A Quick-Look Method for Initial Evaluation of Gas Hydrate Stability below Subaqueous Permafrost
Abstract
1. Introduction
2. Materials and Methods
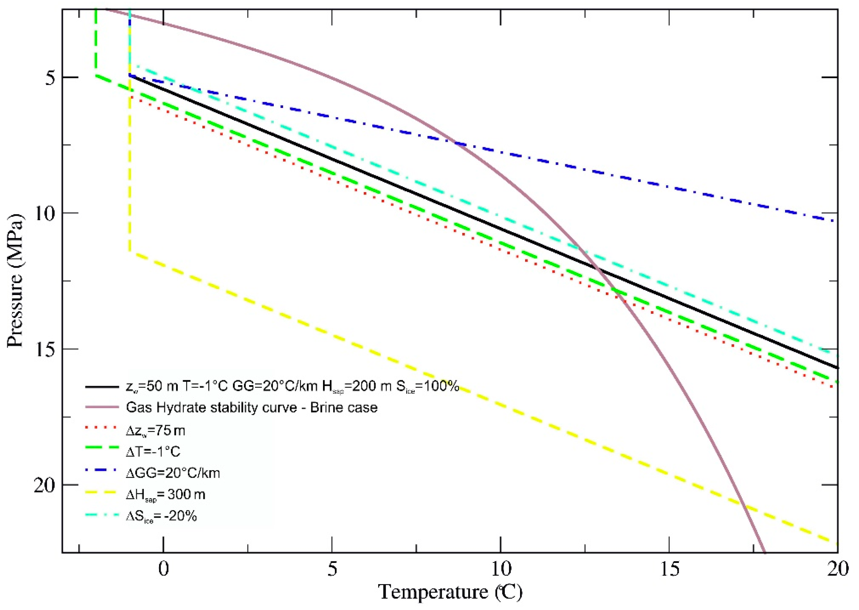
3. Results
4. Conclusions
Author Contributions
Funding
Acknowledgments
Conflicts of Interest
References
- Osterkamp, T.E.; Burn, C.R. Permafrost. In Encyclopedia of Atmospheric Sciences; Holton, J.R., Ed.; Academic Press: Oxford, UK, 2003; pp. 1717–1729. [Google Scholar] [CrossRef]
- Liu, S.; Jiang, Z.; Liu, H.; Pang, S.; Xia, Z.; Jin, Z.; Wang, J.; Wei, X. The natral-gas exploration prospects of the Nayixiong formation in the Kaixinling-Wuli permafrost, Qinghai-Tibet plateau. Mar. Pet. Geol. 2016, 72, 179–192. [Google Scholar] [CrossRef]
- Osterkamp, T.E. Sub-sea Permafrost. In Encyclopedia of Ocean Sciences, 1st ed.; Academic Press: New York, NY, USA, 2001; pp. 2902–2912. [Google Scholar]
- Collett, T.S.; Lee, M.W.; Agena, W.F.; Miller, J.J.; Lewis, K.A.; Zyrianova, M.V.; Boswell, R.; Inks, T.L. Permafrost-associated natural gas hydrate occurrences on the Alaska North Slope. Mar. Petr. Geol. 2011, 28, 279–294. [Google Scholar] [CrossRef]
- Frederick, J.M.; Buffett, B.A. Taliks in relict submarine permafrost and gas hydrate deposits: Pathways for methane escape under present and future conditions. J. Geophys. Res. Earth Surf. 2014, 119, 106–122. [Google Scholar] [CrossRef]
- Portnov, A.; Vadakkepuliyambatta, S.; Mienert, J.; Hubbard, A. Ice-sheet-driven methane storage and release in the Arctic. Nat. Commun. 2016, 7, 101314. [Google Scholar] [CrossRef]
- Crémière, A.; Lepland, A.; Chand, S.; Sahy, D.; Condon, D.J.; Noble, S.R.; Martma, T.; Thorsnes, T.; Sauer, S.; Brunstad, H. Timescales of methane seepage on the Norwegian margin following collapse of the Scandinavian Ice Sheet. Nat. Commun. 2016, 7, 11509. [Google Scholar] [CrossRef]
- Kvenvolden, K.A. Gas hydrates—Geological perspective and global change. Rev. Geophys. 1993, 31, 173–187. [Google Scholar] [CrossRef]
- Anderson, L.G.; Björk, G.; Jutterström, S.; Pipko, I.; Shakhova, N.; Semiletov, I.; Wåhlström, I. East Siberian Sea, an Arctic region of very high biogeochemical activity. Biogeosciences 2011, 8, 1745–1754. [Google Scholar] [CrossRef]
- Dallimore, S.R.; Wright, J.F.; Nixon, F.M.; Kurihara, M.; Yamamoto, K.; Fujii, T.; Fujii, K.; Numasawa, M.; Yasuda, M.; Imasato, Y. Geologic and porous media factors affecting the 2007 production response characteristics of the JOGMEC/NRCAN/AURORA Mallik gas hydrate production research well. In Proceedings of the 6th International Conference on Gas Hydrates, Vancouver, BC, Canada, 6–10 July 2008; p. 10. [Google Scholar]
- Dallimore, S.R.; Wright, J.F.; Yamamoto, K. Appendix D: Update on Mallik. In Energy from Gas Hydrates: Assessing the Opportunities and Challenges for Canada; Council of Canadian Academies: Ottawa, ON, Canada, 2008; pp. 196–200. [Google Scholar]
- Moridis, G.J.; Collett, T.S.; Pooladi-Darwish, M.; Hancock, S.; Santamarina, C.; Boswell, R.; Kneafsey, T.; Rutqvist, J.; Kowalsky, M.J.; Reagan, M.T.; et al. Challenges, Uncertainties and Issues Facing Gas Production From Hydrate Deposits in Geologic Systems. SPE Res. Eval. Eng 2011, 14, 76–112. [Google Scholar] [CrossRef]
- Yamamoto, K.; Kanno, T.; Wang, X.-X.; Tamaki, M.; Fujii, T.; Chee, S.-S.; Wang, X.-W.; Pimenov, V.; Shako, V. Thermal responses of a gas hydrate-bearing sediment to a depressurization operation. R. Soc. Chem. 2017, 7, 5554–5577. [Google Scholar] [CrossRef]
- Marín-Moreno, H.; Minshull, T.A.; Westbrook, G.K.; Sinha, B. Estimates of future warming-induced methane emissions from hydrate offshore west Svalbard for a range of climate models. Geochem. Geophys. Geosyst. 2015, 16, 1307–1323. [Google Scholar] [CrossRef]
- Marin-Moreno, H.; Giustiniani, M.; Tinivella, U. The Potential Response of the Hydrate Reservoir in the South Shetland Margin, Antarctic Peninsula, to Ocean Warming over the 21st Century. Polar Res. 2015, 34, 27443. [Google Scholar] [CrossRef]
- Nisbet, E. Some northern sources of atmospheric methane: Production, history, and future implications. Can. J. Earth Sci. 1989, 26, 1603–1611. [Google Scholar] [CrossRef]
- Nisbet, E.G. The end of the ice age. Can. J. Earth Sci. 1990, 27, 148–157. [Google Scholar] [CrossRef]
- Dickens, G.R. Down the Rabbit Hole: Toward appropriate discussion of methane release from gas hydrate systems during the Paleocene-Eocene thermal maximum and other past hyperthermal events. Clim. Past 2011, 7, 831–846. [Google Scholar] [CrossRef]
- Chuvilin, E.; Davletshina, D. Formation and Accumulation of Pore Methane Hydrates in Permafrost: Experimental Modeling. Geosciences 2018, 8, 467. [Google Scholar] [CrossRef]
- Makogon, Y.F. A Gas Hydrate Formation in the Gas Saturated Layers under Low Temperature. Gas Ind. 1965, 5, 14–15. [Google Scholar]
- Chuvilin, E.; Bukhanov, B.; Davletshina, D.; Grebenkin, S.; Istomin, V. Dissociation and Self-Preservation of Gas Hydrates in Permafrost. Geosciences 2018, 8, 431. [Google Scholar] [CrossRef]
- Bogoyavlensky, V.; Kishankov, A.; Yanchevskaya, A.; Bogoyavlensky, I. Forecast of Gas Hydrates Distribution Zones in the Arctic Ocean and Adjacent Offshore Areas. Geosciences 2018, 8, 453. [Google Scholar] [CrossRef]
- Istomin, V.A.; Yakushev, V.S. Gas Hydrates in Nature; Nedra: Moscow, Russia, 1992; p. 235. ISBN 5-247-02442-7. [Google Scholar]
- Rivkin, F.M.; Levantovskaya, N.P. Dynamics of sub-river channel taliks and the formation of gas hydrates. Kriosf. Zemli. 2002, 6, 36–42. [Google Scholar]
- Kraev, G.; Schulze, E.-D.; Yurova, A.; Kholodov, A.; Chuvilin, E.; Rivkina, E. Cryogenic Displacement and Accumulation of Biogenic Methane in Frozen Soils. Atmosphere 2017, 8, 105. [Google Scholar] [CrossRef]
- Istomin, V.A.; Chuvilin, E.M.; Sergeeva, D.V.; Buhkanov, B.A.; Stanilovskaya, Y.V.; Green, E.; Badetz, C. Thermodynamic calculation of freezing temperature of gas-saturated pore water in talik zones. In Proceedings of the 5th European Conference Permafrost, Chamonix, France, 23 June–1 July 2018; pp. 480–481. [Google Scholar]
- Majorowicz, J.; Osadetz, K.; Safanda, J. Models of Talik, Permafrost and Gas Hydrate Histories—Beaufort Mackenzie Basin, Canada. Energies 2015, 8, 6738–6764. [Google Scholar] [CrossRef]
- Chuvilin, E.; Bukhanov, B. Thermal conductivity of frozen sediments containing self-preserved pore gas hydrates at atmospheric pressure: An experimental study. Geosciences 2019, 9. [Google Scholar] [CrossRef]
- Romanovskii, N.N.; Hubberten, H.-W.; Gavrilov, A.V.; Eliseeva, A.A.; Tipenko, G.S. Offshore permafrost and gas hydrate stability zone on the shelf of East Siberian Seas. Geo Mar. Lett. 2005, 25, 167–182. [Google Scholar] [CrossRef]
- Malakhova, V.V.; Eliseev, A.V. Influence of rift zones and thermokarst lakes on the formation of subaqueous permafrost and the stability zone of methane hydrates of the Laptev sea shelf in the Pleistocene. Ice Snow 2018, 58, 231–242. [Google Scholar] [CrossRef]
- Portnov, A.; Mienert, J.; Serov, P. Modeling the evolution of climate sensitive Arctic subsea permafrost in regions of extensive gas expulsion at the West Yamal shelf. Biogeosciences 2014, 119, 2082–2094. [Google Scholar] [CrossRef]
- Malakhova, V.V. Estimation of the subsea permafrost thickness in the Arctic Shelf. In Proceedings of the 24th International Symposium on Atmospheric and Ocean Optics: Atmospheric Physics, Tomsk, Russia, 2–5 July 2018; p. 108337T. [Google Scholar] [CrossRef]
- Loktev, A.S.; Tokarev, M.Y.; Chuvilin, E.M. Problems and technologies of offshore permafrost investigation. Procedia Eng. 2017, 189, 459–465. [Google Scholar] [CrossRef]
- Romanovskii, N.N.; Hubberten, H.-W.; Gavrilov, A.V.; Tumskoy, V.E.; Tipenko, G.S.; Grigoriev, M.N.; Siegert, C. Thermokarst and Land-Ocean Interactions, Laptev Sea, Region Russia. Permafr. Periglac. Process. 2000, 11, 157–162. [Google Scholar] [CrossRef]
- Nikolsky, D.; Shakhova, N. Modeling sub-sea permafrost in the East Siberian Arctic Shelf: The Dmitry Laptev Strait. Environ. Res. Lett. 2010, 5, 015006. [Google Scholar] [CrossRef]
- Nikolsky, D.; Romanovsky, V.E.; Romanovskii, N.N.; Kholodov, A.L.; Shakhova, N.E.; Semiletov, I.P. Modeling sub-sea permafrost in the East Siberian Arctic Shelf: The Laptev Sea region. J. Geophys. Res. 2012, 117, F03028. [Google Scholar] [CrossRef]
- Overduin, P.P.; Schneider von Deimling, T.; Miesner, F.; Grigoriev, M.N.; Ruppel, C.; Vasiliev, A.; Lantuit, H.; Juhls, B.; Westermann, S. Submarine Permafrost Map in the Arctic Modeled Using 1-D Transient Heat Flux (SuPerMAP). J. Geophys. Res. Ocean. 2019, 124. [Google Scholar] [CrossRef]
- Ruppel, C. Methane Hydrates and Contemporary Climate Change. Nat. Educ. Knowl. 2011, 3, 29. [Google Scholar]
- Ruppel, C. Permafrost-Associated Gas Hydrate: Is it Really ~1% of the Global System? J. Chem. Eng. Data 2014. [Google Scholar] [CrossRef]
- Streletskaya, I.D.; Vasiliev, A.A.; Oblogov, G.E.; Streletskiy, D.A. Methane content in ground ice and sediments of the Kara Sea coast. Geosciences 2018, 8, 434. [Google Scholar] [CrossRef]
- Romanovskii, N.; Hubberten, H.-W.; Gavrilov, A.; Tumskoy, V.; Kholodov, A.L. Permafrost of the east Siberian Arctic shelf and coastal lowlands. Quat. Sci. Rev. 2004, 23, 1359–1369. [Google Scholar] [CrossRef]
- Peltier, W.R. Ice age paleotopography. Science 2004, 265, 195–201. [Google Scholar] [CrossRef] [PubMed]
- Kendall, R.A.; Mitrovica, J.X.; Milne, G.A. On post-glacial sea level—II. Numerical formulation and comparative results on spherically symmetric models. Geophys. J. Int. 2005, 161, 679–706. [Google Scholar] [CrossRef]
- Portnov, A.; Smith, A.J.; Mienert, J.; Cherkashov, G.; Rekant, P.; Semenov, P.; Serov, P.; Vanshtein, B. Offshore permafrost decay and massive seabed methane escape in water depths >20 m at the South Kara Sea shelf. Geo. Res. Lett. 2013, 40, 1–6. [Google Scholar] [CrossRef]
- Chuvilin, E.M.; Yakushev, V.S.; Perlova, E.V. Gas hydrates in the permafrost of Bovanenkovo gas field, Yamal Peninsula, West Siberia. Polarforschung 2000, 68, 215–219. [Google Scholar]
- Wellman, T.P.; Voss, C.I.; Walvoord, M.A. Impacts of climate, lake size, and supra- and sub-permafrost groundwater flow on lake-talik evolution, Yukon Flats, Alaska (USA). Hydrogeol. J. 2013, 21, 281–298. [Google Scholar] [CrossRef]
- Ruo, H.; Wooller, M.J.; Pohlman, J.W.; Quensen, J.; Tiedje, J.M.; Beth Leigh, M. Shifts in Identity and Activity of Methanotrophs in Arctic Lake Sediments in Response to Temperature Changes. Appl. Environ. Microbiol. 2012, 78, 4715–4723. [Google Scholar]
- Wooller, M.J.; Gaglioti, B.; Fulton, T.L.; Lopez, A.; Shapiro, B. Post-glacial dispersal patterns of Northern pike inferred from an 8,800 year old pike (Esox cf. lucius) skull from interior Alaska. Quat. Sci. Rev. 2015, 120, 118–125. [Google Scholar] [CrossRef]
- Giustiniani, M.; Tinivella, U.; Jakobsson, M.; Rebesco, M. Arctic Ocean Gas Hydrate Stability in a Changing Climate. J. Geol. Res. 2013. [Google Scholar] [CrossRef]
- Marín-Moreno, H.; Giustiniani, M.; Tinivella, U.; Piñero, E. The challenges of quantifying the carbon stored in Arctic marine gas hydrate. Mar. Pet. Geol. 2016, 71, 76–82. [Google Scholar] [CrossRef]
- Makogon, Y.F. Production from natural gas hydrate deposits. Gazov. Promishlennost 1984, 10, 24–26. [Google Scholar]
- Bugge, T.; Elvebakk, G.; Fanavoll, S.; Mangerud, G.; Smelror, M.; Weiss, H.M.; Gjelberg, J.; Kristensen, S.E.; Nilsen, K. Shallow stratigraphic drilling applied in hydrocarbon exploration of the Nordkapp Basin, Barents Sea. Mar. Pet. Geol. 2002, 19, 13–37. [Google Scholar] [CrossRef]
- Rachold, V.; Yu, D.; Bolshiyanov, M.N.; Grigoriev, H.-W.; Hubberten, R.; Junker, V.V.; Kunitsky, F.; Merker, P.P.; Overduin, P.; Schneider, W. Near-shore Arctic Subsea Permafrost in Transition. EOS: Trans. Am. Geophys. Union 2007, 88, 149–156. [Google Scholar] [CrossRef]
- Shakhova, N.; Semiletov, I. Methane release and coastal environment in the East Siberian Arctic shelf. J. Mar. Syst. 2007, 66, 227–243. [Google Scholar] [CrossRef]
- Moridis, G.J.; Kowalsky, M.B.; Pruess, K. TOUGH+HYDRATE v1.2 User’s Manual: A Code for The Simulation of System Behavior in Hydrate-Bearing Geological Media. 2012. Available online: https://tough.lbl.gov/assets/docs/TplusH_Manual_v1.pdf (accessed on 26 July 2019).
- Dickens, G.R.; Quinby-Hunt, M.S. Methane hydrate stability in pore water: A simple theoretical approach for geophysical applications. JGR 1997, 102, 773–783. [Google Scholar] [CrossRef]
- Ladd, M. Introduction to Physical Chemistry; Cambridge University Press: Cambridge, UK, 1998. [Google Scholar]
- Betlem, P.; Senger, K.; Hodson, A. 3D thermobaric modelling of the gas hydrate stability zone onshore central Spitsbergen, Arctic Norway. Mar. Pet. Geol. 2019, 100, 246–262. [Google Scholar] [CrossRef]
- Tinivella, U.; Giustiniani, M. Variations in BSR depth due to gas hydrate stability versus pore pressure. Glob. Planet. Chang. 2013, 100, 119–128. [Google Scholar] [CrossRef]
- Shakhova, N.; Semiletov, I.; Gustafsson, O.; Sergienko, V.; Lobkovsky, L.; Dudarev, O.; Tumskoy, V.; Grigoriev, M.; Mazurov, A.; Salyuk, A.; et al. Current rates and mechanisms of subsea permafrost degradation in the East Siberian Arctic Shelf. Nat. Commun. 2017, 8, 15872. [Google Scholar] [CrossRef] [PubMed]


| T (°C) | GG (C/km) | WD (m) | Sice (%) | a1 (MPa) | a2 | a3 (MPa−1) | SD (MPa) | Min PSAP (MPa) | Max PSAP (MPa) | Min PGHSZ (MPa) | Max PGHSZ (MPa) | 
|---|---|---|---|---|---|---|---|---|---|---|---|
| −1.0 | 20 | 50 | 100 | 28.7 | 1.47 | −0.008 | 0.008 | 2.5 | 12.2 | 32.2 | 45.5 | 
| −1.0 | 20 | 50 | 90 | 28.9 | 1.30 | −0.006 | 0.009 | 2.5 | 12.4 | 32.1 | 44.0 | 
| −1.0 | 20 | 50 | 80 | 29.0 | 1.17 | −0.008 | 0.004 | 2.5 | 7.0 | 31.9 | 36.8 | 
| −1.0 | 20 | 75 | 100 | 28.7 | 1.47 | −0.007 | 0.012 | 2.4 | 12.8 | 32.2 | 46.3 | 
| −1.0 | 20 | 75 | 90 | 29.0 | 1.30 | −0.006 | 0.008 | 2.5 | 13.0 | 32.2 | 44.9 | 
| −1.0 | 20 | 75 | 80 | 29.3 | 1.13 | −0.005 | 0.003 | 2.5 | 7.6 | 32.1 | 37.7 | 
| −1.0 | 20 | 100 | 100 | 28.7 | 1.46 | −0.007 | 0.014 | 2.9 | 13.4 | 32.8 | 47.1 | 
| −1.0 | 20 | 100 | 90 | 29.2 | 1.29 | −0.006 | 0.013 | 2.9 | 13.6 | 32.8 | 45.7 | 
| −1.0 | 20 | 100 | 80 | 29.6 | 1.12 | −0.004 | 0.003 | 2.9 | 8.2 | 32.8 | 38.6 | 
| −1.0 | 20 | 125 | 100 | 28.7 | 1.45 | −0.006 | 0.011 | 3.5 | 14.1 | 33.7 | 47.9 | 
| −1.0 | 20 | 125 | 90 | 29.3 | 1.29 | −0.006 | 0.011 | 3.5 | 14.3 | 33.7 | 46.5 | 
| −1.0 | 20 | 125 | 80 | 29.8 | 1.12 | −0.004 | 0.003 | 3.5 | 8.9 | 33.7 | 39.4 | 
| −1.0 | 30 | 50 | 100 | 14.9 | 1.56 | −0.014 | 0.014 | 2.5 | 12.2 | 18.7 | 31.9 | 
| −1.0 | 30 | 50 | 90 | 15.0 | 1.44 | −0.017 | 0.002 | 2.5 | 8.6 | 18.5 | 26.3 | 
| −1.0 | 30 | 50 | 80 | 15.1 | 1.33 | −0.021 | 0.001 | 2.5 | 5.0 | 18.3 | 21.2 | 
| −1.0 | 30 | 75 | 100 | 15.0 | 1.55 | −0.013 | 0.022 | 2.4 | 12.8 | 18.6 | 32.8 | 
| −1.0 | 30 | 75 | 90 | 15.2 | 1.43 | −0.015 | 0.005 | 2.5 | 9.3 | 18.6 | 27.1 | 
| −1.0 | 30 | 75 | 80 | 15.4 | 1.30 | −0.018 | 0.001 | 2.5 | 5.6 | 18.5 | 22.1 | 
| −1.0 | 30 | 100 | 100 | 15.1 | 1.53 | −0.012 | 0.017 | 2.9 | 13.4 | 19.3 | 33.6 | 
| −1.0 | 30 | 100 | 90 | 15.3 | 1.41 | −0.014 | 0.004 | 2.9 | 9.9 | 19.3 | 28.0 | 
| −1.0 | 30 | 100 | 80 | 15.7 | 1.26 | −0.014 | 0.001 | 2.9 | 6.2 | 19.2 | 23.0 | 
| −1.0 | 30 | 125 | 100 | 15.1 | 1.52 | −0.011 | 0.013 | 3.5 | 14.1 | 20.3 | 34.3 | 
| −1.0 | 30 | 125 | 90 | 15.5 | 1.38 | −0.011 | 0.002 | 3.5 | 10.5 | 20.2 | 28.8 | 
| −1.0 | 30 | 125 | 80 | 16.0 | 1.25 | −0.014 | 0.001 | 3.5 | 6.9 | 20.2 | 23.9 | 
| −1.0 | 40 | 50 | 100 | 8.7 | 1.65 | −0.019 | 0.045 | 2.5 | 12.2 | 12.6 | 26.0 | 
| −1.0 | 40 | 50 | 90 | 8.5 | 1.65 | −0.034 | 0.001 | 2.5 | 6.9 | 12.4 | 18.3 | 
| −1.0 | 40 | 50 | 80 | 8.6 | 1.57 | −0.044 | 0.000 | 2.5 | 4.1 | 12.2 | 14.2 | 
| −1.0 | 40 | 75 | 100 | 8.8 | 1.63 | −0.018 | 0.065 | 2.4 | 12.8 | 12.6 | 26.7 | 
| −1.0 | 40 | 75 | 90 | 8.8 | 1.60 | −0.029 | 0.003 | 2.5 | 7.5 | 12.5 | 19.2 | 
| −1.0 | 40 | 75 | 80 | 9.0 | 1.49 | −0.035 | 0.000 | 2.5 | 4.7 | 12.4 | 15.2 | 
| −1.0 | 40 | 100 | 100 | 8.9 | 1.60 | −0.016 | 0.047 | 2.9 | 13.4 | 13.3 | 27.5 | 
| −1.0 | 40 | 100 | 90 | 9.0 | 1.55 | −0.024 | 0.002 | 2.9 | 8.1 | 13.2 | 20.0 | 
| −1.0 | 40 | 100 | 80 | 9.2 | 1.49 | −0.036 | 0.000 | 2.9 | 5.3 | 13.2 | 16.1 | 
| −1.0 | 40 | 125 | 100 | 9.1 | 1.55 | −0.014 | 0.026 | 3.5 | 14.1 | 14.3 | 28.3 | 
| −1.0 | 40 | 125 | 90 | 9.3 | 1.49 | −0.020 | 0.001 | 3.5 | 8.8 | 14.3 | 20.9 | 
| −1.0 | 40 | 125 | 80 | 9.7 | 1.37 | −0.024 | 0.000 | 3.5 | 6.0 | 14.2 | 17.1 | 
| −1.5 | 20 | 50 | 100 | 29.6 | 1.45 | −0.007 | 0.011 | 2.2 | 12.2 | 32.9 | 46.3 | 
| −1.5 | 20 | 50 | 90 | 29.9 | 1.29 | −0.006 | 0.007 | 2.3 | 12.4 | 32.7 | 44.9 | 
| −1.5 | 20 | 50 | 80 | 30.1 | 1.12 | −0.005 | 0.004 | 2.3 | 9.7 | 32.6 | 40.5 | 
| −1.5 | 20 | 75 | 100 | 29.6 | 1.46 | −0.007 | 0.014 | 2.2 | 12.8 | 32.8 | 47.1 | 
| −1.5 | 20 | 75 | 90 | 30.0 | 1.28 | −0.006 | 0.013 | 2.2 | 13.0 | 32.8 | 45.7 | 
| −1.5 | 20 | 75 | 80 | 30.3 | 1.13 | −0.005 | 0.006 | 2.2 | 10.3 | 32.8 | 41.4 | 
| −1.5 | 20 | 100 | 100 | 29.7 | 1.44 | −0.006 | 0.011 | 2.9 | 13.4 | 33.7 | 47.9 | 
| −1.5 | 20 | 100 | 90 | 30.1 | 1.28 | −0.006 | 0.011 | 2.9 | 13.6 | 33.7 | 46.5 | 
| −1.5 | 20 | 100 | 80 | 30.5 | 1.12 | −0.005 | 0.006 | 2.9 | 10.9 | 33.7 | 42.2 | 
| −1.5 | 20 | 125 | 100 | 29.7 | 1.44 | −0.006 | 0.009 | 3.5 | 14.1 | 34.6 | 48.7 | 
| −1.5 | 20 | 125 | 90 | 30.2 | 1.27 | −0.005 | 0.009 | 3.5 | 14.3 | 34.6 | 47.4 | 
| −1.5 | 20 | 125 | 80 | 30.7 | 1.12 | −0.005 | 0.008 | 3.5 | 11.6 | 34.6 | 43.0 | 
| −1.5 | 30 | 50 | 100 | 15.6 | 1.54 | −0.013 | 0.012 | 2.2 | 12.2 | 19.0 | 32.5 | 
| −1.5 | 30 | 50 | 90 | 15.9 | 1.37 | −0.011 | 0.012 | 2.3 | 12.4 | 18.8 | 31.1 | 
| −1.5 | 30 | 50 | 80 | 15.9 | 1.27 | −0.015 | 0.001 | 2.3 | 7.0 | 18.7 | 24.0 | 
| −1.5 | 30 | 75 | 100 | 15.7 | 1.53 | −0.012 | 0.024 | 2.2 | 12.8 | 19.0 | 33.3 | 
| −1.5 | 30 | 75 | 90 | 16.0 | 1.35 | −0.010 | 0.018 | 2.2 | 13.0 | 18.9 | 31.9 | 
| −1.5 | 30 | 75 | 80 | 16.2 | 1.25 | −0.013 | 0.001 | 2.2 | 7.6 | 18.9 | 24.9 | 
| −1.5 | 30 | 100 | 100 | 15.7 | 1.51 | −0.011 | 0.011 | 2.9 | 13.4 | 19.9 | 34.1 | 
| −1.5 | 30 | 100 | 90 | 16.2 | 1.34 | −0.009 | 0.009 | 2.9 | 13.6 | 19.9 | 32.7 | 
| −1.5 | 30 | 100 | 80 | 16.5 | 1.21 | −0.011 | 0.002 | 2.9 | 8.2 | 19.9 | 25.7 | 
| −1.5 | 30 | 125 | 100 | 15.8 | 1.49 | −0.010 | 0.015 | 3.5 | 14.1 | 20.9 | 34.9 | 
| −1.5 | 30 | 125 | 90 | 16.3 | 1.32 | −0.008 | 0.010 | 3.5 | 14.3 | 20.9 | 33.5 | 
| −1.5 | 30 | 125 | 80 | 16.8 | 1.19 | −0.009 | 0.001 | 3.5 | 8.9 | 20.8 | 26.6 | 
| −1.5 | 40 | 50 | 100 | 9.3 | 1.62 | −0.018 | 0.052 | 2.2 | 12.2 | 12.7 | 26.4 | 
| −1.5 | 40 | 50 | 90 | 9.3 | 1.52 | −0.022 | 0.007 | 2.3 | 9.5 | 12.6 | 21.8 | 
| −1.5 | 40 | 50 | 80 | 9.3 | 1.45 | −0.032 | 0.000 | 2.3 | 5.4 | 12.5 | 16.2 | 
| −1.5 | 40 | 75 | 100 | 9.3 | 1.61 | −0.018 | 0.060 | 2.2 | 12.8 | 12.7 | 27.2 | 
| −1.5 | 40 | 75 | 90 | 9.5 | 1.49 | −0.020 | 0.012 | 2.2 | 10.1 | 12.7 | 22.6 | 
| −1.5 | 40 | 75 | 80 | 9.6 | 1.42 | -0.029 | 0.001 | 2.2 | 6.0 | 12.7 | 17.2 | 
| -1.5 | 40 | 100 | 100 | 9.5 | 1.57 | -0.015 | 0.044 | 2.9 | 13.4 | 13.8 | 27.9 | 
| −1.5 | 40 | 100 | 90 | 9.8 | 1.45 | −0.017 | 0.009 | 2.9 | 10.8 | 13.7 | 23.4 | 
| −1.5 | 40 | 100 | 80 | 10.0 | 1.37 | −0.024 | 0.000 | 2.9 | 6.7 | 13.7 | 18.1 | 
| −1.5 | 40 | 125 | 100 | 9.6 | 1.54 | −0.013 | 0.023 | 3.5 | 14.1 | 14.8 | 28.7 | 
| −1.5 | 40 | 125 | 90 | 10.0 | 1.40 | −0.014 | 0.007 | 3.5 | 11.4 | 14.7 | 24.3 | 
| −1.5 | 40 | 125 | 80 | 10.4 | 1.28 | −0.016 | 0.001 | 3.5 | 7.3 | 14.7 | 18.9 | 
| −2.0 | 20 | 50 | 100 | 30.6 | 1.44 | −0.007 | 0.013 | 2.0 | 12.2 | 33.4 | 47.1 | 
| −2.0 | 20 | 50 | 90 | 30.8 | 1.27 | −0.005 | 0.011 | 2.0 | 12.4 | 33.4 | 45.7 | 
| −2.0 | 20 | 50 | 80 | 31.0 | 1.12 | −0.005 | 0.009 | 2.0 | 12.6 | 33.3 | 44.3 | 
| −2.0 | 20 | 75 | 100 | 30.6 | 1.44 | −0.006 | 0.011 | 2.2 | 12.8 | 33.7 | 47.9 | 
| −2.0 | 20 | 75 | 90 | 30.9 | 1.27 | −0.006 | 0.011 | 2.2 | 13.0 | 33.7 | 46.5 | 
| −2.0 | 20 | 75 | 80 | 31.2 | 1.11 | −0.004 | 0.008 | 2.2 | 13.2 | 33.7 | 45.1 | 
| −2.0 | 20 | 100 | 100 | 30.6 | 1.44 | −0.006 | 0.009 | 2.9 | 13.4 | 34.6 | 48.7 | 
| −2.0 | 20 | 100 | 90 | 31.0 | 1.26 | −0.005 | 0.009 | 2.9 | 13.6 | 34.6 | 47.4 | 
| −2.0 | 20 | 100 | 80 | 31.4 | 1.11 | −0.004 | 0.011 | 2.9 | 13.8 | 34.6 | 46.0 | 
| −2.0 | 20 | 125 | 100 | 30.6 | 1.42 | −0.006 | 0.012 | 3.5 | 14.1 | 35.6 | 49.5 | 
| −2.0 | 20 | 125 | 90 | 31.2 | 1.26 | −0.005 | 0.013 | 3.5 | 14.3 | 35.5 | 48.2 | 
| −2.0 | 20 | 125 | 80 | 31.7 | 1.10 | −0.004 | 0.009 | 3.5 | 14.5 | 35.5 | 46.8 | 
| −2.0 | 30 | 50 | 100 | 16.3 | 1.52 | −0.012 | 0.016 | 2.0 | 12.2 | 19.3 | 33.0 | 
| −2.0 | 30 | 50 | 90 | 16.5 | 1.35 | −0.010 | 0.013 | 2.0 | 12.4 | 19.2 | 31.7 | 
| −2.0 | 30 | 50 | 80 | 16.7 | 1.20 | −0.010 | 0.002 | 2.3 | 8.8 | 19.4 | 26.5 | 
| −2.0 | 30 | 75 | 100 | 16.4 | 1.51 | −0.011 | 0.013 | 2.2 | 12.8 | 19.6 | 33.8 | 
| −2.0 | 30 | 75 | 90 | 16.7 | 1.34 | −0.010 | 0.016 | 2.2 | 13.0 | 19.6 | 32.5 | 
| −2.0 | 30 | 75 | 80 | 16.9 | 1.20 | −0.010 | 0.003 | 2.2 | 9.4 | 19.5 | 27.3 | 
| −2.0 | 30 | 100 | 100 | 16.4 | 1.50 | −0.011 | 0.013 | 2.9 | 13.4 | 20.6 | 34.6 | 
| −2.0 | 30 | 100 | 90 | 16.8 | 1.33 | −0.009 | 0.008 | 2.9 | 13.6 | 20.5 | 33.3 | 
| −2.0 | 30 | 100 | 80 | 17.2 | 1.17 | −0.008 | 0.003 | 2.9 | 10.0 | 20.5 | 28.1 | 
| −2.0 | 30 | 125 | 100 | 16.5 | 1.47 | −0.009 | 0.008 | 3.5 | 14.1 | 21.5 | 35.4 | 
| −2.0 | 30 | 125 | 90 | 17.0 | 1.31 | −0.008 | 0.009 | 3.5 | 14.3 | 21.5 | 34.1 | 
| −2.0 | 30 | 125 | 80 | 17.5 | 1.16 | −0.008 | 0.003 | 3.5 | 10.7 | 21.4 | 29.0 | 
| −2.0 | 40 | 50 | 100 | 9.9 | 1.60 | −0.018 | 0.053 | 2.0 | 12.2 | 12.9 | 26.7 | 
| −2.0 | 40 | 50 | 90 | 10.1 | 1.43 | −0.015 | 0.038 | 2.0 | 12.4 | 12.8 | 25.4 | 
| −2.0 | 40 | 50 | 80 | 10.0 | 1.36 | −0.023 | 0.001 | 2.3 | 7.0 | 13.0 | 18.4 | 
| −2.0 | 40 | 75 | 100 | 9.9 | 1.58 | −0.016 | 0.047 | 2.2 | 12.8 | 13.3 | 27.5 | 
| −2.0 | 40 | 75 | 90 | 10.2 | 1.41 | −0.014 | 0.034 | 2.2 | 13.0 | 13.2 | 26.2 | 
| −2.0 | 40 | 75 | 80 | 10.3 | 1.33 | −0.021 | 0.002 | 2.2 | 7.6 | 13.2 | 19.3 | 
| −2.0 | 40 | 100 | 100 | 10.1 | 1.54 | −0.014 | 0.026 | 2.9 | 13.4 | 14.3 | 28.3 | 
| −2.0 | 40 | 100 | 90 | 10.5 | 1.37 | −0.012 | 0.021 | 2.9 | 13.6 | 14.3 | 27.0 | 
| −2.0 | 40 | 100 | 80 | 10.7 | 1.28 | −0.017 | 0.001 | 2.9 | 8.2 | 14.2 | 20.1 | 
| −2.0 | 40 | 125 | 100 | 10.2 | 1.51 | −0.012 | 0.025 | 3.5 | 14.1 | 15.3 | 29.1 | 
| −2.0 | 40 | 125 | 90 | 10.7 | 1.34 | −0.010 | 0.014 | 3.5 | 14.3 | 15.2 | 27.8 | 
| −2.0 | 40 | 125 | 80 | 11.1 | 1.23 | −0.013 | 0.002 | 3.5 | 8.9 | 15.2 | 21.0 | 
| T (°C) | GG (°C/km) | WD (m) | Sice (%) | a1 (MPa) | a2 | a3 (MPa−1) | SD (MPa) | Min PSAP (MPa) | Max PSAP (MPa) | Min PGHSZ (MPa) | Max PGHSZ (MPa) | 
|---|---|---|---|---|---|---|---|---|---|---|---|
| −1.0 | 20 | 50 | 100 | 25.3 | 1.53 | −0.009 | 0.012 | 2.9 | 12.2 | 29.6 | 42.5 | 
| −1.0 | 20 | 50 | 90 | 25.5 | 1.36 | −0.008 | 0.009 | 2.9 | 12.4 | 29.4 | 41.1 | 
| −1.0 | 20 | 50 | 80 | 25.6 | 1.23 | −0.010 | 0.002 | 2.9 | 7.0 | 29.2 | 33.7 | 
| −1.0 | 20 | 75 | 100 | 25.3 | 1.53 | −0.010 | 0.007 | 2.9 | 12.8 | 29.6 | 43.3 | 
| −1.0 | 20 | 75 | 90 | 25.6 | 1.36 | −0.008 | 0.010 | 2.9 | 13.0 | 29.5 | 41.9 | 
| −1.0 | 20 | 75 | 80 | 25.9 | 1.21 | −0.009 | 0.002 | 2.9 | 7.6 | 29.3 | 34.6 | 
| −1.0 | 20 | 100 | 100 | 25.3 | 1.53 | −0.009 | 0.014 | 2.9 | 13.4 | 29.6 | 44.2 | 
| −1.0 | 20 | 100 | 90 | 25.8 | 1.34 | −0.007 | 0.012 | 2.9 | 13.6 | 29.6 | 42.8 | 
| −1.0 | 20 | 100 | 80 | 26.2 | 1.19 | −0.007 | 0.003 | 2.9 | 8.2 | 29.5 | 35.5 | 
| −1.0 | 20 | 125 | 100 | 25.4 | 1.51 | −0.008 | 0.014 | 3.5 | 14.1 | 30.5 | 45.0 | 
| −1.0 | 20 | 125 | 90 | 25.9 | 1.34 | −0.007 | 0.009 | 3.5 | 14.3 | 30.5 | 43.6 | 
| −1.0 | 20 | 125 | 80 | 26.4 | 1.18 | −0.006 | 0.003 | 3.5 | 8.9 | 30.5 | 36.4 | 
| −1.0 | 30 | 50 | 100 | 12.5 | 1.65 | −0.017 | 0.021 | 2.9 | 12.2 | 17.1 | 30.1 | 
| −1.0 | 30 | 50 | 90 | 12.5 | 1.55 | −0.021 | 0.003 | 2.9 | 8.6 | 16.8 | 24.3 | 
| −1.0 | 30 | 50 | 80 | 12.5 | 1.47 | −0.030 | 0.000 | 2.9 | 5.0 | 16.6 | 19.0 | 
| −1.0 | 30 | 75 | 100 | 12.5 | 1.63 | −0.016 | 0.032 | 2.9 | 12.8 | 17.0 | 30.9 | 
| −1.0 | 30 | 75 | 90 | 12.7 | 1.52 | −0.019 | 0.002 | 2.9 | 9.3 | 16.9 | 25.2 | 
| −1.0 | 30 | 75 | 80 | 12.8 | 1.45 | −0.029 | 0.000 | 2.9 | 5.6 | 16.8 | 20.0 | 
| −1.0 | 30 | 100 | 100 | 12.6 | 1.63 | −0.015 | 0.031 | 2.9 | 13.4 | 17.0 | 31.7 | 
| −1.0 | 30 | 100 | 90 | 12.9 | 1.50 | −0.017 | 0.004 | 2.9 | 9.9 | 17.0 | 26.0 | 
| −1.0 | 30 | 100 | 80 | 13.1 | 1.39 | −0.022 | 0.001 | 2.9 | 6.2 | 17.0 | 21.0 | 
| −1.0 | 30 | 125 | 100 | 12.7 | 1.59 | −0.013 | 0.024 | 3.5 | 14.1 | 18.1 | 32.5 | 
| −1.0 | 30 | 125 | 90 | 13.1 | 1.47 | −0.015 | 0.003 | 3.5 | 10.5 | 18.0 | 26.9 | 
| −1.0 | 30 | 125 | 80 | 13.5 | 1.34 | −0.018 | 0.001 | 3.5 | 6.9 | 18.0 | 21.9 | 
| −1.0 | 40 | 50 | 100 | 6.7 | 1.76 | −0.024 | 0.073 | 2.9 | 12.2 | 11.5 | 24.6 | 
| −1.0 | 40 | 50 | 90 | 6.2 | 1.87 | −0.048 | 0.003 | 2.9 | 6.9 | 11.2 | 16.8 | 
| −1.0 | 40 | 50 | 80 | 5.7 | 2.00 | −0.085 | 0.000 | 2.9 | 4.1 | 10.9 | 12.5 | 
| −1.0 | 40 | 75 | 100 | 6.8 | 1.74 | −0.023 | 0.092 | 2.9 | 12.8 | 11.5 | 25.4 | 
| −1.0 | 40 | 75 | 90 | 6.5 | 1.81 | −0.042 | 0.005 | 2.9 | 7.5 | 11.3 | 17.7 | 
| −1.0 | 40 | 75 | 80 | 6.3 | 1.86 | −0.069 | 0.000 | 2.9 | 4.7 | 11.1 | 13.5 | 
| −1.0 | 40 | 100 | 100 | 6.9 | 1.71 | −0.021 | 0.121 | 2.9 | 13.4 | 11.4 | 26.2 | 
| −1.0 | 40 | 100 | 90 | 6.7 | 1.74 | −0.036 | 0.006 | 2.9 | 8.1 | 11.4 | 18.6 | 
| −1.0 | 40 | 100 | 80 | 6.9 | 1.70 | −0.049 | 0.000 | 2.9 | 5.3 | 11.4 | 14.5 | 
| −1.0 | 40 | 125 | 100 | 7.1 | 1.66 | −0.018 | 0.062 | 3.5 | 14.1 | 12.6 | 27.0 | 
| −1.0 | 40 | 125 | 90 | 7.2 | 1.64 | −0.028 | 0.003 | 3.5 | 8.8 | 12.5 | 19.4 | 
| −1.0 | 40 | 125 | 80 | 7.6 | 1.52 | −0.032 | 0.000 | 3.5 | 6.0 | 12.5 | 15.5 | 
| −1.5 | 20 | 50 | 100 | 26.3 | 1.52 | −0.009 | 0.007 | 2.7 | 12.2 | 30.3 | 43.3 | 
| −1.5 | 20 | 50 | 90 | 26.5 | 1.34 | −0.008 | 0.009 | 2.7 | 12.4 | 30.1 | 41.9 | 
| −1.5 | 20 | 50 | 80 | 26.7 | 1.19 | −0.007 | 0.005 | 2.7 | 9.7 | 29.9 | 37.5 | 
| −1.5 | 20 | 75 | 100 | 26.3 | 1.51 | −0.009 | 0.012 | 2.7 | 12.8 | 30.2 | 44.2 | 
| −1.5 | 20 | 75 | 90 | 26.6 | 1.33 | −0.007 | 0.011 | 2.7 | 13.0 | 30.1 | 42.8 | 
| −1.5 | 20 | 75 | 80 | 26.9 | 1.19 | −0.008 | 0.004 | 2.7 | 10.3 | 30.0 | 38.3 | 
| −1.5 | 20 | 100 | 100 | 26.3 | 1.50 | −0.008 | 0.014 | 2.9 | 13.4 | 30.5 | 45.0 | 
| −1.5 | 20 | 100 | 90 | 26.8 | 1.33 | −0.007 | 0.009 | 2.9 | 13.6 | 30.5 | 43.6 | 
| −1.5 | 20 | 100 | 80 | 27.2 | 1.17 | −0.006 | 0.006 | 2.9 | 10.9 | 30.5 | 39.2 | 
| −1.5 | 20 | 125 | 100 | 26.4 | 1.49 | −0.008 | 0.010 | 3.5 | 14.1 | 31.5 | 45.8 | 
| −1.5 | 20 | 125 | 90 | 26.9 | 1.32 | −0.006 | 0.015 | 3.5 | 14.3 | 31.4 | 44.5 | 
| −1.5 | 20 | 125 | 80 | 27.4 | 1.16 | −0.006 | 0.005 | 3.5 | 11.6 | 31.4 | 40.0 | 
| −1.5 | 30 | 50 | 100 | 13.3 | 1.61 | −0.016 | 0.020 | 2.7 | 12.2 | 17.4 | 30.6 | 
| −1.5 | 30 | 50 | 90 | 13.4 | 1.44 | −0.014 | 0.016 | 2.7 | 12.4 | 17.2 | 29.2 | 
| −1.5 | 30 | 50 | 80 | 13.4 | 1.35 | −0.019 | 0.001 | 2.7 | 7.0 | 17.0 | 22.0 | 
| −1.5 | 30 | 75 | 100 | 13.3 | 1.61 | −0.016 | 0.022 | 2.7 | 12.8 | 17.4 | 31.4 | 
| −1.5 | 30 | 75 | 90 | 13.6 | 1.43 | −0.013 | 0.014 | 2.7 | 13.0 | 17.3 | 30.1 | 
| −1.5 | 30 | 75 | 80 | 13.7 | 1.35 | −0.019 | 0.001 | 2.7 | 7.6 | 17.2 | 22.9 | 
| −1.5 | 30 | 100 | 100 | 13.3 | 1.59 | −0.014 | 0.029 | 2.9 | 13.4 | 17.7 | 32.2 | 
| −1.5 | 30 | 100 | 90 | 13.8 | 1.41 | −0.012 | 0.019 | 2.9 | 13.6 | 17.7 | 30.9 | 
| −1.5 | 30 | 100 | 80 | 14.0 | 1.32 | −0.017 | 0.002 | 2.9 | 8.2 | 17.6 | 23.7 | 
| −1.5 | 30 | 125 | 100 | 13.4 | 1.56 | −0.012 | 0.019 | 3.5 | 14.1 | 18.7 | 33.1 | 
| −1.5 | 30 | 125 | 90 | 14.0 | 1.39 | −0.011 | 0.014 | 3.5 | 14.3 | 18.7 | 31.7 | 
| −1.5 | 30 | 125 | 80 | 14.3 | 1.28 | −0.013 | 0.002 | 3.5 | 8.9 | 18.7 | 24.6 | 
| −1.5 | 40 | 50 | 100 | 7.3 | 1.72 | −0.023 | 0.069 | 2.7 | 12.2 | 11.7 | 25.0 | 
| −1.5 | 40 | 50 | 90 | 7.2 | 1.65 | −0.029 | 0.015 | 2.7 | 9.5 | 11.4 | 20.4 | 
| −1.5 | 40 | 50 | 80 | 7.0 | 1.68 | −0.047 | 0.001 | 2.7 | 5.4 | 11.2 | 14.7 | 
| −1.5 | 40 | 75 | 100 | 7.4 | 1.70 | −0.021 | 0.089 | 2.7 | 12.8 | 11.7 | 25.8 | 
| −1.5 | 40 | 75 | 90 | 7.5 | 1.62 | −0.026 | 0.021 | 2.7 | 10.1 | 11.5 | 21.2 | 
| −1.5 | 40 | 75 | 80 | 7.4 | 1.61 | −0.041 | 0.001 | 2.7 | 6.0 | 11.4 | 15.6 | 
| −1.5 | 40 | 100 | 100 | 7.5 | 1.67 | −0.019 | 0.089 | 2.9 | 13.4 | 12.0 | 26.6 | 
| −1.5 | 40 | 100 | 90 | 7.7 | 1.57 | −0.023 | 0.017 | 2.9 | 10.8 | 12.0 | 22.1 | 
| −1.5 | 40 | 100 | 80 | 7.9 | 1.52 | −0.033 | 0.001 | 2.9 | 6.7 | 11.9 | 16.6 | 
| −1.5 | 40 | 125 | 100 | 7.7 | 1.62 | −0.016 | 0.047 | 3.5 | 14.1 | 13.1 | 27.4 | 
| −1.5 | 40 | 125 | 90 | 8.1 | 1.50 | −0.018 | 0.009 | 3.5 | 11.4 | 13.1 | 22.9 | 
| −1.5 | 40 | 125 | 80 | 8.3 | 1.45 | −0.027 | 0.000 | 3.5 | 7.3 | 13.0 | 17.4 | 
| −2.0 | 20 | 50 | 100 | 27.3 | 1.49 | −0.008 | 0.010 | 2.5 | 12.2 | 30.9 | 44.2 | 
| −2.0 | 20 | 50 | 90 | 27.5 | 1.32 | −0.007 | 0.009 | 2.5 | 12.4 | 30.7 | 42.8 | 
| −2.0 | 20 | 50 | 80 | 27.7 | 1.16 | −0.006 | 0.007 | 2.5 | 12.6 | 30.6 | 41.4 | 
| −2.0 | 20 | 75 | 100 | 27.3 | 1.48 | −0.008 | 0.012 | 2.4 | 12.8 | 30.9 | 45.0 | 
| −2.0 | 20 | 75 | 90 | 27.6 | 1.32 | −0.007 | 0.009 | 2.5 | 13.0 | 30.8 | 43.6 | 
| −2.0 | 20 | 75 | 80 | 27.9 | 1.15 | −0.006 | 0.009 | 2.5 | 13.2 | 30.7 | 42.2 | 
| −2.0 | 20 | 100 | 100 | 27.3 | 1.48 | −0.008 | 0.010 | 2.9 | 13.4 | 31.5 | 45.8 | 
| −2.0 | 20 | 100 | 90 | 27.7 | 1.31 | −0.006 | 0.015 | 2.9 | 13.6 | 31.4 | 44.5 | 
| −2.0 | 20 | 100 | 80 | 28.2 | 1.15 | −0.005 | 0.008 | 2.9 | 13.8 | 31.4 | 43.0 | 
| −2.0 | 20 | 125 | 100 | 27.4 | 1.47 | −0.007 | 0.014 | 3.5 | 14.1 | 32.4 | 46.7 | 
| −2.0 | 20 | 125 | 90 | 27.9 | 1.30 | −0.006 | 0.008 | 3.5 | 14.3 | 32.4 | 45.3 | 
| −2.0 | 20 | 125 | 80 | 28.4 | 1.13 | −0.005 | 0.011 | 3.5 | 14.5 | 32.4 | 43.9 | 
| −2.0 | 30 | 50 | 100 | 14.0 | 1.60 | −0.015 | 0.019 | 2.5 | 12.2 | 17.7 | 31.1 | 
| −2.0 | 30 | 50 | 90 | 14.2 | 1.42 | −0.013 | 0.014 | 2.5 | 12.4 | 17.6 | 29.8 | 
| −2.0 | 30 | 50 | 80 | 14.2 | 1.31 | −0.016 | 0.002 | 2.5 | 8.8 | 17.4 | 24.5 | 
| −2.0 | 30 | 75 | 100 | 14.0 | 1.58 | −0.014 | 0.024 | 2.4 | 12.8 | 17.7 | 32.0 | 
| −2.0 | 30 | 75 | 90 | 14.3 | 1.41 | −0.012 | 0.016 | 2.5 | 13.0 | 17.6 | 30.6 | 
| −2.0 | 30 | 75 | 80 | 14.5 | 1.28 | −0.014 | 0.003 | 2.5 | 9.4 | 17.6 | 25.3 | 
| −2.0 | 30 | 100 | 100 | 14.1 | 1.56 | −0.013 | 0.020 | 2.9 | 13.4 | 18.4 | 32.8 | 
| −2.0 | 30 | 100 | 90 | 14.5 | 1.39 | −0.011 | 0.018 | 2.9 | 13.6 | 18.3 | 31.4 | 
| −2.0 | 30 | 100 | 80 | 14.8 | 1.26 | −0.012 | 0.003 | 2.9 | 10.0 | 18.3 | 26.2 | 
| −2.0 | 30 | 125 | 100 | 14.2 | 1.54 | −0.011 | 0.018 | 3.5 | 14.1 | 19.4 | 33.6 | 
| −2.0 | 30 | 125 | 90 | 14.7 | 1.36 | −0.010 | 0.012 | 3.5 | 14.3 | 19.4 | 32.2 | 
| −2.0 | 30 | 125 | 80 | 15.1 | 1.23 | −0.011 | 0.003 | 3.5 | 10.7 | 19.3 | 27.0 | 
| −2.0 | 40 | 50 | 100 | 8.0 | 1.69 | −0.022 | 0.067 | 2.5 | 12.2 | 11.9 | 25.4 | 
| −2.0 | 40 | 50 | 90 | 8.1 | 1.52 | −0.019 | 0.052 | 2.5 | 12.4 | 11.7 | 24.1 | 
| −2.0 | 40 | 50 | 80 | 7.9 | 1.51 | −0.031 | 0.001 | 2.7 | 7.0 | 11.8 | 16.9 | 
| −2.0 | 40 | 75 | 100 | 8.0 | 1.67 | −0.020 | 0.091 | 2.4 | 12.8 | 11.8 | 26.2 | 
| −2.0 | 40 | 75 | 90 | 8.3 | 1.50 | −0.018 | 0.067 | 2.5 | 13.0 | 11.8 | 24.9 | 
| −2.0 | 40 | 75 | 80 | 8.2 | 1.48 | −0.029 | 0.003 | 2.5 | 7.6 | 11.7 | 17.8 | 
| −2.0 | 40 | 100 | 100 | 8.1 | 1.63 | −0.018 | 0.062 | 2.9 | 13.4 | 12.6 | 27.0 | 
| −2.0 | 40 | 100 | 90 | 8.6 | 1.46 | −0.015 | 0.045 | 2.9 | 13.6 | 12.5 | 25.6 | 
| −2.0 | 40 | 100 | 80 | 8.7 | 1.41 | −0.024 | 0.001 | 2.9 | 8.2 | 12.5 | 18.7 | 
| −2.0 | 40 | 125 | 100 | 8.3 | 1.59 | −0.015 | 0.040 | 3.5 | 14.1 | 13.6 | 27.7 | 
| −2.0 | 40 | 125 | 90 | 8.9 | 1.41 | −0.013 | 0.026 | 3.5 | 14.3 | 13.6 | 26.4 | 
| −2.0 | 40 | 125 | 80 | 9.1 | 1.34 | −0.018 | 0.002 | 3.5 | 8.9 | 13.6 | 19.5 | 
© 2019 by the authors. Licensee MDPI, Basel, Switzerland. This article is an open access article distributed under the terms and conditions of the Creative Commons Attribution (CC BY) license (http://creativecommons.org/licenses/by/4.0/).
Share and Cite
Tinivella, U.; Giustiniani, M.; Marín-Moreno, H. A Quick-Look Method for Initial Evaluation of Gas Hydrate Stability below Subaqueous Permafrost. Geosciences 2019, 9, 329. https://doi.org/10.3390/geosciences9080329
Tinivella U, Giustiniani M, Marín-Moreno H. A Quick-Look Method for Initial Evaluation of Gas Hydrate Stability below Subaqueous Permafrost. Geosciences. 2019; 9(8):329. https://doi.org/10.3390/geosciences9080329
Chicago/Turabian StyleTinivella, Umberta, Michela Giustiniani, and Héctor Marín-Moreno. 2019. "A Quick-Look Method for Initial Evaluation of Gas Hydrate Stability below Subaqueous Permafrost" Geosciences 9, no. 8: 329. https://doi.org/10.3390/geosciences9080329
APA StyleTinivella, U., Giustiniani, M., & Marín-Moreno, H. (2019). A Quick-Look Method for Initial Evaluation of Gas Hydrate Stability below Subaqueous Permafrost. Geosciences, 9(8), 329. https://doi.org/10.3390/geosciences9080329
 
        



 
       