Semi-Automatic Detection of Indigenous Settlement Features on Hispaniola through Remote Sensing Data
Abstract
:1. Introduction
2. Materials and Methods
3. Results
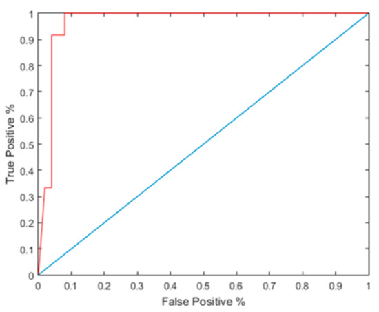
3.1. Posterior Probability Approach
- in surveyed areas
- A total of >100 m from known sites
- Buffers with a radius of 37 m (with an area of 4300 m2) were generated around each site.
3.2. Frequentist Protocols
3.3. Dominance of Bands
4. Discussion
5. Conclusions
Acknowledgments
Author Contributions
Conflicts of Interest
References
- Batut, A. La Photographie Aérienne Par Cerf-Volant; Gauthier-Villars: Paris, France, 1890; p. 27. [Google Scholar]
- Capper, J.E. Photographs of stonehenge as seen from a war balloon. Archaeol. Misc. Tracts Relat. Antiqu. 1907, 60, 571. [Google Scholar] [CrossRef]
- Millhauser, J.K.; Morehart, C.T. The ambivalence of maps: A historical perspective on sensing and representing space in mesoamerica. In Digital Methods and Remote Sensing in Archaeology; Forte, M., Campana, S., Eds.; Springer Books: New York, NY, USA, 2016; pp. 247–268. [Google Scholar]
- Wiseman, J.; El-Baz, F. Remote Sensing in Archaeology; Springer: New York, NY, USA, 2007; pp. 1–8. [Google Scholar]
- Comer, D.C.; Harrower, M.J. Mapping Archaeological Landscapes from Space: In Observance of the 40th Anniversary of the World Heritage Convention; Springer Press: New York, NY, USA, 2013; pp. 1–8. [Google Scholar]
- Carrol, D.M.; Evans, R.; Bendelow, V.C. Air Photo-Interpretation for Soil Mapping; Soil Survey: Harpenden, Hertfordshire, UK, 1977; p. 5. [Google Scholar]
- Trier, O.D.; Larsen, S.O.; Solberg, R. Automatic detection of circular structures in high-resolution satellite images of agricultural land. Archaeol. Prospect. 2009, 16, 1–15. [Google Scholar] [CrossRef]
- Di Iorio, A.; Bridgwood, I.; Schultz Rasmussen, M.; Kamp Sorensen, M.; Carlucci, R.; Bernardini, F.; Osman, A. Automatic detection of archaeological sites using a hybrid process of remote sensing, GIS techniques and a shape detection algorithm. In Proceedings of the 3rd International Conference on Information and Communication Technologies: From Theory to Applications, Damascus, Syria, 7–11 April 2008. [Google Scholar]
- Schuetter, J.; Goel, P.; McCorriston, J.; Park, J.; Senn, M.; Harrower, M. Autodetection of ancient Arabian tombs in high-resolution satellite imagery. Int. J. Remote. Sens. 2013, 34, 6611–6635. [Google Scholar] [CrossRef]
- Zingman, I.; Saupe, D.; Lambers, K. Automated search for livestock enclosures of rectangular shape in remotely sensed imagery. In Proceedings of the SPIE Remote Sensing, Dresden, Germany, 17 October 2013. [Google Scholar]
- Traviglia, A. MIVIS Hyperspectral Sensors for the Detection and GIS Supported Interpretation of Subsoil Archaeological Sites. In Digital Discovery. Exploring New Frontiers in Human Heritage, CAA 2006, Proceedings of the 34th Conference on Computer Applications and Quantitative Methods in Archaeology, Fargo, ND, USA, 18–22 April 2006; Clark, J.T., Hagemeister, E.M., Eds.; Archaeolingua: Budapest, Hungary, 2006. [Google Scholar]
- Doneus, M.; Verhoeven, G.; Atzberger, C.; Wess, M.; Ruš, M. New ways to extract archaeological information from hyperspectral pixels. J. Archaeol. Sci. 2014, 52, 84–96. [Google Scholar] [CrossRef]
- Menze, B.H.; Ur, J.A.; Sherratt, A.G. Detection of ancient settlement mounds: Archaeological survey based on the SRTM terrain model. Photogramm. Eng. Remote Sens. 2006, 72, 321–327. [Google Scholar] [CrossRef]
- Opitz, R.S.; Cowley, D. Interpreting Archaeological Topography: Airborne Laser Scanning, 3D Data and Ground Observation; Oxbow Books: New York, NY, USA, 2013. [Google Scholar]
- Stewart, C.; Lasaponara, R.; Schiavon, G. ALOS PALSAR analysis of the archaeological site of Pelusium. Archaeol. Prospect. 2013, 20, 109–116. [Google Scholar] [CrossRef]
- Rouse, I. Pattern and process in West Indian archaeology. World. Archaeol. 1977, 9, 1–11. [Google Scholar] [CrossRef]
- Keegan, W.F.; Hofman, C.L.; Ramos, R.R. (Eds.) The Oxford Handbook of Caribbean Archaeology; Oxford University Press: New York, NY, USA, 2013; p. 13. [Google Scholar]
- Sonnemann, T.F.; Herrera Malatesta, E.; Hofman, C.L. Applying UAS photogrammetry to analyse spatial patterns of Amerindian settlement sites in the northern DR. In Digital Methods and Remote Sensing in Archaeology; Forte, M., Campana, S., Eds.; Springer Books: New York, NY, USA, 2016; pp. 71–87. [Google Scholar]
- Ortega, E.; Denis, P.; Olsen Bogaert, H. Nuevos yacimientos arqueológicos en Arroyo Caña. Bull. Mus. Hombre Dominic. 1990, 23, 29–40. [Google Scholar]
- Ulloa Hung, J. Arqueología en la Línea Noroeste de La Española Paisajes, Cerámicas e Interacciones. Ph.D. Thesis, Caribbean Research Group, Faculty of Archaeology, Leiden University, Leiden, The Netherlands, 23 April 2013. [Google Scholar]
- Comer, D.C. Merging Aerial Synthetic Aperture Radar (SAR) and Satellite Multispectral Data to Inventory Archaeological Sites. Available online: https://www.ncptt.nps.gov/download/28370/ (accessed on 9 June 2017).
- Comer, D.C.; Blom, R.G. Detection and identification of archaeological sites and features using Synthetic Aperture Radar (SAR) data collected from airborne platforms. In Remote Sensing in Archaeology; Wiseman, J., El-Baz, F., Eds.; Springer: New York, NY, USA, 2007; pp. 103–136. [Google Scholar]
- Keegan, W.F.; Hofman, C.L. The Caribbean before Columbus; Oxford University Press: New York, NY, USA, 2017; pp. 40–42, 115–147. [Google Scholar]
- Veloz Maggiolo, M.; Ortega, E.; Caba, Á. Los Modos de Vida Meillacoides y Sus Posibles Orígenes; Editora Taller: Santo Domingo, Dominican Republic, 1981; p. 10. [Google Scholar]
- Sinelli, P.T. Meillacoid and the Origins of Classic Taíno Society. In The Oxford Handbook of Caribbean Archaeology; Keegan, W.F., Hofman, C.L., Ramos, R.R., Eds.; Oxford University Press: New York, NY, USA, 2013; pp. 221–231. [Google Scholar]
- Ting, C.; Neyt, B.; Ulloa Hung, J.; Hofman, C.; Degryse, P. The production of pre-Colonial ceramics in northwestern Hispaniola: A technological study of Meillacoid and Chicoid ceramics from La Luperona and El Flaco, Dominican Republic. J. Archaeol. Sci. Rep. 2016, 6, 376–385. [Google Scholar] [CrossRef]
- Deagan, K.A.; Cruxent, J.M. Archaeology at La Isabela. America’s First European Town; Yale University Press: New Haven, CT, USA, 2002; p. 15. [Google Scholar]
- De Las Casas, B. Brevísima Relación de La destrucción de Las Indias; Fundación Biblioteca Virtual Miguel de Cervantes: Alicante, Spain, 2006; p. 16. [Google Scholar]
- Rouse, I. The Tainos: Rise and Decline of the People Who Greeted Columbus; Yale University Press: New Haven, CT, USA, 1993; pp. 26–48. [Google Scholar]
- Hofman, C.L.; Ulloa Hung, J.; Herrera Malatesta, E.; Jean, J.S.; Sonnemann, T.F.; Hoogland, M.L. Indigenous Caribbean perspectives: Archaeologies and legacies of the first colonised region in the New World. Antiquity 2017, in press. [Google Scholar]
- Ulloa Hung, J.; Herrera Malatesta, E. Investigaciones arqueológicas en el norte de La Española, Entre viejos esquemas y nuevos datos. Bull. Mus. Hombre Dominic. 2015, 46, 75–107. [Google Scholar]
- Rouse, I. Areas and periods of culture in the Greater Antilles. Southwest. J. Anthropol. 1951, 7, 248–264. [Google Scholar] [CrossRef]
- Hofman, C.L.; Hoogland, M.L. Investigaciones arqueológicas en los sitios El Flaco (Loma de Guayacanes) y La Luperona (Unijica): Informe pre-liminar. Bull. Mus. Hombre Dominic. 2015, 46, 61–74. [Google Scholar]
- Sonnemann, T.F.; Ulloa Hung, J.; Hofman, C.L. Mapping indigenous settlement topography in the Caribbean using drones. Remote Sens. 2016, 8, 791. [Google Scholar] [CrossRef]
- Herrera Malatesta, E. Una Isla, Dos Mundos: Sobre la Transformación del Paisaje Indígena de Bohío A la Española. Ph.D. Thesis, Leiden University, Leiden, The Netherlands, 2017. in press. [Google Scholar]
- Bernstein, L.S. Quick atmospheric correction code: Algorithm description and recent upgrades. Opt. Eng 2012, 51, 111719. [Google Scholar] [CrossRef]
- Hadjimitsis, D.G.; Papadavid, G.; Agapiou, A.; Themistocleous, K.; Hadjimitsis, M.G.; Retalis, A.; Michaelides, S.; Chrysoulakis, N.; Toulios, L.; Clayton, C.R.I. Atmospheric correction for satellite remotely sensed data intended for agricultural applications: Impact on vegetation indices. Nat. Hazards Earth Syst. Sci. 2010, 10, 89–95. [Google Scholar] [CrossRef]
- Rouse, J.W.; Haas, R.H.; Scheel, J.A.; Deering, D.W. Monitoring vegetation systems in the Great Plains with ERTS. In Proceedings of the 3rd Earth Resource Technology Satellite (ERTS) Symposium, Washington, DC, USA, 10–14 December 1973. [Google Scholar]
- Eastman, J.R.; Filk, M. Long sequence time series evaluation using standardized principal components. Photogramm. Eng. Remote Sens. 1993, 59, 991–996. [Google Scholar]
- Faraway, J.J. Linear Models with R, 2nd ed.; CRC Press: Hoboken, NJ, USA, 2015; pp. 161–171. [Google Scholar]
- Kauth, R.J.; Thomas, G.S. The tasseled cap: A graphic description of the Spectral-Temporal Development of Agricultural Crops as Seen by Landsat. In LARS Symposia; Purdue University: West Lafayette, IN, USA, 1976. [Google Scholar]
- Yarbrough, L.D.; Navulur, K.; Ravi, R. Presentation of the Kauth–Thomas transform for WorldView-2 reflectance data. Remote Sens. Lett. 2014, 5, 131–138. [Google Scholar] [CrossRef]
- Alaska Satellite Facility. MapReady; NASA: Fairbanks, AK, USA, 2014.
- Maitra, S.; Gartley, M.G.; Kerekes, J.P. Relation between degree of polarization and Pauli color coded image to characterize scattering mechanisms. In Proceedings of the SPIE Defense, Security, and Sensing, Baltimore, MD, USA, 23 April 2012. [Google Scholar]
- PolSARpro, version 5; IETR (Institute of Electronics and Telecommunications of Rennes)—UMR CNRS 6164 ESA: Paris, France, 2014.
- Chen, L.; Priebe, C.E.; Sussmann, D.L.; Comer, D.C.; Megarry, W.P.; Tilton, J.C. Enhanced Archaeological Predictive Modelling in Space Archaeology. Available online: http://arxiv.org/abs/1301.2738 (accessed on 15 January 2016).
- Chen, L.; Comer, D.C.; Priebe, C.E.; Sussmann, D.; Tilton, J.C. Refinement of a method for identifying probable archaeological sites from remotely sensed data. In Mapping Archaeological Landscapes from Space: In Observance of the 40th Anniversary of the World Heritage Convention; Comer, D.C., Harrower, M.J., Eds.; Springer Press: New York, NY, USA, 2013; pp. 251–258. [Google Scholar]
- Megarry, W.P.; Cooney, G.; Comer, D.C.; Priebe, C.E. Posterior probability modeling and image classification for archaeological site prospection: Building a survey efficacy model for identifying neolithic felsite workshops in the Shetland Islands. Remote Sens. 2016, 8, 529. [Google Scholar] [CrossRef]
- Comer, D.C. Institutionalizing Protocols for Wide-Area Inventory of Archaeological Sites by the Analysis of Aerial and Satellite Imagery; Project Number 11-158; United States of America Department of Defense, Legacy Program: Washington, DC, USA, 2014. [Google Scholar]
- R Core Team. R Foundation for Statistical Computing; R Core Team: Vienna, Austria, 2015. [Google Scholar]
- Herrera Malatesta, E. Understanding ancient patterns: Predictive modeling for field research in Northern Dominican Republic. In Proceedings of the 26th Congress of the International Association of Caribbean Archaeologists, Maho Reef, Sint Maarten, Netherlands Antilles, 19–25 July 2015; pp. 88–97. [Google Scholar]
- Tilton, J.C.; Comer, D.C. Identifying Probable Archaeological Sites on Santa Catalina Island, California Using SAR and Ikonos Data. In Mapping Archaeological Landscapes from Space: In Observance of the 40th Anniversary of the World Heritage Convention; Comer, D.C., Harrower, M.J., Eds.; Springer Press: New York, NY, USA, 2013. [Google Scholar]
- Sturges, H.A. The choice of a class interval. J. Am. Stat. Assoc. 1926, 21, 65–66. [Google Scholar] [CrossRef]
- Scott, D.W. On optimal and data-based histograms. Biometrika 1979, 66, 605–610. [Google Scholar] [CrossRef]
- Rice, J.A. Mathematical Statistics and Data Analysis, 3rd ed.; Thomson Brooks/Cole Publishing: Belmont, CA, USA, 2007; pp. 435, 454. [Google Scholar]
- Kvamme, K.L. Development and testing of quantitative models. In Quantifying the Present and Predicting the Past: Theory, Methods, and Applications of Archaeological Predictive Modeling; Judge, W.J., Sebastian, L., Eds.; US Department of Interior, Bureau of Land Management Service Center: Denver, CO, USA, 1988; pp. 325–428. [Google Scholar]
- Kamermans, H.; van Leusen, M.; Verhagen, P. Archaeological Prediction and Risk Management. Alternatives to Current Practice; Leiden University Press: Leiden, The Netherlands, 2009; p. 7. [Google Scholar]
- Verhagen, P.; Whitley, T.G. Integrating archaeological theory and predictive modeling: A live report from the scene. J. Archaeol. Method Theory 2012, 19, 49–100. [Google Scholar] [CrossRef]









| Dataset | Source | Bands | Resolution [m] | (1) | (2) | (3) | (4) | |
|---|---|---|---|---|---|---|---|---|
| A | SRTM | USGS | 1 | 30 | × | × | × | × |
| B | LandSat-8 | NASA/USGS | 7 (MS) 1 (PC) | 30 (MS) 15 (PC) | × | × | × | × |
| C | ASTER | NASA/METI/AIST | 9 | 15 | × | × | × | × |
| D | UAVSAR | NASA/ JPL | 6 (9) | 5.7 | × | × | × | × |
| E | WorldView-2 | Digital Globe Foundation | 8 | 1.85–2.07 (MS) | × | × | × | × |
| F | Aerial | CNIGS (Govt. of Haiti) | 3 | 0.7 | - | - | × | - |
| G | TanDEM-X | DLR. e. V. | 1 | 3 | × | × | × | × |
| Band | 0 | 1 | 2 | 3 | 4 | 5 | 6 | 7 | 8 |
|---|---|---|---|---|---|---|---|---|---|
| Color | Pan | Coastal | Blue | Green | Yellow | Red | Red Edge | NIR1 | NIR2 |
| λ in nm | 450–800 | 400–450 | 450–510 | 510–580 | 585–625 | 630–690 | 705–745 | 770–895 | 860–1040 |
| Band | HHHH | HHHV | HHVV | HVHV | HVVV | VVVV | HV | HH – VV | HH + VV | |
|---|---|---|---|---|---|---|---|---|---|---|
| Real | + | + | + | + | + | + | Name | Pauli3 | Pauli2 | Pauli1 |
| Imaginary | − | + | + | − | + | − | Code | Red | Green | Blue |
| (1) Puerto Plata | (2) Montecristi | (3) Haiti | (4) Test site | |
|---|---|---|---|---|
| 1 | Water | Water | Water | Water |
| 2 | Flat Surfaces | Mangrove | Mangrove | Bare Soil |
| 3 | Mangrove | Bare Earth | Structures & Roads | Forest |
| 4 | Forest | Built | Forest | Shrub |
| 5 | Eroded Land | Forest | Shrubs | |
| 6 | Pasture | Shrub | Pasture | |
| 7 | Structure | Clouds | Dump Site |
© 2017 by the authors. Licensee MDPI, Basel, Switzerland. This article is an open access article distributed under the terms and conditions of the Creative Commons Attribution (CC BY) license (http://creativecommons.org/licenses/by/4.0/).
Share and Cite
Sonnemann, T.F.; Comer, D.C.; Patsolic, J.L.; Megarry, W.P.; Herrera Malatesta, E.; Hofman, C.L. Semi-Automatic Detection of Indigenous Settlement Features on Hispaniola through Remote Sensing Data. Geosciences 2017, 7, 127. https://doi.org/10.3390/geosciences7040127
Sonnemann TF, Comer DC, Patsolic JL, Megarry WP, Herrera Malatesta E, Hofman CL. Semi-Automatic Detection of Indigenous Settlement Features on Hispaniola through Remote Sensing Data. Geosciences. 2017; 7(4):127. https://doi.org/10.3390/geosciences7040127
Chicago/Turabian StyleSonnemann, Till F., Douglas C. Comer, Jesse L. Patsolic, William P. Megarry, Eduardo Herrera Malatesta, and Corinne L. Hofman. 2017. "Semi-Automatic Detection of Indigenous Settlement Features on Hispaniola through Remote Sensing Data" Geosciences 7, no. 4: 127. https://doi.org/10.3390/geosciences7040127
APA StyleSonnemann, T. F., Comer, D. C., Patsolic, J. L., Megarry, W. P., Herrera Malatesta, E., & Hofman, C. L. (2017). Semi-Automatic Detection of Indigenous Settlement Features on Hispaniola through Remote Sensing Data. Geosciences, 7(4), 127. https://doi.org/10.3390/geosciences7040127
