Measuring Ganymede’s Librations with Laser Altimetry
Abstract
1. Introduction
2. Methods
2.1. Model of Ganymede’s Rotation State
2.2. Synthetic Topography
2.3. Generation of Synthetic Laser Observations
2.4. Inversion Strategy
3. Results
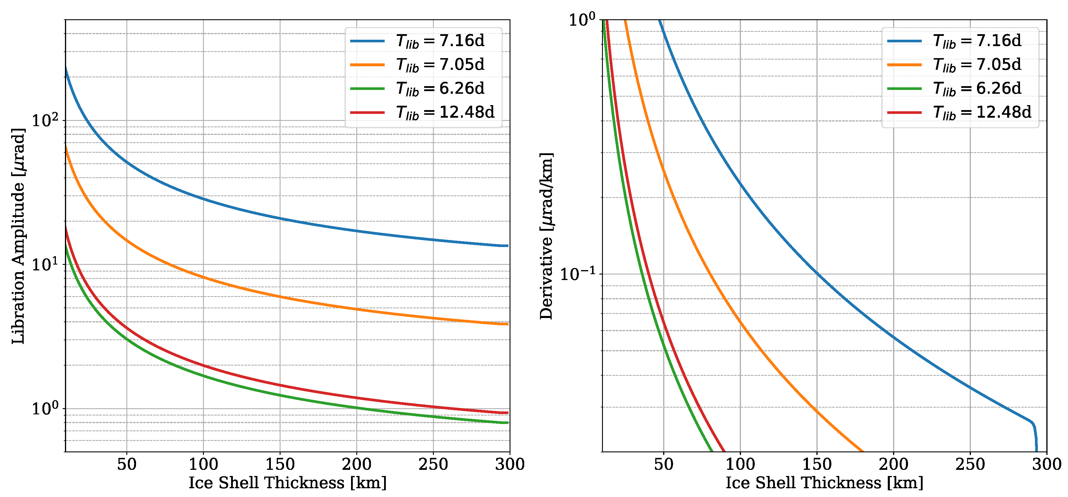
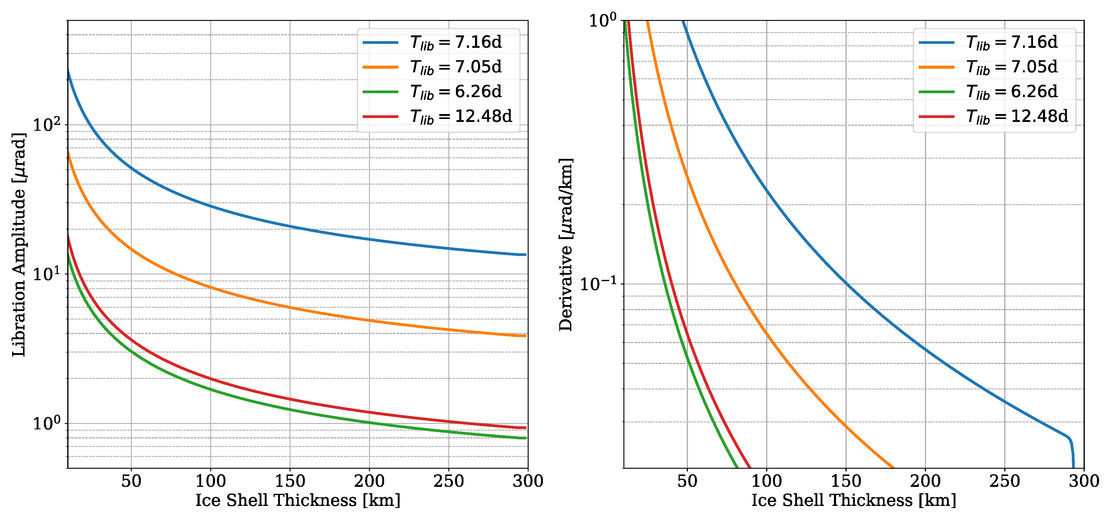
4. Implications for Ice Shell Thickness
5. Conclusions
Author Contributions
Funding
Acknowledgments
Conflicts of Interest
Abbreviations
| GALA | GAnymede Laser Altimeter |
| GCO | Ganymede Circular Orbit |
| IAU | International Astronomical Union |
| ICRF | International Celestial Reference Frame |
| JUICE | Jupiter Icy Moons Explorer |
| WGCCRE | Working Group for Cartographic Coordinates and Rotational Elements |
References
- Wu, X.; Bar-Sever, Y.E.; Folkner, W.M.; Williams, J.G.; Zumberge, J.F. Probing Europa’s hidden ocean from tidal effects on orbital dynamics. Geophys. Res. Lett. 2001, 28, 2245–2248. [Google Scholar] [CrossRef]
- Wahr, J.M.; Zuber, M.T.; Smith, D.E.; Luine, J.I. Tides on Europa, and the thickness of Europa’s icy shell. J. Geophys. Res. 2006, 111. [Google Scholar] [CrossRef]
- Baland, R.-M.; Yseboodt, M.; Van Hoolst, T. Obliquity of the Galilean satellites: The influence of a global internal liquid layer. Icarus 2012, 220, 435–448. [Google Scholar] [CrossRef]
- Van Hoolst, T.; Baland, R.-M.; Trinh, A. On the librations and tides of large icy satellites. Icarus 2013, 226, 299–315. [Google Scholar] [CrossRef]
- Goldreich, P.; Peale, S. Spin-orbit coupling in the solar system. Astronomical 1966, 71, 425. [Google Scholar] [CrossRef]
- Anderson, J.D.; Lau, E.L.; Sjogren, W.L.; Schubert, G.; Moore, W.B. Gravitational constraints on the internal structure of Ganymede. Nature 1996, 384, 541–543. [Google Scholar] [CrossRef]
- Murray, C.D.; Dermott, S.F. Solar System Dynamics; Cambridge University Press: Cambridge, UK, 2000; ISBN 9781139174817. [Google Scholar]
- Schubert, G.; Anderson, J.D.; Spohn, T.; McKinnon, W.B. Interior composition, structure and dynamics of the Galilean satellites. In Jupiter. The Planet, Satellites and Magnetosphere; Bagenal, F., Dowling, T.E., McKinnon, W.B., Eds.; Cambridge University Press: Cambridge, UK, 2004; pp. 281–306. ISBN 0-521-81808-7. [Google Scholar]
- Kivelson, M.G.; Khurana, K.K.; Volwerk, M. The permanent and inductive magnetic moments of Ganymede. Icarus 2002, 157, 507–522. [Google Scholar] [CrossRef]
- Spohn, T.; Schubert, G. Oceans in the icy Galilean satellites of Jupiter. Icarus 2003, 161, 456–467. [Google Scholar] [CrossRef]
- Vance, S.; Bouffard, M.; Choukroun, M.; Sotin, C. Ganymede’s internal structure including thermodynamics of magnesium sulfate oceans in contact with ice. Planet. Space Sci. 2014, 96, 62–70. [Google Scholar] [CrossRef]
- Moore, W.B.; Schubert, G. The tidal response of Ganymede and Callisto with and without liquid water oceans. Icarus 2003, 16, 223–226. [Google Scholar] [CrossRef]
- Steinbrügge, G.; Stark, A.; Hussmann, H.; Sohl, F.; Oberst, J. Measuring tidal deformations by laser altimetry. A performance model for the Ganymede Laser Altimeter. Planet. Space Sci. 2015, 314, 35–49. [Google Scholar] [CrossRef]
- Grasset, O.; Dougherty, M.; Coustenis, A.; Bunce, E.; Erd, C.; Titove, D.; Blanc, M.; Coates, A.; Drossart, P.; Fletcher, L.; et al. JUpiter ICy moons Explorer (JUICE): An ESA mission to orbit Ganymede and to characterise the Jupiter system. Planet. Space Sci. 2013, 78. [Google Scholar] [CrossRef]
- Phillips, B.; Pappalardo, R. Europa Clipper Mission Concept: Exploring Jupiter’s Ocean Moon. Eos 2014, 95, 165–167. [Google Scholar] [CrossRef]
- Verma, A.K.; Margot, J.L. Expected Precision of Europa Clipper Gravity Measurements. Icarus 2014, 314, 35–49. [Google Scholar] [CrossRef]
- Steinbrügge, G.; Schroeder, D.M.; Haynes, M.S.; Hussmann, H.; Grima, C.; Blankenship, D.D. Assessing the potential for measuring Europa’s tidal Love number h2 using radar sounder and topographic imager data. Earth Planet. Sci. Lett. 2018, 482, 334–341. [Google Scholar] [CrossRef]
- Parisi, M.; Iess, L.; Finocchiaro, S. The gravity fields of Ganymede, Callisto and Europa: How well can JUICE do? Geophys. Res. Abstr. EGU 2014 2014, 16, 11758. [Google Scholar]
- Steinbrügge, G.; Padovan, S.; Hussmann, H.; Steinke, T.; Stark, A.; Oberst, J. Viscoelastic Tides of Mercury and the Determination of its Inner Core Size. J. Geophys. Res. Planets 2018, 123, 2760–2772. [Google Scholar] [CrossRef]
- Thomas, P.C.; Tajeddine, R.; Tiscareno, M.S.; Burns, J.A.; Joseph, J.; Loredo, T.J.; Helfenstein, P.; Porco, C. Enceladus’s measured physical libration requires a global subsurface ocean. Icarus 2016, 264, 37–47. [Google Scholar] [CrossRef]
- Rambaux, T.; Van Hoolst, T.; Karatekin, O. Librational response of Europa, Ganymede, and Callisto with an ocean for a non-Keplerian orbit. Astron. Astrophys. 2011, 527, A118. [Google Scholar] [CrossRef]
- Jara-Orué, H.M.; Vermeersen, B.L.A. The forced libration of Europa’s deformable shell and its dependence on interior parameters. Icarus 2014, 229, 31–44. [Google Scholar] [CrossRef]
- Hussmann, H.; Lingenauber, K.; Oberst, J.; Kobayashi, M.; Namiki, N.; Kimura, J.; Thomas, N.; Lara, L.; Steinbrügge, G. The Ganymede Laser Altimeter (GALA). EPSC 2014, 9, 347. [Google Scholar]
- Hussmann, H.; Lingenauber, K.; Oberst, J.; Enya, K.; Kobayashi, M.; Namiki, N.; Kimura, J.; Thomas, N.; Lara, L.; Steinbrügge, G.; et al. The Ganymede Laser Altimeter. EPSC 2017, 11, 567. [Google Scholar]
- Kimura, J.; Hussmann, H.; Kamata, S.; Matsumoto, K.; Oberst, J.; Steinbrügge, G.; Stark, A.; Gwinner, K.; Oshigami, S.; Namiki, N.; et al. Science Objectives of the Ganymede Laser Altimeter (GALA) for the JUICE mission. Trans. Jpn. Soc. Aeronaut. Space Sci. 2019, 17, 234–243. [Google Scholar] [CrossRef]
- Koch, C.; Christensen, U.; Kallenbach, R. Simultaneous determination of global topography, tidal Love number and libration amplitude of Mercury by laser altimetry. Planet. Space Sci. 2008, 56, 1226–1237. [Google Scholar] [CrossRef]
- Koch, C.; Kallenbach, R.; Christensen, U. Mercury’s global topography and tidal signal from laser altimetry by using a rectangular grid. Planet. Space Sci. 2010, 58, 2022–2030. [Google Scholar] [CrossRef]
- Archinal, B.A.; A’Hearn, M.F.; Bowell, E.; Conrad, A.; Consolmagno, G.J.; Courtin, R.; Fukushima, T.; Hestroffer, D.; Hilton, J.L.; Krasinsky, G.A.; et al. Report of the IAU Working Group on Cartographic Coordinates and Rotational Elements: 2009. Celest. Mech. Dyn. Astron. 2011, 109, 101–135. [Google Scholar] [CrossRef]
- Lieske, J.H. Poles of the Galilean satellites. Astron. Astrophys. 1979, 75, 158–165. [Google Scholar]
- Lainey, V.; Duriez, L.; Vienne, A. Synthetic representation of the Galilean satellites’ orbital motions from L1 ephemerides. Astron. Astrophys. 2006, 456, 783–788. [Google Scholar] [CrossRef]
- Lainey, V.; Arlot, J.-E.; Karatekin, Ö.; Van Hoolst, T. Synthetic representation of the Galilean satellites’ orbital motions from L1 ephemerides. Nature 2009, 459, 957–959. [Google Scholar] [CrossRef]
- Stark, A.; Oberst, J.; Hussmann, H. Mercury’s resonant rotation from secular orbital elements. Celest. Mech. Dyn. Astron. 2015, 123, 263–277. [Google Scholar] [CrossRef]
- Zubarev, A.; Nadezhdina, I.; Oberst, J.; Hussmann, H.; Stark, A. New Ganymede control point network and global shape model. Planet. Space Sci. 2015, 117, 246–249. [Google Scholar] [CrossRef]
- Sayles, R.S.; Thomas, T.R. Topography of random surfaces. Nature 1978, 271, 273–573. [Google Scholar] [CrossRef]
- Bills, B.G.; Kobrick, M. Venus topography: A harmonic analysis. J. Geophys. Res. Solid Earth 1985, 90, 827–836. [Google Scholar] [CrossRef]
- Steinbrügge, G.; Stark, A.; Hussmann, H.; Wickhusen, K.; Oberst, J. The performance of the BepiColombo Laser Altimeter (BELA) prior launch and prospects for Mercury orbit operations. Planet. Space Sci. 2018, 159, 84–92. [Google Scholar] [CrossRef]
- Dirkx, D.; Gurvits, L.I.; Lainey, V.; Lari, G.; Milani, A.; Cimò, G.; Bocanegra-Bahamon, T.M.; Visser, P.N.A.M. On the contribution of PRIDE-JUICE to Jovian system ephemerides. Planet. Space Sci. 2017, 147, 14–27. [Google Scholar] [CrossRef]
- Thor, R.; Kallenbach, R.; Christensen, U.; Oberst, J.; Stark, A.; Steinbrügge, G. Improved algorithms for the retrieval of the h2 Love number of Mercury from laser altimetry data. EGU Gen. Assem. Conf. Abstr. 2017, 19, 7789. [Google Scholar]
- Segatz, M.; Spohn, T.; Ross, M.; Schubert, G. Tidal dissipation, surface heat flow, and figure of viscoelastic models of Io. Icarus 1988, 75, 187–206. [Google Scholar] [CrossRef]
- Dougherty, M.K. J-MAG: Magnetometer science on the JUICE mission. In Proceedings of the European Planetary Science Congress 2013, London, UK, 8–13 September 2013; Volume 470. [Google Scholar]
- Iess, L. 3GM: Gravity and Geophysics of Jupiter and the Galilean Moons. In Proceedings of the European Planetary Science Congress 2013, London, UK, 8–13 September 2013; Volume 491. [Google Scholar]





| Parameter | Error Case 1 | Error Case 2 | |
|---|---|---|---|
| Rotation Rate | [rad/day] | ||
| Right Ascension | [rad] | ||
| Right Ascension rate | [rad/day] | ||
| Declination | [rad] | ||
| Declination rate | [rad/day] | ||
| Libration 7.16 d | [rad] | ||
| Libration 50 d | [rad] | ||
| Libration 483 d | [rad] |
| Parameter | Error Case 1 | Error Case 2 | Error Case 3 | |
|---|---|---|---|---|
| () | () | () | ||
| Love number | ||||
| Rotation Rate | ||||
| 7.16-day libration amplitude | ||||
| 7.05-day libration amplitude | ||||
| 6.26-day libration amplitude | ||||
| 12.48-day libration amplitude |
| Ice Shell Thickness | Error Case 1 | Error Case 2 | Error Case 3 |
|---|---|---|---|
| 50 km | km | km | km |
| 100 km | km | km | km |
| 150 km | km | km | km |
© 2019 by the authors. Licensee MDPI, Basel, Switzerland. This article is an open access article distributed under the terms and conditions of the Creative Commons Attribution (CC BY) license (http://creativecommons.org/licenses/by/4.0/).
Share and Cite
Steinbrügge, G.; Steinke, T.; Thor, R.; Stark, A.; Hussmann, H. Measuring Ganymede’s Librations with Laser Altimetry. Geosciences 2019, 9, 320. https://doi.org/10.3390/geosciences9070320
Steinbrügge G, Steinke T, Thor R, Stark A, Hussmann H. Measuring Ganymede’s Librations with Laser Altimetry. Geosciences. 2019; 9(7):320. https://doi.org/10.3390/geosciences9070320
Chicago/Turabian StyleSteinbrügge, Gregor, Teresa Steinke, Robin Thor, Alexander Stark, and Hauke Hussmann. 2019. "Measuring Ganymede’s Librations with Laser Altimetry" Geosciences 9, no. 7: 320. https://doi.org/10.3390/geosciences9070320
APA StyleSteinbrügge, G., Steinke, T., Thor, R., Stark, A., & Hussmann, H. (2019). Measuring Ganymede’s Librations with Laser Altimetry. Geosciences, 9(7), 320. https://doi.org/10.3390/geosciences9070320

