Mapping of Cold-Water Coral Carbonate Mounds Based on Geomorphometric Features: An Object-Based Approach
Abstract
1. Introduction
2. Materials and Methods
2.1. Site
2.2. Data
2.3. Research Strategy
2.4. Image Segmentation
2.5. Classification of Candidate Mounds
2.6. Export of Feature Values
2.7. Defining Sample Objects
2.8. Feature Selection
2.9. Model Fitting
2.10. Spatial Prediction
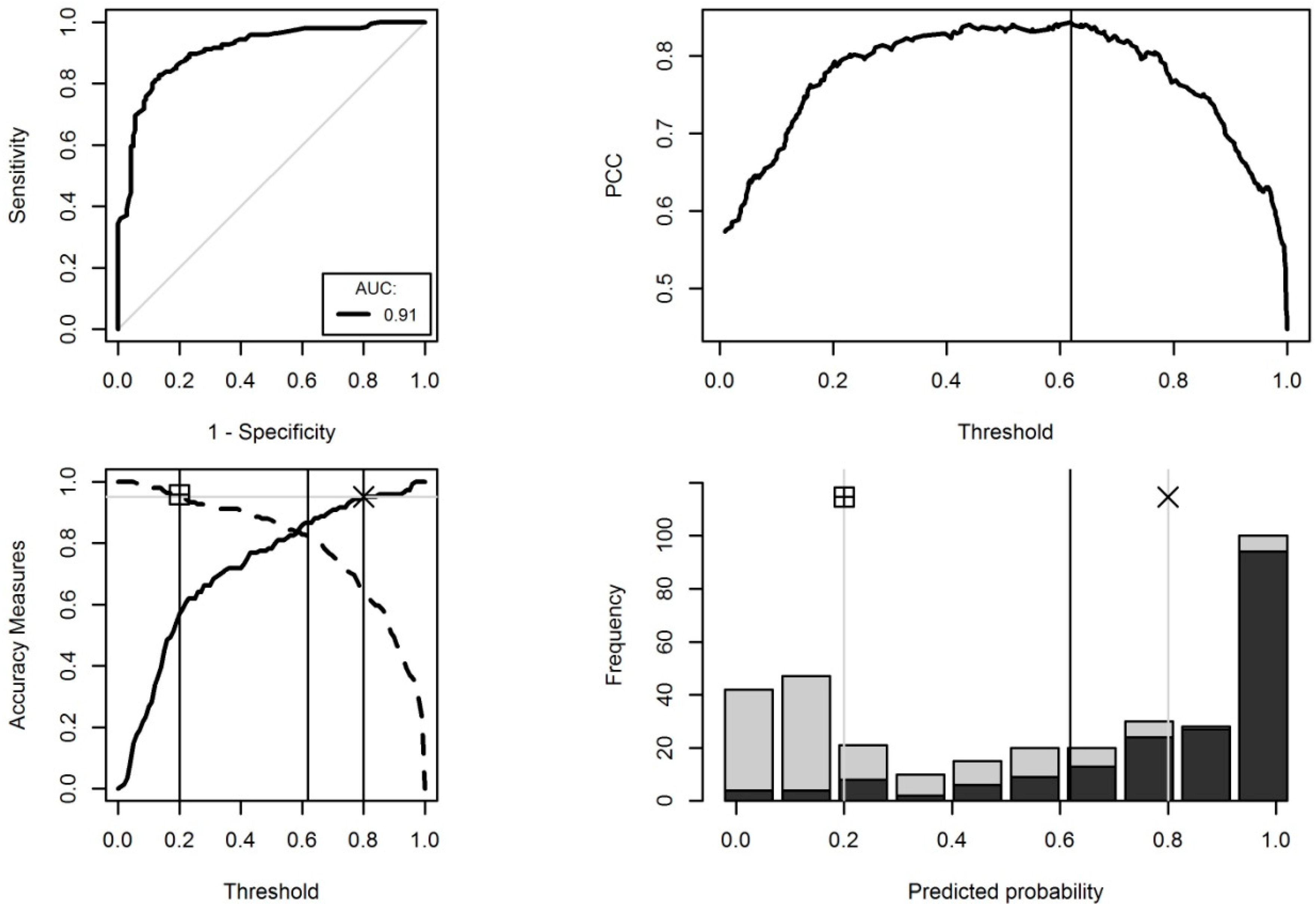
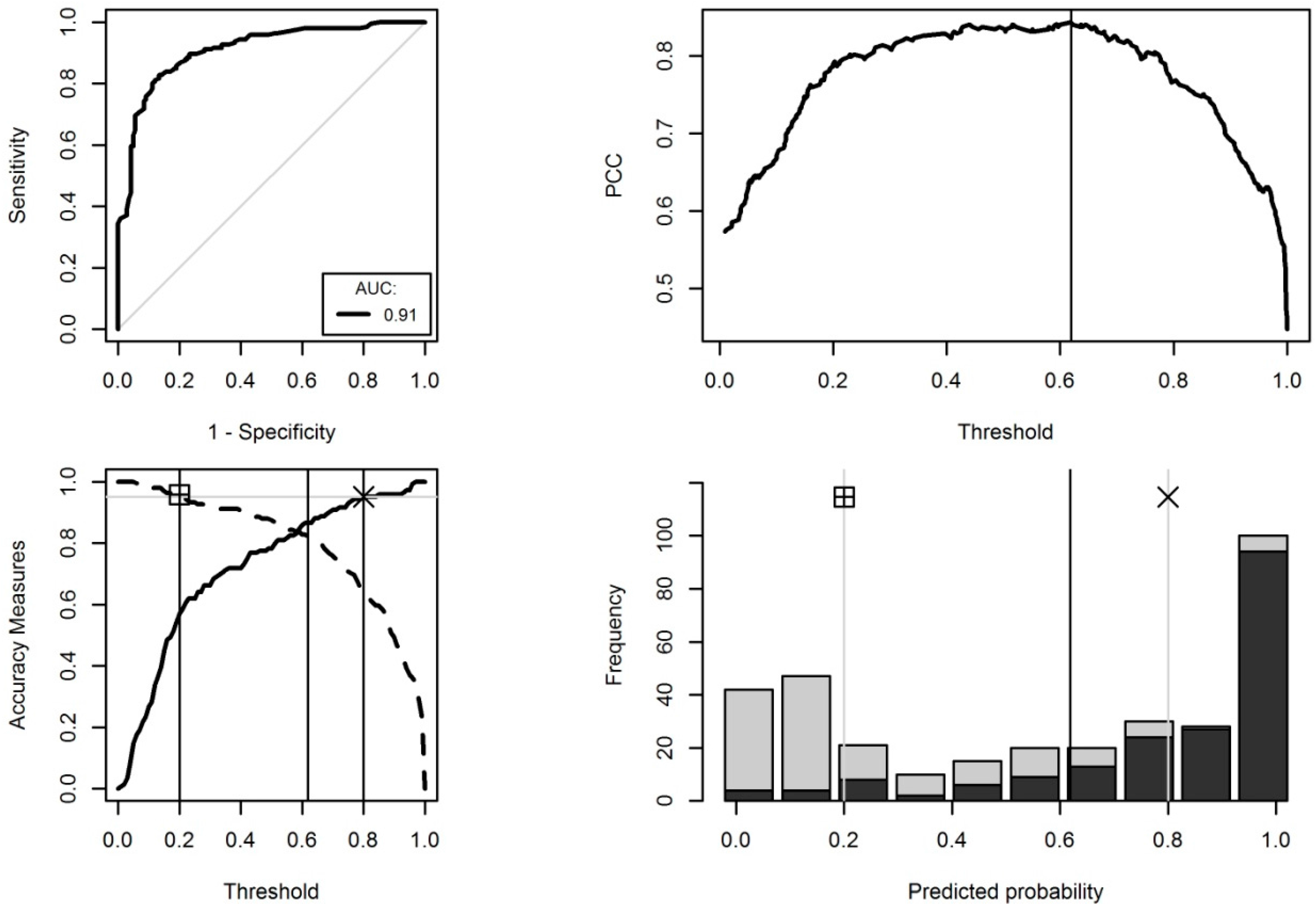
2.11. Model Performance
2.12. Confidence
2.13. Representation on Maps
3. Results
3.1. Feature Selection
3.2. Model Performance and Confidence
3.3. Spatial Representation
3.4. Predictor Feature Importance
4. Discussion
Supplementary Materials
Acknowledgments
Author Contributions
Conflicts of Interest
References
- Roberts, J.M.; Wheeler, A.J.; Freiwald, A. Reefs of the Deep: The Biology and Geology of Cold-Water Coral Ecosystems. Science 2006, 312, 543–547. [Google Scholar] [CrossRef] [PubMed]
- Baillon, S.; Hamel, J.-F.; Wareham, V.E.; Mercier, A. Deep cold-water corals as nurseries for fish larvae. Front. Ecol. Environ. 2012, 10, 351–356. [Google Scholar] [CrossRef]
- Costello, M.J.; McCrea, M.; Freiwald, A.; Lundälv, T.; Jonsson, L.; Bett, B.J.; van Weering, T.C.E.; de Haas, H.; Roberts, J.M.; Allen, D. Role of cold-water Lophelia pertusa coral reefs as fish habitat in the NE Atlantic. In Cold-Water Corals and Ecosystems; Freiwald, A., Roberts, J.M., Eds.; Springer: Berlin/Heidelberg, Germany, 2005; pp. 771–805. ISBN 978-3-540-27673-9. [Google Scholar]
- Auster, P.J. Are deep-water corals important habitats for fishes? In Cold-Water Corals and Ecosystems; Freiwald, A., Roberts, J.M., Eds.; Springer: Berlin/Heidelberg, Germany, 2005; pp. 747–760. ISBN 978-3-540-27673-9. [Google Scholar]
- Althaus, F.; Williams, A.; Schlacher, T.; Kloser, R.J.; Green, M.; Barker, B.; Bax, N.; Brodie, P. Impacts of bottom trawling on deep-coral ecosystems of seamounts are long-lasting. Mar. Ecol. Prog. Ser. 2009, 397, 279–294. [Google Scholar] [CrossRef]
- Hall-Spencer, J.; Allain, V.; Fosså, J.H. Trawling damage to Northeast Atlantic ancient coral reefs. Proc. R. Soc. Lond. Ser. B Biol. Sci. 2002, 269, 507–511. [Google Scholar] [CrossRef] [PubMed]
- Fosså, J.H.; Mortensen, P.B.; Furevik, D.M. The deep-water coral Lophelia pertusa in Norwegian waters: Distribution and fishery impacts. Hydrobiologia 2002, 471, 1–12. [Google Scholar] [CrossRef]
- Huvenne, V.A.I.; Bett, B.J.; Masson, D.G.; Le Bas, T.P.; Wheeler, A.J. Effectiveness of a deep-sea cold-water coral Marine Protected Area, following eight years of fisheries closure. Biol. Conserv. 2016, 200, 60–69. [Google Scholar] [CrossRef]
- Fisher, C.R.; Hsing, P.-Y.; Kaiser, C.L.; Yoerger, D.R.; Roberts, H.H.; Shedd, W.W.; Cordes, E.E.; Shank, T.M.; Berlet, S.P.; Saunders, M.G.; et al. Footprint of Deepwater Horizon blowout impact to deep-water coral communities. Proc. Natl. Acad. Sci. USA 2014, 111, 11744–11749. [Google Scholar] [CrossRef] [PubMed]
- Purser, A.; Thomsen, L. Monitoring strategies for drill cutting discharge in the vicinity of cold-water coral ecosystems. Mar. Pollut. Bull. 2012, 64, 2309–2316. [Google Scholar] [CrossRef] [PubMed]
- Guinotte, J.M.; Orr, J.; Cairns, S.; Freiwald, A.; Morgan, L.; George, R. Will human-induced changes in seawater chemistry alter the distribution of deep-sea scleractinian corals? Front. Ecol. Environ. 2006, 4, 141–146. [Google Scholar] [CrossRef]
- Hoegh-Guldberg, O.; Poloczanska, E.S.; Skirving, W.; Dove, S. Coral Reef Ecosystems under Climate Change and Ocean Acidification. Front. Mar. Sci. 2017, 4, 158. [Google Scholar] [CrossRef]
- Maier, C.; Watremez, P.; Taviani, M.; Weinbauer, M.G.; Gattuso, J.P. Calcification rates and the effect of ocean acidification on Mediterranean cold-water corals. Proc. R. Soc. Lond. Ser. B Biol. Sci. 2012, 279, 1716–1723. [Google Scholar] [CrossRef] [PubMed]
- Büscher, J.V.; Form, A.U.; Riebesell, U. Interactive Effects of Ocean Acidification and Warming on Growth, Fitness and Survival of the Cold-Water Coral Lophelia pertusa under Different Food Availabilities. Front. Mar. Sci. 2017, 4, 101. [Google Scholar] [CrossRef]
- Davies, A.J.; Wisshak, M.; Orr, J.C.; Murray Roberts, J. Predicting suitable habitat for the cold-water coral Lophelia pertusa (Scleractinia). Deep Sea Res. Part I Oceanogr. Res. Pap. 2008, 55, 1048–1062. [Google Scholar] [CrossRef]
- Davies, A.J.; Guinotte, J.M. Global Habitat Suitability for Framework-Forming Cold-Water Corals. PLoS ONE 2011, 6, e18483. [Google Scholar] [CrossRef] [PubMed]
- Wheeler, A.J.; Beyer, A.; Freiwald, A.; de Haas, H.; Huvenne, V.A.I.; Kozachenko, M.; Olu-Le Roy, K.; Opderbecke, J. Morphology and environment of cold-water coral carbonate mounds on the NW European margin. Int. J. Earth Sci. 2007, 96, 37–56. [Google Scholar] [CrossRef]
- Bellec, V.K.; Thorsnes, T.; Bøe, R. Mapping of Bioclastic Sediments—Data, Methods and Confidence. Available online: http://www.ngu.no/upload/Publikasjoner/Rapporter/2014/2014_006.pdf (accessed on 10 November 2017).
- Thorsnes, T.; Bellec, V.; Baeten, N.; Plassen, L.; Bjarnadóttir, L.; Ottesen, D.; Dolan, M.; Elvenes, S.; Rise, L.; Longva, O.; et al. The Seabed - Marine Landscapes, Geology and Processes. Available online: http://mareano.no/resources/images/2015/chapter-7.pdf (accessed on 10 November 2017).
- Bjarnadóttir, L.R.; Ottesen, D.; Bellec, V.; Lepland, A.; Elvenes, S.; Dolan, M.; Bøe, R.; Rise, L.; Thorsnes, T.; Selboskar, O.H. Geologisk Havbunnskart, KART 65000900, Mai 2017. M 1: 100 000. 2017. Available online: http://www.ngu.no/upload/Publikasjoner/Kart/Maringeologi/Geologisk_havbunnskart_65000900.pdf (accessed on 10 December 2017).
- Buhl-Mortensen, P.; Buhl-Mortensen, L.; Dolan, M. Bottom Habitats and Fauna. Available online: http://mareano.no/resources/images/2015/chapter-7.pdf (accessed on 10 November 2017).
- Wilson, M.F.J.; O’Connell, B.; Brown, C.; Guinan, J.C.; Grehan, A.J. Multiscale Terrain Analysis of Multibeam Bathymetry Data for Habitat Mapping on the Continental Slope. Mar. Geodesy 2007, 30, 3–35. [Google Scholar] [CrossRef]
- Sappington, J.M.; Longshore, K.M.; Thompson, D.B. Quantifying Landscape Ruggedness for Animal Habitat Analysis: A Case Study Using Bighorn Sheep in the Mojave Desert. J. Wildl. Manag. 2007, 71, 1419–1426. [Google Scholar] [CrossRef]
- Lundblad, E.R.; Wright, D.J.; Miller, J.; Larkin, E.M.; Rinehart, R.; Naar, D.F.; Donahue, B.T.; Anderson, S.M.; Battista, T. A Benthic Terrain Classification Scheme for American Samoa. Mar. Geodesy 2006, 29, 89–111. [Google Scholar] [CrossRef]
- Krämer, K.; Holler, P.; Herbst, G.; Bratek, A.; Ahmerkamp, S.; Neumann, A.; Bartholomä, A.; van Beusekom, J.E.E.; Holtappels, M.; Winter, C. Abrupt emergence of a large pockmark field in the German Bight, southeastern North Sea. Sci. Rep. 2017, 7, 5150. [Google Scholar] [CrossRef] [PubMed]
- Hay, G.J.; Castilla, G. Geographic Object-Based Image Analysis (GEOBIA): A new name for a new discipline. In Object-Based Image Analysis: Spatial Concepts for Knowledge-Driven Remote Sensing Applications; Blaschke, T., Lang, S., Hay, G.J., Eds.; Springer: Berlin/Heidelberg, Germany, 2008; pp. 75–89. [Google Scholar]
- Blaschke, T.; Hay, G.J.; Kelly, M.; Lang, S.; Hofmann, P.; Addink, E.; Queiroz Feitosa, R.; van der Meer, F.; van der Werff, H.; van Coillie, F.; et al. Geographic Object-Based Image Analysis—Towards a new paradigm. J. Photogramm. Remote Sens. 2014, 87, 180–191. [Google Scholar] [CrossRef] [PubMed]
- Schiewe, J. Segmentation of high-resolution remotely sensed data—Concepts, applications and problems. In Proceedings of the Symposium on Geospatial Theory, Processing and Applications, Ottawa, ON, Canada, 9–12 July 2002. [Google Scholar]
- Kursa, M.; Rudnicki, W. Feature selection with the Boruta Package. J. Stat. Softw. 2010, 36, 1–11. [Google Scholar] [CrossRef]
- Guyon, I.; Elisseeff, A. An Introduction to Variable and Feature Selection. J. Mach. Learn. Res. 2003, 3, 1157–1182. [Google Scholar]
- Breiman, L. Random Forests. Mach. Learn. 2001, 45, 5–32. [Google Scholar] [CrossRef]
- Prasad, A.M.; Iverson, L.R.; Liaw, A. Newer classification and regression tree techniques: Bagging and random forests for ecological prediction. Ecosystems 2006, 9, 181–199. [Google Scholar] [CrossRef]
- Huang, Z.; Siwabessy, J.; Nichol, S.L.; Brooke, B.P. Predictive mapping of seabed substrata using high-resolution multibeam sonar data: A case study from a shelf with complex geomorphology. Mar. Geol. 2014, 357, 37–52. [Google Scholar]
- Diesing, M.; Kröger, S.; Parker, R.; Jenkins, C.; Mason, C.; Weston, K. Predicting the standing stock of organic carbon in surface sediments of the North–West European continental shelf. Biogeochemistry 2017, 135, 183–200. [Google Scholar] [CrossRef]
- Hasan, R.C.; Ierodiaconou, D.; Monk, J. Evaluation of Four Supervised Learning Methods for Benthic Habitat Mapping Using Backscatter from Multi-Beam Sonar. Remote Sens. 2012, 4, 3427–3443. [Google Scholar] [CrossRef]
- Cutler, D.; Edwards, T.; Beards, K.; Cutler, A.; Hess, K.; Gibson, J.; Lawler, J. Random Forests for classification in Ecology. Ecology 2007, 88, 2783–2792. [Google Scholar] [CrossRef] [PubMed]
- James, G.; Witten, D.; Hastie, T.; Tibshirani, R. An Introduction to Statistical Learning; Springer: Berlin/Heidelberg, Germany, 2013; ISBN 9781461471370. [Google Scholar]
- Liaw, A.; Wiener, M. Classification and regression by randomForest. R News 2002, 2, 18–22. [Google Scholar] [CrossRef]
- Roberts, J.J.; Best, B.D.; Dunn, D.C.; Treml, E.A.; Halpin, P.N. Marine Geospatial Ecology Tools: An integrated framework for ecological geoprocessing with ArcGIS, Python, R, MATLAB, and C++. Environ. Model. Softw. 2010, 25, 1197–1207. [Google Scholar] [CrossRef]
- Perkins, N.J.; Schisterman, E.F. The inconsistency of “optimal” cutpoints obtained using two criteria based on the receiver operating characteristic curve. Am. J. Epidemiol. 2006, 163, 670–675. [Google Scholar] [CrossRef] [PubMed]
- Kuhn, M. Building Predictive Models in R Using the caret Package. J. Stat. Softw. 2008, 28, 1–26. [Google Scholar] [CrossRef]
- Downie, A.L.; Dove, D.; Westhead, R.K.; Diesing, M.; Green, S.; Cooper, R. Semi-Automated Mapping of Rock in the North Sea; JNCC Report 592; JNCC: Peterborough, UK, 2016. [Google Scholar] [CrossRef]
- Freeman, E.A.; Moisen, G. PresenceAbsence: An R Package for Presence Absence Analysis. J. Stat. Softw. 2008, 23, 1–31. [Google Scholar] [CrossRef]
- Sing, T.; Sander, O.; Beerenwinkel, N.; Lengauer, T. ROCR: Visualizing classifier performance in R. Bioinformatics 2005, 21, 3940–3941. [Google Scholar] [CrossRef] [PubMed]
- Rattray, A.J.; Ierodiaconou, D.; Monk, J.; Laurenson, L.; Kennedy, P. Quantification of Spatial and Thematic Uncertainty in the Application of Underwater Video for Benthic Habitat Mapping. Mar. Geodesy 2014, 37, 315–336. [Google Scholar] [CrossRef]
- Diesing, M.; Mitchell, P.; Stephens, D. Image-based seabed classification: What can we learn from terrestrial remote sensing? ICES J. Mar. Sci. 2016, 73, 2425–2441. [Google Scholar] [CrossRef]
- De Clippele, L.H.; Gafeira, J.; Robert, K.; Hennige, S.; Lavaleye, M.S.; Duineveld, G.C.A.; Huvenne, V.A.I.; Roberts, J.M. Using novel acoustic and visual mapping tools to predict the small-scale spatial distribution of live biogenic reef framework in cold-water coral habitats. Coral Reefs 2017, 36, 255–268. [Google Scholar] [CrossRef]
- Lillis, H. A Three-Step Confidence Assessment Framework for Classified Seabed Maps; JNCC Report 591; JNCC: Peterborough, UK, 2016. [Google Scholar]
- Titschack, J.; Baum, D.; De Pol-Holz, R.; López Correa, M.; Forster, N.; Flögel, S.; Hebbeln, D.; Freiwald, A. Aggradation and carbonate accumulation of Holocene Norwegian cold-water coral reefs. Sedimentology 2015, 62, 1873–1898. [Google Scholar] [CrossRef]







| Derivative | Description | Abb. | Unit | Reference |
|---|---|---|---|---|
| Slope | The maximum slope gradient | slope | ° | [22] |
| Roughness | The difference between minimum and maximum of a cell and its eight neighbours. | rgh | m | [22] |
| Vector ruggedness measure (VRM) | The variation in three-dimensional orientation of grid cells within a neighbourhood. A radius of 3 pixels was used. | vrm3 | - | [23] |
| Curvature | Rate of change of slope. Profile (PR) curvature is measured parallel to maximum slope; plan (PL) curvature is measured perpendicular to slope. | Curv curvPL curvPR | - | [22] |
| Bathymetric position index (BPI) | Vertical position of a cell relative to its neighbourhood. Radii of 3, 5, 10 and 25 pixels were used. | bpi3 bpi5 bpi10 bpi25 | m | [24] |
| Zero-mean bathymetry | A moving mean filter with a rectangular neighbourhood of 25 m by 25 m was applied to the bathymetry layer. The resulting smoothed bathymetry was subtracted from the bathymetry layer. | 0mean | m | [25] |
| Feature Type | Features |
|---|---|
| Object mean value (Mean_...) | slope, rgh, vrm3, curv, curvPL, curvPR, bpi3, bpi5, bpi10, bpi25, 0mean |
| Maximum pixel value (Max_...) | slope, rgh, vrm3, curvPL, bpi3, 0mean |
| Extent | Area (Area_Pxl), border length (Border_len), length-width ratio (LengthWidt) |
| Shape | Asymmetry, compactness (Compactnes), elliptic fit (Elliptic_f), main direction (Main_direc) |
| Training | Test | Sum | |
|---|---|---|---|
| Presence (1) | 382 | 191 | 573 |
| Absence (0) | 285 | 142 | 427 |
| Sum | 667 | 333 | 1000 |
| Observed Absence | Observed Presence | |
|---|---|---|
| Predicted absence | True negative (TN) | False negative (FN) |
| Predicted presence | False positive (FP) | True positive (TP) |
| Feature | VIF |
|---|---|
| Mean_curPL | 2.654873 |
| Mean_rgh | 1.9249 |
| Mean_curPR | 2.250794 |
| LengthWidt | 1.133754 |
| Area_Pxl | 1.340249 |
| Mean_bpi25 | 2.28189 |
© 2018 by the authors. Licensee MDPI, Basel, Switzerland. This article is an open access article distributed under the terms and conditions of the Creative Commons Attribution (CC BY) license (http://creativecommons.org/licenses/by/4.0/).
Share and Cite
Diesing, M.; Thorsnes, T. Mapping of Cold-Water Coral Carbonate Mounds Based on Geomorphometric Features: An Object-Based Approach. Geosciences 2018, 8, 34. https://doi.org/10.3390/geosciences8020034
Diesing M, Thorsnes T. Mapping of Cold-Water Coral Carbonate Mounds Based on Geomorphometric Features: An Object-Based Approach. Geosciences. 2018; 8(2):34. https://doi.org/10.3390/geosciences8020034
Chicago/Turabian StyleDiesing, Markus, and Terje Thorsnes. 2018. "Mapping of Cold-Water Coral Carbonate Mounds Based on Geomorphometric Features: An Object-Based Approach" Geosciences 8, no. 2: 34. https://doi.org/10.3390/geosciences8020034
APA StyleDiesing, M., & Thorsnes, T. (2018). Mapping of Cold-Water Coral Carbonate Mounds Based on Geomorphometric Features: An Object-Based Approach. Geosciences, 8(2), 34. https://doi.org/10.3390/geosciences8020034

