The Relationship between the Physicochemical Properties and Permeability of the Fluvisols and Eutric Cambisols in the Zagreb Aquifer, Croatia
Abstract
1. Introduction
2. Study Area
3. Materials and Methods
4. Results and Discussion
4.1. Relationships Between the Soil Hydraulic Data
4.2. Relationship Between Water Movement and Physicochemical Properties of Soils
5. Conclusions
Author Contributions
Funding
Acknowledgments
Conflicts of Interest
References
- Nakić, Z.; Ružičić, S.; Posavec, K.; Mileusnić, M.; Parlov, J.; Bačani, A.; Durn, G. Conceptual model for groundwater status and risk assessment—case study of the Zagreb aquifer system. Geol. Croat. 2013, 66, 55–76. [Google Scholar] [CrossRef]
- Kovač, Z.; Nakić, Z.; Pavlić, K. Influence of groundwater quality indicators on nitrate concentrations in the Zagreb aquifer system. Geol. Croat. 2017, 70, 93–103. [Google Scholar] [CrossRef]
- Kovač, Z.; Cvetković, M.; Parlov, J. Gaussian simulation of nitrate concentration distribution in the Zagreb aquifer. J. Maps 2017, 13, 727–732. [Google Scholar] [CrossRef]
- Kovač, Z.; Nakić, Z.; Barešić, J.; Parlov, J. Nitrate origin in the Zagreb aquifer system. Geofluids 2018, 15. [Google Scholar] [CrossRef]
- Kovač, Z.; Nakić, Z.; Špoljarić, D.; Stanek, D.; Bačani, A. Estimation of nitrate trends in the groundwater of the Zagreb aquifer. Geosciences 2018, 8, 159. [Google Scholar] [CrossRef]
- Nan, Z.; Li, J.; Zhang, J.; Cheng, G. Cadmium and zinc interactions and their transfer in soil-crop system under actual field conditions. Sci. Total. Environ. 2002, 285, 187–195. [Google Scholar] [CrossRef]
- Bonten, L.T.C.; Römkens, P.F.A.M.; Brus, D.J. Contribution of Heavy Metal Leaching from Agricultural Soils to Surface Water Loads. Environ. Forensics 2008, 9, 252–257. [Google Scholar] [CrossRef]
- Schipper, P.; Bonten, L.; Plette, A.; Moolenaar, S. Measures to diminish leaching of heavy metals to surface waters from agricultural soils. Desalination 2008, 226, 89–96. [Google Scholar] [CrossRef]
- Rabalais, N.N.; Díaz, R.J.; Levin, L.A.; Turner, R.E.; Gilbert, D.; Zhang, J. Dynamics and distribution of natural and human-caused hypoxia. Biogeosciences 2010, 7, 585–619. [Google Scholar] [CrossRef]
- Land, M.; Ingri, J.; Andersson, P.S.; Öhlander, B. Ba/Sr, Ca/Sr and 87Sr/86Sr ratios in soil water and groundwater: implications for relative contributions to stream water discharge. Appl. Geochem. 2000, 15, 311–325. [Google Scholar] [CrossRef]
- Hogan, J.; Blum, J. Tracing hydrologic flow paths in a small forested watershed using variations in 87Sr/86Sr, [Ca]/[Sr], [Ba]/[Sr] and δ18O. Water Resour. Res. 2003, 39. [Google Scholar] [CrossRef]
- Petelet-Giraud, E.; Klaver, G.; Negrel, P. Natural versus anthropogenic sources in the surface- and groundwater dissolved load of the Dommel river (Meuse basin): Constraints by boron and strontium isotopes and gadolinium anomaly. J. Hydrol. 2009, 369, 336–349. [Google Scholar] [CrossRef]
- Garcia-Estringana, P.; Latron, J.; Molina, A.J.; Llorens, P. Seasonal and spatial variability of rainfall redistribution under Scots pine and Downy oak forests in Mediterranean conditions. In EGU General Assembly Conference Abstracts; European Geosciences Union: Munich, Germany, 2013; Volume 15. [Google Scholar]
- Keren, R.; Ben-Hur, M. Interaction effects of clay swelling and dispersion and CaCO3 content on saturated hydraulic conductivity. Soil Res. 2003, 41, 979–989. [Google Scholar] [CrossRef]
- Subramani, T.; Elango, L.; Damodarasamy, S.R. Groundwater quality and its suitability for drinking and agricultural use in Chithar River Basin, Tamil Nadu, India. Environ. Geolo. 2005, 47, 1099–1110. [Google Scholar] [CrossRef]
- Rosu, C.; Pistea, I.; Roba, C.; Nes, M.; Ozunu, A. Groundwater quality and its suitability for drinking and agricultural use in a rural area from Cluj county (Floresti village). Eng. Agric. Rural Dev. 2014, 14, 247–251. [Google Scholar]
- Chaudhari, P.R.; Ahire, D.V.; Chkravarty, M.; Maity, S. Electrical conductivity as a tool for tetermining the physical properties of Indian soils. Int. J. Sci. Res. Publ. 2014, 4, 1–4. [Google Scholar]
- Ružičić, S.; Mileusnić, M.; Posavec, K.; Nakić, Z.; Durn, G.; Filipović, V. Water flow and solute transport model of potentially toxic elements through unsaturated zone at regional wellfield Kosnica. Hydrol. Process. 2016, 30, 4113–4124. [Google Scholar] [CrossRef]
- Singh, G.; Kaur, G.; Williard, K.; Schoonover, J.; Kang, J. Monitoring of water and solute transport in the vadose zone: A review. Vadose Zone J. 2017, 17. [Google Scholar] [CrossRef]
- Van Genuchten, M.T.; Kaveh, F.; Russell, W.B.; Yates, S.R. Direct and indirect methods of estimating the hydraulic properties of unsaturated soils. In Land Qualities in Space and Time, Proceedings of the Symposium Organized by the International Society of Soil Science (ISSS), Wageningen, The Netherlands, 22–26 August 1988; Bouma, J., Bregt, A.K., Eds.; Centre for Agricultural Publishing and documentation: Pudoc Wageningen, The Netherlands, 1989; pp. 61–72. [Google Scholar]
- Fredlund, D.; Xing, A. Equations for the soil-water characteristic curve. Can. Geotech. J. 1994, 31, 521–532. [Google Scholar] [CrossRef]
- Lobbezoo, J.P.; Vanapalli, S.K. A simple technique for estimating the coefficient of permeability of unsaturated soils. In Proceedings of the 55th Canadian Geotechnical Conference, Niagara Falls, ON, Canada, 20–23 October 2002; Stolle, D., Piggott, A.R., Crowder, J.J., Eds.; 2002; pp. 1277–1284. [Google Scholar]
- Terzaghi, K.; Peck, R.B. Soil Mechanics in Engineering Practice; J. Wiley and Sons: New York, NY, USA, 1967; p. 529. [Google Scholar]
- Cools, N.; De Vos, B. Availability and evaluation of European forest soil monitoring data in the study on the effects of air pollution on forests. iForest Biogeosciences For. 2011, 4, 205–211. [Google Scholar] [CrossRef]
- Brooks, R.H.; Corey, A.T. Hydraulic Properties of Porous Media; Hydrology Papers; Colorado State University: Fort Collins, CO, USA, 1964. [Google Scholar]
- Van Genuchten, M.T. A Closed-form Equation for Predicting the Hydraulic Conductivity of Unsaturated Soils1. Soil Sci. Soc. Am. J. 1980, 44, 892–898. [Google Scholar] [CrossRef]
- Vanapalli, S.K.; Pufahl, D.E.; Fredlund, D.G. The influence of soil structure and stress history on the soil–water characteristics of a compacted till. Geotechnique 1999, 49, 143–159. [Google Scholar] [CrossRef]
- Ng, C.W.W.; Pang, Y.W. Influence of Stress State on Soil-Water Characteristics and Slope Stability. J. Geotech. Geoenvironmental Eng. 2000, 126, 157–166. [Google Scholar] [CrossRef]
- Bogunović, M.; Vidaček, Ž.; Husnjak, S.; Sraka, M.; Petošić, D. Inventory of Soils in Croatia. Agric. Conspec. Sci. 1998, 63, 105–112. [Google Scholar]
- Sollitto, D.; Romić, M.; Castrignanò, A.; Romić, D.; Bakić, H. Assessing heavy metal contamination in soils of the Zagreb region (Northwest Croatia) using multivariate geostatistics. Catena 2010, 80, 182–194. [Google Scholar] [CrossRef]
- IUSS Working Group WRB. World Reference Base for Soil Resources, update 2015: International soil classification system for naming soils and creating legends for soil maps. In World Soil Resources Reports; Food and Agriculture Organization of the United Nations: Rome, Italy, 2015; No.106; p. 192. [Google Scholar]
- Ružičić, S.; Kovač, Z.; Nakić, Z.; Kireta, D. Fluvisol permeability estimation using soil water content variability. Geofiz. 2017, 34, 141–155. [Google Scholar] [CrossRef]
- Ružičić, S.; Kovač, Z.; Tumara, D. Physical and chemical properties in relation to soil permeability in the area of the Velika Gorica well field. Rudarsko-Geološko-Naftni Zbornik 2018, 33, 73–81. (In Slovenia) [Google Scholar] [CrossRef]
- Ružičić, S.; Mileusnić, M.; Posavec, K. Building conceptual and mathematical model for water flow and solute transport in the unsaturated zone at Kosnica site. Rudarsko-Geološko-Naftni Zbornik 2012, 25, 21–31. (In Slovenia) [Google Scholar]
- Huljek, L.; Perković, D.; Kovač, Z. Nitrate contamination risk of the Zagreb aquifer. J. Maps 2019, 15, 570–577. [Google Scholar] [CrossRef]
- Velić, J.; Saftić, B. Subsurface spreading and facies Characteristics of middle peistocene deposits between Zaprešić and Samobor. Geol. Vjesn. 1991, 44, 69–82. [Google Scholar]
- Velić, J.; Durn, G. Alternating Lacustrine-Marsh Sedimentation and Subaerial Exposure Phases during Quaternary: Prečko, Zagreb, Croatia. Geol. Croat. 1993, 46, 71–90. [Google Scholar] [CrossRef]
- Velić, J.; Saftić, B. Dubinskogeološki odnosi područja smetlišta “Jakuševec”-čimbenik sanacije- Gospodarenje otpadom (engl. Deep geologic relations on waste depository "Jakuševec"-factor of remediation-Waste management). ZGO Gospodarenje otpadom 1996, 20–22. [Google Scholar]
- Velić, J.; Saftić, B.; Malvić, T. Lithologic composition and stratigraphy of Quaternary sediments in the area of the “Jakuševec” Waste Depository (Zagreb, Northern Croatia). Geol. Croat. 1999, 52, 119–130. [Google Scholar] [CrossRef]
- Posavec, K.; Vukojević, P.; Ratkaj, M.; Bedeniković, T. Cross-correlation modelling of surface water—groundwater interaction using the Excel spreadsheet application. Min. Geol. Pet. Eng. Bull. 2017, 32, 25–32. [Google Scholar] [CrossRef]
- Ružičić, S.; Rako, T.J. Multielement sorption of cadmium, zinc, copper and lead onto a Fluvisol profile at the Stara Loza site, Croatia. Int. J. Environ. Pollut. 2017, 62, 63. [Google Scholar] [CrossRef]
- Balaž, B.I. Geokemijske i mineraloške karakteristike tla s područja vodocrpilišta Petruševec (engl. Geochemical and mineralogical characteristics of soil from the Petruševec well field area). Master’s Thesis, University of Zagreb, Zagreb, Croatia, 16 November 2018. [Google Scholar]
- Ružičić, S.; Kovač, Z.; Borovčak, T. Possible Influence of Agriculture on an Unsaturated Zone in Croatia. Pol. J. Environ. Stud. 2019, 28, 6. [Google Scholar] [CrossRef]
- ISO 13536. Soil quality-Determination of pH; International Organisation for Standardisation: Geneva, Switzerland, 2005.
- Head, K.H. Manual of Soil Laboratory Testing, 2nd ed.; Pentech press: London, England, 1992; p. 416. [Google Scholar]
- ISO 13536. Soil quality-Determination of the potential cation exchange capacity and exchangeable cations using barium chloride solution buffered at pH = 8,1; International Organisation for Standardisation: Geneva, Switzerland, 1995. [Google Scholar]
- SchaSchaap, M.G.; Leij, F.J.; Van Genuchten, M.T. Rosetta: A computer program for estimating soil hydraulic parameters with hierarchical pedotransfer functions. J. Hydrol. 2001, 251, 163–176. [Google Scholar] [CrossRef]
- Fetter, C.W.; Boving, T.B.; Kreamer, D.K. Contaminant Hydrogeology, 2nd ed.; Prentice Hall: Upper Saddle River, NJ, USA, 1999. [Google Scholar]
- Daniel, R.; Smucker, A.J.; Santos, D. Alfalfa Root and Shoot Mulching Effects on Soil Hydraulic Properties and Aggregation. Soil Sci. Soc. Am. J. 2000, 64, 725. [Google Scholar] [CrossRef]
- Iqbal, J.; Thomasson, J.A.; Jenkins, J.N.; Owens, P.R.; Whisler, F.D. Spatial Variability Analysis of Soil Physical Properties of Alluvial Soils. Soil Sci. Soc. Am. J. 2005, 69, 1338. [Google Scholar] [CrossRef]
- Wegehenkel, M.; Luzi, K.; Sowa, D.; Barkusky, D.; Mirschel, W. Simulation of Long-Term Soil Hydrological Conditions at Three Agricultural Experimental Field Plots Compared with Measurements. Water 2019, 11, 989. [Google Scholar] [CrossRef]
- Seuntjens, P.; Mallants, D.; Toride, N.; Cornelis, C.; Geuzens, P. Grid lysimeter study of steady state chloride transport in two Spodosol types using TDR and wick samplers. J. Contam. Hydrol. 2001, 51, 13–39. [Google Scholar] [CrossRef]
- Coquet, Y.; Coutadeur, C.; Labat, C.; Vachier, P.; van Genuchten, M.T.; Roger-Estrade, J.; Šimůnek, J. Water and Solute Transport in a Cultivated Silt Loam Soil: 1. Field Observations. Vadose Zone J. 2005, 4, 587–601. [Google Scholar] [CrossRef]
- Ramos, T.; Šimunek, J.; Gonçalves, M.; Martins, J.; Prazeres, A.; Castanheira, N.L.; Pereira, L.S.; Ramos, T.; Gonçalves, M. Field evaluation of a multicomponent solute transport model in soils irrigated with saline waters. J. Hydrol. 2011, 407, 129–144. [Google Scholar] [CrossRef]
- Borek, Ł.; Bogdał, A. Soil water retention of the Odra river alluvial soils (Poland): estimating parameters by RETC model and laboratory measurements. Appl. Ecol. Environ. Res. 2018, 16, 4681–4699. [Google Scholar] [CrossRef]
- Kercheva, M.; Sokołowska, Z.; Hajnos, M.; Skic, K.; Shishkov, T. Physical parameters of Fluvisols on flooded and non-flooded terraces. Int. Agrophysics 2017, 31, 73–82. [Google Scholar] [CrossRef][Green Version]
- Da Gama, J.T.; Nunes, J.R.; Loures, L.; Piñeiro, A.L.; Vivas, P. Assessing Spatial and Temporal Variability for Some Edaphic Characteristics of Mediterranean Rainfed and Irrigated Soils. Agronomy 2019, 9, 132. [Google Scholar] [CrossRef]
- Grisso, R.D.; Allex, M.M.; Holshouser, D.L.; Thomason, W.E. Precision Farming Tools: Soil Electrical Conductivity; Virginia cooperative extension: Black Castle, VA, USA, 2009; p. 508. [Google Scholar]
- Csorba, S.; Üveges, J.; Makó, A. Relationship between soil properties and potentially toxic element content based on the dataset of the Soil Information and Monitoring System in Hungary. Central Eur. Geol. 2014, 57, 253–263. [Google Scholar] [CrossRef]
- Alloway, B.J. Heavy Metals in Soils: Trace Metals and Metalloids in Soils and their Bioavailability; Springer Science & Business Media: Berlin, Germany, 2013. [Google Scholar] [CrossRef]
- Shelukindo, H.B.; Semu, E.; Msanya, B.M.; Singh, B.R.; Munishi, P.K.T. Predictor variables for soil organic carbon contents in the Miombo woodlands ecosystem of Kitonga forest reserve, Tanzania. Int. J. Agric. Sci. 2014, 4, 221–231. [Google Scholar]
- Różański, S. Fractionation of selected heavy metals in agricultural soils. Ecol. Chem. Eng. 2013, 20, 117–125. [Google Scholar] [CrossRef]
- Chojnicki, J.; Kwasowski, W.; Piotrowski, M.; Oktaba, L.; Kondras, M. Trace elements in arable Cambisols and Luvisols developed from boulder loam and fluvioglacial sands of the Skierniewicka Upland (central Poland). Soil Sci. Annu. 2015, 66, 198–203. [Google Scholar] [CrossRef][Green Version]
- Liénard, A.; Colinet, G. Assessment of vertical contamination of Cd, Pb and Zn in soils around a former ore smelter in Wallonia, Belgium. Environ. Earth Sci. 2016, 75, 1–15. [Google Scholar] [CrossRef]









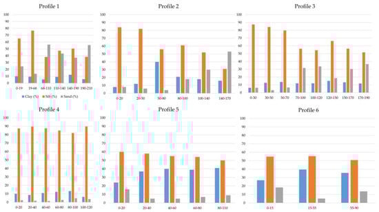
| Profile | Depth (cm) | Clay (%) | Silt (%) | Sand (%) |
|---|---|---|---|---|
| Profile 1 | 0–19 | 10.17 | 65.27 | 24.56 |
| 19–68 | 9.52 | 76.69 | 13.79 | |
| 68–110 | 5.44 | 38.23 | 56.33 | |
| 110–140 | 9.28 | 47.43 | 43.29 | |
| 140–190 | 12.29 | 50.5 | 37.21 | |
| 190–210 | 5.93 | 38.45 | 55.62 | |
| Profile 2 | 0–20 | 8 | 84 | 8 |
| 20–50 | 12 | 82 | 6 | |
| 50–80 | 40 | 56 | 4 | |
| 80–100 | 21 | 61 | 18 | |
| 100–140 | 18 | 52 | 30 | |
| 140–170 | 16 | 31 | 53 | |
| Profile 3 | 0–30 | 6.28 | 87.43 | 6.27 |
| 30–50 | 12.63 | 84.19 | 3.18 | |
| 50–70 | 13.68 | 79.67 | 6.66 | |
| 70–100 | 11.98 | 56.34 | 31.68 | |
| 100–120 | 12 | 54.36 | 33.64 | |
| 120–150 | 15.11 | 66.19 | 18.7 | |
| 150–170 | 13.29 | 56.36 | 30.35 | |
| 170–190 | 11.71 | 51.65 | 36.64 | |
| Profile 4 | 0–20 | 10.15 | 87.43 | 2.42 |
| 20–40 | 8.65 | 89.54 | 1.8 | |
| 40–60 | 10.95 | 87.59 | 1.46 | |
| 60–80 | 12.32 | 84.97 | 2.72 | |
| 80–100 | 13.23 | 82 | 4.77 | |
| 100–120 | 6.37 | 89.78 | 3.84 | |
| Profile 5 | 0–20 | 24 | 60 | 16 |
| 20–40 | 37 | 58 | 5 | |
| 40–60 | 40 | 55 | 5 | |
| 60–80 | 39 | 54 | 7 | |
| 80–110 | 41 | 50 | 9 | |
| Profile 6 | 0–15 | 26.87 | 54.83 | 18.30 |
| 15–55 | 39.53 | 55.33 | 5.14 | |
| 55–90 | 35.53 | 50.75 | 13.72 |
| Profiles | Depth (cm) | θr | θs | α (1/cm) | n | m | 1/m | Ks (cm/day) |
|---|---|---|---|---|---|---|---|---|
| Profile 1 | 0–19 | 0.052 | 0.434 | 0.004 | 1.713 | 0.416 | 2.403 | 36.700 |
| 19–68 | 0.056 | 0.464 | 0.005 | 1.694 | 0.410 | 2.440 | 34.260 | |
| 68–110 | 0.033 | 0.398 | 0.020 | 1.434 | 0.303 | 3.304 | 48.940 | |
| 110–140 | 0.043 | 0.402 | 0.008 | 1.554 | 0.356 | 2.806 | 30.330 | |
| 140–190 | 0.050 | 0.405 | 0.006 | 1.605 | 0.377 | 2.653 | 28.900 | |
| 190–210 | 0.034 | 0.397 | 0.019 | 1.438 | 0.304 | 3.286 | 45.700 | |
| Profile 2 | 0–20 | 0.055 | 0.489 | 0.007 | 1.666 | 0.400 | 2.502 | 35.020 |
| 20–50 | 0.064 | 0.475 | 0.006 | 1.648 | 0.393 | 2.542 | 23.360 | |
| 50–80 | 0.099 | 0.500 | 0.011 | 1.436 | 0.304 | 3.293 | 12.170 | |
| 80–100 | 0.072 | 0.437 | 0.005 | 1.630 | 0.387 | 2.587 | 14.170 | |
| 100–140 | 0.062 | 0.415 | 0.005 | 1.614 | 0.380 | 2.629 | 18.190 | |
| 140–170 | 0.054 | 0.391 | 0.018 | 1.416 | 0.294 | 3.406 | 19.120 | |
| Profile 3 | 0–30 | 0.053 | 0.506 | 0.007 | 1.657 | 0.396 | 2.523 | 38.310 |
| 30–50 | 0.067 | 0.481 | 0.007 | 1.631 | 0.387 | 2.584 | 19.550 | |
| 50–70 | 0.067 | 0.468 | 0.006 | 1.647 | 0.393 | 2.546 | 20.750 | |
| 70–100 | 0.052 | 0.415 | 0.005 | 1.663 | 0.399 | 2.508 | 32.150 | |
| 100–120 | 0.051 | 0.411 | 0.005 | 1.645 | 0.392 | 2.549 | 32.090 | |
| 120–150 | 0.063 | 0.436 | 0.005 | 1.685 | 0.406 | 2.461 | 21.090 | |
| 150–170 | 0.055 | 0.415 | 0.005 | 1.662 | 0.398 | 2.511 | 27.730 | |
| 170–190 | 0.049 | 0.407 | 0.006 | 1.617 | 0.381 | 2.622 | 31.730 | |
| Profile 4 | 0–20 | 0.062 | 0.494 | 0.008 | 1.633 | 0.388 | 2.580 | 22.460 |
| 20–40 | 0.059 | 0.504 | 0.008 | 1.632 | 0.387 | 2.583 | 23.620 | |
| 40–60 | 0.064 | 0.493 | 0.008 | 1.626 | 0.385 | 2.597 | 19.100 | |
| 60–80 | 0.066 | 0.483 | 0.007 | 1.630 | 0.386 | 2.589 | 19.430 | |
| 80–100 | 0.067 | 0.474 | 0.007 | 1.638 | 0.390 | 2.567 | 20.160 | |
| 100–120 | 0.054 | 0.513 | 0.008 | 1.644 | 0.392 | 2.554 | 33.890 | |
| Profile 5 | 0–20 | 0.076 | 0.444 | 0.006 | 1.599 | 0.375 | 2.670 | 12.840 |
| 20–40 | 0.096 | 0.491 | 0.010 | 1.465 | 0.317 | 3.150 | 11.680 | |
| 40–60 | 0.099 | 0.498 | 0.011 | 1.435 | 0.303 | 3.299 | 12.470 | |
| 60–80 | 0.097 | 0.493 | 0.011 | 1.443 | 0.307 | 3.260 | 12.680 | |
| 80–110 | 0.098 | 0.493 | 0.011 | 1.416 | 0.294 | 3.403 | 13.480 | |
| Profile 6 | 0–15 | 0.079 | 0.447 | 0.007 | 1.561 | 0.359 | 2.783 | 12.440 |
| 15–55 | 0.098 | 0.497 | 0.011 | 1.440 | 0.305 | 3.275 | 12.380 | |
| 55–90 | 0.091 | 0.475 | 0.009 | 1.468 | 0.319 | 3.139 | 12.620 |
| Profile | Depth (cm) | Zn (mg/kg) | pH (H2O) | EC (µS/cm) | Carbonates (mass. %) | CEC (meq/100g) |
|---|---|---|---|---|---|---|
| Profile 1 | 0–19 | 70 | 7.28 | 173 | 34.12 | 18.47 |
| 19–68 | 64 | 7.37 | 129 | 35.02 | 18.51 | |
| 68–110 | 35 | 7.36 | 89 | 41.29 | 8.11 | |
| 110–140 | 37 | 7.39 | 99 | 41.29 | 9.56 | |
| 140–190 | 36 | 7.47 | 74 | 40.24 | 10.16 | |
| 190–210 | 36 | 7.45 | 91 | 42.99 | 10.67 | |
| Profile 2 | 0–20 | n. a. | 8 | 833 | 29 | 23.21 |
| 20–50 | n. a. | 7.97 | 327 | 34 | 24.1 | |
| 50–80 | n. a. | 8.14 | 235 | 33 | 22.9 | |
| 80–100 | n. a. | 8.1 | 191 | 39 | 15.97 | |
| 100–140 | n. a. | 8.29 | 193 | 49 | 14.86 | |
| 140–170 | n. a. | 8.38 | 135 | 48 | 15.35 | |
| Profile 3 | 0–30 | 46 | 7.34 | 197.9 | 18.76 | 26.19 |
| 30–50 | 34 | 7.34 | 131.5 | 20.82 | 25.72 | |
| 50–70 | 28 | 7.47 | 155.1 | 24.66 | 23.67 | |
| 70–100 | 22 | 7.52 | 170.7 | 32.31 | 22.66 | |
| 100–120 | 21 | 7.58 | 139.5 | 34.12 | 22.22 | |
| 120–150 | 22 | 7.53 | 164 | 34.6 | 23.26 | |
| 150–170 | 21 | 7.6 | 103.3 | 36.1 | 23.15 | |
| 170–190 | 20 | 7.66 | 139.7 | 34.76 | 22.79 | |
| Profile 4 | 0–20 | 86 | 6.88 | 169.6 | 7.49 | 22.91 |
| 20–40 | 77 | 7.1 | 210 | 14.39 | 25.71 | |
| 40–60 | 81 | 7.16 | 248.3 | 19.41 | 39.78 | |
| 60–80 | 99 | 7.19 | 180.4 | 13.87 | 25.78 | |
| 80–100 | 79 | 7.14 | 241.3 | 7.23 | 35.76 | |
| 100–120 | 80 | 7.14 | 293 | 5.28 | 34.01 | |
| Profile 5 | 0–20 | 90 | 6.36 | 147.2 | 16.77 | 34.43 |
| 20–40 | 85 | 6.57 | 287 | 15.9 | 31.74 | |
| 40–60 | 68 | 7.05 | 286.33 | 22.94 | 37.48 | |
| 60–80 | 70 | 6.93 | 364.67 | 21.25 | 24.63 | |
| 80–110 | 65 | 6.47 | 395 | 6.73 | 19.55 | |
| Profile 6 | 0–15 | 86 | 6.49 | 117.27 | 1.10 | 29.01 |
| 15–55 | 89 | 5.36 | 49.83 | 0.80 | 28.74 | |
| 55–90 | 72 | 5.74 | 58.07 | 0.75 | 21.50 |
| Soil type | Parameter | Clay (%) | Silt (%) | Sand (%) | θr | θs | Ks (cm/day) |
|---|---|---|---|---|---|---|---|
| Both type of soils | Average | 17.91 | 64.06 | 18.03 | 0.07 | 0.46 | 23.81 |
| Standard deviation | 11.62 | 16.70 | 16.54 | 0.02 | 0.04 | 10.14 | |
| Coefficient of variation | 1.54 | 3.84 | 1.09 | 3.52 | 11.79 | 2.35 | |
| Number of analysis | 34 | 34 | 34 | 34 | 34 | 34 | |
| Fluvisols | Average | 13.22 | 60.94 | 25.85 | 0.06 | 0.44 | 28.51 |
| Standard deviation | 7.24 | 16.35 | 17.25 | 0.01 | 0.04 | 9.70 | |
| Coefficient of variation | 1.83 | 3.73 | 1.50 | 4.06 | 11.94 | 2.94 | |
| Number of analysis | 20 | 20 | 20 | 20 | 20 | 20 | |
| Eutric Cambisols on Holocene deposits | Average | 24.61 | 68.52 | 6.87 | 0.08 | 0.49 | 17.09 |
| Standard deviation | 13.30 | 16.18 | 5.22 | 0.02 | 0.02 | 6.20 | |
| Coefficient of variation | 1.85 | 4.24 | 1.32 | 4.82 | 25.44 | 2.76 | |
| Number of analysis | 14 | 14 | 14 | 14 | 14 | 14 |
| Profile | Depth (cm) | Water Content (cm3/cm3) | Effective Saturation (%) |
|---|---|---|---|
| Profile 1 | 0–19 | 0.16 | 29 |
| 19–68 | 0.18 | 31 | |
| 68–110 | 0.18 | 41 | |
| 110–140 | 0.17 | 37 | |
| 140–190 | 0.17 | 34 | |
| 190–210 | 0.18 | 41 | |
| Profile 2 | 0–20 | 0.19 | 31 |
| 20–50 | 0.20 | 34 | |
| 50–80 | 0.30 | 50 | |
| 80–100 | 0.21 | 38 | |
| 100–140 | 0.19 | 37 | |
| 140–170 | 0.22 | 48 | |
| Profile 3 | 0–30 | 0.19 | 31 |
| 30–50 | 0.21 | 36 | |
| 50–70 | 0.20 | 34 | |
| 70–100 | 0.17 | 32 | |
| 100–120 | 0.17 | 32 | |
| 120–150 | 0.19 | 35 | |
| 150–170 | 0.17 | 33 | |
| 170–190 | 0.17 | 33 | |
| Profile 4 | 0–20 | 0.21 | 35 |
| 20–40 | 0.21 | 34 | |
| 40–60 | 0.22 | 36 | |
| 60–80 | 0.21 | 36 | |
| 80–100 | 0.21 | 35 | |
| 100–120 | 0.20 | 32 | |
| Profile 5 | 0–20 | 0.22 | 40 |
| 20–40 | 0.29 | 48 | |
| 40–60 | 0.30 | 50 | |
| 60–80 | 0.29 | 49 | |
| 80–110 | 0.30 | 51 | |
| Profile 6 | 0–15 | 0.23 | 42 |
| 15–55 | 0.30 | 49 | |
| 55–90 | 0.27 | 47 |
| All Data | |||||||||
|---|---|---|---|---|---|---|---|---|---|
| Zn | pH | EC | Carbonates | CEC | Clay | Silt | Sand | Ks | |
| Zn | 1.00 | ||||||||
| pH | −0.67 | 1.00 | |||||||
| EC | 0.33 | 0.21 | 1.00 | ||||||
| Carbonates | −0.75 | 0.80 | −0.10 | 1.00 | |||||
| CEC | 0.54 | −0.39 | 0.26 | −0.66 | 1.00 | ||||
| Clay | 0.40 | −0.49 | 0.08 | −0.38 | 0.28 | 1.00 | |||
| Silt | 0.35 | −0.01 | 0.34 | −0.43 | 0.53 | −0.36 | 1.00 | ||
| Sand | −0.64 | 0.35 | −0.40 | 0.70 | −0.73 | −0.34 | −0.76 | 1.00 | |
| Ks | −0.53 | 0.35 | −0.04 | 0.45 | −0.47 | −0.78 | 0.01 | 0.54 | 1.00 |
| Data from Fluvisols | |||||||||
| Zn | pH | EC | Carbonates | CEC | Clay | Silt | Sand | Ks | |
| Zn | 1.00 | ||||||||
| pH | −0.81 | 1.00 | |||||||
| EC | 0.13 | 0.38 | 1.00 | ||||||
| Carbonates | −0.03 | 0.44 | −0.26 | 1.00 | |||||
| CEC | −0.22 | 0.03 | 0.35 | −0.77 | 1.00 | ||||
| Clay | −0.44 | 0.59 | −0.01 | 0.09 | 0.19 | 1.00 | |||
| Silt | 0.30 | −0.21 | 0.47 | −0.83 | 0.72 | −0.09 | 1.00 | ||
| Sand | −0.20 | −0.05 | −0.44 | 0.75 | −0.76 | −0.33 | −0.91 | 1.00 | |
| Ks | 0.34 | −0.61 | −0.02 | −0.01 | −0.33 | −0.77 | −0.14 | 0.46 | 1.00 |
| Data from Eutric Cambisols | |||||||||
| Zn | pH | EC | Carbonates | CEC | Clay | Silt | Sand | Ks | |
| Zn | 1.00 | ||||||||
| pH | −0.04 | 1.00 | |||||||
| EC | −0.55 | 0.60 | 1.00 | ||||||
| Carbonates | −0.13 | 0.57 | 0.54 | 1.00 | |||||
| CEC | 0.18 | 0.34 | 0.07 | 0.41 | 1.00 | ||||
| Clay | −0.44 | −0.61 | 0.09 | 0.02 | −0.25 | 1.00 | |||
| Silt | 0.37 | 0.66 | 0.03 | 0.10 | 0.26 | −0.96 | 1.00 | ||
| Sand | −0.03 | −0.51 | −0.34 | −0.35 | −0.17 | 0.42 | −0.66 | 1.00 | |
| Ks | 0.14 | 0.56 | 0.15 | −0.12 | 0.14 | −0.84 | 0.86 | −0.53 | 1.00 |
© 2019 by the authors. Licensee MDPI, Basel, Switzerland. This article is an open access article distributed under the terms and conditions of the Creative Commons Attribution (CC BY) license (http://creativecommons.org/licenses/by/4.0/).
Share and Cite
Ružičić, S.; Kovač, Z.; Perković, D.; Bačani, L.; Majhen, L. The Relationship between the Physicochemical Properties and Permeability of the Fluvisols and Eutric Cambisols in the Zagreb Aquifer, Croatia. Geosciences 2019, 9, 416. https://doi.org/10.3390/geosciences9100416
Ružičić S, Kovač Z, Perković D, Bačani L, Majhen L. The Relationship between the Physicochemical Properties and Permeability of the Fluvisols and Eutric Cambisols in the Zagreb Aquifer, Croatia. Geosciences. 2019; 9(10):416. https://doi.org/10.3390/geosciences9100416
Chicago/Turabian StyleRužičić, Stanko, Zoran Kovač, Dario Perković, Laura Bačani, and Ljubica Majhen. 2019. "The Relationship between the Physicochemical Properties and Permeability of the Fluvisols and Eutric Cambisols in the Zagreb Aquifer, Croatia" Geosciences 9, no. 10: 416. https://doi.org/10.3390/geosciences9100416
APA StyleRužičić, S., Kovač, Z., Perković, D., Bačani, L., & Majhen, L. (2019). The Relationship between the Physicochemical Properties and Permeability of the Fluvisols and Eutric Cambisols in the Zagreb Aquifer, Croatia. Geosciences, 9(10), 416. https://doi.org/10.3390/geosciences9100416

