Abstract
“Free-floating, non-deuterium-burning, substellar objects” are isolated bodies of a few Jupiter masses found in very young open clusters and associations, nearby young moving groups, and in the immediate vicinity of the Sun. They are neither brown dwarfs nor planets. In this paper, their nomenclature, history of discovery, sites of detection, formation mechanisms, and future directions of research are reviewed. Most free-floating, non-deuterium-burning, substellar objects share the same formation mechanism as low-mass stars and brown dwarfs, but there are still a few caveats, such as the value of the opacity mass limit, the minimum mass at which an isolated body can form via turbulent fragmentation from a cloud. The least massive free-floating substellar objects found to date have masses of about 0.004 Msol, but current and future surveys should aim at breaking this record. For that, we may need LSST, Euclid and WFIRST.
1. Introduction
I can’t answer why (I’m not a gangstar)But I can tell you how (I’m not a flam star)We were born upside-down (I’m a star’s star)Born the wrong way ’round (I’m not a white star)I’m a blackstar, I’m not a gangstarI’m a blackstar, I’m a blackstarI’m not a pornstar, I’m not a wandering starI’m a blackstar, I’m a blackstarBlackstar, ★ (2016), David Bowie
The tenth star of George van Biesbroeck’s catalogue of high, common, proper motion companions, vB 10, was from the end of the Second World War to the early 1980s, and had an entry on the least massive star known [1,2,3]. At only 6 pc (actually 5.91 pc with recent Gaia DR2 data [4]) and with an M8.0 V spectral type [5,6], the mass of vB 10 was estimated at about 0.08 Msol, at the theoretical limit for sustaining nuclear fusion of ordinary hydrogen (1H). The red dwarf had not only a very low mass, but it was also very cold (Teff ~ 2600 K) and very small (R ~ 0.11 Rsol) and, therefore, had a very low luminosity (L ~ 0.0004 Lsol). Although later its mass was revised to above 0.09 Msol [7] and LHS 2924, first [8], and many other red dwarfs, afterwards, took its place as “the least massive star in the solar neighborhood”, the existence of vB 10 challenged both observational and theoretical astrophysicists for four decades.
Is there a mass limit for the least luminous stars? Is there a bridge between the least massive stars and the most massive planets? Are there planets larger than Jupiter? What are the physics inside such bodies? In the early 1960s, these questions fluttered in the heads of several theoretical astrophysicists [9]. In a pioneering work published in 1963, Shiv S. Kumar constructed a grid of completely convective models of “stars” of masses from 0.09 Msol to 0.04 Msol and showed that there is a lower limit to the mass of the stellar main sequence. In his words:
“The stars with mass less than this limit become completely degenerate stars or ‘black’ dwarfs as a consequence of gravitational contraction, and, therefore, they never go through the normal stellar evolution” [10].
To this, Chushiro Hayashi and Takenori Nakano added in the same year that,
“The stars less massive than 0.08 Msol are found to contract toward the configurations [sic] of high electron-degeneracy without hydrogen burning” [11].
That is, Kumar, Hayashi and Nakano predicted that there could be substellar objects beyond the bottom of the stellar main sequence but, if they existed, they would be degenerate, completely convective, not able to burn hydrogen in their interiors, and would cool down and get faint for ever. To avoid the confusion with actual “black dwarfs”, i.e., theoretical extremely old white dwarfs that will cool sufficiently that their radiation in the visible and near-infrared will hardly be detected [12,13], in 1975 Jill Tarter coined the name “brown dwarfs” for such substellar objects [14].
The publication of less and less massive stars and some controvertible brown dwarf candidates populated astronomy journals in the late 1980s and early 1990s: PC 0025+0047 and DY Psc (BRI 0021-0214), dwarfs with spectral spectral type “M9 or later” [15,16]; GD 165 B, recognized as an L dwarf companion to a white dwarf over a decade after its discovery [17,18]; HD 114762 b, a radial-velocity companion to an F9 V star with a minimum mass of only 0.011 Msol [19]; vB 8 B and ZZ Psc B, fake brown dwarfs based on poor quality data [20,21]; LP 944-20, a very late field M dwarf discovered in 1975 that could be very young and, thus, have a substellar mass [22,23]; [24] Oph 2321.1-1715, 2408.6-2229 and 2412.9-2447, three reddened, embedded sources in the core of ρ Ophiuchi and whose nature is still debated [24,25], and many more.
In 1994, “there was a palpable sense of frustration at the failure of many efforts to confirm a single brown dwarf” [26]. However, in the following year, the same miraculous year when the first exoplanet was found in orbit to a main sequence star, 51 Peg b [27], the first two uncontrovertible brown dwarfs appeared on stage: Teide 1, a free-floating high-mass brown dwarf that passed the lithium test in the young Pleiades cluster [28,29] (published just before PPl 15 AB, a pair of true brown dwarfs also in the Pleiades [30]), and GJ 229 B, a T-type wide companion to the nearby star HD 42581 (also known as GJ 229) [31,32].
Since then, we have found hundreds, if not thousands, of substellar objects: from accreting and disk-bearing brown dwarfs in the young σ Orionis open cluster [33,34,35], through Luhman 16 AB, a brown dwarf binary at the L-T transition and the third-closest-known system to the Sun after α Centauri and Barnard’s star [36], to the numerous ultracool dwarfs in the field with parallaxes measured by the ESA Gaia mission [37]. Almost a quarter-century after the discovery and correct identification of the first brown dwarfs, we have compared our theoretical models [38,39,40,41,42,43,44] with our observations [45,46,47,48,49,50,51,52,53,54,55], defined three new spectral subtypes for classifying them, L, T and Y [56,57,58,59,60], and found that some substellar objects can have effective temperatures as cool as 225–260 K (e.g., WISE 085510.83-071442.5 [61]); a temperature colder than a Siberian winter night!
By definition, brown dwarfs do not burn the common isotope of hydrogen (1H) through the proton-proton chain reaction. However, it is widely accepted that all of them burn deuterium (2H) and, only the most massive ones, lithium (especially the most abundant isotope, 7Li). As we will see below there are, however, some alternative brown dwarf definitions based on their formation mechanism (i.e., similar to that of planets in circumstellar discs) rather than in their internal physics.
Similarly to main-sequence stars, the lower the mass of the brown dwarf, the lower its central temperature. The minimum temperature for hydrogen burning is about 3 106 K, which translates at solar metallicity into a theoretical substellar boundary mass of 0.072 Msol. It is the hydrogen burning mass limit or, in other words, the bottom of the main sequence. Lithium nuclei are destroyed by collisions with protons at slightly lower central temperatures of about 2 106 K. According to the Lyon theoretical models [40], a 0.06 Msol-mass object of solar metallicity and age destroys all its lithium, but a 0.05 Msol-mass one preserves 92% of the original lithium content (this is the basis of the lithium test for assessing the substellar nature of an object: after a certain time, if its spectrum displays the Li I λ6707.8 Å resonant doublet line—and there has not been lithium dragging or other exotic process–then the object is indeed a brown dwarf [62,63]).
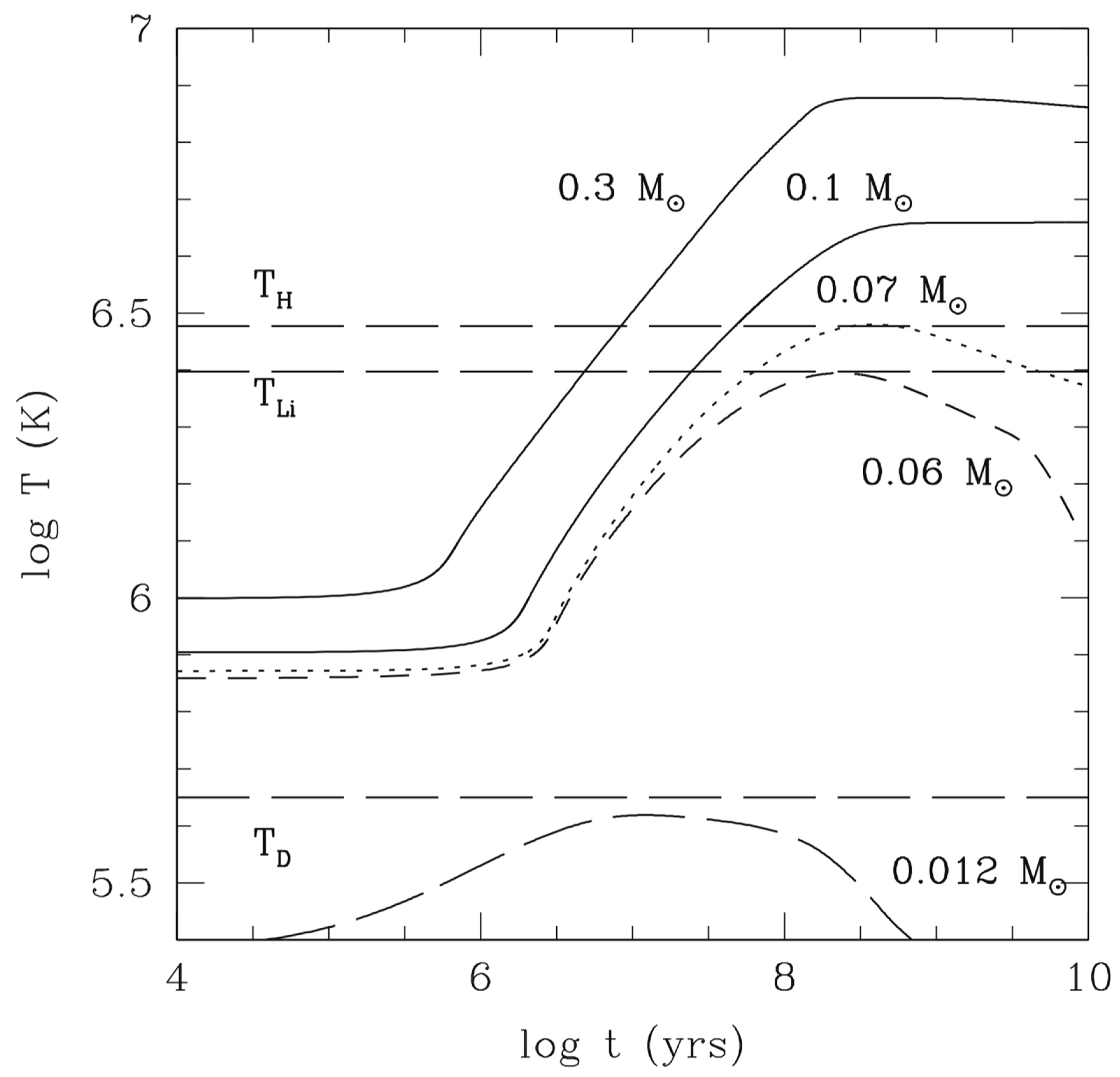
The minimum temperature for deuterium burning is much lower, of only 0.5 106 K (while the proton-proton chain is driven by the weak nuclear force, the primary reaction of the deuterium thermonuclear fusion, D(p+,γ)3He, is driven by the electromagnetic force [64,65]). A brown dwarf of 0.013 Msol and solar metallicity can reach, and only for a brief duration at the early stages of evolution, such an internal temperature. Any substellar object below that mass, the deuterium burning mass limit, will not be able to sustain any nuclear fusion reaction in their interior (Figure 1).
Figure 1.
Central temperature of stars, brown dwarfs and “planetary-mass objects” as a function of age for 0.3, 0.1, 0.07, 0.06 and 0.012 Msol, from top to bottom. Dashed horizontal lines mark the burning temperatures for 1H hydrogen, 7Li lithium and 2H deuterium. “Planetary-mass objects” never reach a central temperature for deuterium fusion. Reproduced with permission from [66].
In parallel to the brown dwarf discoveries of the last two decades and a half, the exoplanet hunters have competed against themselves in the search for the radial-velocity planet with the lowest minimum mass, the transiting planet with the smallest radius, the planet with the most suitable atmosphere for characterization, the planet with the most similar conditions to the Earth, the closest planetary system, the planetary system with most planets [67,68,69,70,71,72,73,74,75,76,77,78]. In a 21st century version of the Olympic motto Citius, altius, fortius, exoplanet hunters pursuit not only “more”, but “the most”. And in this pursuit they also find “superjupiters”: exoplanets with masses several times greater than that of Jupiter. These superjupiters are found around stars in close orbits (with periods of a few days), mostly with spectroscopy and the radial velocity method, and in wide orbits (with periods of decades and centuries), mostly with direct imaging and adaptive optics. Examples of such superjupiters are, on one side, 70 Vir b and τ Boo Ab, with minimum masses of about 0.005–0.007 Msol [79,80], and, on the other side, the four planetary companions of HD 218396 (also known as HR 8799), with masses between 0.004 Msol and 0.010 Msol [81,82]. (Actually, exoplanet hunters use Jupiter masses, MJup, or even Earth masses, MTerra, instead of solar masses: 1 Msol = 1047.6 MJup; 1 MJup = 317.8 MTerra).
Now we can interrogate ourselves again: Is there a mass limit for the least luminous brown dwarfs? Is it the deuterium burning mass limit? Is there a bridge between the least massive brown dwarfs and the most massive planets? How do we call free-floating substellar objects that do not fuse deuterium and have masses similar to those of superjupiters? Are they planets or brown dwarfs? Where and how do we find them? How do they form? How do they evolve? How is the physics inside such bodies? Here I try to answer these questions and review the most important ideas on free-floating, non-deuterium-burning, substellar objects detected with direct imaging (see [83] in this volume for a review on free-floating, non-deuterium-burning, substellar objects detected with microlensing).
2. Nomenclature
Finding an appropriate, short name for our “free-floating, non-deuterium-burning, substellar objects” is a dilemma. Here there are some of the names used for designating them:
- Cluster planet
- Directly-imaged gas-giant planet
- Free-floating planet
- Free-floating planetary-mass brown dwarf
- Interstellar planet
- Isolated extrasolar giant planet
- Isolated planetary-mass object
- Nomad planet
- Orphan planet
- Plamo (contraction of “planetary-mass object”)
- Planemo (idem)
- Planetar (originally coined for designating brown dwarfs)
- Rogue planet
- Starless planet
- Sub-brown dwarf
- Sunless planet
- Superjupiter
- Wandering planet
In 2003, the Working Group on Extrasolar Planets (WGESP) of the International Astronomical Union presented a position statement on the definition of a planet, which is complementary to the definition voted in Prague in 2006 of a solar system planet (the one in which Pluto became a dwarf planet). WGESP agreed on the following [84]:
- Objects with true masses below the limiting mass for thermonuclear fusion of deuterium (currently calculated to be 13 Jupiter masses [0.013 Msol] for objects of solar metallicity) that orbit stars or stellar remnants are “planets” (no matter how they formed). The minimum mass/size required for an extrasolar object to be considered a planet should be the same as that used in our Solar System.
- Substellar objects with true masses above the limiting mass for thermonuclear fusion of deuterium are “brown dwarfs”, no matter how they formed nor where they are located.
- Free-floating objects in young star clusters with masses below the limiting mass for thermonuclear fusion of deuterium are not “planets”, but are “sub-brown dwarfs” (or whatever name is most appropriate).
This position statement is illustrated by the flowchart in Figure 2. As emphasized by WGESP, this was a working definition and “a compromise between definitions based purely on the deuterium-burning mass or on the formation mechanism”. WGESP also “expected this definition to evolve as our knowledge improves” [84]. This definition does not include free-floating, non-deuterium-burning, substellar objects around a brown dwarf (Section 3.2). The first WGESP name proposal for substellar objects that are neither brown dwarfs or planets was “sub-brown dwarf”. However, this term may lead to confusion with “brown subdwarfs”, i.e., low-metallicity ultracool dwarfs of mid-L spectral type or later that extrapolate the luminosity class VI at the bottom of and slightly below the main sequence [85,86,87,88,89,90]. All other names enumerated at the beginning of this section carry the chain “plane-” (e.g., rogue planet, isolated planetary-mass object, planemo or “brown” (e.g., free-floating planetary-mass brown dwarf)). Given the difficulty in reading “free-floating, non-deuterium-burning, substellar object” or its corresponding acronym (FFNDBSO), that this review is part of a special issue on “Detection and characterization of extrasolar planets”, and for emphasizing that such bodies are not physically bound to any star or stellar remnant, hereafter I will use the term “isolated planetary-mass object” or, better, the acronym iPMO for designating them.
Figure 2.
Flowchart of the Working Group on Extrasolar Planets position statement on the definition of a planet (1 Msol = 1047.6 MJup). The acronym iPMO stands for “isolated planetary-mass object”, but it can be replaced by “sub-brown dwarf (or whatever name is most appropriate)”. The asterisks of stars indicate that some of them also burn helium and more massive isotopes, and that planets orbit stars, white dwarfs, neutron stars or black holes. Image courtesy of the author.
The planet/brown dwarf/iPMO classification used here and by WGESP is in contradiction with the physical criteria for including a candidate in exoplanet catalogues. For example, The Extrasolar Planets Encyclopaedia [91] tabulates to date 3820 exoplanet candidates in 2854 planetary systems. The encyclopaedia’s former upper mass limits were 0.013 Msol, based on the deuterium burning limit, and 0.030 Msol, based on some formation scenarios (Section 5). However, the current limit is 0.060 Msol + 1σ because, as pointed out by [92], “the mass-density-radius distribution shows a clear difference between giant planets and stars at 60 MJup [0.060 Msol].” As a result, the encyclopaedia currently lists many brown dwarfs according to the WGESP definition (either single, as Teide 1 [28], or companions, as GJ 229 B [31]), as well as a few nearby iPMO candidates, which may also lead to confusion to newcomers (Figure 3).
Figure 3.
Mass or minimum mass of objects catalogued in The Extrasolar Planets Encyclopaedia as a function of year of discovery until August 2018 [91]. The horizontal lines mark the different Encyclopaedia upper mass limits at 0.060 Msol (dotted), 0.030 Msol (dashed) and 0.013 Msol (solid), from top to bottom. Objects above the solid line (±1σ) are brown dwarfs or stars according to the WGESP definition of planet. Below the solid line there are also a few iPMO candidates. Image courtesy of the author.
3. History of Discovery
The discovery of the first brown dwarfs was a natural consequence of the development of astronomical instrumentation and techniques and the use of larger telescopes with respect to previous searches of low-mass stars. Likewise, the discovery of the first iPMOs originated from new deep searches for faint brown dwarfs, especially in young open clusters. The deeper the survey, the less massive the cluster members. The main aim of these searches was to determine the shape and end of the initial mass function [93,94,95,96] at very low masses, down to below the hydrogen burning limit.
The first iPMOs were published in 2000 in the Orion Nebula Cluster (ONC) by Lucas & Roche [97] and the σ Orionis open cluster by Zapatero Osorio et al. [98], in this order. The UK team did not present any spectroscopic data of their targets until one year later [99], while the Spanish one did it already. Since at least spectral type determination is necessary at these very low masses for identifying possible contaminants, both European teams [97,98] are now widely recognized by their quasi-simultaneous discoveries. One year before, another Japanese team had also found a few embedded targets in the clouds of Chamaeleon [100], but the high extinction prevented astronomers from confirming their nature for years [101], while [102] reached the deuterium burning mass limit in IC 348, but could not go deeper.
The targets found and the techniques and facilities used by both UK and Spanish teams were quite similar. ONC and σ Orionis are more or less at the same heliocentric distance (d ~ 400 pc) [103,104,105,106,107,108] and galactic latitude, have solar metallicity [109,110], are located in the same direction towards the antapex in the Ori OB1 association, and project the same angular size on the sky of about 1 deg. ONC in the Orion Sword is slightly younger (t ~ 1 Ma) than σ Orionis in the Orion Belt (t ~ 3 Ma) [34,111,112,113,114]. As a result, the extinction is larger in ONC than in σ Orionis: while one could see all Milky Way stars in the line of sight of the Orion Belt with an ultradeep survey [115], there is only contamination by foreground sources towards the Orion Sword. The age and extinction effects compensate each other, and the substellar boundary in ONC and σ Orionis roughly lies at the same magnitude I =17−18 mag [35].
The two teams used wide-field cameras at 2–4 m telescopes and the reddest optical bands suitable at that moment (RIZ). They minimized the number of pointings by surveying the central parts of both clusters, but avoiding the bright Trapezium and Trapezium-like stars at the very centers, which saturate the detectors and generate wide bleeding and smearing lines and optical ghosts (see example of a representative deep survey in Figure 4). After bias and flat-field corrections, they performed the corresponding photometric analysis on the CCD images (generally, aperture photometry first, and point spread function photometry, next), discarded non-stellar sources, plotted color-magnitude diagrams, extrapolated the cluster sequence with the help of theoretical isochrones and bona fide cluster members of higher mass, and applied a certain selection criterion in the diagram(s). After compiling a list of brown dwarf and iPMO candidates, the most promising ones were subject of follow-up near-infrared imaging and spectroscopy at larger telescopes. Given the faintness of iPMOs (and extinction in the case of ONC), with red optical magnitudes of I = 22−25 mag, spectroscopy could be performed only at 4 m to 10 m-class telescopes, and with low spectral resolution.
Figure 4.
Mosaics of I-band images of σ Orionis taken with the Wide Field Camera on the 2.5 Isaac Newton Telescope showing the location of some iPMO candidates in [35]. The size of each small inset picture is 2 × 2 arcmin2; the size of each Wide Field Camera frame is about 11 × 22 arcmin2; the size of the background image from Digitized Sky Survey II Infrared is 1 × 1 deg2. Image courtesy of the author.
Before 2006, very few iPMOs had published spectroscopy because of its faintness. The targets listed in Table 1 consumed hours and hours of research: preparing telescope time proposals, being awarded by time allocation committees, observing in imaging mode in the optical for several consecutive nights (Orion is a winter constellation in the Northern hemisphere, so the fraction of time lost due to bad weather is high), reducing and analyzing the data, selecting iPMO candidates, back to proposals and committees after one semester, back to telescope for near-infrared imaging and spectroscopy, back to reduction and analysis. While today this process can be routine, in the late 1990s and early 2000s the available hardware (hard disks of more than 8 GB were rare) and software (Python 3.0 was released in 2008) made the process to be slow and poorly automated.
Table 1.
iPMO candidates with published spectroscopy before 2006 1.
Not all iPMO candidates listed in Table 1 are actually free-floating, non-deuterium-burning, substellar objects (with masses in parenthesis; actual masses of Cha 110913-773444, S Ori 69 and S Ori 70 are higher than tabulated, but subject to a large uncertainty—Section 4.1). Most of them were found in σ Orionis (they were baptized with the misleading name “S Ori”), but a few of them were also found in ONC, Chamaeleon and as a common proper-motion companion of a young brown dwarf in the TW Hydrae association (Section 3.4). With the extensive use of larger telescopes and deeper surveys, the number of iPMOs with spectroscopy has increased, although not dramatically. However, as we will see below, there is a recently new site for discovering iPMOs, very different from young open clusters and nearby associations, and that has started to bear fruits: just in our immediate vicinity!
4. iPMOs Here and There
4.1. iPMOs in Young Open Clusters
Surveys for iPMOs in open clusters offer advantages over those in the field. All bona fide cluster members, under several assumptions, share a common heliocentric distance, mean proper motion, age and composition, not counting that they are located in a limited region of the sky [124,125,126]. Of course now one can investigate the three-dimensional structure of the Hyades [127,128], look for outlier Pleiads with abnormal proper motions [129,130], quantify an age spread in NGC 2264 [131,132] or refine the age determination of IC 2391 with the lithium depletion boundary method [133,134], but after the second data release of Gaia [4] the major contributors to uncertainty of iPMO masses are theoretical models at very young ages [135] and, in the case of high-extinction star-forming regions, the quality of spectroscopic data from which effective temperatures and, therefore, luminosities are derived.
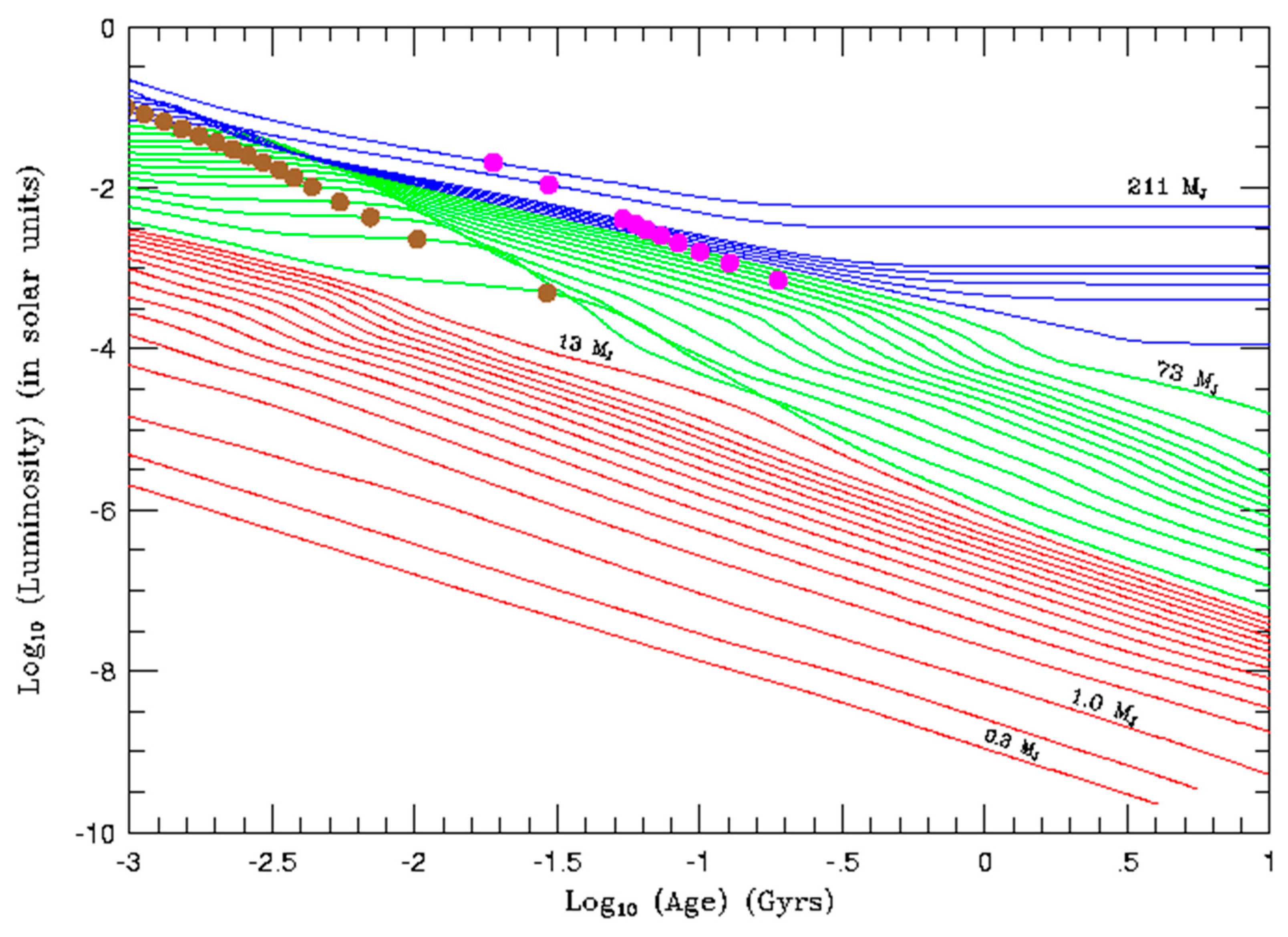
Besides, as well as giant exoplanets, brown dwarfs and low-mass stars, iPMOs in young open clusters and star-forming regions are overluminous with respect to substellar objects of the same mass, but much older, in the field (as a reference, the Sun is 4.6 Ga old). In a sense, they are in a pseudo-Hayashi track that never reaches the zero-age main sequence. As shown in Figure 5, iPMOs younger than about 10 Ma have bolometric luminosities equal or greater than those of the lowest mass stars older than the Hyades (650 Ma [136]).
Figure 5.
Cooling curves for M dwarfs (blue), brown dwarfs (green), and “extrasolar giant planets” (red) according to the evolutionary models of [84]. Magenta and brown circles indicate the times when deuterium fusion ends and grain formation begins, respectively. “Planetary-mass objects” of a few megayears can have luminosities greater than low-mass stars of a few gigayears. Heritage scientific graphic downloaded from Adam Burrows’ home page [137].
The younger, the brighter. Moreover, the younger, the easier recognizing a bona fide cluster member. Since iPMOs share characteristics with other cluster stars and brown dwarfs, there is a number of youth features that make them different from field interlopers. Spectroscopically, young iPMOs display weaker alkali neutral resonance lines (K I, Rb I, Cs I; but Li I deserves a separate discussion: Section 1), stronger titanium and vanadium oxide and weaker hydride absorption bands, and more peaked H-band pseudocontinuum than field objects of the same effective temperature [138,139], and references therein]. Besides, their spectra can also show Hα , which may be strong and/or broad, and other emission lines typical in accreting T Tauri stars and brown dwarfs [140,141]. The spectral energy distributions of several young iPMOs show mid- (or even near-) infrared excess, which is a signpost of a circumsubstellar disc, from which there can be accretion (Section 4). Juvenile iPMOS (t = 30–200 Ma) do not have infrared flux discs, but may also have a flux redistribution between J (1.2 mum) and WISE W2 (4.6 μm) passbands, while keeping a constant bolometric luminosity [142,143,144,145]. Usually iPMOs in young clusters have L spectral types (Teff < 2200 K), but the least massive and/or in juvenile clusters (i.e., the Pleiades) have T spectral types (Teff < 1300 K). However, a T dwarf in the Hyades is still a brown dwarf (e.g., the two early T-dwarf Hyads discovered by [146] have masses of about 0.05 Msol). Non-deuterium-burning substellar objects in the Hyades might have a Y spectral type.
There have been claims of iPMO detections in a number of young open clusters with a wide range of heliocentric distances, ages and extinctions:
- Chamaeleon cloud complex [100,147,148,149]
- Collinder 69 open [150,151]
- IC 348 and NGC 1333 in Perseus [152,153,154,155,156,157]
- Lupus 3 [158]
- Orion Nebula Cluster [98,99,159,160,161,162,163,164]
- Pleiades [165,166,167,168,169,170]
- ρ Ophiuchi cloud complex [171,172,173,174,175,176,177]
- Serpens Core [178]
- σ Orionis open cluster [34,35,98,120,145,179,180,181,182,183,184,185,186,187]
- Taurus-Auriga [188,189]
- Upper Scorpius [138,139,190,191,192,193]
Béjar and Martín [194] compiled 82 spectroscopically-confirmed iPMOs in open clusters and star-forming regions. Of them, 30 belonged to σ Orionis, 20 to the Orion Nebula Cluster, 21 to Upper Scorpius, seven to ρ Ophiuchi, and four to Chamaeleon, Lupus, Taurus and the Pleiades. There are a few differences between the compilation in [194] and Table 1 in this review, such as Cha J110913-773344, S Ori 69 and, especially, S Ori 70 now being considered as interlopers [34,187,195,196,197,198]. Besides, since the compilation by [194] there have been a few new discoveries.
Below, I briefly review four works that present the very latest results in four representative regions: Taurus-Auriga, σ Orionis, Upper Scorpius and the Pleiades. Each of them have their own pros and cons for iPMO searches: Taurus-Auriga is very young and relatively nearby (t ~ 1 Ma, d ~ 140 pc) and has a substantial proper motion, but also has high, variable extinction of up to 20 mag and occupies an extended region in the sky [199,200,201]; Upper Scorpius and Taurus have very similar heliocentric distances, projected size and mean total proper motions, but the former has a much lower extinction, which is counterweighted by an older age of about 10 Ma [202,203,204]; except for the thin nebulae around Merope, Alcyone, and Electra-Celaeno-Taygeta, the Pleiades cluster is virtually free of extinction and slightly closer than Taurus and Upper Scorpius, but is also much older, of about 120 Ma, which makes their iPMOs intrinsically fainter [205,206,207]; σ Orionis is located much further than the other three regions (d = 386 pc [105]), but has an age intermediate between Taurus and Upper Scorpius (t = 3 Ma [34,208]), is much more compact than them and, because of the intense radiation emitted by the eponymous central Trapezium-like system (which erodes the famous Horsehead Nebula [209]), the extinction towards the cluster is very low [210].
Most of the other listed star-forming regions (Chamaeleon, Perseus, Lupus, Orion Nebula Cluster, Ophiuchus, Serpens) have also high extinction and their iPMO candidates need a proper de-reddening. Only the Collinder 69 open cluster, in the Hunter Head, has a low extinction, probably due to the supernova explosion that originated the 12-deg ring around Meissa (λ Orionis) but, with t = 5–10 Ma, it is slightly older than σ Orionis [211,212,213].
4.1.1. Taurus-Auriga
There are planets in Taurus: two of them have been imaged at wide physical separation of FW Tau AB and 2M0441+2301 B [214,215] (see also FU Tau B, a 0.015 Msol brown dwarf at the deuterium-burning mass limit and companion of FU Tau A, a brown dwarf about three times more massive [216]). There are non-deuterium-burning substellar objects with similar masses as well, M ~ 0.008–0.010 Msol, but free-floating in filaments in the intracluster medium together with stars and brown dwarfs (Figure 6).
Figure 6.
Spatial distribution of known members in Taurus. Black filled circles: members known before 2017; red open circles: new members from [189]; blue crosses: new members from [217]; green open triangles: young objects that do not appear to be members; grey scale: extinction map of [218]. Reproduced with permission from [189].
The latest and perhaps most comprehensive search for iPMOs in Taurus was done by Esplin and Luhman [189]. They used astrophotometric data from SDSS [219], IRAC/Spitzer [220], 2MASS [221], UKIDSS [222], Pan-STARRS1 [223], WISE [224] and Gaia DR1 [225]. First, they updated the list of Taurus members of [226] with the new candidates proposed by [217] and [227]. Next, they identified the best candidates with color-magnitude diagrams and proper motions, and obtained near-infrared spectroscopy of the most promising iPMOs candidates with SpeX/IRTF. After spectral classification (M9-L2), their sample included the four faintest known Taurus members and eight of the ten faintest ones in extinction-corrected Ks band. Their least luminous targets should have masses as low as 0.004–0.005 Msol according to evolutionary models, and at least two of them have red mid-infrared colors relative of photospheres of young diskless objects of the same spectral type, which they ascribed to flux excesses from circum(sub)stellar disks (in the same work, [189] also obtained spectra of low-mass brown dwarfs and iPMOS in IC 348 and NGC 1333 clusters in Perseus).
4.1.2. σ Orionis
The σ Orionis open cluster in Ori OB1b is the region par excellence for iPMO searches: it is very young, extinction-free, relatively close, and compact (the spatial distribution of bona fide members follow a stepped power-law radial profile up to 20 arcmin from the cluster center [228]—in this core there is no second radial-velocity population as described by [229], but there is overlapping with other younger stellar populations near the Horsehead Nebula and Alnitak/Flame Nebula at more than 30 arcmin [230]).
The work of Zapatero Osorio et al. [145] was the culmination of a two-decade effort in the search for the mass limit to formation via the opacity-limited fragmentation in σ Orionis. Already ten years earlier, [35] had found that such limit must lie below 0.006 Msol, but at that time, very few iPMOs had spectroscopy, and even less had clear signposts of youth. To fill this gap, [145] compiled the largest collection of high-quality spectra of the least massive objects in the cluster. In particular, they obtained low-resolution spectroscopy in the red optical and near-infrared of 12 iPMOs with magnitudes J = 18.2–19.9 mag. With Osiris/GTC, ISAAC/VLT and FIRE/Magellan, they derived spectral types L0-4.5 and M9-L2.5 in the optical and near infrared, respectively, which correspond to effective temperatures of 2350–1800 K (for low surface gravities log g ~ 4.0). The targets’ spectra revealed signposts of youth (Section 3.1), thus “corroborating their cluster membership and planetary masses” (0.006–0.013 Msol). Including six previously known σ Orionis L dwarfs in the spectrophotometric cluster sequence (Figure 7), two of which have disks [179,180,196], their observations completed spectroscopically, and the σ Orionis mass function presented by [186] down to the limit of their study at 0.006 Msol—there are likely less massive objects that are cluster members. Their concluding remarks, if true, will have an impact on future iPMO searches in the field (Section 6): [145] expected as many 0.006–0.0013 Msol iPMOs as 0.075–0.15 Msol late M and early L stars in the solar neighborhood.
Figure 7.
Optical/near-infrared color–magnitude diagram of σ Orionis low-mass star, brown dwarf, and iPMO candidates from [186] (open circles) and [145] (filled symbols, with new spectroscopic follow-up; see legend). Solid line: 3 Ma isochrone [40]. Columns: theoretical effective temperatures and masses (in MJup) for this isochrone. Reproduced with permission from [145].
4.1.3. Upper Scorpius
There are also planets in Upper Scorpius. Some of them are wide companions to stars and found in direct imaging, such as 1RXS J160929.1-210524 b [231,232] (GSC 06214-00210 B is likely a brown dwarf companion [233,234], such as HD 143567 B [235]), while others are close companions to stars and found with Kepler and the transit method [236,237]. Of them, K2-33 b, a super-Neptune transiting an M3 Upper Scorpius low-mass star, is a cornerstone for understanding the formation and evolution of planets [238,239,240].
Based on a previous photometric survey for objects in the planetary-mass domain, Lodieu et al. [139] presented the most exhaustive characterization of iPMOs in Upper Scorpius. The basis of their work was a very deep 13.5 deg2 ZYJ VIRCAM/VISTA survey complemented with ZYJHK UKIDSS Galactic Cluster Survey data sets and z-band IMACS/Magellan imaging [193]. In their new work, [139] used very deep i-band Osiris/GTC imaging and optical and near-infrared spectroscopy with Osiris/GTC and X-shooter/VLT (Figure 8), together with WISE mid-infrared photometry (and EMIR/GTC near-infrared spectroscopy of one target). Thanks to the corresponding analysis of the photometric and spectroscopic properties of young L-type Upper Scorpius members, they defined the first sequence of iPMOs in the association. Since their survey was limited by the Y-band depth, their J-band images might contain “some yet-to-be-found T-type dwarfs” with masses below 0.005 Msol.
Figure 8.
Normalized Osiris/GTC and X-shooter/VLT (smoothed) spectra of nine Upper Scorpius objects at the deuterium burning mass limit, compared to SpeX spectra of late M and early L field dwarfs. The overall spectral energy distribution matches best the infrared classification. Reproduced with permission from [139].
4.1.4. Pleiades
The Pleiades (Messier 45, Seven Sisters, Siete Cabritillas, Siebengestirn, Sette Palommielle, daughters of Pleione, Manilius’ narrow cloudy train of female stars, Bayer’s Signatricia lumina et septistellium vestis insistoris, Hesperides, Al Thurayya/Al Najm, Subaru/Mutsuraboshi, Baba/Nasedha, Matariki, Krittika, Kimah, Cajupal, Sar en, Ulgher, Πλειαδες, 昴, MULMUL) was the first open cluster known to host substellar objects (Teide 1, PPl 15 AB [28,30]). However, it took almost a decade to find the first objects with masses below the deuterium-burning limit [165,241,242,243], including the ambiguous detection of T-dwarf candidates [244]. In a survey that covered only about 3% of the total area of the cluster, [168] discovered for the first time a population of 19 Pleiades iPMO candidates with proper motions consistent with cluster membership.
Using input data from [168], in their new work, Zapatero Osorio et al. [170] imaged six Pleiades iPMO candidates in z band with Osiris/GTC: Calar 21, 22, 23, 24, 25 and 26. With the same instrument, they also imaged Calar 24 in i band, and took low-resolution (R ~ 270) optical spectroscopy of Calar 21 and 22. Because of its extended full width at half maximum with respect to point-like sources, Calar 23 is a background galaxy. Besides, the proper motion of Calar 26, the faintest source in J band, is compatible with that of the cluster at the 2.5 σ level, so only Calar 21, 22, 24 and 25 remain as astro-photometric Pleiad candidates. Of them, Calar 21 and 22, with approximate spectral types L6-7, extrapolate the spectro-photometric cluster sequence down to the deuterium-burning mass limit (Figure 9). The other two candidates, Calar 24 and 25, may have masses as low as 0.011–0.012 Msol. The [170] findings demonstrated that not all iPMOs have completely escaped the Pleiades, in spite of their very low mass and cluster dynamical relaxation [168,245]. Besides, the four Calar iPMOs are excellent targets for the deuterium test, which was proposed already by [33] to discriminate between brown dwarfs and “free-floating, non-deuterium-burning, substellar objects”.
Figure 9.
Optical/near-infrared color–magnitude diagram of Pleiades low-mass star, brown dwarf, and planetary-mass candidates from [166,168] (black dots) and [170] (red filled circles; see legend). Red asterisk: likely non-member Calar 26. Black arrows: color from Z-band upper limits. Solid line: 120 Ma isochrone [40]. Columns: theoretical effective temperatures and masses (in MJup) for this isochrone. Blue square: VHS J1256-911257 b [246] shifted to the Pleiades distance. Compare with Figure 7. Reproduced with permission from [170].
4.2. (i)PMOs Around Brown Dwarfs
The 2003 WGESP definition of star, brown dwarf, planet and iPMO (Section 2) did not include the possibility of “non-deuterium-burning substellar objects” in orbit to brown dwarfs. A few such possible “planetary-mass companions to brown dwarfs” have been proposed (not the use of “B” instead of “b” in the name):
- TWA 27B (widely known as 2M1207-39b or 2M1207b) [118,119,247,248,249,250,251,252]. It is the ~0.005 Msol-mass common proper motion companion to the young brown dwarf TWA 27A in the ~10 Ma-old TW Hydrae association. They are separated by about 40 au and, because of the low mass of the primary, the system mass ratio is as low as 0.1–0.2, with a moderately high uncertainty that comes from the determination of the actual masses of both TWA 27 A and B. Furthermore, for explaining an apparent underluminosity of the secondary, it may have a surrounding disk, as well as the system primary, which has an impact on the derived mass [253,254,255,256,257,258].
- S Ori 68 [259]. Previously classified as an ~0.005 Msol-mass iPMO in σ Orionis [98,179], it lies at a projected physical separation of ~1700 au to the X-ray-flaring brown dwarf SE 70 [260,261]. In spite of being much more separated than TWA 27AB, [259] showed that the probability of chance alignment between the two cluster bodies was extremely low. Because of the system faintness (JA = 15.27 mag, JB = 20.2 mag), it misses a common proper motion confirmation. The corresponding system mass ratio is 0.2.
- L Ori 167 B [262]. It is a slightly older S Ori 68+SE 70 analog in the Collinder 69 (λ Orionis) open cluster. Although L Ori 167 AB is poorly characterized, the two pairs share similar properties (location in Orion, projected physical separation of ~2000 au, secondary mass of ~0.008 Msol). In the case of L Ori 167, the system mass ratio could be as high as 0.5.
- UScoCTIO 108 B [263]. It is another wide (s ~ 670 au) companion to a young brown dwarf, in this case a high-mass one in Upper Scorpius. However, UScoCTIO 108 B could be as massive as 0.014 Msol, which would disqualify it as a planetary-mass object. The system mass ratio is about 0.2.
- 2MASS J0441489+2301513 B (also known as 2M0441+23Bb) [214,264,265]. With a mass of 0.010 Msol, it is the lowest-mass member of a young, hierarchical, quadruple system in Taurus containing a low-mass star, two brown dwarfs and the planetary-mass object. The primary 2M0441+23Ba at only 15 au is an M8.5V low-mass brown dwarf, and the pair is located at 1800 au to the more massive pair 2MASS J04414565+2301580 AB (2M0441+23AaAb). The Bb/Ba mass ratio is 0.5 [214].
All five planetary-mass companion candidates above have early to mid L spectral types [119,179,214], except for UScoCTIO 108 B, which is an M9.5V [263]. Besides, L Ori 167 B has not been spectroscopically investigated yet, but its effective temperature estimated from photometry is 1750 K [262], well within the L domain. With ages younger than 10 Ma approximately, the five systems are also very young. 2MASS J16222521-2405139 B, also known as Oph 11 B [266,267,268], is not listed above because it is a low-mass brown dwarf companion to another higher mass brown dwarf, perhaps in Upper Scorpius [269].
Even if they are gravitationally bound today, wide “brown dwarf+(i)PMO” systems in star-forming regions such as S Ori 68+SE 70, L Ori 167 AB or UScoCTIO 108 AB may not survive the interactions with other more massive cluster members and be disrupted in relatively short time scales (see [270] and references therein). Furthermore, regardless TWA 27AB (2M1207-39b) and 2M0441+23Bb will eventually survive disruption by the Galactic gravitational potential, too, the mass ratio of the five systems, MB/MA ~ 0.1–0.5, is very high. Indeed, they look like a “petite version” of a brown dwarf (or stellar) binary formed through cloud fragmentation [271] instead of a typical radial-velocity or transiting stellar system.
For complementing the 2003 definition, at the time of writing these lines, WGESP has proposed several definition amendments to be voted during the 30th General Assembly of the International Astronomical Union (21–30 August 2018, Vienna, Austria). One of them is applying the term “planets” only to objects that have a mass ratio to the central object below the limiting ratio for stability of the triangular Lagrangian L4 and L5 points, i.e., MB/MA < 2/(25 + √261) ~ 0.02. This mass ratio draws a boundary between two widely-separated groupings: stellar binaries and planets orbiting stars. With this new definition amendment, the objects listed above must not be considered planets, and become instead “brown dwarf-companion, non-deuterium-burning, substellar objects”. Therefore, no planet around a brown dwarf has been detected yet (mid-L-type brown dwarfs have a shrinking habitable zone for those to-be-detected planets; T-type brown dwarfs are so faint that their theoretical habitable zone is inside the Roche radius [123,272,273]).
4.3. iPMOs in Our Vicinity
Either they are companions to stars (or brown dwarfs) or are “really isolated”, non-deuterium-burning substellar objects do exist in very young star-forming regions and open clusters. Gigayears later, when clusters are evaporated within the Galactic disk and iPMOs have cooled down to effective temperatures typical of Y dwarfs (Teff < 500 K [60,274,275,276,277,278,279,280,281,282,283]), they should be “just out there”. Actually, TWA 27AB in TW Hydrae is located at merely about 55 pc. For that reason, it was not a great surprise when the first iPMOs in the solar neighborhood were reported as members in young kinematic associations [284,285]. More iPMOs arrived afterwards, especially in the 10 Ma-old TW Hydrae and 20 Ma-old β Pictoris associations [286,287,288,289,290,291,292,293,294] and the slightly older AB Doradus and Carina-Near moving groups [295,296]. See [144] for a compilation of young ultracool (spectral type > M7 V) member candidates in moving groups. Besides, CFBDSIR J2149-0403 was presented as an isolated planetary-mass object in AB Doradus [297], but to date it is not known whether it is a high-metallicity low-mass brown dwarf or a young iPMO not associated to any moving group [298].
Finally, WISE, with its astro-photometric capability in the mid infrared, also discovered a population of not-so-young iPMOs at very close heliocentric distances. These objects have very cool effective temperatures and the CH4 absorption at 3.4 μm is so deep that they had escaped all earlier near-infrared all-sky surveys. They are so faint that they had not been able to characterize them spectroscopically in the near infrared until recently [299,300]. The most extreme cases are perhaps L 97-3 B (WD 0806-661B) [301,302,303,304] and, especially, WISE J085510.83-071442.5 [61,305,306,307,308], which is the fourth closest stellar or substellar system and the coolest Y dwarf found to date (it has water ice clouds on the upper cloud layers; see [309] for a discussion on atmospheric habitable zones in Y dwarfs). At d = 2.41+0.08 pc [306] and the age of the Sun, WISE J085510.83-071442.5 would be a 0.005-Msol iPMO [300]. Several gigayears ago, it was a young iPMO at the L/T transition, like those found now in Taurus, Upper Scorpius or, especially, σ Orionis [145].
To sum up, free-floating, substellar objects of a few Jupiter masses are indeed “just out there”.
4.4. iPMOs Everywhere
As a summary, Table 2 lists the names and ages of the regions where we find and characterise iPMOs spectroscopoically, their number and the most relevant references (see the previous sections for all references). The actual number of iPMOs depends on the authors’ mass estimation, which is affected by uncertainties in photometry, spectral synthesis, age determination, extinction correction, and theoretical isochrones.
Table 2.
Approximate number of iPMO candidates with spectroscopic follow-up per region 1.
5. Formation
It was Shiv S. Kumar himself who proposed in 1963 for the first time, based on theoretical assumptions, that brown dwarfs (and objects below the deuterium burning mass limit) share the same formation mechanism [9,310]. He was also the first one to conclude that “the mass of a gaseous fragment, formed by the star formation process, is much smaller than the minimum hydrogen burning mass” [9,311]. This mass is what we call now opacity-mass limit, and has been settled at about 0.005 or slightly below Msol [42,312,313,314,315,316,317].
[318] reviewed from a theoretical perspective the five non-mutually-exclusive mechanisms for forming brown dwarfs, which are (1) turbulent fragmentation of molecular clouds, producing very-low-mass prestellar cores by shock compression; (2) collapse and fragmentation of more massive prestellar cores; (3) disk fragmentation; (4) premature ejection of protostellar embryos from their natal cores; and (5) photoerosion of pre-existing cores overrun by H II regions. Ref. [319] complemented the [318] review on brown dwarf formation from an observational perspective. These mechanisms can in principle be extrapolated to iPMOs, together with the standard paradigm for the formation of giant planets in the Solar System plus subsequent ejection through very efficient dynamical interactions [320,321,322]. This standard planet-formation paradigm was reviewed by [323] and has six stages: (a) infall of dust grains onto the disk, evaporation and condensation; (b) formation and growth of solid particles from millimeter to kilometer sizes; (c) runaway coagulation of planetesimals into prototerrestrial planets; (d) concurrent accretion by gap formation in the disk; (e) termination of accretion by gap formation in the disk; and (f) clearing of the disk material.
By 2006, observational astronomers still looked for planet-like-formed iPMOs, which may have different internal structure (inner rocky core), composition (higher metallicity) and kinematics and position (ejected from birth system at high velocity). However, in that year Caballero concluded in his PhD thesis that “very low-mass stars, brown dwarfs and iPMOs share the same formation mechanism [via turbulent fragmentation]” (see [35,123]). While the other mechanisms must not be ruled out completely and “their relative importance probably depends on environment” [318], the standard mechanism of low-mass star formation can be extrapolated in general to brown dwarfs and iPMOs because of the following reasons:
- Continuity in the mass function. Even if it is described by a power law [95] or a log-normal function [96], the mass function (or the mass spectrum) in the low-mass stellar domain extrapolates smoothly to the substellar domain down to about 0.004–0.006 Msol or less [35,139,149,186,189]. This limit of about 0.005 Msol is entirely based on the sensitivity limits of the surveys. Actually, there is no indication that the mass function ends at about 0.005 Msol (see Section 6).
- Continuity in the frequency of discs. Isolated PMOs have discs, from which they accrete [116,198]. In particular, [182] measured for the first time the frequency of inner discs of objects between 0.007 and 0.014 Msol. The observed rate in σ Orionis, greater or equal than 50%, was consistent with the rates measured for cluster brown dwarfs and low-mass stars, but suggested that “there is a trend for the inner rate to increase with decreasing mass, which may be due to a mass-dependent timescale for the dissipation of the interior discs” [182].
- Isolated PMOs, brown dwarfs and low-mass stars have the same spatial distribution (cf. [35,139,149,186,189]) (but high-mass stars tend to be more concentrated towards the center of radially-symmetric clusters [228,324]). The lack of iPMOs in the very center of the σ Orionis cluster, near the Trapezium-like system, could be real or just an observational bias [325,326].
- Proplyds, globulettes, proto-brown dwarfs and “Class 0 iPMOs” with substellar masses derived from radio and millimetric observations share the same properties as proto-stellar cores in extremely young star-forming regions [327,328,329,330,331,332,333,334,335].
The star-like formation of iPMOs via turbulent fragmentation is now widely accepted as the most important, although not unique, scenario for explaining the formation of free-floating, non-deuterium-burning, substellar objects. However, regardless how they form, the fate of an iPMO is always the same: cool and cool forever.
6. Future
Apart from cooling until Universe heat death, the mid- and long-term future of “free-floating, non-deuterium-burning, substellar objects” or iPMOs is summarized in three words: LSST, Euclid, WFIRST. The Large Synoptic Survey Telescope [336], ESA Euclid mission [337] and NASA Wide Field Infrared Survey Telescope [338], with their large apertures and étendues in the optical and, especially, near infrared, will expand the sample of iPMOs with parallax determination in the solar vicinity, with proper-motion determination in open clusters and associations, and with accurate spectral energy distributions at all distances.
In the meantime, very deep surveys such as BASS-Ultracool [289], which aims at detecting T-type, planetary-mass members of young moving groups in the solar neighborhood, or SONYC [149], which provides a census of Substellar Objects in Nearby Young Clusters down to about 0.005 Msol, will try to reach the opacity mass limit. Other key issues that will become very common in iPMO searches and analyses, and that need further development, will be narrow-band photometry [170,339], for which 8–10 m-class telescopes would work in survey mode, and improved theoretical models at very low temperatures and young ages [135]. Beyond 2021, we will also use the James Webb Space Telescope [340,341,342,343] and the next generation of 30–40 m-class ground telescopes, such as the European Extremely Large Telescope E-ELT [344], for the spectroscopic follow-up in the near and mid infrared of the faintest iPMOs.
A concluding science-fiction remark: because of their closeness, the coolest iPMOs may be eventually useful for mankind. What about mining their atmospheres in the far future? The atmosphere will be unbreathable, winds will be hurricane-force, surface gravity will be 100 times greater than on Earth (which implies difficulty for spaceflight [345,346]), but temperature will be comfortable and our descendants may be able to extract valuable ores demanded in the Solar System. Views from the iPMO terminator will be magnificent!
7. Postlude
There are examples of musical astronomy and astronomical music [347,348,349,350,351,352]. As an unexpected end of review, I will show two examples of music and iPMOs. One is the videoclip of El ordenador simula el nacimiento de las estrellas (Computer simulates birth of stars), a song in Antonio Arias’ album Multiverso that displays a reappraisal of the M. Bate’s hydrodynamical modelling of the collapse and fragmentation of a cold, isothermal cloud, resulting in more than 1250 stars, brown dwarfs and iPMOs [352,353,354].
The other example was “composed” by F. M. Walter in May 2002 in Hawai’i. Inspired by the discussion during the International Astronomical Union Symposium 211 Brown Dwarfs [355] that resulted in the WGESP definition in Section 2 [356], Fred prepared the lyrics below, to be accompanied of Woody Guthrie’s Talking Blues (a talking blues is a strict-rhythm, free-melody, near-speech form of American folk/country music). Fred entitled the new song The Brown Dwarf Talking Blues but, as you will read (or sing) below, he could instead have entitled it The Free-Floating Non-Deuterium-Burning Substellar Object Talking Blues.
- Soaking up the rays at Waikoloa,
- Two years before two thousand four,
- Pondering problems with nomenclature
- Of heavenly orbs of tiny stature.
- Brown Dwarfs... Magenta Midgets...
- After dinner I attended a session,
- hoping to learn a useful lesson.
- The big kahunas, and the Boss-man too
- delivered the opinion of the IAU.
- Gas Giants... Sub-brown dwarfs...
- Things that fuse in the night are stars,
- And orbiting them are planets like Mars.
- Can’t see those cause of their low mass,
- So we argue about great balls of gas.
- Free Floaters... Superplanets...
- Observations show they’re free in space,
- Theory says they must have come from some place.
- So what do you call that Jovian ball
- Floating in space and not in thrall?
- Substellar mass objects... Plamos...
- Nature or nurture was the question to some,
- Others just cared for the mass, by gum!
- Political correctness carried the day:
- Tally up the names in the papers, they say.
- Mass-challenged stars... russet runts...
- If you ask me it doesn’t make much sense
- To hotly debate our ignorance.
- Seems to me planets are really obscene...
- When you see it you’ll know it, if you get what I mean.
- Damn Degenerates...
I echo the lyrics of Fred’s talking blues with my last digression. When the time comes with improved knowledge on iPMOs, the hot debate on their nomenclature will be back. As a preparation for that moment, I present a new old point of view: Latin. In the classical “language of international communication, scholarship and science until well in the 18th century”, brown dwarf is pumilio fusca. However, brown dwarfs are not actual dwarfs because they never reach the main sequence; this fact takes on relevance especially at very young ages, when coeval stars above the hydrogen burning mass limit and very low surface gravities belong to spectroscopic classes different from V. Since we should avoid the terms stella, astrum and aster (astro-, star) for brown dwarf, we could use instead other Latin term for designating heavenly bodies in general: sidus (sideral). In Table 3, I compiled the color terms for “brown” in Botanical Latin; fuscus is greyish brown. If we use instead rufus, red brown and keep the root of sidus without its proper declension (third, neuter), we get a funny word for brown dwarf: siderufo. If we use the prefix hypo- from Ancient Greek instead of sub- from Latin for indicating that they are “under brown dwarfs”, and put everything together, my naming proposal for “free-floating, non-deuterium-burning, substellar object” (iPMO) gets hyposiderufo.
Table 3.
Color terms for “brown” in botanical Latin [357].
Funding
This research was funded by the Spanish Ministerio de Ciencia, Innovación y Universidades through project AYA2016-79425-C3-2-P.
Acknowledgments
I thank the two anonymous referees for their prompt reviews, V.J.S. Béjar for providing me with useful material for this review and his patience for so many years, G. Chabrier, T. Esplin, N. Lodieu and M. R. Zapatero Osorio for kindly giving permission to reproduce figures, and M. Oshagh for offering me the chance to review this topic.
Conflicts of Interest
The author declares no conflict of interest.
Note to the Reader
I use SI symbol “a” (annus) for year.
References
- Van Biesbroeck, G. The star of the lowest known luminosity. Astron. J. 1944, 51, 61–62. [Google Scholar] [CrossRef]
- Herbig, G.H. Observations of the Spectrum of the Companion to BD + 4°4048. Publ. Astron. Soc. Pac. 1956, 68, 53. [Google Scholar] [CrossRef]
- Kirkpatrick, J.D.; Henry, T.J.; McCarthy, D.W., Jr. A standard stellar spectral sequence in the red/near-infrared—Classes K5 to M9. Astrophys. Supl. 1991, 77, 417–440. [Google Scholar] [CrossRef]
- Gaia Collaboration: Brown, A.G.A.; Vallenari, A.; Prusti, T.; de Bruijne, J.H.J.; Babusiaux, C.; Bailer-Jones, C.A.L. Gaia Data Release 2. Summary of the contents and survey properties. Astron. Astrophys. 2018, 616, A1. [Google Scholar] [CrossRef]
- Alonso-Floriano, F.J.; Morales, J.C.; Caballero, J.A.; Montes, D.; Klutsch, A.; Mundt, R.; Cortés-Contreras, M.; Ribas, I.; Reiners, A.; Amado, P.J.; et al. CARMENES input catalogue of M dwarfs. I. Low-resolution spectroscopy with CAFOS. Astron. Astrophys. 2015, 577, A128. [Google Scholar] [CrossRef]
- Kaminski, A.; Trifonov, T.; Caballero, J.A.; Quirrenbach, A.; Ribas, I.; Reiners, A.; Amado, P.J.; Zechmeister, M.; Dreizler, S.; Perger, M.; et al. The CARMENES search for exoplanets around M dwarfs. A Neptune-mass planet traversing the habitable zone around HD 180617. Astron. Astrophys. 2018; arXiv:1808.01183. [Google Scholar]
- Schweitzer, A.; Passegger, V.M.; Béjar, V.J.S.; Cortés-Contreras, M.; Hatzes, A.P.; Kuerster, M.; Montes, D.; Pedraz, S.; Quirrenbach, A.; Ribas, I.; et al. The CARMENES search for exoplanets around M dwarfs. The different roads to radii and masses of the target stars. Astron. Astrophys. 2018, submitted. [Google Scholar]
- Probst, R.G.; Liebert, J. LHS 2924—A uniquely cool low-luminosity star with a peculiar energy distribution. Astrophys. J. 1983, 274, 245. [Google Scholar] [CrossRef]
- Kumar, S.S. The Bottom of the Main Sequence and Beyond: Speculations, Calculations, Observations, and Discoveries (1958–2002). In Brown Dwarfs, Proceedings of the IAU Symposium, Honolulu, HI, USA, 20–24 May 2002; Martín, E., Ed.; Cambridge University Press: Cambridge, UK, 2003; pp. 3–12. [Google Scholar]
- Kumar, S.S. The Structure of Stars of Very Low Mass. Astrophys. J. 1963, 137, 1121–1125. [Google Scholar] [CrossRef]
- Hayashi, C.; Nakano, T. Evolution of Stars of Small Masses in the Pre-Main-Sequence Stages. Prog. Theor. Phys. 1963, 30, 460–474. [Google Scholar] [CrossRef]
- Mestel, L.; Ruderman, M.A. The energy content of a white dwarf and its rate of cooling. Mon. Not. R. Astron. Soc. 1967, 136, 27–38. [Google Scholar] [CrossRef]
- Vila, S.C. Evolution of a 0.6 Msol White Dwarf. Astrophys. J. 1971, 170, 153. [Google Scholar] [CrossRef]
- Tarter, J. Brown Is Not a Color: Introduction of the Term ‘Brown Dwarf’. In 50 Years of Brown Dwarfs; Springer International Publishing: Basel, Switzerland, 2014; Volume 401, pp. 19–24. ISBN 978-3-319-01161-5. [Google Scholar]
- Irwin, M.; McMahon, R.G.; Reid, N. A star of exceedingly low luminosity. Mon. Not. R. Astron. Soc. 1991, 252, 61–64. [Google Scholar] [CrossRef]
- Schneider, D.P.; Greenstein, J.L.; Schmidt, M.; Gunn, J.E. Spectroscopy of an unusual emission line M star. Astron. J. 1991, 102, 1180. [Google Scholar] [CrossRef]
- Becklin, E.E.; Zuckerman, B. A low-temperature companion to a white dwarf star. Nature 1988, 336, 656. [Google Scholar] [CrossRef]
- Kirkpatrick, J.D.; Allard, F.; Bida, T.; Zuckerman, B.; Becklin, E.E.; Chabrier, G.; Baraffe, I. An Improved Optical Spectrum and New Model FITS of the Likely Brown Dwarf GD 165B. Astrophys. J. 1999, 519, 834–843. [Google Scholar] [CrossRef]
- Latham, D.W.; Mazeh, T.; Stefanik, R.P.; Mayor, M.; Burki, G. The unseen companion of HD114762—A probable brown dwarf. Nature 1989, 339, 38–40. [Google Scholar] [CrossRef]
- McCarthy, D.W., Jr.; Probst, R.G. Detection of an Infrared Source near VB 8: The First Extra-solar Planet? Bull. Am. Astron. Soc. 1984, 96, 165. [Google Scholar]
- Zuckerman, B.; Becklin, E.E. Excess infrared radiation from a white dwarf—An orbiting brown dwarf? Nature 1987, 330, 138–140. [Google Scholar] [CrossRef]
- Luyten, W.J.; Kowal, C.T. Proper Motion Survey with the Forty-Eight Inch Schmidt Telescope. XLIII. One Hundred and Six Faint Stars with Large Proper Motions; Separate Print Univ. Minnesota: Minneapolis, MN, USA, 1975; p. 2. [Google Scholar]
- Tinney, C.G. The intermediate-age brown dwarf LP944-20. Mon. Not. R. Astron. Soc. 1989, 296, L42. [Google Scholar] [CrossRef]
- Rieke, G.H.; Rieke, M.J. Possible substellar objects in the Rho Ophiuchi cloud. Astrophys. J. 1990, 362, L21. [Google Scholar] [CrossRef]
- Comerón, F.; Rieke, G.H.; Claes, P.; Torra, J.; Laureijs, R.J. ISO observations of candidate young brown dwarfs. Astron. Astrophys. 1998, 335, 522. [Google Scholar]
- Basri, G. The Discovery of the First Lithium Brown Dwarf: PPl 15. In 50 Years of Brown Dwarfs; Springer International Publishing: Basel, Switzerland, 2014; Volume 401, pp. 51–79. ISBN 978-3-319-01161-5. [Google Scholar]
- Mayor, M.; Queloz, D. A Jupiter-mass companion to a solar-type star. Nature 1995, 378, 355–359. [Google Scholar] [CrossRef]
- Rebolo, R.; Zapatero Osorio, M.R.; Martín, E.L. Discovery of a brown dwarf in the Pleiades star cluster. Nature 1995, 377, 129. [Google Scholar] [CrossRef]
- Rebolo, R.; Martín, E.L.; Basri, G.; Marcy, G.W.; Zapatero Osorio, M.R. Brown Dwarfs in the Pleiades Cluster Confirmed by the Lithium Test. Astrophys. J. 1996, 469, L53–L56. [Google Scholar] [CrossRef]
- Basri, G.; Marcy, G.W.; Graham, J.R. Lithium in Brown Dwarf Candidates: The Mass and Age of the Faintest Pleiades Stars. Astrophys. J. 1996, 458, 600. [Google Scholar] [CrossRef]
- Nakajima, T.; Oppenheimer, B.R.; Kulkarni, S.R.; Golimowski, D.A.; Matthews, K.; Durrance, S.T. Discovery of a cool brown dwarf. Nature 1995, 378, 463–465. [Google Scholar] [CrossRef]
- Oppenheimer, B.R.; Kulkarni, S.R.; Matthews, K.; Nakajima, T.; Golimowski, D.A.; Durrance, S.T. Infrared Spectrum of the Cool Brown Dwarf Gl 229B. Science 1995, 270, 1478–1479. [Google Scholar] [CrossRef] [PubMed]
- Béjar, V.J.S.; Zapatero Osorio, M.R.; Rebolo, R. A Search for Very Low Mass Stars and Brown Dwarfs in the Young σ Orionis Cluster. Astrophys. J. 1999, 521, 671–681. [Google Scholar] [CrossRef]
- Zapatero Osorio, M.R.; Béjar, V.J.S.; Pavlenko, Y.; Rebolo, R.; Allende Prieto, C.; Martín, E.L.; García López, R.J. Lithium and Hα in stars and brown dwarfs of sigma Orionis. Astron. Astrophys. 2002, 384, 937–953. [Google Scholar] [CrossRef]
- Caballero, J.A.; Béjar, V.J.S.; Rebolo, R.; Eislöffel, J.; Zapatero Osorio, M.R.; Mundt, R.; Barrado y Navascués, D.; Bihain, G.; Bailer-Jones, C.A.L.; Forveille, T. The substellar mass function in σ Orionis. II. Optical, near-infrared and IRAC/Spitzer photometry of young cluster brown dwarfs and planetary-mass objects. Astron. Astrophys. 2007, 470, 903–918. [Google Scholar] [CrossRef]
- Luhman, K.L. Discovery of a Binary Brown Dwarf at 2 pc from the Sun. Astrophys. J. 2013, 767, L1. [Google Scholar] [CrossRef]
- Smart, R.L.; Marocco, F.; Caballero, J.A.; Jones, H.R.A.; Barrado, D.; Beamín, J.C.; Pinfield, D.J.; Sarro, L.M. The Gaia ultracool dwarf sample—I. Known L and T dwarfs and the first Gaia data release. Mon. Not. R. Astron. Soc. 2017, 469, 401–415. [Google Scholar] [CrossRef]
- Burrows, A.; Marley, M.; Hubbard, W.B.; Lunine, J.I.; Guillot, T.; Saumon, D.; Freedman, R.; Sudarsky, D.; Sharp, C. A Nongray Theory of Extrasolar Giant Planets and Brown Dwarfs. Astrophys. J. 1997, 491, 856–875. [Google Scholar] [CrossRef]
- Baraffe, I.; Chabrier, G.; Allard, F.; Hauschildt, P.H. Evolutionary models for solar metallicity low-mass stars: Mass-magnitude relationships and color-magnitude diagrams. Astron. Astrophys. 1998, 337, 403–442. [Google Scholar]
- Chabrier, G.; Baraffe, I.; Allard, F.; Hauschildt, P. Evolutionary Models for Very Low-Mass Stars and Brown Dwarfs with Dusty Atmospheres. Astrophys. J. 2000, 542, 464–472. [Google Scholar] [CrossRef]
- Allard, F.; Hauschildt, P.H.; Alexander, D.R.; Tamanai, A.; Schweitzer, A. The Limiting Effects of Dust in Brown Dwarf Model Atmospheres. Astrophys. J. 2001, 556, 357–372. [Google Scholar] [CrossRef]
- Bate, M.R.; Bonnell, I.A.; Bromm, V. The formation of a star cluster: Predicting the properties of stars and brown dwarfs. Mon. Not. R. Astron. Soc. 2003, 339, 577. [Google Scholar] [CrossRef]
- Baraffe, I.; Homeier, D.; Allard, F.; Chabrier, G. New evolutionary models for pre-main sequence and main sequence low-mass stars down to the hydrogen-burning limit. Astron. Astrophys. 2015, 577, A42. [Google Scholar] [CrossRef]
- Marley, M.S.; Robinson, T.D. On the Cool Side: Modeling the Atmospheres of Brown Dwarfs and Giant Planets. Arastron. Astrophys. 2015, 53, 279–323. [Google Scholar] [CrossRef]
- Delfosse, X.; Tinney, C.G.; Forveille, T.; Epchtein, N.; Borsenberger, J.; Fouqu, P.; Kimeswenger, S.; Tiphene, D. Searching for very low-mass stars and brown dwarfs with DENIS. Astron. Astrophys. 1999, 135, 41–56. [Google Scholar] [CrossRef]
- Burgasser, A.J.; Kirkpatrick, J.D.; Cutri, R.M.; McCallon, H.; Kopan, G.; Gizis, J.E.; Liebert, J.; Reid, I.N.; Brown, M.E.; Monet, D.G.; et al. Discovery of a Brown Dwarf Companion to Gliese 570ABC: A 2MASS T Dwarf Significantly Cooler than Gliese 229B. Astrophys. J. 2000, 531, L57–L60. [Google Scholar] [CrossRef] [PubMed]
- Gizis, J.E.; Monet, D.G.; Reid, I.N.; Kirkpatrick, J.D.; Liebert, J.; Williams, R.J. New Neighbors from 2MASS: Activity and Kinematics at the Bottom of the Main Sequence. Astron. J. 2000, 120, 1085–1099. [Google Scholar] [CrossRef]
- Bailer-Jones, C.A.L.; Mundt, R. Variability in ultra cool dwarfs: Evidence for the evolution of surface features. Astron. Astrophys. 2001, 367, 218–235. [Google Scholar] [CrossRef]
- Bouy, H.; Brandner, W.; Martín, E.L.; Delfosse, X.; Allard, F.; Basri, G. Multiplicity of Nearby Free-Floating Ultracool Dwarfs: A Hubble Space Telescope WFPC2 Search for Companions. Arastron. J. 2003, 126, 1526–1554. [Google Scholar] [CrossRef]
- White, R.J.; Basri, G. Very Low Mass Stars and Brown Dwarfs in Taurus-Auriga. Astrophys. J. 2003, 582, 1109–1122. [Google Scholar] [CrossRef]
- Zapatero Osorio, M.R.; Caballero, J.A.; Béjar, V.J.S. Optical Linear Polarization of Late M and L Type Dwarfs. Astrophys. J. 2005, 621, 445. [Google Scholar] [CrossRef]
- Morin, J.; Donati, J.-F.; Petit, P.; Delfosse, X.; Forveille, T.; Albert, L.; Aurière, M.; Cabanac, R.; Dintrans, B.; Fares, R.; et al. Large-scale magnetic topologies of mid M dwarfs. Mon. Not. R. Astron. Soc. 2008, 390, 567–581. [Google Scholar] [CrossRef]
- Artigau, É.; Bouchard, S.; Doyon, R.; Lafrenière, D. Photometric Variability of the T2.5 Brown Dwarf SIMP J013656.5+093347: Evidence for Evolving Weather Patterns. Astrophys. J. 2009, 701, 1534–1539. [Google Scholar] [CrossRef]
- Radigan, J.; Jayawardhana, R.; Lafrenière, D.; Artigau, E.; Marley, M.; Saumon, D. Large-amplitude Variations of an L/T Transition Brown Dwarf: Multi-wavelength Observations of Patchy, High-contrast Cloud Features. Astrophys. J. 2012, 750, 105. [Google Scholar] [CrossRef]
- Duchêne, G.; Kraus, A. Stellar Multiplicity. Astron. Astrophys. 2013, 51, 269. [Google Scholar] [CrossRef]
- Kirkpatrick, J.D.; Reid, I.N.; Liebert, J.; Cutri, R.M.; Nelson, B.; Beichman, C.A.; Dahn, C.C.; Monet, D.G.; Gizis, J.E.; Skrutskie, M.F. Dwarfs cooler than “m”: The definition of spectral type “l” using discoveries from the 2 micron all-sky survey (2mass). Astrophys. J. 1999, 519, 802–833. [Google Scholar] [CrossRef]
- Burgasser, A.J.; Kirkpatrick, J.D.; Brown, M.E.; Reid, I.N.; Burrows, A.; Liebert, J.; Matthews, K.; Gizis, J.E.; Dahn, C.C.; Monet, D.G.; et al. The Spectra of T Dwarfs. I. Near-Infrared Data and Spectral Classification. Astrophys. J. 2002, 564, 421. [Google Scholar] [CrossRef]
- Geballe, T.R.; Knapp, G.R.; Leggett, S.K.; Fan, X.; Golimowski, D.A.; Anderson, S.; Brinkmann, J.; Csabai, I.; Gunn, J.E.; Hawley, S.L.; et al. Toward Spectral Classification of L and T Dwarfs: Infrared and Optical Spectroscopy and Analysis. Astrophys. J. 2002, 564, 466. [Google Scholar] [CrossRef]
- Kirkpatrick, J.D. New Spectral Types L and T. Arastron. Astrophys. 2005, 43, 195. [Google Scholar] [CrossRef]
- Davy Kirkpatrick, J.; Gelino, C.R.; Cushing, M.C.; Mace, G.N.; Griffith, R.L.; Skrutskie, M.F.; Marsh, K.A.; Wright, E.L.; Eisenhardt, P.R.; McLean, I.S.; et al. Further Defining Spectral Type “Y” and Exploring the Low-mass End of the Field Brown Dwarf Mass Function. Astrophys. J. 2012, 753, 156. [Google Scholar] [CrossRef]
- Luhman, K.L. Discovery of a ~250 K Brown Dwarf at 2 pc from the Sun. Astrophys. J. 2014, 786, L18. [Google Scholar] [CrossRef]
- Rebolo, R.; Martín, E.L.; Magazzù, A. Spectroscopy of a brown dwarf candidate in the Alpha Persei open cluster. Astrophys. J. 1992, 389, L83. [Google Scholar] [CrossRef]
- Magazzù, A.; Martín, E.L.; Rebolo, R. A spectroscopic test for substellar objects. Astrophys. J. 1993, 404, L17. [Google Scholar] [CrossRef]
- Saumon, D.; Hubbard, W.B.; Burrows, A. A Theory of Extrasolar Giant Planets. Astrophys. J. 1996, 460, 993. [Google Scholar] [CrossRef]
- Spiegel, D.S.; Burrows, A.; Milsom, J.A. The Deuterium-burning Mass Limit for Brown Dwarfs and Giant Planets. Astrophys. J. 2011, 727, 57. [Google Scholar] [CrossRef]
- Chabrier, G.; Baraffe, I. Theory of Low-Mass Stars and Substellar Objects. Arastron. Astrophys. 2000, 38, 337. [Google Scholar] [CrossRef]
- Charbonneau, D.; Brown, T.M.; Latham, D.W.; Mayor, M. Detection of Planetary Transits Across a Sun-like Star. Astrophys. J. 2000, 529, L45. [Google Scholar] [CrossRef] [PubMed]
- Charbonneau, D.; Brown, T.M.; Noyes, R.W.; Gilliland, R.L. Detection of an Extrasolar Planet Atmosphere. Astrophys. J. 2002, 568, 377. [Google Scholar] [CrossRef]
- Butler, R.P.; Vogt, S.S.; Marcy, G.W.; Fischer, D.A.; Wright, J.T.; Henry, G.W.; Laughlin, G.; Lissauer, J.J. A Neptune-Mass Planet Orbiting the Nearby M Dwarf GJ 436. Astrophys. J. 2004, 617, 580–588. [Google Scholar] [CrossRef]
- Beaulieu, J.-P.; Bennett, D.P.; Fouqué, P.; Williams, A.; Dominik, M.; Jørgensen, U.G.; Kubas, D.; Cassan, A.; Coutures, C.; Greenhill, J.; et al. Discovery of a cool planet of 5.5 Earth masses through gravitational microlensing. Nature 2006, 439, 437–440. [Google Scholar] [CrossRef] [PubMed]
- Knutson, H.A.; Charbonneau, D.; Allen, L.E.; Fortney, J.J.; Agol, E.; Cowan, N.B.; Showman, A.P.; Cooper, C.S.; Megeath, S.T. A map of the day-night contrast of the extrasolar planet HD 189733b. Nature 2007, 447, 183–186. [Google Scholar] [CrossRef] [PubMed]
- Udry, S.; Bonfils, X.; Delfosse, X.; Forveille, T.; Mayor, M.; Perrier, C.; Bouchy, F.; Lovis, C.; Pepe, F.; Queloz, D.; et al. The HARPS search for southern extra-solar planets. XI. Super-Earths (5 and 8 MTerra) in a 3-planet system. Astron. Astrophys. 2007, 469, L43–L47. [Google Scholar] [CrossRef]
- Batalha, N.M.; Borucki, W.J.; Bryson, S.T.; Buchhave, L.A.; Caldwell, D.A.; Christensen-Dalsgaard, J.; Ciardi, D.; Dunham, E.W.; Fressin, F.; Gautier, T.N.; et al. Kepler’s First Rocky Planet: Kepler-10b. Astrophys. J. 2011, 729, 27. [Google Scholar] [CrossRef]
- Doyle, L.R.; Carter, J.A.; Fabrycky, D.C.; Slawson, R.W.; Howell, S.B.; Winn, J.N.; Orosz, J.A.; Prsa, A.; Welsh, W.F.; Quinn, S.N.; et al. Kepler-16: A Transiting Circumbinary Planet. Science 2011, 333, 1602–1606. [Google Scholar] [CrossRef] [PubMed]
- Quintana, E.V.; Barclay, T.; Raymond, S.N.; Rowe, J.F.; Bolmont, E.; Caldwell, D.A.; Howell, S.B.; Kane, S.R.; Huber, D.; Crepp, J.R.; et al. An Earth-Sized Planet in the Habitable Zone of a Cool Star. Science 2014, 344, 277–280. [Google Scholar] [CrossRef] [PubMed]
- Macintosh, B.; Graham, J.R.; Barman, T.; De Rosa, R.J.; Konopacky, Q.; Marley, M.S.; Marois, C.; Nielsen, E.L.; Pueyo, L.; Rajan, A.; et al. Discovery and spectroscopy of the young jovian planet 51 Eri b with the Gemini Planet Imager. Science 2015, 350, 64–67. [Google Scholar] [CrossRef] [PubMed]
- Anglada-Escudé, G.; Amado, P.J.; Barnes, J.; Berdiñas, Z.M.; Butler, R.P.; Coleman, G.A.L.; de la Cueva, I.; Dreizler, S.; Endl, M.; Giesers, B.; et al. A terrestrial planet candidate in a temperate orbit around Proxima Centauri. Nature 2016, 536, 437–440. [Google Scholar] [CrossRef] [PubMed]
- Gillon, M.; Triaud, A.H.M.J.; Demory, B.-O.; Jehin, E.; Agol, E.; Deck, K.M.; Lederer, S.M.; de Wit, J.; Burdanov, A.; Ingalls, J.G.; et al. Seven temperate terrestrial planets around the nearby ultracool dwarf star TRAPPIST-1. Nature 2017, 542, 456–460. [Google Scholar] [CrossRef] [PubMed]
- Marcy, G.W.; Butler, R.P. A Planetary Companion to 70 Virginis. Astrophys. J. 1996, 464, L147. [Google Scholar] [CrossRef]
- Butler, R.P.; Marcy, G.W.; Williams, E.; Hauser, H.; Shirts, P. Three New “51 Pegasi-Type” Planets. Astrophys. J. 1997, 474, L115. [Google Scholar] [CrossRef]
- Marois, C.; Macintosh, B.; Barman, T.; Zuckerman, B.; Song, I.; Patience, J.; Lafreniere, D.; Doyon, R. Direct Imaging of Multiple Planets Orbiting the Star HR 8799. Science 2008, 322, 1348–1352. [Google Scholar] [CrossRef] [PubMed]
- Marois, C.; Zuckerman, B.; Konopacky, Q.M.; Macintosh, B.; Barman, T. Images of a fourth planet orbiting HR 8799. Nature 2010, 468, 1080–1083. [Google Scholar] [CrossRef] [PubMed]
- Tsapras, Y. Preliminary topic: Microlensing searches for exoplanets. Geosciences 2018. in preparation. [Google Scholar]
- Boss, A.P.; Butler, R.P.; Hubbard, W.B. Working Group on Extrasolar Planets, IAU Transactions; Engvold, O., Ed.; Reports on Astronomy 2002–2005; Cambridge University Press: Cambridge, UK, 2007; Volume 26A, p. 183. [Google Scholar] [CrossRef]
- Burgasser, A.J.; Kirkpatrick, J.D.; Burrows, A.; Liebert, J.; Reid, I.N.; Gizis, J.E.; McGovern, M.R.; Prato, L.; McLean, I.S. The First Substellar Subdwarf? Discovery of a Metal-poor L Dwarf with Halo Kinematics. Astrophys. J. 2003, 592, 1186–1192. [Google Scholar] [CrossRef]
- Burgasser, A.J. Discovery of a Second L Subdwarf in the Two Micron All Sky Survey. Astrophys. J. 2004, 614, L73. [Google Scholar] [CrossRef]
- Scholz, R.-D.; Lodieu, N.; McCaughrean, M.J. SSSPM J1444-2019: An extremely high proper motion, ultracool subdwarf. Astron. Astrophys. 2004, 428, L25. [Google Scholar] [CrossRef]
- Lodieu, N.; Espinoza Contreras, M.; Zapatero Osorio, M.R.; Solano, E.; Aberasturi, M.; Martín, E.L. New ultracool subdwarfs identified in large-scale surveys using Virtual Observatory tools. Astron. Astrophys. 2017, 598, A92. [Google Scholar] [CrossRef]
- Zhang, Z.H.; Pinfield, D.J.; Galvez-Ortiz, M.C.; Burningham, B.; Lodieu, N.; Marocco, F.; Burgasser, A.J.; Day-Jones, A.C.; Allard, F.; Jones, H.R.A.; et al. Primeval very low-mass stars and brown dwarfs—I. Six new L subdwarfs, classification and atmospheric properties. Mon. Not. R. Astron. Soc. 2017, 464, 3040. [Google Scholar] [CrossRef]
- Zhang, Z.H.; Homeier, D.; Pinfield, D.J.; Lodieu, N.; Jones, H.R.A.; Allard, F.; Pavlenko, Y.V. Primeval very low-mass stars and brown dwarfs—II. The most metal-poor substellar object. Mon. Not. R. Astron. Soc. 2017, 468, 261. [Google Scholar] [CrossRef]
- The Extrasolar Planets Encyclopaedia. Available online: http://exoplanets.eu (accessed on 22 August 2018).
- Hatzes, A.P.; Rauer, H. A Definition for Giant Planets Based on the Mass-Density Relationship. Astrophys. J. 2015, 810, L25. [Google Scholar] [CrossRef]
- Salpeter, E.E. The Luminosity Function and Stellar Evolution. Astrophys. J. 1955, 121, 161. [Google Scholar] [CrossRef]
- Scalo, J.M. The stellar initial mass function. Fundam. Cosmic Phys. 1986, 11, 1–278. [Google Scholar]
- Kroupa, P. On the variation of the initial mass function. Mon. Not. R. Astron. Soc. 2001, 322, 231. [Google Scholar] [CrossRef]
- Chabrier, G. Galactic Stellar and Substellar Initial Mass Function. Publ. Astron. Soc. Pac. 2003, 115, 763–795. [Google Scholar] [CrossRef]
- Lucas, P.W.; Roche, P.F. A population of very young brown dwarfs and free-floating planets in Orion. Mon. Not. R. Astron. Soc. 2000, 314, 858–864. [Google Scholar] [CrossRef]
- Zapatero Osorio, M.R.; Béjar, V.J.S.; Rebolo, R.; Martín, E.L.; Mundt, R.; Bailer-Jones, C.A.L. Discovery of Young, Isolated Planetary Mass Objects in the σ Orionis Star Cluster. Science 2000, 290, 103. [Google Scholar] [CrossRef] [PubMed]
- Lucas, P.W.; Roche, P.F.; Allard, F.; Hauschildt, P.H. Infrared spectroscopy of substellar objects in Orion. Mon. Not. R. Astron. Soc. 2001, 326, 695. [Google Scholar] [CrossRef]
- Oasa, Y.; Tamura, M.; Sugitani, K. A Deep Near-Infrared Survey of the Chamaeleon I Dark Cloud Core. Astrophys. J. 1999, 526, 336. [Google Scholar] [CrossRef]
- Luhman, K.L.; Peterson, D.E.; Megeath, S.T. Spectroscopic Confirmation of the Least Massive Known Brown Dwarf in Chamaeleon. Astrophys. J. 2004, 617, 565–568. [Google Scholar] [CrossRef]
- Najita, J.R.; Tiede, G.P.; Carr, J.S. From Stars to Superplanets: The Low-Mass Initial Mass Function in the Young Cluster IC 348. Astrophys. J. 2000, 541, 977–1003. [Google Scholar] [CrossRef]
- Caballero, J.A. Dynamical parallax of σ Ori AB: Mass, distance and age. Mon. Not. R. Astron. Soc. 2008, 383, 750–754. [Google Scholar] [CrossRef]
- Reid, M.J.; Menten, K.M.; Brunthaler, A.; Zheng, X.W.; Dame, T.M.; Xu, Y.; Wu, Y.; Zhang, B.; Sanna, A.; Sato, M.; et al. Trigonometric Parallaxes of High Mass Star Forming Regions: The Structure and Kinematics of the Milky Way. Astrophys. J. 2014, 783, 130. [Google Scholar] [CrossRef]
- Schaefer, G.H.; Hummel, C.A.; Gies, D.R.; Zavala, R.T.; Monnier, J.D.; Walter, F.M.; Turner, N.H.; Baron, F.; ten Brummelaar, T.; Che, X.; et al. Orbits, Distance, and Stellar Masses of the Massive Triple Star σ Orionis. Astron. J. 2016, 152, 213. [Google Scholar] [CrossRef]
- Kounkel, M.; Hartmann, L.; Loinard, L.; Ortiz-León, G.N.; Mioduszewski, A.J.; Rodríguez, L.F.; Dzib, S.A.; Torres, R.M.; Pech, G.; Galli, P.A.B.; et al. The Gould’s Belt Distances Survey (GOBELINS) II. Distances and Structure toward the Orion Molecular Clouds. Astrophys. J. 2017, 834, 142. [Google Scholar] [CrossRef]
- Caballero, J.A. Parallactic Distances and Proper Motions of Virtually All Stars in the σ Orionis Cluster or: How I Learned to Get the Most Out of TOPCAT and Love Gaia DR2. Res. Not. Am. Astron. Soc. 2018, 2, 25. [Google Scholar] [CrossRef]
- Briceño, C.; Calvet, N.; Hernández, J.; Vivas, A.K.; Mateu, C.; Downes, J.J.; Loerincs, J.; Pérez-Blanco, A.; Berlind, P.; Espaillat, C.; et al. The CIDA Variability Survey of Orion OB1 II: Demographics of the young, low-mass stellar populations. Astron. J. 2018; arXiv:1805.01008. [Google Scholar]
- McWilliam, A. Abundance Ratios and Galactic Chemical Evolution. Arastron. Astrophys. 1997, 35, 503. [Google Scholar] [CrossRef]
- González Hernández, J.I.; Caballero, J.A.; Rebolo, R.; Béjar, V.J.S.; Barrado y Navascués, D.; Martín, E.L.; Zapatero Osorio, M.R. Chemical abundances of late-type pre-main sequence stars in the σ Orionis cluster. Astron. Astrophys. 2008, 490, 1135–1142. [Google Scholar] [CrossRef]
- Palla, F.; Randich, S.; Flaccomio, E.; Pallavicini, R. Age Spreads in Star-forming Regions: The Lithium Test in the Orion Nebula Cluster. Astrophys. J. 2005, 626, L49–L52. [Google Scholar] [CrossRef]
- Hernandez, J.; Hartmann, L.; Megeath, T.; Gutermuth, R.; Muzerolle, J.; Calvet, N.; Vivas, A.K.; Briceno, C.; Allen, L.; Stauffer, J.; et al. A Spitzer Space Telescope Study of Disks in the Young σ Orionis Cluster. Astrophys. J. 2007, 662, 1067–1081. [Google Scholar] [CrossRef]
- Sherry, W.H.; Walter, F.M.; Wolk, S.J.; Adams, N.R. Main-Sequence Fitting Distance to the σ Ori Cluster. Astron. J. 2008, 135, 1616–1623. [Google Scholar] [CrossRef]
- Jeffries, R.D.; Littlefair, S.P.; Naylor, T.; Mayne, N.J. No wide spread of stellar ages in the Orion Nebula Cluster. Mon. Not. R. Astron. Soc. 2011, 418, 1948. [Google Scholar] [CrossRef]
- Caballero, J.A.; Burgasser, A.J.; Klement, R. Contamination by field late-M, L, and T dwarfs in deep surveys. Astron. Astrophys. 2008, 488, 181. [Google Scholar] [CrossRef]
- Zapatero Osorio, M.R.; Béjar, V.J.S.; Martín, E.L.; Barrado y Navascués, D.; Rebolo, R. Activity at the Deuterium-burning Mass Limit in Orion. Astrophys. J. 2002, 569, L99–L113. [Google Scholar] [CrossRef]
- Luhman, K.L.; Adame, L.; D’Alessio, P.; Calvet, N.; Hartmann, L.; Megeath, S.T.; Fazio, G.G. Discovery of a Planetary-Mass Brown Dwarf with a Circumstellar Disk. Astrophys. J. 2005, 635, L93–L96. [Google Scholar] [CrossRef]
- Chauvin, G.; Lagrange, A.-M.; Dumas, C.; Zuckerman, B.; Mouillet, D.; Song, I.; Beuzit, J.-L.; Lowrance, P. A giant planet candidate near a young brown dwarf. Direct VLT/NACO observations using IR wavefront sensing. Astron. Astrophys. 2004, 425, L29–L32. [Google Scholar] [CrossRef]
- Chauvin, G.; Lagrange, A.-M.; Dumas, C.; Zuckerman, B.; Mouillet, D.; Song, I.; Beuzit, J.-L.; Lowrance, P. Giant planet companion to 2MASSW J1207334-393254. Astron. Astrophys. 2005, 438, L25–L28. [Google Scholar] [CrossRef]
- Zapatero Osorio, M.R.; Béjar, V.J.S.; Martín, E.L.; Rebolo, R.; Navascues, D.B.y.; Mundt, R.; Eisloeffel, J.; Caballero, J.A. A Methane, Isolated, Planetary-Mass Object in Orion. Astrophys. J. 2002, 578, 536–542. [Google Scholar] [CrossRef]
- Martín, E.L.; Zapatero Osorio, M.R. Spectroscopic Estimate of Surface Gravity for a Planetary Member in the σ Orionis Cluster. Astrophys. J. 2003, 593, L113. [Google Scholar] [CrossRef]
- Caballero, J.A. Formación, Evolución y Multiplicidad de Enanas Marrones y Exoplanetas Gigantes. Ph.D. Thesis, Universidad de La Laguna, Tenerife, Spain, 2006. [Google Scholar]
- Caballero, J.A. Formation, Evolution and Multiplicity of Brown Dwarfs and Giant Exoplanets, Highlights of Spanish Astrophysics V. In Astrophysics and Space Science Proceedings; Springer: Berlin/Heidelberg, Germany, 2010; p. 79. ISBN 978-3-642-11249-2. [Google Scholar] [CrossRef]
- Trumpler, R.J. Preliminary results on the distances, dimensions and space distribution of open star clusters. In Lick Observatory Bulletins; University of California Press: Berkeley, CA, USA, 1930; Volume 14, p. 154. [Google Scholar] [CrossRef]
- Mermilliod, J.C. Comparative studies of young open clusters. III—Empirical isochronous curves and the zero age main sequence. Astron. Astrophys. 1981, 97, 235. [Google Scholar]
- van Leeuwen, F. Parallaxes and proper motions for 20 open clusters as based on the new Hipparcos catalogue. Astron. Astrophys. 2009, 497, 209–242. [Google Scholar] [CrossRef]
- Perryman, M.A.C.; Brown, A.G.A.; Lebreton, Y.; Gomez, A.; Turon, C.; Cayrel de Strobel, G.; Mermilliod, J.C.; Robichon, N.; Kovalevsky, J.; Crifo, F. The Hyades: Distance, structure, dynamics, and age. Astron. Astrophys. 1998, 331, 81–120. [Google Scholar]
- Reino, S.; de Bruijne, J.; Zari, E.; d’Antona, F.; Ventura, P. A Gaia study of the Hyades open cluster. Mon. Not. R. Astron. Soc. 2018, 477, 3197. [Google Scholar] [CrossRef]
- Hambly, N.C.; Hawkins, M.R.S.; Jameson, R.F. Very low mass proper motion members in the Pleiades. Astron. Astrophys. Suppl. Ser. 1993, 100, 607. [Google Scholar]
- Sarro, L.M.; Bouy, H.; Berihuete, A.; Bertin, E.; Moraux, E.; Bouvier, J.; Cuillandre, J.-C.; Barrado, D.; Solano, E. Cluster membership probabilities from proper motions and multi-wavelength photometric catalogues. I. Method and application to the Pleiades cluster. Astron. Astrophys. 2014, 563, A45. [Google Scholar] [CrossRef]
- Park, B.-G.; Sung, H.; Bessell, M.S.; Kang, Y.H. The Pre-Main-Sequence Stars and Initial Mass Function of NGC 2264. Astron. J. 2000, 120, 894. [Google Scholar] [CrossRef]
- Venuti, L.; Bouvier, J.; Flaccomio, E.; Alencar, S.H.P.; Irwin, J.; Stauffer, J.R.; Cody, A.M.; Teixeira, P.S.; Sousa, A.P.; Micela, G.; et al. Mapping accretion and its variability in the young open cluster NGC 2264: A study based on u-band photometry. Astron. Astrophys. 2014, 570, A82. [Google Scholar] [CrossRef]
- Barrado y Navascués, D.; Stauffer, J.R.; Patten, B.M. The Lithium-Depletion Boundary and the Age of the Young Open Cluster IC 2391. Astrophys. J. 1999, 522, L53–L56. [Google Scholar] [CrossRef]
- Soderblom, D.R.; Hillenbrand, L.A.; Jeffries, R.D.; Mamajek, E.E.; Naylor, T. Ages of Young Stars, Protostars and Planets VI; Beuther, H., Klessen, R.S., Dullemond, C.P., Henning, T., Eds.; University of Arizona Press: Tucson, AZ, USA, 2014; p. 219. [Google Scholar] [CrossRef]
- Baraffe, I.; Chabrier, G.; Allard, F.; Hauschildt, P.H. Evolutionary models for low-mass stars and brown dwarfs: Uncertainties and limits at very young ages. Astron. Astrophys. 2002, 382, 563. [Google Scholar] [CrossRef]
- Martín, E.L.; Lodieu, N.; Pavlenko, Y.; Béjar, V.J.S. The Lithium Depletion Boundary and the Age of the Hyades Cluster. Astrophys. J. 2018, 856, 40. [Google Scholar] [CrossRef]
- Professor Adam Burrows’ Home Page, Astrophysics, Supernovae, Planets, Exoplanets. Available online: https://www.astro.princeton.edu/~burrows/ (accessed on 22 August 2018).
- Peña Ramírez, K.; Béjar, V.J.S.; Zapatero Osorio, M.R. A new free-floating planet in the Upper Scorpius association. Astron. Astrophys. 2016, 586, A157. [Google Scholar] [CrossRef]
- Lodieu, N.; Zapatero Osorio, M.R.; Béjar, V.J.S.; Peña Ramírez, K. The optical + infrared L dwarf spectral sequence of young planetary-mass objects in the Upper Scorpius association. Mon. Not. R. Astron. Soc. 2018, 473, 2020. [Google Scholar] [CrossRef]
- Bertout, C. T Tauri stars—Wild as dust. Arastron. Astrophys. 1989, 27, 351. [Google Scholar] [CrossRef]
- Caballero, J.A.; Martín, E.L.; Osorio, M.R.Z.; Béjar, V.J.S.; Rebolo, R.; Pavlenko, Y.; Wainscoat, R. S Ori J053825.4-024241: A classical T Tauri-like object at the substellar boundary. Astron. Astrophys. 2006, 445, 143. [Google Scholar] [CrossRef]
- Faherty, J.K.; Rice, E.L.; Cruz, K.L.; Mamajek, E.E.; Núñez, A. 2MASS J035523.37+113343.7: A Young, Dusty, Nearby, Isolated Brown Dwarf Resembling a Giant Exoplanet. Astron. J. 2013, 145, 2. [Google Scholar] [CrossRef]
- Filippazzo, J.C.; Rice, E.L.; Faherty, J.; Cruz, K.L.; van Gordon, M.M.; Looper, D.L. Fundamental Parameters and Spectral Energy Distributions of Young and Field Age Objects with Masses Spanning the Stellar to Planetary Regime. Astrophys. J. 2015, 810, 158. [Google Scholar] [CrossRef]
- Faherty, J.K.; Riedel, A.R.; Cruz, K.L.; Gagne, J.; Filippazzo, J.C.; Lambrides, E.; Fica, H.; Weinberger, A.; Thorstensen, J.R.; Tinney, C.G.; et al. Population Properties of Brown Dwarf Analogs to Exoplanets. Astrophys. J. Suppl. Ser. 2016, 225, 10. [Google Scholar] [CrossRef]
- Zapatero Osorio, M.R.; Béjar, V.J.S.; Peña Ramírez, K. Optical and Near-infrared Spectra of σ Orionis Isolated Planetary-mass Objects. Astrophys. J. 2017, 842, 65. [Google Scholar] [CrossRef]
- Bouvier, J.; Kendall, T.T.; Meeus, G.; Testi, L.; Moraux, E.; Stauffer, J.R.; James, D.; Cuillandre, J.-C.; Irwin, J.; McCaughrean, M.J.; et al. Brown dwarfs and very low mass stars in the Hyades cluster: A dynamically evolved mass function. Astron. Astrophys. 2008, 481, 661. [Google Scholar] [CrossRef]
- Luhman, K.L.; Muench, A.A. New Low-Mass Stars and Brown Dwarfs with Disks in the Chamaeleon I Star-Forming Region. Astrophys. J. 2008, 684, 654–662. [Google Scholar] [CrossRef]
- Luhman, K.L.; Allen, L.E.; Allen, P.R.; Gutermuth, R.A.; Hartmann, L.; Mamajek, E.E.; Megeath, S.T.; Myers, P.C.; Fazio, G.G. The Disk Population of the Chamaeleon I Star-forming Region. Astrophys. J. 2008, 675, 1375–1406. [Google Scholar] [CrossRef]
- Mužić, K.; Scholz, A.; Geers, V.C.; Jayawardhana, R. Substellar Objects in Nearby Young Clusters (SONYC) IX: The Planetary-Mass Domain of Chamaeleon-I and Updated Mass Function in Lupus-3. Astrophys. J. 2015, 810, 159. [Google Scholar] [CrossRef]
- Navascués, D.B.; Stauffer, J.R.; Morales-Calderón, M.; Bayo, A.; Fazzio, G.; Megeath, T.; Allen, L.; Hartmann, L.W.; Calvet, N. Spitzer: Accretion in Low-Mass Stars and Brown Dwarfs in the λ Orionis Cluster. Astrophys. J. 2007, 664, 481–500. [Google Scholar] [CrossRef]
- Bayo, A.; Barrado, D.; Stauffer, J.; Morales-Calderón, M.; Melo, C.; Huélamo, N.; Bouy, H.; Stelzer, B.; Tamura, M.; Jayawardhana, R. Spectroscopy of very low-mass stars and brown dwarfs in the Lambda Orionis star-forming region. II. Rotation, activity and other properties of spectroscopically confirmed members of Collinder 69. Astron. Astrophys. 2012, 547, A80. [Google Scholar] [CrossRef]
- Scholz, A.; Geers, V.; Jayawardhana, R.; Fissel, L.; Lee, E.; Lafreniere, D.; Tamura, M. Substellar Objects in Nearby Young Clusters (SONYC): The Bottom of the Initial Mass Function in NGC 1333. Astrophys. J. 2009, 702, 805–822. [Google Scholar] [CrossRef]
- Burgess, A.S.M.; Moraux, E.; Bouvier, J.; Marmo, C.; Albert, L.; Bouy, H. Young T-dwarf candidates in IC 348. Astron. Astrophys. 2009, 508, 823. [Google Scholar] [CrossRef]
- Scholz, A.; Muzic, K.; Geers, V.; Bonavita, M.; Jayawardhana, R.; Tamura, M. Substellar Objects in Nearby Young Clusters (SONYC). IV. A Census of Very Low Mass Objects in NGC 1333. Astrophys. J. 2012, 744, 6. [Google Scholar] [CrossRef]
- Alves de Oliveira, C.; Moraux, E.; Bouvier, J.; Duchêne, G.; Bouy, H.; Maschberger, T.; Hudelot, P. Spectroscopy of brown dwarf candidates in IC 348 and the determination of its substellar IMF down to planetary masses. Astron. Astrophys. 2013, 549, A123. [Google Scholar] [CrossRef]
- Luhman, K.L.; Esplin, T.L.; Loutrel, N.P. A Census of Young Stars and Brown Dwarfs in IC 348 and NGC 1333. Astrophys. J. 2016, 827, 52. [Google Scholar] [CrossRef]
- Esplin, T.L.; Luhman, K.L.; Faherty, J.K.; Mamajek, E.E.; Bochanski, J.J. A Survey for Planetary-mass Brown Dwarfs in the Chamaeleon I Star-forming Region. Astron. J. 2017, 154, 46. [Google Scholar] [CrossRef]
- Mužić, K.; Scholz, A.; Geers, V.C.; Jayawardhana, R.; López Martí, B. Substellar Objects in Nearby Young Clusters (SONYC). VIII. Substellar Population in Lupus 3. Astrophys. J. 2014, 785, 159. [Google Scholar] [CrossRef]
- Lucas, P.W.; Weights, D.J.; Roche, P.F.; Riddick, F.C. Spectroscopy of planetary mass brown dwarfs in Orion. Mon. Not. R. Astron. Soc. 2006, 373, L60–L70. [Google Scholar] [CrossRef]
- Weights, D.J.; Lucas, P.W.; Roche, P.F.; Pinfield, D.J.; Riddick, F. Infrared spectroscopy and analysis of brown dwarf and planetary mass objects in the Orion nebula cluster. Mon. Not. R. Astron. Soc. 2009, 392, 817–846. [Google Scholar] [CrossRef]
- Hillenbrand, L.A.; Hoffer, A.S.; Herczeg, G.J. An Enhanced Spectroscopic Census of the Orion Nebula Cluster. Astron. J. 2013, 146, 85. [Google Scholar] [CrossRef]
- Ingraham, P.; Albert, L.; Doyon, R.; Artigau, E. Near-infrared (JHK) Spectroscopy of Young Stellar and Substellar Objects in Orion. Astrophys. J. 2014, 782, 8. [Google Scholar] [CrossRef]
- Suenaga, T.; Tamura, M.; Kuzuhara, M.; Yanagisawa, K.; Ishii, M.; Lucas, P.W. Multi-object and long-slit spectroscopy of very low mass brown dwarfs in the Orion Nebular Cluster. Publ. Astron. Soc. Jpn. 2014, 66, 33. [Google Scholar] [CrossRef]
- Fang, M.; Kim, J.S.; Pascucci, I.; Apai, D.; Manara, C.F. A Candidate Planetary-mass Object with a Photoevaporating Disk in Orion. Astrophys. J. 2016, 833, L16. [Google Scholar] [CrossRef]
- Casewell, S.L.; Dobbie, P.D.; Hodgkin, S.T.; Moraux, E.; Jameson, R.F.; Hambly, N.C.; Irwin, J.; Lodieu, N. Proper motion L and T dwarf candidate members of the Pleiades. Mon. Not. R. Astron. Soc. 2007, 378, 1131–1140. [Google Scholar] [CrossRef]
- Bihain, G.; Rebolo, R.; Zapatero Osorio, M.R.; Béjar, V.J.S.; Caballero, J.A. Near-infrared low-resolution spectroscopy of Pleiades L-type brown dwarfs. Astron. Astrophys. 2010, 519, A93. [Google Scholar] [CrossRef]
- Casewell, S.L.; Dobbie, P.D.; Hodgkin, S.T.; Moraux, E.; Jameson, R.F.; Hambly, N.C.; Irwin, J.; Lodieu, N. Erratum: Proper motion L and T dwarf candidate members of the Pleiades. Mon. Not. R. Astron. Soc. 2010, 402, 1407–1408. [Google Scholar] [CrossRef]
- Osorio, M.R.Z.; Ortiz, M.C.G.; Bihain, G.; Bailer-Jones, C.A.L.; Rebolo, R.; Henning, T.; Boudreault, S.; Béjar, V.J.S.; Goldman, B.; Mundt, R.; et al. Search for free-floating planetary-mass objects in the Pleiades. Astron. Astrophys. 2014, 568, A77. [Google Scholar] [CrossRef]
- Zapatero Osorio, M.R.; Béjar, V.J.S.; Martín, E.L.; Gálvez Ortiz, M.C.; Rebolo, R.; Bihain, G.; Henning, T.; Boudreault, S.; Goldman, B. Spectroscopic follow-up of L- and T-type proper-motion member candidates in the Pleiades. Astron. Astrophys. 2014, 572, A67. [Google Scholar] [CrossRef]
- Zapatero Osorio, M.R.; Béjar, V.J.S.; Lodieu, N.; Manjavacas, E. Confirming the least massive members of the Pleiades star cluster. Mon. Not. R. Astron. Soc. 2018, 475, 139. [Google Scholar] [CrossRef]
- Haisch, K.E., Jr.; Barsony, M.; Tinney, C. A Methane Imaging Survey for T Dwarf Candidates in ρ Ophiuchi. Astrophys. J. 2010, 719, L90. [Google Scholar] [CrossRef]
- Marsh, K.A.; Kirkpatrick, J.D.; Plavchan, P. A Young Planetary-Mass Object in the ρ Oph Cloud Core. Astrophys. J. 2010, 709, L158. [Google Scholar] [CrossRef]
- Geers, V.; Scholz, A.; Jayawardhana, R.; Lee, E.; Lafrenière, D.; Tamura, M. Substellar Objects in Nearby Young Clusters (SONYC). II. The Brown Dwarf Population of ρ Ophiuchi. Astrophys. J. 2011, 726, 23. [Google Scholar] [CrossRef]
- Alves de Oliveira, C.; Moraux, E.; Bouvier, J.; Bouy, H. Spectroscopy of new brown dwarf members of ρ Ophiuchi and an updated initial mass function. Astron. Astrophys. 2012, 539, A151. [Google Scholar] [CrossRef]
- Mužić, K.; Scholz, A.; Geers, V.; Jayawardhana, R.; Tamura, M. Substellar Objects in Nearby Young Clusters (SONYC). V. New Brown Dwarfs in ρ Ophiuchi. Astrophys. J. 2012, 744, 134. [Google Scholar] [CrossRef]
- Alves de Oliveira, C.; Ábrahám, P.; Marton, G.; Pinte, C.; Kiss, C.; Kun, M.; Kóspál, Á.; André, P.; Könyves, V. Herschel survey of brown dwarf disks in ρ Ophiuchi. Astron. Astrophys. 2013, 559, A126. [Google Scholar] [CrossRef]
- Chiang, P.; Chen, W.P. Discovery of Young Methane Dwarfs in the Rho Ophiuchi L 1688 Dark Cloud. Astrophys. J. 2015, 811, L16. [Google Scholar] [CrossRef]
- Spezzi, L.; Alves de Oliveira, C.; Moraux, E.; Bouvier, J.; Winston, E.; Hudelot, P.; Bouy, H.; Cuillandre, J.-C. Searching for planetary-mass T-dwarfs in the core of Serpens. Astron. Astrophys. 2012, 545, A105. [Google Scholar] [CrossRef]
- Barrado y Navascués, D.; Zapatero Osorio, M.R.; Béjar, V.J.S.; Rebolo, R.; Martín, E.L.; Mundt, R.; Bailer-Jones, C.A.L. Optical spectroscopy of isolated planetary mass objects in the σ Orionis cluster. Astron. Astrophys. 2001, 377, L9–L13. [Google Scholar] [CrossRef]
- Martín, E.L.; Zapatero Osorio, M.R.; Barrado y Navascués, D.; Béjar, V.J.S.; Rebolo, R. Keck NIRC Observations of Planetary-Mass Candidate Members in the σ Orionis Open Cluster. Astrophys. J. 2011, 558, L117. [Google Scholar] [CrossRef]
- Caballero, J.A.; Béjar, V.J.S.; Rebolo, R.; Zapatero Osorio, M.R. Photometric variability of young brown dwarfs in the σ Orionis open cluster. Astron. Astrophys. 2004, 424, 857. [Google Scholar] [CrossRef]
- Zapatero Osorio, M.R.; Caballero, J.A.; Béjar, V.J.S.; Rebolo, R.; Navascués, D.B.y.; Bihain, G.; Eislöffel, J.; Martín, E.L.; Bailer-Jones, C.A.L.; Mundt, R.; et al. Discs of planetary-mass objects in σ Orionis. Astron. Astrophys. 2007, 472, L9–L12. [Google Scholar] [CrossRef]
- Bihain, G.; Rebolo, R.; Zapatero Osorio, M.R.; Béjar, V.J.S.; Villó-Pérez, I.; Díaz-Sánchez, A.; Pérez-Garrido, A.; Caballero, J.A.; Bailer-Jones, C.A.L.; Barrado y Navascués, D.; et al. Candidate free-floating super-Jupiters in the young σ Orionis open cluster. Astron. Astrophys. 2009, 506, 1169–1182. [Google Scholar] [CrossRef]
- Lodieu, N.; Zapatero Osorio, M.R.; Rebolo, R.; Martín, E.L.; Hambly, N.C. A census of very-low-mass stars and brown dwarfs in the σ Orionis cluster. Astron. Astrophys. 2009, 505, 1115–1127. [Google Scholar] [CrossRef]
- Béjar, V.J.S.; Zapatero Osorio, M.R.; Rebolo, R.; Caballero, J.A.; Barrado, D.; Martín, E.L.; Mundt, R.; Bailer-Jones, C.A.L. The Substellar Population of σ Orionis: A Deep Wide Survey. Astrophys. J. 2011, 743, 64. [Google Scholar] [CrossRef]
- Peña Ramírez, K.; Béjar, V.J.S.; Zapatero Osorio, M.R.; Petr-Gotzens, M.G.; Martín, E.L. New Isolated Planetary-mass Objects and the Stellar and Substellar Mass Function of the σ Orionis Cluster. Astrophys. J. 2012, 754, 30. [Google Scholar] [CrossRef]
- Peña Ramírez, K.; Zapatero Osorio, M.R.; Béjar, V.J.S. Characterization of the known T-type dwarfs towards the σ Orionis cluster. Astron. Astrophys. 2015, 574, A118. [Google Scholar] [CrossRef]
- Luhman, K.L.; Mamajek, E.E.; Allen, P.R.; Cruz, K.L. An Infrared/X-Ray Survey for New Members of the Taurus Star-Forming Region. Astrophys. J. 2009, 703, 399. [Google Scholar] [CrossRef]
- Esplin, T.L.; Luhman, K.L. A Survey for Planetary-mass Brown Dwarfs in the Taurus and Perseus Star-forming Regions. Astron. J. 2017, 154, 134. [Google Scholar] [CrossRef]
- Lodieu, N.; Hambly, N.C.; Jameson, R.F.; Hodgkin, S.T.; Carraro, G.; Kendall, T.R. New brown dwarfs in Upper Sco using UKIDSS Galactic Cluster Survey science verification data. Mon. Not. R. Astron. Soc. 2007, 374, 372–384. [Google Scholar] [CrossRef]
- Lodieu, N.; Hambly, N.C.; Jameson, R.F.; Hodgkin, S.T. Near-infrared cross-dispersed spectroscopy of brown dwarf candidates in the UpperSco association. Mon. Not. R. Astron. Soc. 2008, 383, 1385. [Google Scholar] [CrossRef]
- Lodieu, N.; Hambly, N.C.; Dobbie, P.D.; Cross, N.J.G.; Christensen, L.; Martin, E.L.; Valdivielso, L. Testing the fragmentation limit in the Upper Sco association. Mon. Not. R. Astron. Soc. 2011, 418, 2604. [Google Scholar] [CrossRef]
- Lodieu, N.; Dobbie, P.D.; Cross, N.J.G.; Hambly, N.C.; Read, M.A.; Blake, R.P.; Floyd, D.J.E. Probing the Upper Scorpius mass function in the planetary-mass regime. Mon. Not. R. Astron. Soc. 2013, 435, 2474. [Google Scholar] [CrossRef]
- Béjar, V.J.S.; Martín, E.L. Brown dwarfs and free-floating planets in young stellar clusters. In Handbook of Exoplanets; Deeg, H., Belmonte, J.A., Eds.; Springer: Cham, Switzerland, 2017. [Google Scholar] [CrossRef]
- Burgasser, A.J.; Kirkpatrick, J.D.; McGovern, M.R.; McLean, I.S.; Prato, L.; Reid, I.N. S Orionis 70: Just a Foreground Field Brown Dwarf? Astrophys. J. 2004, 604, 827–831. [Google Scholar] [CrossRef]
- Luhman, K.L.; Hernández, J.; Downes, J.J.; Hartmann, L.; Briceño, C. Disks around Brown Dwarfs in the σ Orionis Cluster. Astrophys. J. 2008, 688, 362–376. [Google Scholar] [CrossRef]
- Scholz, A.; Jayawardhana, R. Dusty Disks at the Bottom of the Initial Mass Function. Astrophys. J. 2008, 672, L49. [Google Scholar] [CrossRef]
- Zapatero Osorio, M.R.; Béjar, V.J.S.; Bihain, G.; Martín, E.L.; Rebolo, R.; Villó-Pérez, I.; Díaz-Sánchez, A.; Pérez Garrido, A.; Caballero, J.A.; Henning, T.; et al. New constraints on the membership of the T dwarf S Ori 70 in the σ Orionis cluster. Astron. Astrophys. 2008, 477, 895–900. [Google Scholar] [CrossRef]
- Elias, J.H. A study of the Taurus dark cloud complex. Astrophys. J. 1978, 224, 857. [Google Scholar] [CrossRef]
- Kenyon, S.J.; Hartmann, L. Pre-Main-Sequence Evolution in the Taurus-Auriga Molecular Cloud. Astrophys. J. Suppl. Ser. 1995, 101, 117. [Google Scholar] [CrossRef]
- Andrews, S.M.; Williams, J.P. Circumstellar Dust Disks in Taurus-Auriga: The Submillimeter Perspective. Astrophys. J. 2005, 631, 1134–1160. [Google Scholar] [CrossRef]
- Walter, F.M.; Vrba, F.J.; Mathieu, R.D.; Brown, A.; Myers, P.C. X-ray sources in regions of star formation. 5: The low mass stars of the Upper Scorpius association. Astron. J. 1999, 107, 692. [Google Scholar] [CrossRef]
- Preibisch, T.; Brown, A.G.A.; Bridges, T.; Guenther, E.; Zinnecker, H. Exploring the Full Stellar Population of the Upper Scorpius OB Association. Astron. J. 2002, 124, 404–416. [Google Scholar] [CrossRef]
- Pecaut, M.J.; Mamajek, E.E.; Bubar, E.J. A Revised Age for Upper Scorpius and the Star Formation History among the F-type Members of the Scorpius-Centaurus OB Association. Astrophys. J. 2012, 746, 154. [Google Scholar] [CrossRef]
- Hertzsprung, E. Catalogue de 3259 étoiles dans les Pléiades. Ann. Sterrewacht Leiden 1947, 19, A1–A89. [Google Scholar]
- Soderblom, D.R.; Jones, B.F.; Balachandran, S.; Stauffer, J.R.; Duncan, D.K.; Fedele, S.B.; Hudon, J.D. The evolution of the lithium abundances of solar-type stars. III—The Pleiades. Astron. J. 1993, 106, 1059–1079. [Google Scholar] [CrossRef]
- Melis, C.; Reid, M.J.; Mioduszewski, A.J.; Stauffer, J.R.; Bower, G.C. A VLBI resolution of the Pleiades distance controversy. Science 2014, 345, 1029. [Google Scholar] [CrossRef] [PubMed]
- Sherry, W.H.; Walter, F.M.; Wolk, S.J. Photometric Identification of the Low-Mass Population of Orion OB1b. I. The σ Orionis Cluster. Astron. J. 2004, 128, 2316–2330. [Google Scholar] [CrossRef]
- Simón-Díaz, S.; Caballero, J.A.; Lorenzo, J.; Apellániz, J.M.; Schneider, F.R.N.; Negueruela, I.; Barbá, R.H.; Dorda, R.; Marco, A.; Montes, D.; et al. Orbital and Physical Properties of the σ Ori Aa, Ab, B Triple System. Astrophys. J. 2015, 799, 169. [Google Scholar] [CrossRef]
- Lee, T.A. Interstellar extinction in the Orion association. Astrophys. J. 1968, 152, 913. [Google Scholar] [CrossRef]
- Cowie, L.L.; Songaila, A.; York, D.G. Orion’s Cloak—A rapidly expanding shell of gas centered on the Orion OB1 association. Astrophys. J. 1979, 230, 469. [Google Scholar] [CrossRef]
- Dolan, C.J.; Mathieu, R.D. The Spatial Distribution of the λ Orionis Pre-Main-Sequence Population. Astron. J. 2001, 121, 2124. [Google Scholar] [CrossRef]
- Barrado y Navascués, D.; Stauffer, J.R.; Bouvier, J.; Jayawardhana, R.; Cuillandre, J.-C. The Substellar Population of the Young Cluster λ Orionis. Astrophys. J. 2004, 610, 1064–1078. [Google Scholar] [CrossRef]
- Bowler, B.P.; Hillenbrand, L.A. Near-infrared Spectroscopy of 2M0441+2301 AabBab: A Quadruple System Spanning the Stellar to Planetary Mass Regimes. Astrophys. J. 2015, 811, L30. [Google Scholar] [CrossRef]
- Cáceres, C.; Hardy, A.; Schreiber, M.R.; Cánovas, H.; Cieza, L.A.; Williams, J.P.; Hales, A.; Pinte, C.; Ménard, F.; Wahhaj, Z. On the Nature of the Tertiary Companion to FW Tau: ALMA CO Observations and SED Modeling. Astrophys. J. 2015, 806, L22. [Google Scholar] [CrossRef]
- Luhman, K.L.; Mamajek, E.E.; Allen, P.R.; Muench, A.A.; Finkbeiner, D.P. Discovery of a Wide Binary Brown Dwarf Born in Isolation. Astrophys. J. 2009, 691, 1265. [Google Scholar] [CrossRef]
- Best, W.M.J.; Liu, M.C.; Magnier, E.A.; Deacon, N.R.; Aller, K.M.; Redstone, J.; Burgett, W.S.; Chambers, K.C.; Draper, P.; Flewelling, H.; et al. A Search for L/T Transition Dwarfs with Pan-STARRS1 and WISE. III. Young L Dwarf Discoveries and Proper Motion Catalogs in Taurus and Scorpius-Centaurus. Astrophys. J. 2017, 837, 95. [Google Scholar] [CrossRef]
- Dobashi, K.; Uehara, H.; Kandori, R.; Sakurai, T.; Kaiden, M.; Umemoto, T.; Sato, F. Atlas and Catalog of Dark Clouds Based on Digitized Sky Survey I. Publ. Astron. Soc. Jpn. 2005, 57, S1–S386. [Google Scholar] [CrossRef]
- York, D.G.; Adelman, J.; Anderson, J.E., Jr.; Anderson, S.F.; Annis, J.; Bahcall, N.A.; Bakken, J.A.; Barkhouser, R.; Bastian, S.; Berman, E.; et al. The Sloan Digital Sky Survey: Technical Summary. Astron. J. 2000, 120, 1579–1587. [Google Scholar] [CrossRef]
- Fazio, G.G.; Hora, J.L.; Allen, L.E.; Ashby, M.L.N.; Barmby, P.; Deutsch, L.K.; Huang, J.-S.; Kleiner, S.; Marengo, M.; Megeath, S.T.; et al. The Infrared Array Camera (IRAC) for the Spitzer Space Telescope. Astrophys. J. Suppl. Ser. 2004, 154, 10. [Google Scholar] [CrossRef]
- Skrutskie, M.F.; Cutri, R.M.; Stiening, R.; Weinberg, M.D.; Schneider, S.; Carpenter, J.M.; Beichman, C.; Capps, R.; Chester, T.; Elias, J.; et al. The Two Micron All Sky Survey (2MASS). Astron. J. 2006, 131, 1163–1183. [Google Scholar] [CrossRef]
- Lawrence, A.; Warren, S.J.; Almaini, O.; Edge, A.C.; Hambly, N.C.; Jameson, R.F.; Lucas, P.; Casali, M.; Adamson, A.; Dye, S.; et al. The UKIRT Infrared Deep Sky Survey (UKIDSS). Mon. Not. R. Astron. Soc. 2007, 379, 1599–1617. [Google Scholar] [CrossRef]
- Kaiser, N.; Burgett, W.; Chambers, K.; Denneau, L.; Heasley, J.; Jedicke, R.; Magnier, E.; Morgan, J.; Onaka, P.; Tonry, J. The Pan-STARRS wide-field optical/NIR imaging survey. Proc. SPIE 2010, 7733, 773300E. [Google Scholar] [CrossRef]
- Wright, E.L.; Eisenhardt, P.R.M.; Mainzer, A.K.; Ressler, M.E.; Cutri, R.M.; Jarrett, T.; Kirkpatrick, J.D.; Padgett, D.; McMillan, R.S.; Skrutskie, M.; et al. The Wide-field Infrared Survey Explorer (WISE): Mission Description and Initial On-orbit Performance. Astron. J. 2010, 140, 1868–1881. [Google Scholar] [CrossRef]
- Collaboration, G.; Brown, A.G.A.; Vallenari, A.; Prusti, T.; Bruijne, J.D. Gaia Data Release 1. Summary of the astrometric, photometric, and survey properties. Astron. Astrophys. 2016, 595, A2. [Google Scholar] [CrossRef]
- Luhman, K.L.; Mamajek, E.E.; Shukla, S.J.; Loutrel, N.P. A Survey for New Members of the Taurus Star-forming Region with the Sloan Digital Sky Survey. Astron. J. 2017, 153, 46. [Google Scholar] [CrossRef]
- Kraus, A.L.; Herczeg, G.J.; Rizzuto, A.C.; Mann, A.W.; Slesnick, C.L.; Carpenter, J.M.; Hillenbrand, L.A.; Mamajek, E.E. The Greater Taurus-Auriga Ecosystem. I. There is a Distributed Older Population. Astrophys. J. 2017, 838, 150. [Google Scholar] [CrossRef]
- Caballero, J.A. Spatial distribution of stars and brown dwarfs in σ Orionis. Mon. Not. R. Astron. Soc. 2008, 383, 375–382. [Google Scholar] [CrossRef]
- Jeffries, R.D.; Maxted, P.F.L.; Oliveira, J.M.; Naylor, T. Kinematic structure in the young σ Orionis association. Mon. Not. R. Astron. Soc. 2006, 371, L6. [Google Scholar] [CrossRef]
- Caballero, J.A. Stars and brown dwarfs in the σ Orionis cluster: The Mayrit catalogue. Astron. Astrophys. 2008, 478, 667. [Google Scholar] [CrossRef]
- Lafrenière, D.; Jayawardhana, R.; van Kerkwijk, M.H. Direct Imaging and Spectroscopy of a Planetary-Mass Candidate Companion to a Young Solar Analog. Astrophys. J. 2008, 689, L153–L156. [Google Scholar] [CrossRef]
- Lafrenière, D.; Jayawardhana, R.; van Kerkwijk, M.H. The Directly Imaged Planet Around the Young Solar Analog 1RXS J160929.1-210524: Confirmation of Common Proper Motion, Temperature, and Mass. Astrophys. J. 2010, 719, 497–504. [Google Scholar] [CrossRef]
- Ireland, M.J.; Kraus, A.; Martinache, F.; Law, N.; Hillenbrand, L.A. Two Wide Planetary-mass Companions to Solar-type Stars in Upper Scorpius. Astrophys. J. 2011, 726, 113. [Google Scholar] [CrossRef]
- Lachapelle, F.-R.; Lafrenière, D.; Gagné, J.; Jayawardhana, R.; Janson, M.; Helling, C.; Witte, S. Characterization of Low-mass, Wide-separation Substellar Companions to Stars in Upper Scorpius: Near-infrared Photometry and Spectroscopy. Astrophys. J. 2015, 802, 61. [Google Scholar] [CrossRef]
- Lafrenière, D.; Jayawardhana, R.; Janson, M.; Helling, C.; Witte, S.; Hauschildt, P. Discovery of an ~23 MJup Brown Dwarf Orbiting ~700 AU from the Massive Star HIP 78530 in Upper Scorpius. Astrophys. J. 2011, 730, 42. [Google Scholar] [CrossRef]
- Borucki, W.J.; Koch, D.; Basri, G.; Batalha, N.; Brown, T.; Caldwell, D.; Caldwell, J.; Christensen-Dalsgaard, J.; Cochran, W.D.; DeVore, E.; et al. Kepler Planet-Detection Mission: Introduction and First Results. Science 2010, 327, 977–980. [Google Scholar] [CrossRef] [PubMed]
- Lissauer, J.J.; Marcy, G.W.; Bryson, S.T.; Rowe, J.F.; Jontof-Hutter, D.; Agol, E.; Borucki, W.J.; Carter, J.A.; Ford, E.B.; Gilliland, R.L.; et al. Validation of Kepler’s Multiple Planet Candidates. II. Refined Statistical Framework and Descriptions of Systems of Special Interest. Astrophys. J. 2014, 784, 44. [Google Scholar] [CrossRef]
- David, T.J.; Hillenbrand, L.A.; Petigura, E.A.; Carpenter, J.M.; Crossfield, I.J.; Hinkley, S.; Ciardi, D.R.; Howard, A.W.; Isaacson, H.T.; Cody, A.M.; et al. A Neptune-sized transiting planet closely orbiting a 5-10-million-year-old star. Nature 2016, 534, 658. [Google Scholar] [CrossRef] [PubMed]
- Mann, A.W.; Newton, E.R.; Rizzuto, A.C.; Irwin, J.; Feiden, G.A.; Gaidos, E.; Mace, G.N.; Kraus, A.L.; James, D.J.; Ansdell, M.; et al. Zodiacal Exoplanets in Time (ZEIT). III. A Short-period Planet Orbiting a Pre-main-sequence Star in the Upper Scorpius OB Association. Astron. J. 2016, 152, 61. [Google Scholar] [CrossRef]
- Vanderburg, A.; Latham, D.W.; Buchhave, L.A.; Bieryla, A.; Berlind, P.; Calkins, M.L.; Esquerdo, G.A.; Welsh, S.; Johnson, J.A. Planetary Candidates from the First Year of the K2 Mission. Astrophys. J. Suppl. Ser. 2016, 222, 14. [Google Scholar] [CrossRef]
- Martín, E.L.; Basri, G.; Zapatero Osorio, M.R.; Rebolo, R.; García López, R.J. The First L-Type Brown Dwarf in the Pleiades. Astrophys. J. 1998, 507, L41. [Google Scholar] [CrossRef]
- Bihain, G.; Rebolo, R.; Bejar, V.J.S.; Caballero, J.A.; Bailer-Jones, C.A.L.; Mundt, R.; Acosta-Pulido, J.A.; Torres, A.M. Pleiades low-mass brown dwarfs: The cluster L dwarf sequence. Astron. Astrophys. 2006, 458, 805–816. [Google Scholar] [CrossRef]
- Lodieu, N.; Deacon, N.R.; Hambly, N.C. Astrometric and photometric initial mass functions from the UKIDSS Galactic Clusters Survey—I. The Pleiades. Mon. Not. R. Astron. Soc. 2012, 422, 1495–1511. [Google Scholar] [CrossRef]
- Casewell, S.L.; Jameson, R.F.; Burleigh, M.R.; Dobbie, P.D.; Roy, M.; Hodgkin, S.T.; Moraux, E. Methane band and Spitzer mid-IR imaging of L and T dwarf candidates in the Pleiades. Mon. Not. R. Astron. Soc. 2011, 412, 2071–2078. [Google Scholar] [CrossRef]
- Jameson, R.F.; Dobbie, P.D.; Hodgkin, S.T.; Pinfield, D.J. Brown dwarfs in the Pleiades: Spatial distribution and mass function. Mon. Not. R. Astron. Soc. 2002, 335, 853. [Google Scholar] [CrossRef]
- Gauza, B.; Béjar, V.J.S.; Pérez-Garrido, A.; Osorio, M.R.Z.; Lodieu, N.; Rebolo, R.; Pallé, E.; Nowak, G. Discovery of a Young Planetary Mass Companion to the Nearby M Dwarf VHS J125601.92-125723.9. Astrophys. J. 2015, 804, 96. [Google Scholar] [CrossRef]
- Mamajek, E.E. A Moving Cluster Distance to the Exoplanet 2M1207b in the TW Hydrae Association. Astrophys. J. 2005, 634, 1385–1394. [Google Scholar] [CrossRef]
- Song, I.; Schneider, G.; Zuckerman, B.; Farihi, J.; Becklin, E.E.; Bessell, M.S.; Lowrance, P.; Macintosh, B.A. HST NICMOS Imaging of the Planetary-mass Companion to the Young Brown Dwarf 2MASSW J1207334-393254. Astrophys. J. 2006, 652, 724–729. [Google Scholar] [CrossRef]
- Ducourant, C.; Teixeira, R.; Chauvin, G.; Daigne, G.; le Campion, J.F.; Song, I.; Zuckerman, B. An accurate distance to 2M1207Ab. Astron. Astrophys. 2008, 477, L1. [Google Scholar] [CrossRef]
- Patience, J.; King, R.R.; de Rosa, R.J.; Marois, C. The highest resolution near infrared spectrum of the imaged planetary mass companion 2M1207 b. Astron. Astrophys. 2010, 517, A76. [Google Scholar] [CrossRef]
- Barman, T.S.; Macintosh, B.; Konopacky, Q.M.; Marois, C. The Young Planet-mass Object 2M1207b: A Cool, Cloudy, and Methane-poor Atmosphere. Astrophys. J. 2011, 735, L39. [Google Scholar] [CrossRef]
- Zhou, Y.; Apai, D.; Schneider, G.H.; Marley, M.S.; Showman, A.P. Discovery of Rotational Modulations in the Planetary-mass Companion 2M1207b: Intermediate Rotation Period and Heterogeneous Clouds in a Low Gravity Atmosphere. Astrophys. J. 2016, 818, 176. [Google Scholar] [CrossRef]
- Biller, B.A.; Close, L.M. A Direct Distance and Luminosity Determination for a Self-luminous Giant Exoplanet: The Trigonometric Parallax to 2MASSW J1207334-393254Ab. Astrophys. J. 2007, 669, L41–L44. [Google Scholar] [CrossRef]
- Mohanty, S.; Jayawardhana, R.; Huélamo, N.; Mamajek, E.E. The Planetary Mass Companion 2MASS 1207-3932B: Temperature, Mass, and Evidence for an Edge-on Disk. Astrophys. J. 2007, 657, 1064–1091. [Google Scholar] [CrossRef]
- Mamajek, E.E.; Meyer, M.R. An Improbable Solution to the Underluminosity of 2M1207B: A Hot Protoplanet Collision Afterglow. Astrophys. J. 2007, 668, L175–L178. [Google Scholar] [CrossRef]
- Skemer, A.J.; Close, L.M.; Szűcs, L.; Apai, D.; Pascucci, I.; Biller, B.A. Evidence Against an Edge-on Disk Around the Extrasolar Planet, 2MASS 1207 b and a New Thick-cloud Explanation for Its Underluminosity. Astrophys. J. 2011, 732, 107. [Google Scholar] [CrossRef]
- Riaz, B.; Lodato, G.; Stamatellos, D.; Gizis, J.E. Herschel SPIRE observations of the TWA brown dwarf disc 2MASSW J1207334-393254. Mon. Not. R. Astron. Soc. 2012, 422, L74–L76. [Google Scholar] [CrossRef]
- Ricci, L.; Cazzoletti, P.; Czekala, I.; SAndrews, M.; Wilner, D.; Szűcs, L.; Lodato, G.; Testi, L.; Pascucci, I.; Mohanty, S.; et al. ALMA Observations of the Young Substellar Binary System 2M1207. Astron. J. 2017, 154, 24. [Google Scholar] [CrossRef]
- Caballero, J.A.; Martín, E.L.; Dobbie, P.D.; Barrado y Navascués, D. Are isolated planetary-mass objects really isolated? A brown dwarf-exoplanet system candidate in the σ Orionis cluster. Astron. Astrophys. 2006, 460, 635. [Google Scholar] [CrossRef]
- Scholz, A.; Eislöffel, J. Rotation and accretion of very low mass objects in the σ Ori cluster. Astron. Astrophys. 2004, 419, 249–267. [Google Scholar] [CrossRef]
- Franciosini, E.; Pallavicini, R.; Sanz-Forcada, J. XMM-Newton observations of the σ Orionis cluster. II. Spatial and spectral analysis of the full EPIC field. Astron. Astrophys. 2006, 446, 501–513. [Google Scholar] [CrossRef]
- Barrado y Navascués, D.; Bayo, A.; Morales-Calderón, M.; Huélamo, N.; Stauffer, J.R.; Bouy, H. The young, wide and very low mass visual binary Lambda Orionis 167. Astron. Astrophys. 2007, 468, L5–L8. [Google Scholar] [CrossRef]
- Béjar, V.J.S.; Zapatero Osorio, M.R.; Pérez-Garrido, A.; Álvarez, C.; Martín, E.L.; Rebolo, R.; Villó-Pérez, I.; Díaz-Sánchez, A. Discovery of a Wide Companion near the Deuterium-burning Mass Limit in the Upper Scorpius Association. Astrophys. J. 2008, 673, L185–L189. [Google Scholar] [CrossRef]
- Todorov, K.O.; Luhman, K.L.; McLeod, K.K. Discovery of a Planetary-mass Companion to a Brown Dwarf in Taurus. Astrophys. J. 2010, 714, L84. [Google Scholar] [CrossRef]
- Todorov, K.O.; Luhman, K.L.; Konopacky, Q.M.; McLeod, K.K.; Apai, D.; Ghez, A.M.; Pascucci, I.; Robberto, M. A Search for Companions to Brown Dwarfs in the Taurus and Chamaeleon Star-Forming Regions. Astrophys. J. 2014, 788, 40. [Google Scholar] [CrossRef]
- Jayawardhana, R.; Ivanov, V.D. Discovery of a Young Planetary-Mass Binary. Science 2006, 313, 1279–1281. [Google Scholar] [CrossRef] [PubMed]
- Brandeker, A.; Jayawardhana, R.; Ivanov, V.D.; Kurtev, R. Infrared Spectroscopy of the Ultra-Low-Mass Binary Oph 162225-240515. Astrophys. J. 2006, 653, L61–L64. [Google Scholar] [CrossRef]
- Close, L.M.; Zuckerman, B.; Song, I.; Barman, T.; Marois, C.; Rice, E.L.; Siegler, N.; Macintosh, B.; Becklin, E.E.; Campbell, R.; et al. The Wide Brown Dwarf Binary Oph 1622-2405 and Discovery of a Wide, Low-Mass Binary in Ophiuchus (Oph 1623-2402): A New Class of Young Evaporating Wide Binaries? Astrophys. J. 2007, 660, 1492–1506. [Google Scholar] [CrossRef]
- Luhman, K.L.; Allers, K.N.; Jaffe, D.T.; Cushing, M.C.; Williams, K.A.; Slesnick, C.L.; Vacca, W.D. Ophiuchus 1622-2405: Not a Planetary-Mass Binary. Astrophys. J. 2007, 659, 1629–1636. [Google Scholar] [CrossRef]
- Caballero, J.A. Reaching the boundary between stellar kinematic groups and very wide binaries. The Washington double stars with the widest angular separations. Astron. Astrophys. 2009, 507, 251–259. [Google Scholar] [CrossRef]
- Lodato, G.; Delgado-Donate, E.; Clarke, C.J. Constraints on the formation mechanism of the planetary mass companion of 2MASS 1207334-393254. Mon. Not. R. Astron. Soc. 2005, 364, L91. [Google Scholar] [CrossRef]
- Desidera, S. Properties of Hypothetical Planetary Systems around the Brown Dwarf Gliese 229B. Publ. Astron. Soc. Pac. 1999, 111, 1529–1538. [Google Scholar] [CrossRef]
- Caballero, J.A.; Rebolo, R. Variability in brown dwarfs: Atmospheres and transits. In Proceedings of the First Eddington Workshop on Stellar Structure and Habitable Planet Finding, Córdoba, Spain, 11–15 June 2001; Battrick, B., Favata, F., Roxburgh, I.W., Galadi, D., Eds.; ESA SP-485; ESA Publications Division: The Netherlands, 2002; p. 261. ISBN 92-9092-781-X. [Google Scholar]
- Delorme, P.; Delfosse, X.; Albert, L.; Artigau, E.; Forveille, T.; Reylé, C.; Allard, F.; Homeier, D.; Robin, A.C.; Willott, C.J.; et al. CFBDS J005910.90-011401.3: Reaching the T-Y brown dwarf transition? Astron. Astrophys. 2008, 482, 961–971. [Google Scholar] [CrossRef]
- Cushing, M.C.; Kirkpatrick, J.D.; Gelino, C.R.; Griffith, R.L.; Skrutskie, M.F.; Mainzer, A.; Marsh, K.A.; Beichman, C.A.; Burgasser, A.J.; Prato, L.A.; et al. The Discovery of Y Dwarfs using Data from the Wide-field Infrared Survey Explorer (WISE). Astrophys. J. 2011, 743, 50. [Google Scholar] [CrossRef]
- Davy Kirkpatrick, J.; Cushing, M.C.; Gelino, C.R.; Griffith, R.L.; Skrutskie, M.F.; Marsh, K.A.; Wright, E.L.; Mainzer, A.; Eisenhardt, P.R.; McLean, I.S.; et al. The First Hundred Brown Dwarfs Discovered by the Wide-field Infrared Survey Explorer (WISE). Astrophys. J. Suppl. Ser. 2011, 197, 19. [Google Scholar] [CrossRef]
- Liu, M.C.; Dupuy, T.J.; Bowler, B.P.; Leggett, S.K.; Best, W.M.J. Two Extraordinary Substellar Binaries at the T/Y Transition and the Y-band Fluxes of the Coolest Brown Dwarfs. Astrophys. J. 2012, 758, 57. [Google Scholar] [CrossRef]
- Tinney, C.G.; Faherty, J.K.; Kirkpatrick, J.D.; Wright, E.L.; Gelino, C.R.; Cushing, M.C.; Griffith, R.L.; Salter, G. WISE J163940.83-684738.6: A Y Dwarf Identified by Methane Imaging. Astrophys. J. 2012, 759, 60. [Google Scholar] [CrossRef]
- Beichman, C.; Gelino, C.R.; Kirkpatrick, J.D.; Barman, T.S.; Marsh, K.A.; Cushing, M.C.; Wright, E.L. The Coldest Brown Dwarf (or Free-floating Planet)?: The Y Dwarf WISE 1828+2650. Astrophys. J. 2013, 764, 101. [Google Scholar] [CrossRef]
- Kirkpatrick, J.D.; Cushing, M.C.; Gelino, C.R.; Beichman, C.A.; Tinney, C.G.; Faherty, J.K.; Schneider, A.; Mace, G.N. Discovery of the Y1 Dwarf WISE J064723.23-623235.5. Astrophys. J. 2013, 776, 128. [Google Scholar] [CrossRef]
- Dupuy, T.J.; Kraus, A.L. Distances, Luminosities, and Temperatures of the Coldest Known Substellar Objects. Science 2013, 341, 1492–1495. [Google Scholar] [CrossRef] [PubMed]
- Cushing, M.C.; Kirkpatrick, J.D.; Gelino, C.R. Three New Cool Brown Dwarfs Discovered with the Wide-field Infrared Survey Explorer (WISE) and an Improved Spectrum of the Y0 Dwarf WISE J041022.71+150248.4. Astron. J. 2014, 147, 113. [Google Scholar] [CrossRef]
- Pinfield, D.J.; Gromadzki, M.; Leggett, S.K.; Gomes, J.; Lodieu, N.; Kurtev, R.; Day-Jones, A.C.; Ruiz, M.T.; Cook, N.J.; Morley, C.V.; et al. Discovery of a new Y dwarf: WISE J030449.03-270508.3. Mon. Not. R. Astron. Soc. 2014, 444, 1931–1939. [Google Scholar] [CrossRef]
- Liu, M.C.; Magnier, E.A.; Deacon, N.R.; Allers, K.N.; Dupuy, T.J.; Kotson, M.C.; Aller, K.M.; Burgett, W.S.; Chambers, K.C.; Draper, P.W.; et al. The Extremely Red, Young L Dwarf PSO J318.5338-22.8603: A Free-floating Planetary-mass Analog to Directly Imaged Young Gas-giant Planet. Astrophys. J. 2013, 777, L20. [Google Scholar] [CrossRef]
- Mace, G.N.; Kirkpatrick, J.D.; Cushing, M.C.; Gelino, C.R.; Griffith, R.L.; Skrutskie, M.F.; Marsh, K.A.; Wright, E.L.; Eisenhardt, P.R.; McLean, I.S.; et al. A Study of the Diverse T Dwarf Population Revealed by WISE. Astrophys. J. Suppl. Ser. 2013, 205, 6. [Google Scholar] [CrossRef]
- Gagné, J.; Lafrenière, D.; Doyon, R.; Malo, L.; Artigau, É. BANYAN. II. Very Low Mass and Substellar Candidate Members to Nearby, Young Kinematic Groups with Previously Known Signs of Youth. Astrophys. J. 2014, 783, 121. [Google Scholar] [CrossRef]
- Gagné, J.; Faherty, J.K.; Cruz, K.; Lafrenière, D.; Doyon, R.; Malo, L.; Artigau, É. The Coolest Isolated Brown Dwarf Candidate Member of TWA. Astrophys. J. 2014, 785, L14. [Google Scholar] [CrossRef]
- Gagné, J.; Burgasser, A.J.; Faherty, J.K.; Lafreniére, D.; Doyon, R.; Filippazzo, J.C.; Bowsher, E.; Nicholls, C.P. SDSS J111010.01+011613.1: A New Planetary-mass T Dwarf Member of the AB Doradus Moving Group. Astrophys. J. 2015, 808, L20. [Google Scholar] [CrossRef]
- Gagné, J.; Faherty, J.K.; Cruz, K.L.; Lafrenière, D.; Doyon, R.; Malo, L.; Burgasser, A.J.; Naud, M.; Artigau, É.; Bouchard, S.; et al. BANYAN. VII. A New Population of Young Substellar Candidate Members of Nearby Moving Groups from the BASS Survey. Astrophys. J. Suppl. Ser. 2015, 219, 33. [Google Scholar] [CrossRef]
- Kellogg, K.; Metchev, S.; Geißler, K.; Hicks, S.; Kirkpatrick, J.D.; Kurtev, R. A Targeted Search for Peculiarly Red L and T Dwarfs in SDSS, 2MASS, and WISE: Discovery of a Possible L7 Member of the TW Hydrae Association. Astron. J. 2015, 150, 182. [Google Scholar] [CrossRef]
- Schneider, A.C.; Windsor, J.; Cushing, M.C.; Kirkpatrick, J.D.; Wright, E.L. WISEA J114724.10-204021.3: A Free-floating Planetary Mass Member of the TW Hya Association. Astrophys. J. 2016, 822, L1. [Google Scholar] [CrossRef]
- Best, W.M.J.; Liu, M.C.; Dupuy, T.J.; Magnier, E.A. The Young L Dwarf 2MASS J11193254-1137466 Is a Planetary-mass Binary. Astrophys. J. 2017, 843, L4. [Google Scholar] [CrossRef]
- Gagné, J.; Faherty, J.K.; Mamajek, E.E.; Malo, L.; Doyon, R.; Filippazzo, J.C.; Weinberger, A.J.; Donaldson, J.K.; Lépine, S.; Lafrenière, D.; et al. BANYAN. IX. The Initial Mass Function and Planetary-mass Object Space Density of the TW HYA Association. Astrophys. J. Suppl. Ser. 2017, 228, 18. [Google Scholar] [CrossRef]
- Schneider, A.C.; Hardegree-Ullman, K.K.; Cushing, M.C.; Kirkpatrick, J.D.; Shkolnik, E.L. Spitzer Light Curves of the Young, Planetary-mass TW Hya Members 2MASS J11193254–1137466AB and WISEA J114724.10–204021.3. Astron. J. 2018, 155, 238. [Google Scholar] [CrossRef]
- Gagné, J.; Faherty, J.K.; Burgasser, A.J.; Artigau, É.; Bouchard, S.; Albert, L.; Lafrenière, D.; Doyon, R.; Gagliuffi, D.C.B. SIMP J013656.5+093347 Is Likely a Planetary-mass Object in the Carina-Near Moving Group. Astrophys. J. 2017, 841, L1. [Google Scholar] [CrossRef]
- Gagné, J.; Allers, K.N.; Theissen, C.A.; Faherty, J.K.; Gagliuffi, D.C.B.; Artigau, É. 2MASS J13243553+6358281 Is an Early T-type Planetary-mass Object in the AB Doradus Moving Group. Astrophys. J. 2018, 854, L27. [Google Scholar] [CrossRef]
- Delorme, P.; Gagné, J.; Malo, L.; Reylé, C.; Artigau, E.; Albert, L.; Forveille, T.; Delfosse, X.; Allard, F.; Homeier, D. CFBDSIR2149-0403: A 4-7 Jupiter-mass free-floating planet in the young moving group AB Doradus? Astron. Astrophys. 2012, 548, A26. [Google Scholar] [CrossRef]
- Delorme, P.; Dupuy, T.; Gagné, J.; Forveille, T.; Liu, M.C.; Artigau, E.; Albert, L.; Delfosse, X.; Allard, F.; Homeier, D.; et al. CFBDSIR 2149-0403: Young isolated planetary-mass object or high-metallicity low-mass brown dwarf? Astron. Astrophys. 2017, 602, A82. [Google Scholar] [CrossRef]
- Skemer, A.; Morley, C.; Allers, K.; Geballe, T.; Marley, M.; Fortney, J.; Faherty, J.; Bjoraker, G.; Lupu, R. The First Spectrum of the Coldest Brown Dwarf. Astrophys. J. 2016, 826, L17. [Google Scholar] [CrossRef]
- Zapatero Osorio, M.R.; Lodieu, N.; Béjar, V.J.S.; Martín, E.L.; Ivanov, V.D.; Bayo, A.; Boffin, H.M.J.; Mužić, K.; Minniti, D.; Beamín, J. C Near-infrared photometry of WISE J085510.74-071442.5. Astron. Astrophys. 2016, 592, A80. [Google Scholar] [CrossRef]
- Luhman, K.L.; Burgasser, A.J.; Bochanski, J.J. Discovery of a Candidate for the Coolest Known Brown Dwarf. Astrophys. J. 2011, 730, L9. [Google Scholar] [CrossRef]
- Rodríguez, D.R.; Zuckerman, B.; Melis, C.; Song, I. The Ultra Cool Brown Dwarf Companion of WD 0806-661B: Age, Mass, and Formation Mechanism. Astrophys. J. 2011, 732, L29. [Google Scholar] [CrossRef]
- Luhman, K.L.; Burgasser, A.J.; Labbe, I.; Saumon, D.; Marley, M.S.; Bochanski, J.J.; Monson, A.J.; Persson, S.E. Confirmation of One of the Coldest Known Brown Dwarfs. Astrophys. J. 2012, 744, 135. [Google Scholar] [CrossRef]
- Luhman, K.L.; Morley, C.V.; Burgasser, A.J.; Esplin, T.L.; Bochanski, J.J. Near-infrared Detection of WD 0806-661 B with the Hubble Space Telescope. Astrophys. J. 2014, 794, 16. [Google Scholar] [CrossRef]
- Kopytova, T.G.; Crossfield, I.J.M.; Deacon, N.R.; Brandner, W.; Buenzli, E.; Bayo, A.; Schlieder, J.E.; Manjavacas, E.; Biller, B.A.; Kopon, D. Deep z-band Observations of the Coolest Y Dwarf. Astrophys. J. 2014, 797, 3. [Google Scholar] [CrossRef]
- Luhman, K.L.; Esplin, T.L. A New Parallax Measurement for the Coldest Known Brown Dwarf. Astrophys. J. 2014, 796, 6. [Google Scholar] [CrossRef]
- Tinney, C.G.; Faherty, J.K.; Kirkpatrick, J.D.; Cushing, M.; Morley, C.V.; Wright, E.L. The Luminosities of the Coldest Brown Dwarfs. Astrophys. J. 2014, 796, 39. [Google Scholar] [CrossRef]
- Wright, E.L.; Mainzer, A.; Davy Kirkpatrick, J.; Masci, F.; Cushing, M.C.; Bauer, J.; Fajardo-Acosta, S.; Gelino, C.R.; Beichman, C.A.; Skrutskie, M.F.; et al. NEOWISE-R Observation of the Coolest Known Brown Dwarf. Astron. J. 2014, 148, 82. [Google Scholar] [CrossRef]
- Yates, J.S.; Palmer, P.I.; Biller, B.; Cockell, C.S. Atmospheric Habitable Zones in Y Dwarf Atmospheres. Astrophys. J. 2017, 836, 184. [Google Scholar] [CrossRef]
- Kumar, S.S. On the nature of red stars of low luminosity. Observatory 1964, 84, 18. [Google Scholar]
- Kumar, S.S. On planets and black dwarfs. Icarus 1967, 6, 136–137. [Google Scholar] [CrossRef]
- Low, C.; Lynden-Bell, D. The minimum Jeans mass or when fragmentation must stop. Mon. Not. R. Astron. Soc. 1976, 176, 367–390. [Google Scholar] [CrossRef]
- Rees, M.J. Opacity-limited hierarchical fragmentation and the masses of protostars. Mon. Not. R. Astron. Soc. 1976, 176, 483. [Google Scholar] [CrossRef]
- Silk, J. On the fragmentation of cosmic gas clouds. II—Opacity-limited star formation. Astrophys. J. 1977, 214, 152. [Google Scholar] [CrossRef]
- Tohline, J.E. The gravitational fragmentation of primordial gas clouds. Astrophys. J. 1980, 239, 417. [Google Scholar] [CrossRef]
- Boss, A.P. Low-mass star and planet formation. Publ. Astron. Soc. Pac. 1989, 101, 767. [Google Scholar] [CrossRef]
- Boss, A.P. Formation of Planetary-Mass Objects by Protostellar Collapse and Fragmentation. Astrophys. J. 2001, 551, L167. [Google Scholar] [CrossRef]
- Whitworth, A.; Bate, M.R.; Nordlund, Å.; Reipurth, B.; Zinnecker, H. The Formation of Brown Dwarfs: Theory. In Protostars and Planets V; Reipurth, B., Jewitt, D., Keil, K., Eds.; University of Arizona Press: Tucson, AZ, USA, 2007; p. 459. [Google Scholar]
- Luhman, K.L.; Joergens, V.; Lada, C.; Muzerolle, J.; Pascucci, I.; White, R. The Formation of Brown Dwarfs: Observations. In Protostars and Planets V; Reipurth, B., Jewitt, D., Keil, K., Eds.; University of Arizona Press: Tucson, AZ, USA, 2007; p. 443. [Google Scholar]
- Boss, A.P. Possible Rapid Gas Giant Planet Formation in the Solar Nebula and Other Protoplanetary Disks. Astrophys. J. 2000, 536, L101–L104. [Google Scholar] [CrossRef] [PubMed]
- Reipurth, B.; Clarke, C. The Formation of Brown Dwarfs as Ejected Stellar Embryos. Astron. J. 2001, 122, 432. [Google Scholar] [CrossRef]
- Bate, M.R.; Bonnell, I.A.; Bromm, V. The formation of close binary systems by dynamical interactions and orbital decay. Mon. Not. R. Astron. Soc. 2002, 336, 705. [Google Scholar] [CrossRef]
- Marcy, G.W.; Butler, R.P. Detection of Extrasolar Giant Planets. Arastron. Astrophys. 1998, 36, 57. [Google Scholar] [CrossRef]
- Parker, R.J.; Wright, N.J.; Goodwin, S.P.; Meyer, M.R. Dynamical evolution of star-forming regions. Mon. Not. R. Astron. Soc. 2014, 438, 620. [Google Scholar] [CrossRef]
- Caballero, J.A. A near-infrared/optical/X-ray survey in the centre of σ Orionis. Astron. Nachr. 2007, 328, 917. [Google Scholar] [CrossRef]
- Bouy, H.; Huélamo, N.; Martín, E.L.; Marchis, F.; Navascués, D.B.; Kolb, J.; Marchetti, E.; Petr-Gotzens, M.G.; Sterzik, M.; Ivanov, V.D.; et al. A deep look into the cores of young clusters. I. σ Orionis. Astron. Astrophys. 2009, 493, 931–946. [Google Scholar] [CrossRef]
- Palau, A.; de Gregorio-Monsalvo, I.; Morata, Ò.; Stamatellos, D.; Huélamo, N.; Eiroa, C.; Bayo, A.; Morales-Calderón, M.; Bouy, H.; Ribas, Á.; et al. A search for pre-substellar cores and proto-brown dwarf candidates in Taurus: Multiwavelength analysis in the B213-L1495 clouds. Mon. Not. R. Astron. Soc. 2012, 424, 2778–2791. [Google Scholar] [CrossRef]
- Gahm, G.F.; Persson, C.M.; Mäkelä, M.M.; Haikala, L.K. Mass and motion of globulettes in the Rosette Nebula. Astron. Astrophys. 2013, 555, A57. [Google Scholar] [CrossRef]
- Palau, A.; Zapata, L.A.; Rodriguez, L.F.; Bouy, H.; Barrado, D.; Morales-Calderon, M.; Myers, P.C.; Chapman, N.; Juarez, C.; Li, D. IC 348-SMM2E: A Class 0 proto-brown dwarf candidate forming as a scaled-down version of low-mass stars. Mon. Not. R. Astron. Soc. 2014, 444, 833–845. [Google Scholar] [CrossRef]
- Haworth, T.J.; Facchini, S.; Clarke, C.J. The theory of globulettes: Candidate precursors of brown dwarfs and free-floating planets in H II regions. Mon. Not. R. Astron. Soc. 2015, 446, 1098–1106. [Google Scholar] [CrossRef]
- Morata, Ó.; Palau, A.; González, R.F.; de Gregorio-Monsalvo, I.; Ribas, Á.; Perger, M.; Bouy, H.; Barrado, D.; Eiroa, C.; Bayo, A.; et al. First Detection of Thermal Radiojets in a Sample of Proto-brown Dwarf Candidates. Astrophys. J. 2015, 807, 55. [Google Scholar] [CrossRef]
- De Gregorio-Monsalvo, I.; Barrado, D.; Bouy, H.; Bayo, A.; Palau, A.; Morales-Calderón, M.; Huélamo, N.; Morata, O.; Merín, B.; Eiroa, C. A submillimetre search for pre- and proto-brown dwarfs in Chamaeleon II. Astron. Astrophys. 2016, 590, A79. [Google Scholar] [CrossRef]
- Liu, T.; Zhang, Q.; Kim, K.-T.; Wu, Y.; Lee, C.W.; Lee, J.-E.; Tatematsu, K.; Choi, M.; Juvela, M.; Thompson, M.; et al. Planck Cold Clumps in the λ Orionis Complex. I. Discovery of an Extremely Young Class 0 Protostellar Object and a Proto-brown Dwarf Candidate in the Bright-rimmed Clump PGCC G192.32-11.88. Astrophys. J. Suppl. Ser. 2016, 222, 7. [Google Scholar] [CrossRef]
- Bayo, A.; Joergens, V.; Liu, Y.; Brauer, R.; Olofsson, J.; Arancibia, J.; Pinilla, P.; Wolf, S.; Ruge, J.; Henning, T.; et al. First Millimeter Detection of the Disk around a Young, Isolated, Planetary-mass Object. Astrophys. J. 2017, 841, L11. [Google Scholar] [CrossRef]
- Riaz, B.; Briceño, C.; Whelan, E.T.; Heathcote, S. First Large-scale Herbig-Haro Jet Driven by a Proto-brown Dwarf. Astrophys. J. 2017, 844, 47. [Google Scholar] [CrossRef]
- Abell, P.A.; Allison, J.; Anderson, S.F.; Andrew, J.R.; Angel, J.R.P.; Armus, L.; Arnett, D.; Asztalos, S.J.; Axelrod, T.S.; Bailey, S.; et al. LSST Science Book, version 2.0; LSST Corporation: Tucson, AZ, USA, 2009. [Google Scholar]
- Laureijs, R.; Amiaux, J.; Arduini, S.; Auguères, J.-L.; Brinchmann, J.; Cole, R.; Cropper, M.; Dabin, C.; Duvet, L.; Ealet, A.; et al. Euclid Definition Study Report. arXiv, 2011; arXiv:1110.3193. [Google Scholar]
- Spergel, D.; Gehrels, N.; Breckinridge, J.; Donahue, M.; Dressler, A.; Gaudi, B.S.; Greene, T.; Guyon, O.; Hirata, C.; Kalirai, J.; et al. Wide-Field InfrarRed Survey Telescope-Astrophysics Focused Telescope Assets WFIRST-AFTA 2015 Report. arXiv, 2015; arXiv:1503.03757. [Google Scholar]
- Deacon, N.R. Detecting free-floating planets using water-depend colour terms in the next generation of infrared space-based surveys. Mon. Not. R. Astron. Soc. 2018, 481, 447. [Google Scholar] [CrossRef]
- Burrows, A.; Sudarsky, D.; Lunine, J.I. Beyond the T Dwarfs: Theoretical Spectra, Colors, and Detectability of the Coolest Brown Dwarfs. Astrophys. J. 2003, 596, 587–596. [Google Scholar] [CrossRef]
- Tremblin, P.; Chabrier, G.; Baraffe, I.; Liu, M.C.; Magnier, E.A.; Lagage, P.-O.; de Oliveira, C.A.; Burgasser, A.J.; Amundsen, D.S.; Drummond, B. Cloudless Atmospheres for Young Low-gravity Substellar Objects. Astrophys. J. 2017, 850, 46. [Google Scholar] [CrossRef]
- Kalirai, J. Scientific discovery with the James Webb Space Telescope. Contemp. Phys. 2018, 59, 251–290. [Google Scholar] [CrossRef]
- Morley, C.V.; Skemer, A.J.; Allers, K.N.; Marley, M.S.; Faherty, J.K.; Visscher, C.; Beiler, S.A.; Miles, B.E.; Lupu, R.E.; Freedman, R.S.; et al. An L Band Spectrum of the Coldest Brown Dwarf. Astrophys. J. 2018, 858, 97. [Google Scholar] [CrossRef]
- Gilmozzi, R.; Spyromilio, J. The European Extremely Large Telescope (E-ELT). Messenger 2007, 127, 11. [Google Scholar]
- Hippke, M. Spaceflight from Super-Earths is difficult. Int. J. Astrobiol. 2018; arXiv:1804.04727. [Google Scholar]
- Howe, A.R. A Tether-Assisted Space Launch System for Super-Earths. arXiv, 2018; arXiv:1805.06438. [Google Scholar]
- Fraknoi, A. The Music of the Spheres in Education: Using Astronomically Inspired Music. Astron. Educ. Rev. 2006, 5, 139. [Google Scholar] [CrossRef]
- Ulaş, B. Musical scale estimation for some multiperiodic pulsating stars. Commun. Asteroseismol. 2009, 159, 131. [Google Scholar] [CrossRef]
- Caballero, J.A.; González Sánchez, S.; Caballero, I. Music and Astronomy. Astrophys. Space Sci. Proc. 2010, 548. [Google Scholar] [CrossRef]
- Lubowich, D. Music and Astronomy under the Stars 2009. Astron. Soc. Pac. Conf. Ser. 2010, 431, 47. [Google Scholar]
- Fraknoi, A. Music Inspired by Astronomy: A Resource Guide Organized by Topic. Astron. Educ. Rev. 2012, 11, 010303. [Google Scholar] [CrossRef]
- Bate, M.R. Stellar, brown dwarf and multiple star properties from a radiation hydrodynamical simulation of star cluster formation. Mon. Not. R. Astron. Soc. 2012, 419, 3115–3146. [Google Scholar] [CrossRef]
- Videoclip Musical de “El Ordenador Simula el Nacimiento De Las Estrellas”. Available online: https://www.youtube.com/watch?v=J9lCSCV3Mkk (accessed on 22 August 2018).
- Caballero, J.A.; Arias, A.; Machuca, J.J.; Morente, S. Music and astronomy. II. Unitedsoundofcosmos. Highlights on Spanish Astrophysics IX. In Proceedings of the XII Scientific Meeting of the Spanish Astronomical Society, Bilbao, Spain, 18–22 July 2016. [Google Scholar]
- Martín, E.L. Brown Dwarfs. In Proceedings of the IAU Symposium #211, Honolulu, HI, USA, 20–24 May 2002; Martín, E., Ed.; Astronomical Society of the Pacific: San Francisco, CA, USA, 2003. [Google Scholar]
- Boss, A.P.; Basri, G.; Kumar, S.S.; Liebert, J.; Martín, E.L.; Reipurth, B. Nomenclature: Brown Dwarfs, Gas Giant Planets, and Brown Dwarfs. In Proceedings of the IAU Symposium #211, Honolulu, HI, USA, 20–24 May 2002; Martín, E., Ed.; Astronomical Society of the Pacific: San Francisco, CA, USA, 2003; p. 529. [Google Scholar]
- A Dictionary of Color Terms in Botanical Latin. Available online: http://www.applet-magic.com/botlatin.htm (accessed on 17 September 2018).
© 2018 by the author. Licensee MDPI, Basel, Switzerland. This article is an open access article distributed under the terms and conditions of the Creative Commons Attribution (CC BY) license (http://creativecommons.org/licenses/by/4.0/).








