Innovative Monitoring Tools and Early Warning Systems for Risk Management: A Case Study
Abstract
1. Introduction
- Field monitoring system, able to acquire physical quantities related to the phenomenon and transmit them to the elaboration centre;
- Analysis and forecasting method, which describes the landslide evolution, predicts its behaviour, and identifies critical events on the basis of alert thresholds (if available);
- Warnings and dissemination of alert messages, to notify the relevant authorities about the forecasted critical event;
- Emergency plans and measures, to be activated on the basis of the forecasting results obtained by applying the numerical model.
2. Materials and Methods
2.1. Case Study Description
2.2. Monitoring and Early Warning System Composition
3. Results
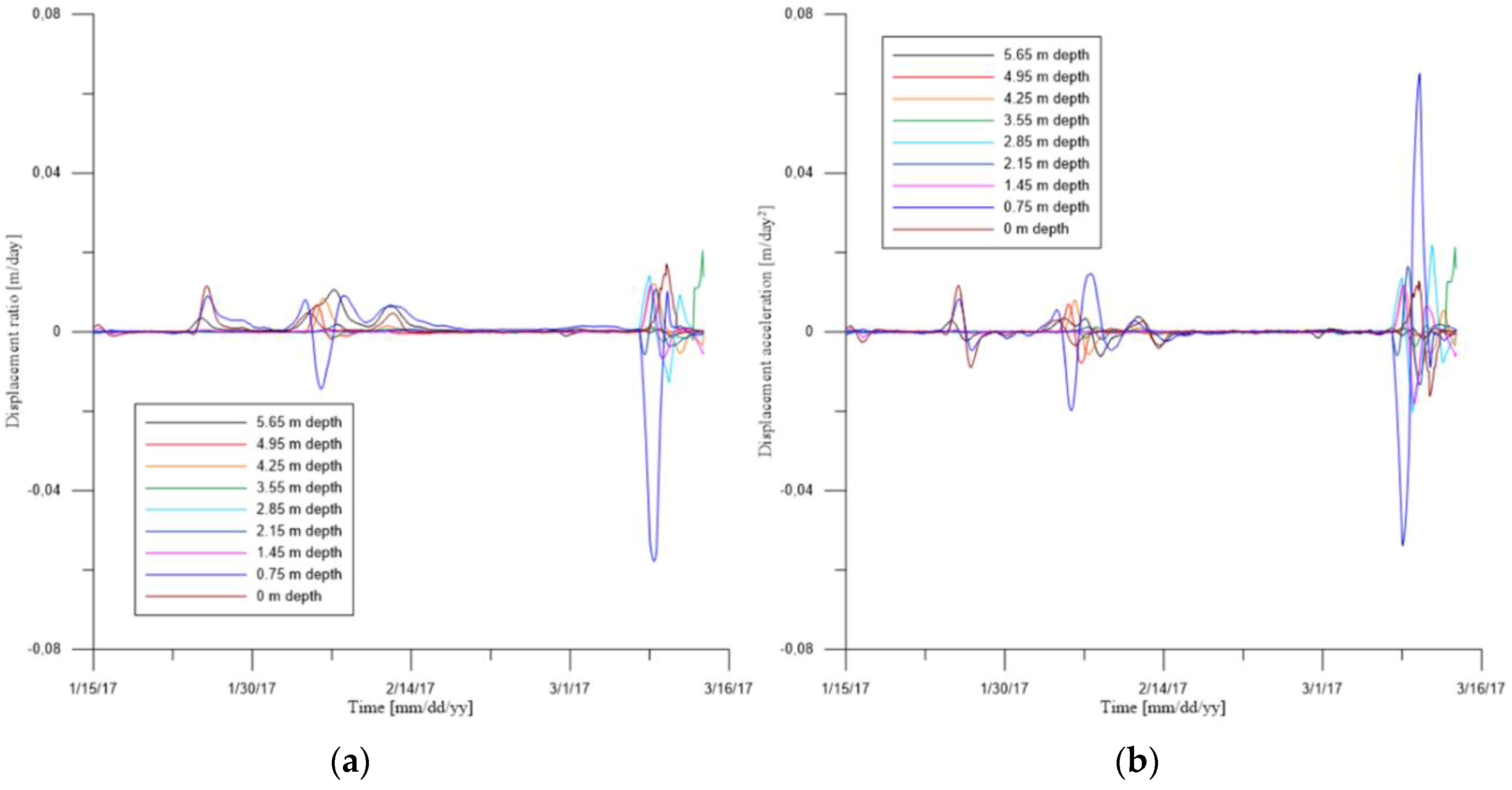
3.1. Monitoring System Results
3.2. Time of Failure Forecasting
3.3. Alert System Response
- < 0 (negative time of failure, i.e., date of collapse is in the past);
- > 0 & , where is the time of the last raw data available represented by a numerical value. In detail, the date of failure precedes the last instrumental data recorded, which is not returning an error (i.e., the sensor is working correctly).
- The activation of inverse velocity method does not imply an automatic alarm to the responsible of monitoring. This is validated through a series of preliminary analyses, in particular:
- The number of points in the dataset. The minimum dataset considered is composed by five points. If this value increases, it means that a consistent trend of data is fulfilling the activation criterion conditions;
- The correlation coefficient R2: The linear regression index points out the ability of the linear model to reproduce the observed data. Model is activated for R2 > 0.8. Higher values indicate an increasing confidence level;
- Nature of displacements (cumulative or Local). The algorithm analyses the number and the typology of alarms referring to the presence of cumulative, local, or both cumulative and local displacements;
- Number of alarms previously sent: this parameter verifies the presence of previous alarms occurred during the previous days and characterizes the so-defined “conditioned alarms”, i.e., alarms whose reliability is dependent on other alarms previously issued by the algorithm.
3.4. Back-Analysis Outcomes
4. Conclusions
Author Contributions
Funding
Conflicts of Interest
References
- Greco, R.; Pagano, L. Basic features of the predictive tools of early warning systems for water-related natural hazards: Examples for shallow landslides. Nat. Hazards Earth Syst. Sci. 2017, 17, 2213–2227. [Google Scholar] [CrossRef]
- Medina-Cetina, Z.; Nadim, F. Stochastic design of an early warning system. Georisk Assess. Manag. Risk Eng. Syst. Geohazards 2008, 2, 223–236. [Google Scholar] [CrossRef]
- UN-ISDR Developing early warning systems, a checklist: Third international conference on early warning (EWC III), 27–29 March 2006, Bonn, Germany-UNISDR. Available online: https://www.unisdr.org/we/inform/publications/608 (accessed on 17 December 2018).
- Di Biagio, E.; Kjekstad, O. Early Warning, Instrumentation and Monitoring Landslides. In Proceedings of the 2nd Regional Training Course, RECLAIM II, Phuket, Thailand, 29 January–2 February 2007. [Google Scholar]
- Intrieri, E.; Gigli, G.; Mugnai, F.; Fanti, R.; Casagli, N. Design and implementation of a landslide early warning system. Eng. Geol. 2012, 147–148, 124–136. [Google Scholar] [CrossRef]
- Calvello, M.; Piciullo, L. Assessing the performance of regional landslide early warning models: The EDuMaP method. Nat. Hazards Earth Syst. Sci. 2016, 16, 103–122. [Google Scholar] [CrossRef]
- Bhasin, R.; Cepeda, J.; Lacasse, S. Experiences from cost-effective instrumentation for early warning systems installed in some hot-spot areas in South and South East Asian Countries. In Proceedings of the Second JTC1 Workshop on Triggering and Propagation of Rapid Flow-like Landslides, Hong Kong, China, 3–5 December 2018. [Google Scholar]
- Michoud, C.; Bazin, S.; Blikra, L.H.; Derron, M.-H.; Jaboyedoff, M. Experiences from site-specific landslide early warning systems. Nat. Hazards Earth Syst. Sci. 2013, 13, 2659–2673. [Google Scholar] [CrossRef]
- Carlà, T.; Intrieri, E.; Di Traglia, F.; Nolesini, T.; Gigli, G.; Casagli, N. Guidelines on the use of inverse velocity method as a tool for setting alarm thresholds and forecasting landslides and structure collapses. Landslides 2017, 14, 517–534. [Google Scholar] [CrossRef]
- Segalini, A.; Valletta, A.; Carri, A. Landslide time-of-failure forecast and alert threshold assessment: A generalized criterion. Eng. Geol. 2018, 245, 72–80. [Google Scholar] [CrossRef]
- Huggel, C.; Khabarov, N.; Obersteiner, M.; Ramírez, J.M. Implementation and integrated numerical modeling of a landslide early warning system: A pilot study in Colombia. Nat. Hazards 2010, 52, 501–518. [Google Scholar] [CrossRef]
- Yin, Y.; Wang, H.; Gao, Y.; Li, X. Real-time monitoring and early warning of landslides at relocated Wushan Town, the Three Gorges Reservoir, China. Landslides 2010, 7, 339–349. [Google Scholar] [CrossRef]
- Stähli, M.; Sättele, M.; Huggel, C.; McArdell, B.W.; Lehmann, P.; Van Herwijnen, A.; Berne, A.; Schleiss, M.; Ferrari, A.; Kos, A.; et al. Monitoring and prediction in early warning systems for rapid mass movements. Nat. Hazards Earth Syst. Sci. 2015, 15, 905–917. [Google Scholar] [CrossRef]
- Sättele, M.; Krautblatter, M.; Bründl, M.; Straub, D. Forecasting rock slope failure: How reliable and effective are warning systems? Landslides 2016, 13, 737–750. [Google Scholar] [CrossRef]
- Pecoraro, G.; Calvello, M.; Piciullo, L. Monitoring strategies for local landslide early warning systems. Available online: https://link.springer.com/article/10.1007/s10346-018-1068-z (accessed on 26 January 2019).
- Fondovalle Sangro: D’Alfonso, ecco progetto definitivo. Available online: https://www.stradeeautostrade.it (accessed on 19 December 2018).
- Piano di utilizzo terre e rocce S.S. 652 “Fondovalle Sangro” Lavori di costruzione del tratto compreso tra la stazione di Gamberale e la stazione di Civitaluparella 2° lotto –2° stralcio –2° tratto. Available online: https://sra.regione.abruzzo.it/ (accessed on 19 December 2018).
- Segalini, A.; Carini, C. Underground Landslide Displacement Monitoring: A New MMES Based Device. In Landslide Science and Practice: Volume 2: Early Warning, Instrumentation and Monitoring; Margottini, C., Canuti, P., Sassa, K., Eds.; Springer: Berlin/Heidelberg, Germany, 2013; pp. 87–93. ISBN 978-3-642-31445-2. [Google Scholar]
- Segalini, A.; Chiapponi, L.; Pastarini, B.; Carini, C. Automated Inclinometer Monitoring Based on Micro Electro-Mechanical System Technology: Applications and Verification. In Landslide Science for Safer Geoenvironment; Sassa, K., Canuti, P., Yin, Y., Eds.; Springer: Cham, Switzerland; pp. 595–600. ISBN 978-3-319-05050-8.
- Fukuzono, T. A new method for predicting the failure time of a slope. In Proceedings of the 4th International Conference and Field Workshop on Landslides, Tokyo, Japan, 23–31 August 1985; Japan Landslide Society: Tokyo, Japan, 1985; pp. 145–150. [Google Scholar]
- Petley, D.N. The evolution of slope failures: Mechanisms of rupture propagation. Nat. Hazards Earth Syst. Sci. 2004, 4, 147–152. [Google Scholar] [CrossRef]
- Rose, N.D.; Hungr, O. Forecasting potential rock slope failure in open pit mines using the inverse-velocity method. Int. J. Rock Mech. Min. Sci. 2007, 44, 308–320. [Google Scholar] [CrossRef]
- Gigli, G.; Fanti, R.; Canuti, P.; Casagli, N. Integration of advanced monitoring and numerical modeling techniques for the complete risk scenario analysis of rockslides: The case of Mt. Beni (Florence, Italy). Eng. Geol. 2011, 120, 48–59. [Google Scholar] [CrossRef]
- Mazzanti, P.; Bozzano, F.; Cipriani, I.; Prestininzi, A. New insights into the temporal prediction of landslides by a terrestrial SAR interferometry monitoring case study. Landslides 2015, 12, 55–68. [Google Scholar] [CrossRef]














| ID | DT0014 | DT0065 | DT0094 | DT0095 | DT0096 | DT0097 |
|---|---|---|---|---|---|---|
| Installation date | 18/11/2016 | 07/09/2017 | 19/09/2018 | 18/09/2018 | 20/09/2018 | 19/09/2018 |
| Reference reading | 19/11/2016 | 09/09/2017 | 22/09/2018 | 22/09/2018 | 22/09/2018 | 22/09/2018 |
| End of monitoring | 13/03/2017 | Ongoing | Ongoing | Ongoing | Ongoing | Ongoing |
| Array typology | Vertical Array | Vertical Array | Vertical Array | Vertical Array | Vertical Array | Vertical Array |
| Length [m] | 35 | 35 | 69 | 95 | 111 | 66 |
| Sensors typology | Tilt Link HR 3D V | Tilt Link HR 3D V | Tilt Link HR 3D V | Tilt Link HR 3D V | Tilt Link HR 3D V | Tilt Link HR 3D V |
| Number of sensors [-] | 50 | 48 | 34 | 47 | 55 | 33 |
| Interspace between sensors [m] | 0.70 | 0.70 | 2.00 | 2.00 | 2.00 | 2.00 |
| Node | Depth [m] | Onset of Acceleration [dd/MM/yy hh:mm] | Prediction [dd/MM/yyyy hh:mm] | Observed [dd/MM/yyyy hh:mm] | Forecasting Error | Theoretical Warning Time [h] | Observed Warning Time [h] |
|---|---|---|---|---|---|---|---|
| 93 | 2.5 | 08/03/2017 02:28 | 09/03/2017 00:55 | 08/03/2017 21:32 | 3 h later | 13 (22*) | 10 (19*) |
| 95 | 1.8 | 08/03/2017 02:28 | 08/03/2017 22:48 | 08/03/2017 21:32 | 1 h later | 11 (20*) | 10 (19*) |
| 99 | 0.4 | 08/03/2017 21:32 | 09/03/2017 23:59 | 08/03/2017 21:32 | postponed of 1 day and 2 h | 12 (26*) | −14 (0*) |
| 99 | 0.4 | 09/03/2017 05:34 | 09/03/2017 16:48 | 08/03/2017 21:32 | postponed of 19 h | 5 (11*) | −14 (−8*) |
| 91 | 3.2 | 09/03/2017 23:38 | 10/03/2017 12:05 | ? | not clear | 0 (12*) | ? |
| 89 | 3.9 | 13/03/2017 06:54 | 13/03/2017 16:06 | 13/03/2017 14:56 | 1.5 h later | 4 (9*) | 3 (8*) |
| Node | Depth [m] | Acceleration Date [dd/MM/yyyy hh:mm] | Prediction [dd/MM/yyyy hh:mm] | Observed [dd/MM/yyyy hh:mm] | Forecasting Error | Theoretical Warning Time [h] | Observed Warning Time [h] |
|---|---|---|---|---|---|---|---|
| 93 | 2.5 | 07/03/2017 20:27 | 08/03/2017 20:54 | 08/03/2017 21:32 | 38 min in advance | 9 (24.5*) | 9 (25*) |
| 95 | 1.8 | 08/03/2017 01:28 | 08/03/2017 21:17 | 08/03/2017 21:32 | 15 min in advance | 9 (20*) | 9 (20*) |
| 99 | 0.0 | 08/03/2017 11:30 | 08/03/2017 21:13 | 08/03/2017 21:32 | 19 min in advance | 9 (10*) | 9 (10*) |
| 89 | 3.9 | 13/03/2017 06:54 | 13/03/2017 16:06 | 13/03/2017 14:56 | 1.5 h later | 4 (9*) | 3 (8*) |
| 91 | 3.2 | 13/03/2017 06:54 | 13/03/2017 16:56 | 13/03/2017 14:56 | 2 h later | 5 (10*) | 3 (8*) |
| 93 | 2.5 | 13/03/2017 06:54 | 13/03/2017 15:14 | 13/03/2017 14:56 | 18 min later | 3 (8*) | 3 (8*) |
| 95 | 1.8 | 13/03/2017 06:54 | 13/03/2017 15:06 | 13/03/2017 14:56 | 10 min later | 3 (8*) | 3 (8*) |
| Node | Analysis | Acceleration Date [dd/MM/yyyy hh:mm] | Prediction [dd/MM/yyyy hh:mm] | Observed [dd/MM/yyyy hh:mm] | Forecasting Error | Theoretical Warning Time [h] | Observed Warning Time [h] |
|---|---|---|---|---|---|---|---|
| 93 | Back -analysis | 07/03/2017 20:27 | 08/03/2017 20:54 | 08/03/2017 21:32 | 38 min in advance | 9 (24.5*) | 9 (25*) |
| 95 | Back-analysis | 08/03/2017 01:28 | 08/03/2017 21:17 | 08/03/2017 21:32 | 15 min in advance | 9 (20*) | 9 (20*) |
| 93 | Algorithm | 08/03/2017 02:28 | 09/03/2017 00:55 | 08/03/2017 21:32 | 3 h later | 13 (22*) | 10 (19*) |
| 95 | Algorithm | 08/03/2017 02:28 | 08/03/2017 22:48 | 08/03/2017 21:32 | 1 h later | 11 (20*) | 10 (19*) |
| 99 | Back-analysis | 08/03/2017 11:30 | 08/03/2017 21:13 | 08/03/2017 21:32 | 19 min in advance | 9 (10*) | 9 (10*) |
| Node | Analysis | Acceleration Date [dd/MM/yy hh:mm] | Prediction [dd/MM/yyyy hh:mm] | Observed [dd/MM/yyyy hh:mm] | Forecasting Error | Theoretical Warning Time [h] | Observed Warning Time [h] |
|---|---|---|---|---|---|---|---|
| 89 | Back-analysis | 13/03/2017 06:54 | 13/03/2017 16:06 | 13/03/2017 14:56 | 1.5 h later | 4 (9*) | 3 (8*) |
| 89 | Algorithm | 13/03/2017 06:54 | 13/03/2017 16:06 | 13/03/2017 14:56 | 1.5 h later | 4 (9*) | 3 (8*) |
| 91 | Back-analysis | 13/03/2017 06:54 | 13/03/2017 16:56 | 13/03/2017 14:56 | 2 h later | 5 (10*) | 3 (8*) |
| 93 | Back-analysis | 13/03/2017 06:54 | 13/03/2017 15:14 | 13/03/2017 14:56 | 18 min later | 3 (8*) | 3 (8*) |
| 95 | Back-analysis | 13/03/2017 06:54 | 13/03/2017 15:06 | 13/03/2017 14:56 | 10 min later | 3 (8*) | 3 (8*) |
© 2019 by the authors. Licensee MDPI, Basel, Switzerland. This article is an open access article distributed under the terms and conditions of the Creative Commons Attribution (CC BY) license (http://creativecommons.org/licenses/by/4.0/).
Share and Cite
Segalini, A.; Carri, A.; Valletta, A.; Martino, M. Innovative Monitoring Tools and Early Warning Systems for Risk Management: A Case Study. Geosciences 2019, 9, 62. https://doi.org/10.3390/geosciences9020062
Segalini A, Carri A, Valletta A, Martino M. Innovative Monitoring Tools and Early Warning Systems for Risk Management: A Case Study. Geosciences. 2019; 9(2):62. https://doi.org/10.3390/geosciences9020062
Chicago/Turabian StyleSegalini, Andrea, Andrea Carri, Alessandro Valletta, and Maurizio Martino. 2019. "Innovative Monitoring Tools and Early Warning Systems for Risk Management: A Case Study" Geosciences 9, no. 2: 62. https://doi.org/10.3390/geosciences9020062
APA StyleSegalini, A., Carri, A., Valletta, A., & Martino, M. (2019). Innovative Monitoring Tools and Early Warning Systems for Risk Management: A Case Study. Geosciences, 9(2), 62. https://doi.org/10.3390/geosciences9020062

