Abstract
Building materials can contribute to ionizing radiation hazards due to their variable content in radioactive isotopes. Uranium, thorium, and potassium radioisotopes are present in various building materials due to their presence in raw materials: minerals and rocks. Among natural building materials, granite is one of those deserving more attention in terms of radioactive hazards. Granites are commonly used in historical buildings of NW Portugal and NW Spain, due to the geological characteristics of these areas. However, radioactive isotopes are present in variable proportions in granites, and thus, in relation to other potential building materials, granites might present a higher radiological hazard. This work discusses multivariate analysis results obtained by spectrometry of a portable range in indoor spaces, presenting different proportions of granite used as a building material in order to evaluate a typology proposed for assessing gamma radiation hazards.
1. Introduction
Radiological risks include external gamma radiation from various sources including building materials, for example, geological materials. The main sources of gamma radiation in building materials are the 40K isotope (potassium) and isotopes of the uranium and thorium decay series that are present in some minerals. As stated in the Directive 2013/59/EURATOM of the Council of the European Union [1], some rocks, such as granitic rocks, are considered to deserve special attention because they often have high amounts (in terms of natural substances) of these isotopes.
The main effects of ionizing radiation on living organisms are cell death, loss of reproductive capacity, or mutation [2,3,4,5]. However, such effects depend on several factors, with the dose rate and the linear energy transfer (LET) of the radiation being the most important. The dose rate is the delivery of dose per unit time and the absorbed dose is typically measured in Grays, Gy, where 1 Gy = 1 J/kg, although in organisms it is also assessed in Sieverts (Sv), where 1 Sv = 1 Gy. The higher the dose rate, the greater the cell damage [1,2,3,5]. Exposure to gamma radiation in the built environment would result in low doses of radiation. Recent advances in the knowledge of the mechanisms underlying the biological effects of low doses have shown that low radiation dose effects are mechanistically different to high doses effects, with low radiation doses effects being similar to those of some chemicals in the environment [6]. Thus, results under mixed exposures to radiation and chemicals may not be predictable for human health, by the consideration of single agent effects [6,7,8]. It has been observed that the risk of increase in cancer incidence caused by low-dose radiation is low [7], but recent epidemiological studies have indicated elevated risks of non-cancer diseases (e.g., such as perturbation of immune function or induction of inflammatory reactions with disease) at low doses below 1–2 Gy, and in some cases much lower, although the mechanisms are still unclear and the estimation of risks remains problematic [7,9].
The International Commission on Radiological Protection [10] recommended dose limits of an average of 20 mSv per year over five years (100 mSv in five years), with the value for a single year not exceeding 50 mSv for occupational exposure. For the public, they recommended a dose limit of 1 mSv in a year, with a higher value being allowed in special circumstances, provided that the average over five years adheres to the 1 mSv/year maximum. In terms of natural gamma radiation (background terrestrial radiation outdoor), there are geographical areas in which the assessed dose will be above 1 mSv/year.
The main contribution to the radiation doses received by people comes from natural external and internal sources [4]. Internal sources comprise naturally occurring radioisotopes that are taken into the human body, while external sources refer to radioisotopes present in the air, the Earth’s crust, building materials, and radiation of cosmogenic origin. Their contribution to the annual effective dose to adults is different, with the average worldwide estimated at 2.4 mSv [11].
Outdoor gamma radiation comes from cosmic rays and the radioactive decay of primordial radionuclides, the most abundant being 40K and the radioisotopes of the radioactive decay series of 238U and 232Th. Radiation from primordial radionuclides depends on their concentration in soils and rocks, and igneous rocks and metamorphic rocks derived from igneous rocks are usually those with higher concentrations. Recent reviews on the contribution of such radioisotopes consider that the median values are 100, 35, and 40 Bq/kg for 40K, 238U, and 232Th, respectively, including the contribution of daughter isotopes assuming secular equilibrium for the last two isotope decay chains. The averaged absorbed dose rate outdoor is estimated at 0.3 mSv/year [8]. When compared to the average worldwide estimated dose (2.4 mSv/year), outdoor radiation is considered a minor fraction of the total radiation. However, this average varies widely depending on the geological characteristics of a given study area.
The use of geological materials in building materials is the main cause of indoor gamma radiation. Although building materials attenuate background outdoor radiation (both cosmic and primordial from the Earth’s crust), they can be a source of gamma radiation, with the exception of wooden and prefabricated houses that are inefficient at shielding outdoor radiation [4]. Indoor exposures are considered to be about 40% greater than outdoor ones, and the population-average for indoor gamma radiation is around 0.4 mSv/year, ranging from 0.1 to 1.0 mSv/year [11], the latter being frequent in areas characterized by granite rocks, such as in Spain and Portugal [12,13]. The Council of the European Union (CEU) remarked limitations in population exposure indoor in buildings constructed with building materials with some content of radioactive isotopes [1,14].
One of the key problems in gamma radiation indoor dosimetry is assessing the dose rate that a person will receive from building materials. This depends on the time spent in a given indoor space. It has been estimated in 7000 h in dwellings in countries of temperate climates [15]. Moreover, the space configuration (designated as “room”) and the composition, thickness, and arrangement of building materials are very variable among buildings and rooms. In general, either direct measurements of gamma radiation or modeling from the concentration of radioisotopes present in building materials are performed. There are numerical procedures based on mathematical models [15,16,17] that allow assessing the dose rate based on the radioisotope content of building materials, their arrangement, thickness, bulk density, and average atomic number. Thus, there are some speculative aspects that can result in systematic deviations of the real doses. Alternatively, dose rate conversion factors can be used to assess the dose rate as they convert radionuclide specific activities of materials on gamma radiation dose rate values [15,18,19], based on some dimensions and conditions of rooms. Activity index is a variation of the former approach, based on the use of numerical factors that convert a given specific activity to the dose rate in nGy/h [15].
The proposal of the CEU [1] refers to the need for specific studies on building materials that have values of an activity concentration index, calculated from the isotopes estimations, higher than a given benchmark established for a given scenario of materials application (which may not correspond to various historical and current spaces). However, other documents, such as a document of the European Comission (EC [20]), indicate different reference values for the activity concentration index depending on the extent of the application of the materials.
A different approach is the direct measurement of gamma radiation doses in situ, in a given indoor space. This can be performed by hand-held gamma-ray spectrometry (GRS), one of the ground radiometric methods indicated by the International Atomic Energy Agency (IAEA [21]). It consists of a probe that allows obtaining spectra with photon counts for certain energy values, making it possible to relate these energy values to specific radioactive isotopes.
These systems have shown potential for mapping parameters related to gamma radiation, even in complex urban environments [22]. Although this study concerns external gamma radiation, estimates obtained by portable range spectrometry may be of interest for the study of other radiological risks such as those related to emissions of Rn (radon), since this gas results from uranium radioactive decay and, therefore, with all other conditions being equal, a higher content of uranium will imply higher Rn hazard.
GRS measurements are affected by geometric assumptions and variations in the characteristics of the considered rooms, such as the presence of “blank” regions (e.g., windows and doors), although some studies have found that differences in the indoor dose rate were not higher than 14% in rooms covered with a given granite using slabs with different thicknesses [23]. They also observed a clear linear correlation between the measured indoor dose and the predicted one, with the latter always being higher by as much as 69%. Bochiolo et al. [24] also observed that field measurements gave higher values than laboratory measurements in an old mine tunnel where measurement points have a lithological homogeneity.
Multivariate analysis has been used in the interpretation of gamma radiation field data range for a long time (as in the study of Schwarzer and Adams [25]). In a previous study with ground portable gamma spectrometry measurements on different rock types [26], we used cluster analysis to compare results in granites and metasedimentary terrains. However, we did not find any publications with the purpose considered here. In this work, based on portable gamma spectrometry data, we aimed to evaluate the use of multivariate analysis for assessing proposals of ordinal categories of building spaces in terms of the contribution of building materials to external gamma radiation dose.
2. Materials and Methods
Gamma spectra were acquired using a 512-channel GRS-2000 portable spectrometer (GF Instruments, s.r.o., Brno, Czech Republic), coupled with a 2” × 2” BGO probe (Bi4Ge3O12), measuring energies up to 3 MeV. Calibrations were conducted using a large-volume source containing K, U, and Th. One calibration was performed in a slab of concrete containing known radionuclide concentrations. A calibration pad for surface measurements was also used. Calibration and background assessment were preformed according to International Atomic Energy Agency recommendations (IAEA 2003) by the manufacturer in Brno (Czech Republic). Each spectrum corresponds to an acquisition period of 180 s. This time period is recommended by the manufacturer to optimize time and precision. According to the manufacturer’s specifications for low gamma ray emissions, statistical errors are estimated to be 6% for K, 30% for U, and 16% for Th by measuring for 180 s. However, a test was performed to check the error specifications of the manufacturer in addition to the reproducibility of measurements. Gamma ray measurements were performed on a flat sediment surface of low gamma ray emission with variable acquisition times from 60, 120, 180, and 300 s. We performed 10 measurements for each acquisition time in a given point to compare results and variability. Our tests showed a variability in radioisotope concentrations of 2.8% for K, 17.5% for U, and 1.4% for Th between 30 and 300 s of measuring time, with the error being assessed after 180 s of acquisition time of 0.001% for K, 30% for U, and 14% for Th. This error is similar after 300 s of acquisition time, and more acquisition time does not show variation in the radioisotope content. This error is due to background radiation basically caused by three main sources, namely atmospheric radon and its daughters, cosmic rays, and instrument background. In the case of indoor measurements, as performed in this work, indoor air pressure (e.g., humidity) and temperature can affect the measurements by up to 30% (IAEA, 2003).
From the peaks of the relevant isotopes on these spectra, the contents of K (potassium, mass percent), eU (uranium equivalent, in mass parts per million or ppm) and eTh (thorium equivalent, also in ppm) are estimated. While potassium contents are estimated from the peak of 40K, there are several radioactive isotopes in the uranium and thorium decay series and, hence, “equivalents” of uranium and thorium (respectively eU and eTh) are used, assuming secular equilibrium. Estimations of eU and eTh are made from peaks of 214Bi (bismuth) and 208Tl (thallium), respectively, on the decay chain of uranium and thorium. The obtained estimations are obtained in different scales, given that potassium is a major chemical element of the Earth’s crust and has much higher contents in geologic materials than uranium and thorium (which are both trace elements). The mass estimations of K, eU, and eTh were multiplied by the activity factors indicated in IAEA [21] in order to obtain specific activities. Then, these were multiplied the dose conversion factors indicated in Markkanen [15] for a “standard room” (a space with certain dimensions) in order to obtain absorbed dose rate (Dt) values (in nGy/h).
The historic town of Braga (NW Portugal) is located in granitic terrains and granite is one of the main materials in historical buildings (in varying amounts). Gamma spectra were acquired in the center of diverse indoor spaces (illustrated in Figure 1) of several buildings of Braga. These measurements were divided into four types (A, B, C, and D) according to the extension of granite use (since granite is usually considered one of the natural materials that might exceed the reference level for the contribution of building materials to external gamma radiation, see CEU [1], and is the most relevant one in the context of the studied spaces). The increasing alphabetical order corresponds to an estimated decreasing presence of granite material, according to the following description (the number of spaces measured for each type is indicated between parentheses):
Figure 1.
Images illustrative of the indoor space typology: (a) type A spaces, where granite is the dominant material in all the space elements (floor, walls, ceiling); (b) type C spaces, where there are granite applications but other materials are as abundant as or more abundant than granite.
- Type A, indoor spaces of historic buildings with a small size and where granite is the clearly dominant material (five measurements);
- Type B, indoor spaces of historic buildings where granite is the clearly dominant material but presents bigger dimensions (hence greater distances from sources) than those of type A (five measurements);
- Type C, indoor spaces of historic buildings with granite elements but where there are other materials which are, roughly, as abundant or more abundant than granite (three measurements);
- Type D, an indoor space of a contemporary building (last quarter of the 20th century) where granite building materials are not visible (one measurement).
Numbering inside each type indicates the measurement order within the measurements of that type (but not necessarily the global order), and is used only for the identification of spectra in the results discussion. Given that the considered parameters are expressed in different scales and to avoid the effect of different variances, standardized values of K, eU, and eTh estimations were used in the multivariate analyses considered here. These standardized values were calculated (see procedure in Sá [27]) by subtracting the mean and dividing by the standard deviation (hence all the variables included in the analyses have a mean equal to zero and a standard variation equal to one).
A robust approach to assess the distribution of results consists of using “box and whiskers” plots or boxplots. These plots can be constructed in order to mark potential outliers, using robust, ordinal, location, and dispersion statistics (median and quartiles) and limits (for the non-outlier range) that are defined above and below the interquartile range (a factor of 1.5, which is the default value in Statistica and a very common one—see, e.g., [27]—has been used in this work).
All the plots and multivariate analyses were made with Statistica 11 (Statsoft). The standardized values of K, eU, and eTh were used in agglomerative hierarchical cluster analyses considering diverse distance metrics and agglomeration rules (available in Statistica 11). Cluster analysis, also referred to as classification analysis or numerical taxonomy (Dunn and Everitt [28]), aims to group objects based on their properties in a way that there is a high homogeneity between members of a given cluster and a high separation between the different clusters. There are several possible options including hierarchical procedures [28], which attempt to build a hierarchical tree-like structure (dendrogram). For n considered objects, hierarchical procedures give n − 1 clusters at different classification levels, thus avoiding the consideration of an a priori number of clusters. The distribution of the objects in the clusters is based on measurements of distance [27,28], which are seen as indications of similarity or dissimilarity.
Another procedure for multivariate analysis that was used in this work is principal component analysis (PCA). In PCA (for detailed information the interested reader could consult References [27,28]), one attempts to obtain new variables that maximize data variance from linear combinations of the original variables (in our present study these are the normalized values of K, eU, and eTh estimations from gamma radiation field measurements). The first principal component corresponds to a new variable that explains that the bigger portion of data variance and the other principal components are uncorrelated (orthogonal in multivariate space) to this first principal component (and to each other). The process for determination of the principle components for a dataset with n variables corresponds to obtaining solutions for Equation 1 [27]:
(S − λiI)ui = 0
S: matrix of the dataset covariance;
I: unit matrix (n × n);
λi: scalar values (for the solutions of the equations);
ui: column vector (n × 1) of the linear combination coefficients.
In a case of successful PCA, one can make a two-dimensional (2D) representation of the main part of the multivariate space variance (with PC1 and PC2) and this might show patterns of association of the measurements or of the considered variables.
3. Results
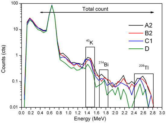
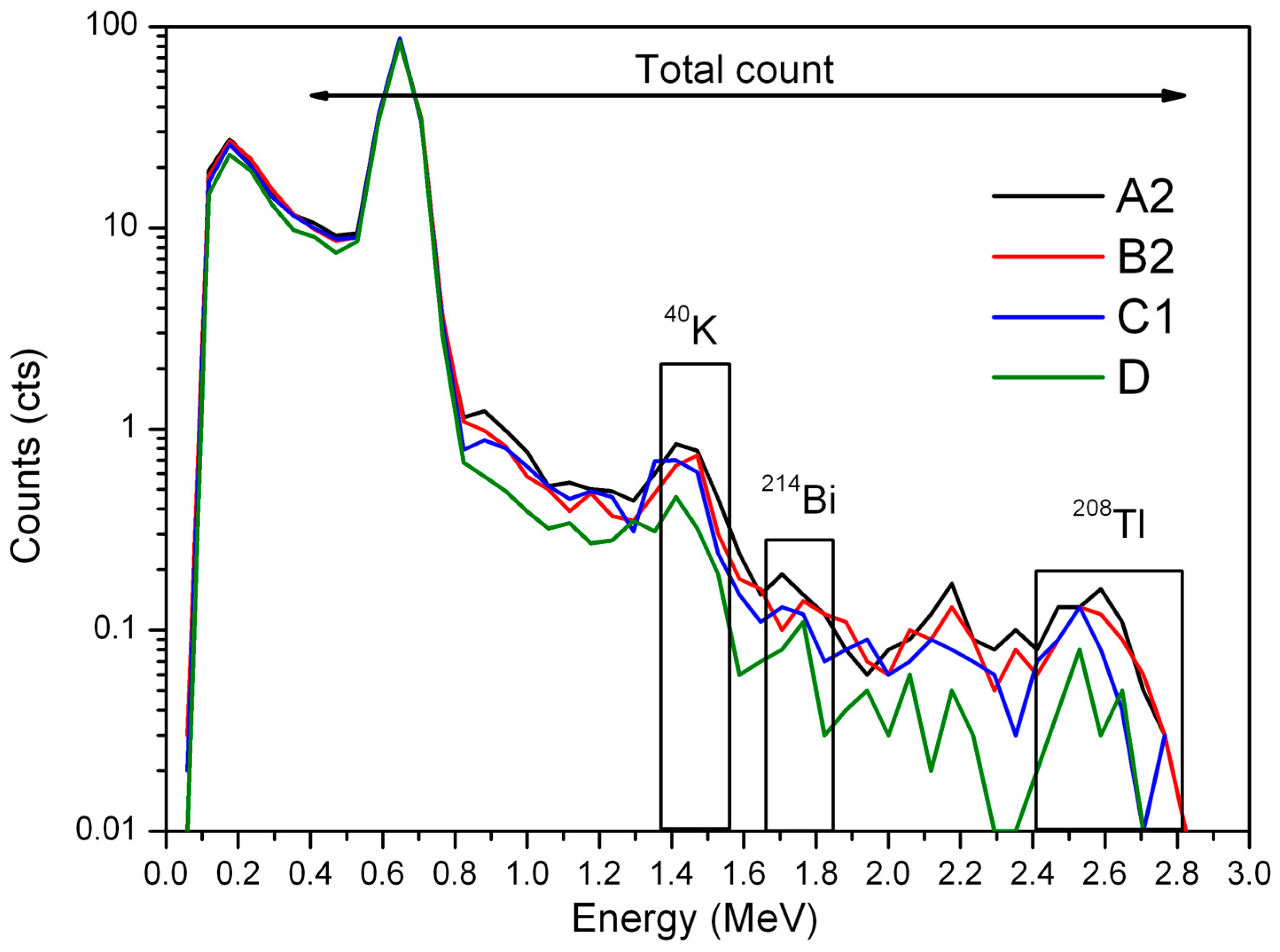
Examples of the obtained spectra for gamma radiation can be observed in Figure 2. The peaks corresponding to 40K as well as daughters of 238U and 232Th are marked in the spectra. A correlation can be observed between the lower height of the peaks and the measurements of lower recorded radioisotope contents and thus lower resulting dose rates.
Figure 2.
Recorded spectra for measurements A2, B2, C1, and D with indication of the emission bands of 40K (1.461 MeV), 214Bi (1.764 MeV), which is used for the estimation of “equivalent of uranium” or eU, and 208Tl (2.615 MeV), which is used for the estimation of “equivalent of thorium” or eTh, with the corresponding peaks and total count energy range used for obtaining dose rates.
Figure 3 presents a box-and-whiskers plot of the standardized values of K, eU, eTh, and calculated values of the absorbed dose rate (Dt). Individual values are also plotted, and values above and below whiskers extremities are considered potential “outliers”. This plot suggests a certain trend in the different parameters for higher values in the spectra for spaces of type A, a trend that is more evident in absorbed dose rate values. It is also apparent that there are measurements below the limit of lower “whiskers”: B5 for all parameters as well as D for eTh and the absorbed dose rate. While the results for the D measurement could be considered as expectable, according to the proposed typology, the B5 result deserves more attention. This may simply represent measurement issues but, since there are measurements before and after B5 that appear to have no problems, we will consider an alternative hypothesis that is more interesting from the point of view of radiological hazards research. The space where the B5 spectrum was acquired corresponds to a deposit of paper publications, with structures that can attenuate radiation (several shelves filled with publications).
Figure 3.
Box-and-whisker plot (with discrimination of individual values) of standardized estimations from portable gamma spectrometry.
As is illustrated by the dendrogram presented in Figure 4, where the separation of clusters can be observed at several levels, all of the considered hierarchical cluster analyses that were tested joined spectra D and B5 in a cluster separated from all others spectra results. Both Ward’s method and UPGMA (or unweighted pair-group average) joined all spectra of type A locals in a “cluster” separated from the remaining measurements (B and C). Some distance measurements (e.g., the Euclidean distance) also joined in a cluster measurements B1, B2, and B4, and in another cluster B3 and spectra of type C spaces. Other rules produced different results, which have in common joining A3 and A4 (after the separation of B5 and D) and putting the spectra of other type A spaces in a cluster with the other spectra.
Figure 4.
Dendrogram (Ward’s method) obtained from the standardized estimations from portable gamma spectrometry of K, eU, and eTh. Dlink/Dmax corresponds to the multivariate distance between measurements that is normalized by the maximum distance between measurements in order to present dissimilarity measures in percentage of the maximum difference.
The normalized values of K, eU, and eTh were also studied by principal component analysis. The absorbed dose rate (Dt), calculated in accordance with the procedure described above in the Materials and Methods section, is plotted as an additional variable (which means that its values were not used in the calculation of the main components). In terms of the association of measurements with the main components calculated and considering (Figure 5) the first two (PC1 and PC2, which account for 95.77% of the variance of the dataset), one can see that PC1 clearly separates B5 and type D spaces from all others. Among these, measurements in type A spaces are also separated from the other. PC2 tends to separate measurements of type B spaces from those of type C (but B3 appears between the measurements of the type C spaces); divides measurements in type A spaces into two groups similar to some of the “clusters” analyses mentioned above; and separates B5 from D.
Figure 5.
Principal components plot (PC1-PC2) of measurements in different room types. PC1 and PC2 refer to the first and second principal components obtained by principal component analysis of the standardized estimations from the portable gamma spectrometry of K, eU, and eTh. The first principle component (PC1) explains 83.21% of the variance of the dataset (standardized values of K, eU, and eTh measurements) while the second principle component (PC2) explains 12.56% of the variance of the studied dataset.
In terms of association with the variables (Figure 6), S_K, S_eU, and S_eTh (this referencing highlights the use of standardized values in PCA) have similar (and negative) weights in PC1. The absorbed dose rate (S_Dt) also has a similar behavior in terms of PC1, being nearer to S_K. PC2 shows almost symmetrical weights for S_eU and S_eTh, while S_K and S_Dt are nearer to zero in this component, suggesting that this component is mostly affected by the influence of the relationship between the two.
Figure 6.
Principal components plot (PC1-PC2) of variables considered. S_K, S_eU, S_eTh, and S_Dt refer to standardized values of variables. S_Dt, standardized dose rate, is used as a supplemental variable not considered in the deduction of the principal components. The first principle component (PC1) explains 83.21% of the variance of the dataset (standardized values of K, eU, and eTh measurements), while the second principle component (PC2) explains 12.56% of the variance of the studied dataset.
4. Discussion
Multivariate analysis has been used for assessing proposals of ordinal categories of building spaces in terms of the contribution of building materials to external gamma radiation dose, based on portable gamma spectrometry data. As this type of study is performed here for the first time, we have no previous studies to be used for comparison. Only the properties and limitations of the use of portable gamma-ray spectrometry and previous field mapping studies with ground portable gamma spectrometry measurements on different rock types [26] can be used as a reference.
Concerning the reliability of our results, two questions indicate that they must be considered with caution. On the one hand, we must consider the limitations of the use of hand-held gamma spectrometry. We must outline that the results can be affected by the geometry of a given space as well as by any disequilibrium in the 238U and 232Th decay chains in any of the building materials used in the studied buildings. On the other hand, we studied a limited set of cases, with our sample number being perhaps too small to support major generalizations in terms of building typologies, at least at this point.
Hand-held gamma spectrometry is based on the comparison of the obtained spectra with reference spectra obtained by a probe or surface measurements of a reference material [29]. Such reference materials contain some known content (and activity) of 238U, 232Th, and 40K. This calibration ensures reliable results for measurements under similar conditions, but this is not possible in indoor spaces, as the result is possibly biased, depending on the radioisotope content of the materials and the room geometry. Moreover, any disequilibrium in the 238U decay 232Th chains in some of the materials (e.g., bricks, mortars, concrete) will provide biased results, due to the obtained eU and eTh being under- or overestimated.
The limited number of cases considered here advises that a high level of caution be taken in considering to the conclusions drawn from this study. However, the results obtained suggest that group analysis can be an important tool in the definition of building typologies for mapping the hazard related to external gamma radiation. The cluster analyses by Ward’s method and the UPGMA showed results closer to the typology initially proposed, which was based on the qualitative assessment of the importance of the presence of granitic material, and appeared to converge with the results of principal component analysis. This suggests that it is possible to use cluster classification to identify situations of higher radioactive hazard (situations that might deserve a more detailed assessment) based on the description of the characteristics of the built space. This could allow the preparation of maps of external gamma radiation hazards in the built environment based on the typological description of the buildings (which might be done by inhabitants using forms based on the identification of building materials). To that end, it will be necessary to further develop sensitivity studies of the proposed building typology according to possible variations of the contents of radioactive elements in building materials.
These results also suggest that the potential effect on the radiation dose of aspects such as the presence of elements with shielding effects (cabinets, paper) might merit a closer study and estimations of attenuation factors considering physical properties such as density and atomic number (Z). In extending this study, it would be necessary to assess indoor low-dose radiation levels in dwellings built with building materials such as granite. In such case a future step could be to compare studies of non-cancer diseases that could be linked to radiation and other exposures such as chemicals that are currently present in urban areas.
There might be also another feature in this issue that deserves special attention in the context of radiological hazards assessments: the reduction of field estimates of the levels of uranium may not correspond to a reduction in Rn emissions, hence affecting the usefulness of this technique in the evaluation of Rn hazards in these situations.
5. Conclusions
Gamma spectra were acquired in diverse indoor spaces of Braga (NW Portugal) according to the extension of granite used as building material, assuming that this kind of material will be the main source of radiation in the buildings considered. Although based on a limited number of cases, this study suggests that multivariate statistics, and namely group analysis, can be an important tool in the definition of building typologies for mapping the hazard related to external gamma radiation. Cluster analyses showed results closer to the chosen typologies, based on the type of space and arrangement of granite in the room’s building materials. This suggests that it would be possible to use cluster classification to identify situations of gamma radiation exposure hazard based on the description of an indoor space. This could allow the creation of maps of gamma radiation hazards based on typological descriptions of buildings, but further development of the proposed building typologies is still necessary, taking in to account possible variations in the building materials and their contents of radioisotopes. We also observed that some room elements can have shielding effects (e.g., cabinets, paper) due to the attenuation of the gamma radiation factor, depending on their physical properties such as density and atomic number (Z).
Acknowledgments
The Lab2PT—Landscapes, Heritage and Territory laboratory—AUR/04509 is supported by the Portuguese “Fundação para a Ciência e a Tecnologia” (Portuguese funds and where applicable the FEDER co-financing, in the aim of the new partnership agreement PT2020 and COMPETE2020—POCI 01 0145 FEDER 007528). The University Institute of Geology of the University of A Coruña (Spain) received support from Xunta de Galicia with funds from “Consolidación y estructuración de unidades de investigación competitivas—Grupo de potencial de crecimiento” (GPC2015/024) and “Redes de Investigación (ED431D 2017/08). We also would like to thank Mara Dória and Tomaz Assunção for their collaboration in the field work.
Author Contributions
All three authors conceived and designed the research work, performed the field work, and participated in the analysis of results.
Conflicts of Interest
The authors declare no conflict of interest.
References
- CEU-Council of the European Union—CEU (2014). “Council Directive 2013/59/EURATOM of 5 December 2013 laying down basic safety standards for protection against the dangers arising from exposure to ionising radiation, and repealing Directives 89/618/Euratom, 90/641/Euratom, 96/29/Euratom, 97/43/Euratom and 2003/122/Euratom. Off. J. Eur. Union L 2013, 13, 2014. [Google Scholar]
- Tubiana, M.; Dutreix, J.; Wambersie, A.; Bewley, D.K. Introduction to Radiobiology; Taylor & Francis: London, UK, 1990; ISBN 978-1-4822-9277-0. [Google Scholar]
- Saha, G.B. Physics and Radiobiology of Nuclear Medicine; Springer: New York, NY, USA, 2006; ISBN 978-1-4614-4012-3. [Google Scholar]
- UNSCEAR (United Nations Scientific Committee on the Effects of Atomic Radiation). Ionizing Radiation: Sources and Biological Effects. United Nations Scientific Committee on the Effects of Atomic Radiation. 1982 Report to the General Assembly, with Annexes; United Nations: New York, NY, USA, 1982. [Google Scholar]
- UNSCEAR (United Nations Scientific Committee on the Effects of Atomic Radiation). Ionizing Radiation: Sources and Biological Effects. United Nations Scientific Committee on the Effects of Atomic Radiation UNSCEAR 1993 Report to the General Assembly, with Annexes; United Nations: New York, NY, USA, 1993. [Google Scholar]
- Mothersill, C.E.; Seymour, C.B. Implications for human and environmental health of low doses of radiation. In Radiobiology and Environmental Security; Mothersil, C.E., Korogodina, V., Seymour, C.B., Eds.; Springer: Dordrecht, The Netherlands, 2012; pp. 43–51. [Google Scholar]
- UNSCEAR (United Nations Scientific Committee on the Effects of Atomic Radiation). Report of the United Nations Scientific Committee on the Effects of Atomic Radiation 2010; United Nations: New York, NY, USA, 2010. [Google Scholar]
- UNSCEAR. Report of the United Nations Scientific Committee on the Effects of Atomic Radiation 2013; Vols. I and II; United Nations: New York, NY, USA, 2013. [Google Scholar]
- UNSCEAR (United Nations Scientific Committee on the Effects of Atomic Radiation). Biological Mechanisms of Radiation Actions at Low Doses. United Nations Scientific Committee on the Effects of Atomic Radiation UNSCEAR; United Nations: New York, NY, USA, 2012. [Google Scholar]
- International Commission on Radiological Protection. ICRP-60: 1990 Recommendations of the International Comission on Radiological Protection; Pergamon Press: Oxford, UK; CRC Taylor & Francis: Boca Raton, FL, USA, 1990. [Google Scholar]
- UNSCEAR (United Nations Scientific Committee on the Effects of Atomic Radiation). Ionizing Radiation: Sources and Biological Effects. United Nations Scientific Committee on the Effects of Atomic Radiation UNSCEAR 2000 Report to the General Assembly, with Annexes; Vols. I and II; United Nations: New York, NY, USA, 2000. [Google Scholar]
- Marna, E.S.; Amigot, J.F.; Espasa, A.B.; Bonito, M.M.; del Pozo, J.M.; del Busto, J.L. Proyecto Marna (Mapa de radiación gamma natural en España); Consejo de Seguridad Nuclear: Madrid, España, 2000; ISBN 84-95341-12-3. (In Spanish) [Google Scholar]
- Batista, M.J.; Torres, L.; Leote, J.; Prazeres, C.; Saraiva, J.; Carvalho, J. Carta Radiométrica de Portugal (1:500 000); Laboratório de Energia e Geologia: Lisbon, Portugal, 2013; ISBN 978-989-675-027-5. (In Portuguese) [Google Scholar]
- CEU—Council of the European Union. Council Directive 96/29/EURATOM of 13 May 1996 laying down basic safety standards for the protection of the health of workers and the general public against the dangers arising from ionizing radiation. Off. J. Eur. Communities, 1996, 39, 1–114. [Google Scholar]
- Markkanen, M. Radiation Dose Assessments for Materials with Elevated Natural Radioactivity; Report STUK-B-STO 32 Radiation and Nuclear Safety Authority—STU; Finnish Centre for Radiation and Nuclear Safety: Helsinki, Finland, 1995. [Google Scholar]
- Dziri, S.; Nachab, A.; Nourreddine, A.; Sellam, A.; Gelus, D. Experimental and Simulated Effective Dose for Some Building Materials in France. World J. Nucl. Sci. Technol. 2013, 3, 41–45. [Google Scholar] [CrossRef]
- Chen, B.; Wang, Q.; Zhuo, W. Assessment of gamma dose rate in dwellings due to decorative stones. Radiat. Prot. Dosim. 2015, 167, 251–254. [Google Scholar] [CrossRef] [PubMed]
- Risica, S.; Bolzan, C.; Nuccetelli, C. Radioactivity in building materials: Room model analysis and experimental methods. Sci. Total Environ. 2001, 272, 119–126. [Google Scholar] [CrossRef]
- Nuccetelli, C.; Leonardi, F.; Trevisi, R. A new accurate and flexible index to assess the contribution of building materials to indoor gamma exposure. J. Environ. Radioact. 2015, 143, 70–75. [Google Scholar] [CrossRef] [PubMed]
- EC (European Comission). Radiation Protection 112—Radiological Protection Principles Concerning the Natural Radioactivity of Building Materials; European Commission: Luxembourg, 1999; ISBN 92-828-8376-0. [Google Scholar]
- IAEA (International Atomic Energy Agency). Guidelines for Radioelement Mapping Using Gamma Ray Spectrometry Data; IAEA-TECDOC-1363; International Atomic Energy Agency: Vienna, Austria, 2003; ISBN 92-0-108303-3. [Google Scholar]
- Cresswell, A.J.; Sanderson, D.C.W.; Harrold, M.; Kirley, B.; Mitchell, C.; Weir, A. Demonstration of lightweight gamma spectrometry systems in urban environments. J. Environ. Radioact. 2013, 124, 22–28. [Google Scholar] [CrossRef] [PubMed]
- Anjos, R.M.; Ayub, J.J.; Cid, A.S.; Cardoso, R.; Lacerda, T. External gamma-ray dose rate and radon concentration in indoor environments covered with Brazilian granites. J. Environ. Radioact. 2011, 102, 1055–1061. [Google Scholar] [CrossRef] [PubMed]
- Bochiolo, M.; Verdoya, M.; Chiozzi, P.; Pasquale, V. Radiometric surveying for the assessment of radiation dose and radon specific exhalation in underground environment. J. Appl. Geophys. 2012, 83, 100–106. [Google Scholar] [CrossRef]
- Schwarzer, T.F.; Adams, J.A.S. Rock and Soil Discrimination by Low Altitude Airborne Gamma-Ray Spectrometry in Payne County, Oklahoma. Econ. Geol. 1973, 68, 1297–1312. [Google Scholar] [CrossRef]
- Dias, F.; Lima, M.; Sanjurjo-Sánchez, J.; Alves, C. Analysis of spectra from portable handheld gamma-ray spectrometry for terrain comparative assessment. J. Environ. Radioact. 2016, 154, 93–100. [Google Scholar] [CrossRef] [PubMed]
- Sá, J.P.M. Applied Statistics: Using SPSS, STATISTICA, MATLAB and R; Springer: Berlin, Germany, 2007; ISBN 978-3-540-71971-7. [Google Scholar]
- Dunn, G.; Everitt, B.S. An Introduction to Mathematical Taxonomy; Dover Publications: Mineola, NY, USA, 2004; ISBN 9780486151366. [Google Scholar]
- Killeen, P. Gamma ray spectrometric methods in uranium exploration—Application and interpretation. Geophys. Geochem. Search Met. Ores 1979, 31, 163–230. [Google Scholar]
© 2017 by the authors. Licensee MDPI, Basel, Switzerland. This article is an open access article distributed under the terms and conditions of the Creative Commons Attribution (CC BY) license (http://creativecommons.org/licenses/by/4.0/).





