Carrette, O.; Maibach, H.I.; Stern, R. Evidence That the Serum Inhibitor of Hyaluronidase May Be a Member of the Inter-α-Inhibitor Family. J. Biol. Chem. 2000, 275, 32413–32421. [Google Scholar] [CrossRef]
- Gacheru, S.N.; Trackman, P.C.; Shah, M.A.; O’Gara, C.Y.; Spacciapoli, P.; Greenaway, F.T.; Kagan, H.M. Structural and Catalytic Properties of Copper in Lysyl Oxidase. J. Biol. Chem. 1990, 265, 19022–19027. [Google Scholar] [CrossRef]
- Meyer, T.E.; Verwoert, G.C.; Hwang, S.J.; Glazer, N.L.; Smith, A.V.; van Rooij, F.J.A.; Ehret, G.B.; Boerwinkle, E.; Felix, J.F.; Leak, T.S.; et al. Genome-Wide Association Studies of Serum Magnesium, Potassium, and Sodium Concentrations Identify Six Loci Influencing Serum Magnesium Levels. PLoS Genet. 2010, 6, e1001045. [Google Scholar] [CrossRef]
- Sha, T.; Li, W.; He, H.; Wu, J.; Wang, Y.; Li, H. Causal Relationship of Genetically Predicted Serum Micronutrients Levels with Sarcopenia: A Mendelian Randomization Study. Front. Nutr. 2022, 9, 913155. [Google Scholar] [CrossRef]
- He, B.; Xia, L.; Zhao, J.; Yin, L.; Zhang, M.; Quan, Z.; Ou, Y.; Huang, W. Causal Effect of Serum Magnesium on Osteoporosis and Cardiometabolic Diseases. Front. Nutr. 2021, 8, 738000. [Google Scholar] [CrossRef]
- Larsson, S.C.; Burgess, S.; Michaëlsson, K. Serum Magnesium Levels and Risk of Coronary Artery Disease: Mendelian Randomisation Study. BMC Med. 2018, 16, 68. [Google Scholar] [CrossRef]
- Hou, C.; Wang, Y.; Sui, X.; Yi, J.; Yao, H.; Liu, W.; Yu, Z.; Xia, L.; Guo, Q.; Xin, W.; et al. The Association of Serum Magnesium and Chronic Kidney Disease: A Two-Sample Mendelian Randomization Study of European Descent. Eur. J. Clin. Nutr. 2022, 76, 1309–1314. [Google Scholar] [CrossRef] [PubMed]
- Zhang, Y.; Li, S.; Jin, P.; Shang, T.; Sun, R.; Lu, L.; Guo, K.; Liu, J.; Tong, Y.; Wang, J.; et al. Dual Functions of MicroRNA-17 in Maintaining Cartilage Homeostasis and Protection against Osteoarthritis. Nat. Commun. 2022, 13, 2447. [Google Scholar] [CrossRef] [PubMed]
- Weng, K.; Luo, M.; Dong, D. Elucidation of the Mechanism by Which a ADAMTS5 Gene MicroRNA-Binding Site Single Nucleotide Polymorphism Affects the Risk of Osteoarthritis. Genet. Test. Mol. Biomarkers 2020, 24, 467–477. [Google Scholar] [CrossRef] [PubMed]
- Perera, R.S.; Dissanayake, P.H.; Senarath, U.; Wijayaratne, L.S.; Karunanayake, A.L.; Dissanayake, V.H.W. Single Nucleotide Variants of Candidate Genes in Aggrecan Metabolic Pathway Are Associated with Lumbar Disc Degeneration and Modic Changes. PLoS ONE 2017, 12, e0169835. [Google Scholar] [CrossRef]
- Huo, J.Z.; Ji, X.H.; Su, Z.Y.; Shang, P.; Gao, F. Association of ADAMTS4 and ADAMTS5 Polymorphisms with Musculoskeletal Degenerative Diseases: A Systematic Review and Meta-Analysis. Biosci. Rep. 2018, 38, BSR20181619. [Google Scholar] [CrossRef]
- Zhang, A.; Ma, S.; Yuan, L.; Wu, S.; Liu, S.; Wei, X.; Chen, L.; Ma, C.; Zhao, H. Knockout of MiR-21-5p Alleviates Cartilage Matrix Degradation by Targeting Gdf5 in Temporomandibular Joint Osteoarthritis. Bone Jt. Res. 2020, 9, 689–700. [Google Scholar] [CrossRef]
- Barreto, G.; Senturk, B.; Colombo, L.; Brück, O.; Neidenbach, P.; Salzmann, G.; Zenobi-Wong, M.; Rottmar, M. Lumican Is Upregulated in Osteoarthritis and Contributes to TLR4-Induced pro-Inflammatory Activation of Cartilage Degradation and Macrophage Polarization. Osteoarthr. Cartil. 2020, 28, 92–101. [Google Scholar] [CrossRef]
- Hao, X.D.; Chen, X.N.; Zhang, Y.Y.; Chen, P.; Wei, C.; Shi, W.Y.; Gao, H. Multi-Level Consistent Changes of the ECM Pathway Identified in a Typical Keratoconus Twin’s Family by Multi-Omics Analysis. Orphanet J. Rare Dis. 2020, 15, 227. [Google Scholar] [CrossRef]
- Tyurin, A.; Akhiiarova, K.; Minniakhmetov, I.; Mokrysheva, N.; Khusainova, R. The Genetic Markers of Knee Osteoarthritis in Women from Russia. Biomedicines 2024, 12, 782. [Google Scholar] [CrossRef]




| № | SNP | Gene | Type | Chromosome Localization |
|---|---|---|---|---|
| 1 | rs226794 | ADAMTS5 | Missense | 21:26930036 (GRCh38) |
| 2 | rs9978597 | 3′-gene region, microRNA binding site | 21:26921824 (GRCh38) | |
| 3 | rs2830585 | Missense | 21:26932893 (GRCh38) | |
| 4 | rs229077 | 3′-gene region, microRNA binding site | 21:26923020 (GRCh38) | |
| 5 | rs229069 | 3′-gene region, microRNA binding site | 21:26918364 (GRCh38) | |
| 6 | rs11540149 | VDR | 3′-gene region, microRNA binding site | 12:47842881 (GRCh38) |
| 7 | rs1470527 | BMP5 | Intron | 6:55846413 (GRCh38) |
| 8 | rs3734444 | Exon, synonymous | 6:55874755 (GRCh38) | |
| 9 | rs2268578 | LUM | Intron | 12:91107421 (GRCh38) |
| 10 | rs3759222 | 2KB Upstream Variant | 12:91113176 (GRCh38) | |
| 11 | rs3824347 | TRPM6 | Intron | 6:32112369 (GRCh38) |
| 12 | rs11144134 | Intron | 9:74884880 (GRCh38) | |
| 13 | rs73611720 | GDF5 | 3′-gene region, microRNA binding site | 20:35433574 (GRCh38) |
| № | SNP | Gene | Hpred | Hobs | HWpval | MAF | %Gen | Alleles |
|---|---|---|---|---|---|---|---|---|
| 1 | rs11540149 | VDR | 0.203 | 0.215 | 0.918 | 0.115 | 100 | G:A |
| 2 | rs1470527 | BMP5 | 0.268 | 0.319 | 0.324 | 0.159 | 100 | C:T |
| 3 | rs3734444 | BMP5 | 0.358 | 0.363 | 1.0 | 0.233 | 100 | G:C |
| 4 | rs2268578 | LUM | 0.15 | 0.133 | 0.413 | 0.081 | 100 | C:T |
| 5 | rs3759222 | LUM | 0.366 | 0.393 | 0.571 | 0.241 | 100 | A:C |
| 6 | rs3824347 | TRPM6 | 0.203 | 0.23 | 0.286 | 0.115 | 100 | C:A |
| 7 | rs11144134 | TRPM6 | 0.384 | 0.415 | 0.513 | 0.259 | 100 | C:T |
| 8 | rs226794 | ADAMTS5 | 0.340 | 0.301 | 0.268 | 0.217 | 100 | C:A |
| 9 | rs9978597 | ADAMTS5 | 0.256 | 0.199 | 1.0 | 0.151 | 100 | A:G |
| 10 | rs2830585 | ADAMTS5 | 0.219 | 0.206 | 0.683 | 0.125 | 100 | C:A |
| 11 | rs229077 | ADAMTS5 | 0.438 | 0.518 | 0.571 | 0.325 | 100 | C:T |
| 12 | rs229069 | ADAMTS5 | 0.403 | 0.471 | 0.079 | 0.279 | 100 | C:G |
| 13 | rs73611720 | GDF5 | 0.498 | 0.593 | 0.050 | 0.467 | 100 | T:G |
| № | SNP | Gene | pFDR | OR (95%, CI) |
|---|---|---|---|---|
| 1 | rs226794/GG | ADAMTS5 | 0.046 | 3.87 |
| 2 | rs9978597/T | p < 0.00001 | 5.00 | |
| 3 | rs9978597/TT | p < 0.00001 | 7.81 | |
| 4 | rs3734444/G | BMP5 | 0.014 | 3.70 |
| 5 | rs3734444/GG | 0.002 | 5.10 | |
| 6 | rs11144134/T | TRPM6 | 0.010 | 3.00 |
| 7 | rs11144134/TT | <0.001 | 10.19 |
| Model | Training. Ball. Acc. | Testing. Ball. Acc. | CVC | X2 | p | OR (95%, CI) |
|---|---|---|---|---|---|---|
| TRPM6 rs11144134 | 0.75 | 0.73 | 9/10 | 22.18 | <0.0001 | 11.17 (2.55–35.16) |
| ADAMTS5 rs9978597, TRPM6 rs11144134 | 0.81 | 0.74 | 5/10 | 37.29 | <0.0001 | 94.28 (10.55–839.40) |
| ADAMTS5 rs229077, ADAMTS5 rs9978597, TRPM6 rs11144134 | 0.85 | 0.77 | 8/10 | 41.60 | <0.0001 | 70.38 (0.01–55.80) |
| Model | Risk | Genotype | OR (95%, CI) |
|---|---|---|---|
| rs11144134 | High | TT | 16.25 |
| Low | CC | 0.52 | |
| rs11144134 × rs9978597 × rs229077 | High | TT × TT × CC | 7.82 |
| High | TT × TT × CT | 10.10 | |
| High | CT × TT × CC | 6.00 |
| Node1 | Node2 | Cumulative Score |
|---|---|---|
| NBL1 | GDF5 | 0.923 |
| NBL1 | BMP5 | 0.910 |
| LUM | ACAN | 0.920 |
| HJV | GDF5 | 0.915 |
| HJV | BMP5 | 0.797 |
| GREM2 | GDF5 | 0.877 |
| GREM2 | BMP5 | 0.860 |
| GDF5 | CHRDL2 | 0.745 |
| ADAMTS5 | GDF5 | 0.493 |
| ADAMTS5 | ACAN | 0.972 |
Disclaimer/Publisher’s Note: The statements, opinions and data contained in all publications are solely those of the individual author(s) and contributor(s) and not of MDPI and/or the editor(s). MDPI and/or the editor(s) disclaim responsibility for any injury to people or property resulting from any ideas, methods, instructions or products referred to in the content. |
© 2025 by the authors. Licensee MDPI, Basel, Switzerland. This article is an open access article distributed under the terms and conditions of the Creative Commons Attribution (CC BY) license (https://creativecommons.org/licenses/by/4.0/).
Share and Cite
Akhiiarova, K.; Tyurin, A.; Khusainova, R. Molecular Pathogenesis of Joint Hypermobility: The Role of Intergenic Interactions. Med. Sci. 2025, 13, 223. https://doi.org/10.3390/medsci13040223
Akhiiarova K, Tyurin A, Khusainova R. Molecular Pathogenesis of Joint Hypermobility: The Role of Intergenic Interactions. Medical Sciences. 2025; 13(4):223. https://doi.org/10.3390/medsci13040223
Chicago/Turabian StyleAkhiiarova, Karina, Anton Tyurin, and Rita Khusainova. 2025. "Molecular Pathogenesis of Joint Hypermobility: The Role of Intergenic Interactions" Medical Sciences 13, no. 4: 223. https://doi.org/10.3390/medsci13040223
APA StyleAkhiiarova, K., Tyurin, A., & Khusainova, R. (2025). Molecular Pathogenesis of Joint Hypermobility: The Role of Intergenic Interactions. Medical Sciences, 13(4), 223. https://doi.org/10.3390/medsci13040223

