Next Article in Journal
Characteristics and Dynamics of a Large Sub-Tidal Sand Wave Field—Habitat for Pacific Sand Lance (Ammodytes personatus), Salish Sea, Washington, USA
Next Article in Special Issue
Mercury Contamination of Cattle in Artisanal and Small-Scale Gold Mining in Bombana, Southeast Sulawesi, Indonesia
Previous Article in Journal
Detecting Landscape Disturbance at the Nasca Lines Using SAR Data Collected from Airborne and Satellite Platforms
Previous Article in Special Issue
The Cancer and Non-Cancer Risk of Santiago Island (Cape Verde) Population due to Potential Toxic Elements Exposure from Soils
 
 
Font Type:
Arial Georgia Verdana
Font Size:
Aa Aa Aa
Line Spacing:
Column Width:
Background:
Article

Nutrients and Heavy Metals Contamination in an Urban Estuary of Northern New Jersey

Department of Earth and Environmental Sciences, New Jersey City University, 2039 Kennedy Boulevard, Jersey City, NJ 07305, USA
Geosciences 2017, 7(4), 108; https://doi.org/10.3390/geosciences7040108
Submission received: 8 September 2017 / Revised: 15 October 2017 / Accepted: 19 October 2017 / Published: 23 October 2017
(This article belongs to the Special Issue Urban Environmental and Medical Geochemistry)

Abstract

:
The Newark Bay Estuary in northern New Jersey contains one of the largest urban wetland complexes in the United States, but the majority of the wetlands and habitats have been lost due to urbanization and industrialization. Field and laboratory research was conducted to understand the impacts of human activities on the biogeochemistry of nutrients and heavy metals in the urban estuary. Concentrations of dissolved nutrients such as nitrate, ammonia, and phosphate were higher in the Hackensack River than in the Passaic River or the Newark Bay, while the Hackensack River was more deficient in dissolved oxygen. Sediment oxygen demand and mobilization of nutrients were higher in sediments with higher organic matter content as a result of microbial decomposition of organic matter. Heavy metals (Cr, Cu, Pb, and Zn) and organic matter were more enriched in finer sediment grains such as silt and clay. There were positive correlations among heavy metals as well as organic matter in sediments. The results suggest that fine grained sediments, which can be readily suspended and transported during tidal cycles, may play a significant role in biogeochemical cycling of nutrients and heavy metals in the urban estuary. It appears that the current sources of nutrients and heavy metals in the water and sediment of the Newark Bay Estuary are mainly domestic effluents from sewage treatment plants during non-storm periods as well as combined sewer overflows during storm events, but further research including more frequent and pervasive water and sediment quality monitoring during dry and wet periods is needed.

1. Introduction

Estuaries are zones of biogeochemical and biological mixing and are considered to be one of the most highly productive ecosystems [1]. Estuarine wetlands combine chemical transformation and transport processes in the biogeochemical cycling of nutrients and trace metals [2]. Nitrogen, phosphorus, and other nutrients are essential for growth and reproduction of producers in estuarine wetlands. However, prolonged periods of excess nutrients may lead to unsustainable primary production and eutrophication. In addition, toxic trace metals such as arsenic, copper, and lead may have complex effects on primary and secondary production in estuarine systems [3].
The Newark Bay Estuary including the Newark Bay, the Hackensack River, and the Passaic River in northeastern New Jersey is a part of the Hudson-Raritan Estuary (HRE), which is one of the largest urban estuaries in the United States [4]. The urban estuary is located in the heavily industrialized and densely populated New York–Newark–Jersey City metropolitan area. Historically, the coastal and marine waters of the estuary were known to support diverse populations of fish and shellfish, but the metropolitan region surrounding the urban estuary has been heavily impacted by both industrial and municipal activities [5]. During the 19th and 20th centuries, factories dumped large quantities of untreated waste into the lower portion of the Passaic and Hackensack Rivers to Newark Bay, which has left hotspots of toxic contaminants throughout the estuary’s ecosystem [6,7]. Numerous current and former industrial facilities and commercial landfills including National Priorities List (NPL) sites (e.g., Diamond Alkali Superfund Site and PJP Landfill), as well as combined sewer overflows (CSOs) have discharged various contaminants including dioxins and furans, polychlorinated biphenyls (PCBs), polycyclic aromatic hydrocarbons (PAHs), pesticides, metals, and nutrients to the urban estuary [7,8,9]. As a result, the estuary has suffered extensive losses in wetland habitat and aquatic vegetation communities over the past two centuries. Although the overall health of the estuary has improved due to enactment of the 1972 Clean Water Act and the decline of industry along the estuary, the Newark Bay Estuary still suffers from substantial degradation of water quality and persistent contaminants in bottom sediments, which pose a significant threat to the health of humans and ecosystems [7,10,11].
Newark Bay is a tidal bay at the confluence of the Passaic and Hackensack Rivers. The Newark Bay receives freshwater contributions mainly from the Passaic and Hackensack Rivers at the northern end of the Bay, while additional freshwater contributions are from a number of other tributaries, combined sewer overflows (CSOs) and storm water outfalls (SWOs) distributed throughout the Bay [12]. The lower Hackensack River spans across Bergen and Hudson counties, New Jersey, runs north to south, and empties into Newark Bay. The lower Hackensack River Estuary beginning from the Oradell Reservoir, drains an urbanized, 218-km2 watershed dominated by the Hackensack Meadowlands [13]. Due to large reservoir withdrawals, the long-term average freshwater inflow to the lower Hackensack River is insignificant compared to the mean tidal discharge at the mouth. The Lower Passaic River is a 17-mile tidal stretch from the Dundee Dam to the river’s mouth at Newark Bay. The Passaic River drains urbanized watersheds that have experienced some of the greatest population densities and industrial activities in the United States for more than a century [10].
Field and laboratory research was conducted to investigate water and sediment quality of the Newark Bay Estuary in northern New Jersey. While a number of previous studies including the reports for the U.S. Environmental Protection Agency and the Contamination Assessment and Reduction Project (CARP) have extensively investigated dioxins, polycyclic aromatic hydrocarbons (PAHs), pesticides, polychlorinated biphenyls (PCBs), and heavy metals in sediments from the Newark Bay Estuary [7,8,9,14,15,16,17], this study focused primarily on potential impacts of human activities on biogeochemistry of nutrients in water and sediments of the urban estuary. There has been on-going water quality monitoring of dissolved oxygen and nutrients in the New York–New Jersey Harbor by the New Jersey Harbor Dischargers Group (NJHDG), the EPA NY/NJ Harbor and Estuary Program (HEP), and the Meadowlands Environmental Research Institute [18,19,20]. This study is relevant to urban estuaries of many industrialized and developing countries in the world, where sewage wastes contribute excessive amounts of nutrients into coastal waters, which may lead to water quality degradation such as eutrophication [21,22,23]. This study also investigated geochemical distribution of heavy metals in surficial sediments of the urban estuary. The contamination of sediments or soils with heavy metals by anthropogenic activities including industrial and domestic wastes discharge poses long-term risk to the health of ecosystems because heavy metals are harmful to humans and wild species, and tend to bioaccumulate in the food chain [24,25,26,27]. Due to the disturbance and acceleration of biogeochemical cycling of metals by humans, soils and sediments in urban environments may be enriched with heavy metals such as copper (Cu), zinc (Zn), and lead (Pb) above background values [25]. The objectives of this study were to determine the level of environmental contamination in the urban estuary and to assess the impacts of human activities on biogeochemical cycling of nutrients and heavy metals in water and sediment.

2. Materials and Methods

Water and sediment samples were collected in summer 2015 and 2016 along the Hackensack and Passaic Rivers, as well as the Newark Bay in northeastern New Jersey during non-storm periods with no significant rain event for a week prior to sampling (Figure 1). Sampling locations were selected to cover highly urbanized and industrialized area such as Newark and Jersey City to suburban areas in the northern parts of the estuary. In summer 2016, water samples from the Hackensack River and the Newark Bay were collected during the transition from high tide to low tide, whereas water samples from the Passaic River were collected during the transition from low tide to high tide (Table 1). In summer 2015, water samples were collected from the Hackensack and Passaic Rivers during the transition from low tide to high tide, while water samples were collected from the Newark Bay during high tide (Table 2). Water samples for water quality monitoring were collected in a 1-L HDPE container at approximately 0.5–1 m depth. Water quality parameters such as pH and electrical conductivity (EC) of water samples were measured using a portable pH-EC meter (HQ40d, Hach Company, Loveland, CO, USA). Dissolved oxygen was determined using CHEMets test kits (CHEMetrics, Inc., Midland, VA, USA) immediately after sampling. The CHEMets test kit for dissolved oxygen employs the indigo carmine method. The concentrations of dissolved oxygen were determined by visually comparing the produced color with a comparator included in the kit. Water samples were collected in 250-mL HDPE bottles without filtration for analyses of nitrate (NO3), ammonia (NH4+ or NH3), and phosphate (PO43−) in the field or laboratory on the same day. In summer 2015, additional water samples were collected in 20 mL HDPE vials after filtration through 0.45 μm membrane syringe filters for analysis of sulfate and chloride using Ion Chromatography. Water quality data of pH, EC, DO, and nutrients for the summer 2015 samples are reported elsewhere [28]. Geographic coordinates (latitudes and longitudes) for each sampling location were recorded using a smart phone app in the field.
Dissolved nitrate, ammonia, and phosphate were measured using a Hach DR/890 portable colorimeter (Hach Company, Loveland, CO, USA), which is a microprocessor-controlled, light emitting diodes-sourced filter photometer suitable for colorimetric testing in the laboratory or the field. Nitrate concentrations were determined by the cadmium reduction method, while ammonia concentrations were determined by the salicylate method. Phosphate concentrations were determined by the molybdenum blue method. Standard solutions from Hach Company (phosphate standard solution, 50 mg/L as PO4 and nitrogen-ammonia standard solution, 10 mg/L as NH3-N) were used to check the accuracy of colorimetric measurements, which showed less than ±10% error in measurements for ammonia and phosphate. Because of interference in nitrate measurements by high chloride in water samples, nitrate concentration was determined by the standard addition method using nitrogen-nitrate standard solution (100 mg/L as NO₃-N) from Hach Company. Dissolved sulfate and chloride concentrations in water samples collected in summer 2015 were determined using Ion Chromatography (Thermo Scientific Dionex ICS-5000+, Waltham, MA, USA) following a standard EPA protocol in the NJCU Environmental Geochemistry Laboratory. Errors in measurements for sulfate and chloride were less than ±5%.
Surficial sediment samples were collected along the Hackensack and Passaic Rivers, as well as the Newark Bay. Sediments were collected within a meter of the shoreline in water less than 1 m depth using a shovel and were stored in Ziploc bags. Sediment samples were collected from the same sites as water sampling, except for several locations with gravelly sediments. In the laboratory, sediments were air-dried for a week, and then sediment grain size analysis was performed using a stainless steel sieve after removing gravels from sediments and homogenizing sediments. For the sediment samples collected in summer 2015, heavy metal concentrations in different grain size fractions (<2 mm grain size) were determined using a portable X-ray fluorescence (Niton™ XL3t XRF Analyzer; Thermo Scientific, Waltham, MA, USA). The XRF was calibrated using NIST standard reference materials 1646a (Estuarine Sediment) and 2709a (San Joaquin Soil). For each sample, five replicate analyses were performed. The variation in XRF measurements of replicates was typically less than ±20%. The recoveries from the standard reference materials generally ranged from 80% to 120%. If the recovery was outside the range (80–120%), the calibration was repeated.
Sediment organic matter content was determined for bulk sediment (<2 mm grain size) by the loss on ignition method [29]. After wet sediment samples were air-dried for a week, approximately 10 g of sediment samples were placed in crucibles and were dried at 105 °C in an oven (Thermo Scientific, Waltham, MA, USA) overnight. After cooling the samples, the weight of samples was measured using a balance. Then, samples were transferred to a muffle furnace (Thermo Scientific) and were heated at 550 °C for 4 h. After cooling the samples, the samples were weighed again. The weight loss between the heating at 105 °C and 550 °C as a percentage of the total original dry sample weight is the sediment organic matter content.
Sediment oxygen demand experiments were conducted for the summer 2016 samples to study dissolved oxygen consumption by microbial decomposition of sediment organic matter and subsequent mobilization of nutrients from the sediment. Approximately 10 g of air-dried sediment (<2 mm grain size) was placed in a glass flask and 30 mL of deionized water was added. The glass flasks were tightly closed with rubber stoppers and were reacted on a shaker over a week. Dissolved oxygen of deionized water was measured before and after the reaction using a CHEMet dissolved oxygen test kit. Nitrate, ammonia, and phosphate mobilized from sediments were measured using a Hach DR/890 portable colorimeter.
The spatial distribution of water quality parameters (e.g., pH, EC, DO, and nutrients) in the urban estuary was analyzed. The correlations between sediment grain size and organic matter content as well as heavy metal concentrations in sediments were examined. The relationships between sediment organic matter content and the consumption of dissolved oxygen as well as the mobilization of nutrients from sediments were investigated.

3. Results and Discussion

3.1. Spatial Variations of Water Quality in the Newark Bay Estuary

In summer 2016, the Hackensack River (n = 10), Passaic River (n = 10) and the Newark Bay (n = 6) were all characterized with slightly alkaline pH with average pH ranging from 7.54 ± 0.33 to 7.83 ± 0.14 (Table 1, Figure 1). The electrical conductivity (EC) was overall higher in the Hackensack River than in the Passaic River. The EC decreased gradually from 27.20 mS/cm at HR-1 (8.8. km upstream from NB-6) to 1.23 mS/cm at HR-9 (33.6 km from NB-6) in the Hackensack River, while it decreased from 8.15 mS/cm at PR-1 (12.9 km upstream from NB-6) to 0.65 mS/cm at PR-10 (30.6 km upstream from NB-6) in the Passaic River (Table 1, Figure 2).
It should be noted that water samples were collected from the Hackensack River during the transition from high tide to low tide, whereas water samples were collected from the Passaic River during the transition from low tide to high tide (Table 1). Although different tidal levels could have affected the electrical conductivity of two tidal rivers in summer 2016, the ion chromatography data for water samples collected from both rivers during the transition from low tide to high tide in summer 2015 demonstrate that the Hackensack River is more saline than the Passaic River (Table 2). In summer 2015, chloride and sulfate concentrations ranged from 276 mg/L (33.6 km from NB-6) to 7674 mg/L (8.8. km upstream from NB-6) and from 29 mg/L to 1014 mg/L, respectively in the Hackensack River, while chloride and sulfate concentrations varied from 86 mg/L (28.3 km upstream from NB-6) to 402 mg/L (12.9 km upstream from NB-6) and from 17 mg/L to 56 mg/L, respectively in the Passaic River (Table 2). In the Newark Bay, chloride ranged from 9460 mg/L to 10,261 mg/L, while sulfate ranged from 1274 mg/L to 1329 mg/L in summer 2015, consistent with high EC of 29.7–36.0 mS/cm in summer 2016.
The higher EC and chloride concentrations in the Hackensack River than the Passaic River indicate that tidal water intrudes further inland through the Hackensack River than the Passaic River. The Hackensack River is more brackish due to the reduction of freshwater discharge below the Oradell Dam [11], which caused freshwater lowland to transform into a tidal estuary and resulted in the destruction of freshwater aquatic plant and animal species [30]. The construction of the Oradell Dam, as well as several reservoirs constructed to serve the growing suburban/urban populations resulted in profound changes to the Hackensack River Watershed, including the river’s hydrology, geomorphology, and water chemistry [31].
Dissolved oxygen (DO) was generally lower in the Hackensack River than in the Passaic River or the Newark Bay. DO ranged from 3 to 7 mg/L (average DO = 4 ± 1 mg/L) in the Hackensack River, while it ranged from 4 to 9 mg/L (average DO = 7 ± 1 mg/L) in the Passaic River (Table 1, Figure 2). DO in the Newark Bay was similar to that in the Passaic River, ranging from 5 to 8 mg/L (average DO = 7 ± 2 mg/L). In the Hackensack River, the lowest level of DO (3–4 mg/L) was observed from HR-4 to HR-7 samples (Table 1, Figure 1). It appears that the lowest DO levels were associated with sewage treatment plants that are located near HR-4 and HR-5 (Figure 1), including Bergen County Utilities Authority (approximate discharge rate: 69 mgd, million gallons per day), North Bergen Municipal Utilities Authority (approximate discharge rate: 7 mgd), and Secaucus Municipal Utilities Authority (approximate discharge rate: 3 mgd) [32].
Depressed levels of dissolved oxygen, which reduce species abundance and diversity, have been known to be a chronic problem in Newark Bay and its tributaries since the early 1900s [7,33]. While it has been reported that oxygen concentrations in the Hackensack River regularly fall below the New Jersey Department of Environmental Protection’s water quality criterion (4.0 mg/L) and U.S. Environmental Protection Agency’s protective minimum oxygen concentration (2.3 mg/L) for adult fishes [11], DO of water samples collected from the Newark Bay Estuary in summer 2015 and 2016 ranged approximately from 3 mg/L to 9 mg/L, which is above hypoxia (Table 1). The water quality data are consistent with improved water quality in the Hudson Raritan Estuary (HRE) since the enactment of the 1972 Clean Water Act [5,34]. However, some aquatic species can still be negatively affected by DO level as low as 3–4 ppm [35].
Dissolved nitrate was slightly higher in the Hackensack River than in the Passaic River or the Newark Bay (Table 1, Figure 2). Average nitrate concentration was 12.3 ± 2.1 mg/L in the Hackensack River, while it was 9.0 ± 1.3 mg/L in the Passaic River and 9.9 ± 1.0 mg/L in the Newark Bay. Dissolved ammonia was remarkably higher in the Hackensack River than in the Passaic River or the Newark Bay (Table 1, Figure 2). The average concentration of ammonia (as NH4+) was 1.40 ± 1.08 mg/L in the Hackensack River, while it was near the detection limit (0.02 mg/L) in the Passaic River (0.02 ± 0.01 mg/L) or in the Newark Bay (0.05 ± 0.03 mg/L). The highest level of ammonia (approximately 2.8 mg/L) was found from HR-5 to HR-7 samples, which are located within 5 km upstream from the Bergen County Utilities Authority (BCUA)’s wastewater treatment plant (Figure 1 and Figure 2). The ratio of nitrate-N to ammonia-N was also significantly lower in the Hackensack River than in the Passaic River or the Newark Bay. The average ratio was 5 ± 5 for the Hackensack River, while it was 174 ± 71 for the Passaic River and 260 ± 30 for the Newark Bay. This suggests that the Hackensack River is under significantly less oxic condition than the Passaic River or the Newark Bay. Dissolved phosphate was also higher in the Hackensack River than in the Passaic River or the Newark Bay. The average concentration of phosphate was 0.96 ± 0.30 mg/L for the Hackensack River, 0.79 ± 0.14 mg/L for the Passaic River, and 0.33 ± 0.09 mg/L for the Newark Bay (Table 1). The highest level of phosphate was 1.36 mg/L at HR-5, which was located adjacent to the BCUA’s wastewater treatment plant (Figure 1 and Figure 2). It is also worth mentioning that six CSOs are densely distributed between HR-5 and HR-7 along the Hackensack River (Figure 1). In addition to sewage treatment plants, CSOs can discharge nutrients and organics into the river during storm events.
Discharges from CSOs represent a major anthropogenic source of nutrients to receiving waters in an urban watershed [36]. During rain events when the combined volume of sewage and stormwater flows is too high for the treatment plant to handle, the system is designed to discharge combined sewage directly into nearby water bodies without treatment, causing significant contamination of waterways and aquatic systems. New Jersey’s combined sewer systems discharge an estimated seven billion gallons per year (from 16 cities) and, on average, CSO drainage areas cover 53% of municipal land area [37]. It is estimated that CSOs are responsible for approximately 20% of the biological oxygen demand (BOD) discharged to the Hudson/Raritan Estuary [7,38]. In addition to CSOs, wastewater treatment plants discharge nutrients and organics into the estuary because the treated wastewater still contains large amounts of nutrients and organic matter. Since the construction of the Oradell Reservoir in 1922, the effluent from sewage treatment plants (STPs) comprises more than 75% of the freshwater input to the Hackensack River under non-storm conditions [11]. The reduced flow of the Hackensack River, as well as the high nutrient concentrations in sewage effluents that now dominate the freshwater inputs, can cause the hypoxia during the summer growing season and create a stressed system for aquatic organisms. Because of its limited freshwater inflow, the lower Hackensack River is susceptible to local pollution sources, which have collectively degraded water quality and sediment quality [16]. In contrast, the concentrations of nutrients were relatively lower in the Passaic River than in the Hackensack River, probably because of faster draining of combined sewer overflows into the Newark Bay due to higher freshwater discharge in the Passaic River than in the Hackensack River [12].
Additional water samples (n = 2) collected in summer 2015 from the headwater areas (Mendham, NJ, USA) of the Passaic River without CSOs or STPs showed on average pH of 6.95 ± 0.10, EC of 0.64 ± 0.05 mS/cm, DO of 9.5 ± 0.7 mg/L, nitrate of 7.8 ± 2.8 mg/L, ammonia of <0.02 mg/L, and phosphate of 0.17 ± 0.06 mg/L. The water quality was similar to that of the lower Passaic River (Table 1 and Table 2), except for phosphate, which was significantly higher in the lower Passaic River than in the headwater. This suggests that the discharge of sewage effluents to the Passaic River is limited during non-storm periods without the operation of CSOs, but additional water quality monitoring during storm events is needed to evaluate the impacts of sewage discharge from CSOs on water quality in the urban estuary.

3.2. Effects of Tidal Cycle on Water Quality in the Newark Bay Estuary

Tidal advection periodically displaces dissolved and suspended matter in estuaries, altering water quality over tidal periods [13]. Tidal shears can disperse pollutants and reduce peak concentrations near pollutant sources [39]. The lower Hackensack and Passaic Rivers as well as the Newark Bay are affected by tides, and the tidal flows distribute dissolved and suspended materials, including contaminants, from Newark Bay to the Hackensack River and the Passaic River [11].
The variation of water quality over a tidal cycle from high tide to low tide was monitored in the estuary on the same day (Table 3). The water levels (tidal datum: mean lower low water) at the Bergen Point West Reach station, New York, were used because it was the closest station to the Newark Bay Estuary. The water level at the station decreased from 1.17–1.58 m to 0.40–0.89 m, from 0.48–0.67 m to 0.12–0.17 m, and from 0.99–1.31 m to 0.21–0.42 m during the sampling along the Hackensack River, the Passaic River, and the Newark Bay, respectively. It should be noted that the water levels were lower during the sampling along the Passaic River than during the sampling along the Hackensack River or the Newark Bay. In addition, the difference between high water level and low water level was approximately 0.8 m during the water sampling along the Hackensack River and the Newark Bay, while it was approximately 0.4 m during the water sampling along the Passaic River. Therefore, the water quality data should be compared between water bodies in the estuary with caution. During the interval, the pH increased consistently by 0.15–0.56 for the Hackensack River, by 0.42–0.55 for the Passaic River, and by 0.18–0.34 for the Newark Bay. The increase of pH during the transition from high tide to low tide is attributed to the flow of upstream freshwater with higher pH toward the bay (Table 1 and Table 2). The EC varied slightly by 0.1–2.55 mS/cm for the Hackensack River, while the variation of EC was more evident for the Passaic River, ranging from 3.90 to 7.57 mS/cm during the tidal cycle. For the Newark Bay, the variation of EC was negligible for NB-2 and NB-3, whereas NB-1 located near the mouth of the Hackensack River showed a large change of EC by 6.20 mS/cm. Despite the larger changes in water levels for the Hackensack River than for the Passaic River, less significant change in EC for the Hackensack River than for the Passaic River during the tidal cycle is attributed to significantly lower volume of freshwater flow in the Hackensack River than in the Passaic River, which caused the entire lower portion of Hackensack River brackish over a tidal cycle.
In the Hackensack River, dissolved oxygen for HR-5 to HR-7 was as low as 2.5 to 3.5 mg/L during high tide, but increased to 4 to 8 mg/L during low tide (Table 3). The significant increase in DO during low tide may be associated with the downstream flow of oxygenated freshwater. During high tide, the effluent from the BCUA’s wastewater treatment plant flows upstream, while more oxygenated river water flows downstream during low tide in the Hackensack River. In the tidal section of Passaic River, dissolved oxygen also increased slightly from 4–6 mg/L to 5–9 mg/L during the transition from high tide to low tide perhaps because of the downstream flow of more oxygenated river water, given that the Passaic River showed relatively higher DO in the upstream sites (8–9 mg/L for PR-7 to PR-10; Table 1). In the Newark Bay, DO level was fairly constant and maintained relatively high, with 5–8 mg/L DO during high tide and 6–9 mg/L DO during low tide. It should be noted that there is a lag time for the tidal cycle in the estuary between the Newark Bay and the Hackensack and Passaic Rivers [13]. Therefore, the direction of water flow in the lower and upper portions of the estuary could be different occasionally over a tidal cycle.
During the transition from high tide to low tide, the concentration of nutrients including nitrate, ammonia, and phosphate varied inconsistently, but the concentrations of all nutrients were constantly higher in the Hackensack River than in the Passaic River and the Newark Bay during the tidal cycle (Table 3). Average concentrations of nitrate were 17.4 ± 3.8 and 17.0 ± 2.3 mg/L for the Hackensack River, 7.1 ± 1.0 and 7.5 ± 0.9 mg/L for the Passaic River, and 10.0 ± 0.5 and 9.4 ± 0.5 mg/L for the Newark Bay during high tide and low tide, respectively. Average concentrations of ammonia (as NH4+) were 2.71 ± 1.83 and 2.21 ± 1.61 mg/L for the Hackensack River during high tide and low tide, respectively, while ammonia concentrations were near or below the detection limit (0.02 mg/L) for the Passaic River and the Newark Bay over a tidal cycle. Average concentrations of phosphate were 1.46 ± 0.46 and 1.10 ± 0.26 mg/L for the Hackensack River, 0.67 ± 0.08 and 0.77 ± 0.10 mg/L for the Passaic River, 0.38 ± 0.09 and 0.34 ± 0.12 mg/L for the Newark Bay during high tide and low tide, respectively.
The results indicate that the Hackensack River is the most oxygen deficient and nutrient rich water body in the Newark Bay Estuary over a tidal cycle during non-storm periods. In water samples (n = 20) collected from the Hackensack River under various tidal conditions in summer 2016 (Table 1 and Table 3), dissolved nutrients and oxygen showed moderate to strong correlations with the distance from the BCUA’s sewage treatment plant (STP) (Figure 3). The concentrations of nitrate, ammonia, and phosphate were higher with decreasing distance from the STP, while dissolved oxygen concentrations were generally lower with decreasing distance from the STP (Figure 3). The spatial pattern of nutrients in summer 2016 is consistent with the summer 2015 data, which showed the highest levels of nitrate, ammonia, and phosphate at HR-4 or HR-5 adjacent to the Bergen County Utilities Authority’s STP [28]. Therefore it appears that the continuous discharge of high concentrations of nutrients in the sewage effluent from the Bergen County Utilities Authority’s STP, which is the single largest source of freshwater into the Hackensack River, results in high nutrients concentrations and consequent oxygen deficiency in the vicinity of the discharges and tides may transport dissolved nutrients to upstream and downstream portions of the river [13]. Because the lower Hackensack River receives considerable tidal flows of brackish water from Newark Bay [13], the tidal flows can distribute dissolved and suspended materials, including nutrients and heavy metals, from Newark Bay throughout the Hackensack River as far as the Oradell Dam during tidal cycles [11]. Pollutants entering Newark Bay from the lower Passaic River may be transported into the Hackensack River by tides, whereas pollutants from the Newark Bay or the Hackensack River are unlikely to be transported far into the Passaic River due to its high freshwater discharge into the Newark Bay [30].

3.3. Spatial Variations of Sediment Quality in the Newark Bay Estuary

Sieve analyses indicate that surficial sediments collected from the Newark Bay Estuary in 2015 and 2016 consisted dominantly of sand. For the 2015 samples (<2 mm grain size), the Hackensack River sediments (n = 8) consisted on average of 34 ± 13% coarse sand (0.5–2 mm), 18 ± 7% medium sand (0.25–0.5 mm), 33 ± 18% fine sand (0.063–0.25 mm), and 15 ± 5% silt and clay (<0.63 mm), while the Passaic River sediments (n = 7) consisted on average of 39 ± 10% coarse sand, 23 ± 10% medium sand, 21 ± 6% fine sand, and 17 ± 12% silt and clay (Table 4).
For the 2016 samples (<2 mm grain size), coarse sand, medium sand, fine sand, and silt + clay fractions were 53 ± 19%, 22 ± 10%, 18 ± 11%, and 6 ± 2% for the Hackensack River;, 43 ± 17%, 22 ± 4%, 28 ± 15%, and 7 ± 2% for the Passaic River; and 38 ± 17%, 38 ± 16%, 21 ± 20%, and 3 ± 4% for the Newark Bay, respectively (Table 5). The relatively lower silt and clay fractions in the 2016 sediment samples than in the 2015 sediment samples are attributed to heterogeneous nature of estuarine sediments. It is also possible that top layers of surficial sediment largely consisting of fine silt and clay grains could have been disturbed and partially lost during sediment sampling using a shovel. It may be necessary to use a coring device to preserve all sediment layers with minimum disturbance.
Sediment organic matter content was determined using the loss on ignition method (Figure 4). For 2015 samples (n = 16), sediment organic matter content was on average 7.0 ± 3.7 wt % (2.1–13.0 wt %) for the Hackensack River, while it was on average 6.3 ± 3.9 wt % (0.8–11.7 wt %) for the Passaic River. For 2016 samples (n = 19), sediment organic matter content was higher in sediments from the Hackensack River (6.3 ± 3.8 wt % organic matter) and the Passaic River (7.0 ± 2.3 wt % organic matter) than in sediments from the Newark Bay (3.2 ± 2.0 wt % organic matter). Sediment organic matter content ranged from 1.7 to 10.7 wt % for the Hackensack River, from 4.1 to 10.3 wt % for the Passaic River, and from 0.9 to 6.4 wt % for the Newark Bay. For both 2015 and 2016 sediment samples, organic matter content was correlated with sediment grain size distribution. As the proportion of silt and clay fractions increased, sediment organic matter content increased, showing R2 of 0.7521 for the 2015 samples and R2 of 0.5581 for the 2016 samples (Figure 4). This suggests that organic matter in sediments of the Newark Bay Estuary is predominantly associated with silt and clay grains.
The consumption of dissolved oxygen for a week was related to organic matter content (Loss on Ignition %) in the sediment (R2 = 0.7076; n = 19) (Figure 5), which suggests that the consumption of dissolved oxygen was caused by microbial decomposition of organic matter. Consumption of dissolved oxygen increased from 0 to 6.5 mg/L as sediment organic matter content increased from 0.9 to 10.7 wt %. Average DO consumption was approximately 3 ± 3 mg/L and 3 ± 2 mg/L for sediments from the Hackensack River (0–6.5 mg/L DO consumption) and Passaic River (1–6 mg/L DO consumption), respectively, while it was 1 ± 2 mg/L for sediments from the Newark Bay (0–4 mg/L DO consumption).
The extent of nutrient mobilization from sediments was normally associated with sediment organic matter content (R2 = 0.4396 for nitrate, R2 = 0.5068 for ammonia, and R2 = 0.5205 for phosphate; n = 19) (Figure 5). In general, the concentration of nitrate mobilized from sediments increased from 9 mg/kg to 186 mg/kg with increasing organic matter content in sediments. The concentration of ammonia and phosphate released from sediments also increased from 2 mg/kg to 138 mg/kg and from 1 mg/kg to 56 mg/kg with increasing sediment organic matter content, respectively. The results suggest that organic-rich sediment contains a higher concentration of bioavailable nutrients and the estuarine sediment could act as both sink and source of nutrients in the estuary through biogeochemical cycling.
The mobilization of nutrients was significantly higher in sediments from the Passaic and Hackensack Rivers than in sediments from the Newark Bay (Figure 5). Average concentrations of nitrate, ammonia, and phosphate mobilized from the Hackensack River sediment were 70 ± 32, 46 ± 58, and 24 ± 19 mg/kg, respectively. Average concentrations of nitrate, ammonia, and phosphate mobilized from the Passaic River sediment were 142 ± 43, 60 ± 47, and 20 ± 14 mg/kg, respectively. Average concentrations of nitrate, ammonia, and phosphate mobilized from the Newark Bay sediment were 19 ± 10, 16 ± 15, and 3 ± 2 mg/kg, respectively. The significantly higher organic matter and nutrients in the Passaic and Hackensack River sediments than in the Newark Bay sediments suggest more extensive historic or current pollutions of sediments by anthropogenic sources (e.g., CSOs, sewage treatment plants) or natural sources (e.g., the Meadowlands) along the urban rivers than the urban bay.
Despite the improvement of water quality in the Newark Bay Estuary since the 1970s, elevated levels of contaminants may persist in sediments, acting as a source of contaminants that can cycle through the ecosystems [34]. Increasing water demand to support the region’s increasing human population and withdrawal from reservoirs in the Hackensack River Watershed increased the volume of withdrawn water returning to the river in the form of sewage effluent from sewage treatment plants and CSOs, resulting in considerable quantities of nutrients likely accumulating in the sediment of the estuary. Oxygen concentrations in bottom waters are heavily influenced by oxygen consumption or uptake in the bottom sediments. Decay of organic matter by bacteria, ammonia oxidation by nitrifiers, algal respiration and flux of oxygen into the sediment all increase oxygen demand [40]. Hypoxic or anoxic conditions can be fatal especially for shellfish and other sessile organisms since these organisms cannot relocate themselves to a more oxygenated area. The sediment oxygen demand experiments showed that dissolved oxygen level dropped from 7 mg/L to ~1 mg/L in some sediment samples with high organic matter content after a week of reaction. This suggests that DO levels of bottom water in the Hackensack and Passaic Rivers may locally decrease to the hypoxic condition, threatening aquatic species in the estuary. The results also show that significant amount of nutrients accumulated in surficial sediments could be remobilized into water column due to physical and chemical changes, which can lead to eutrophication.

3.4. Geochemical Distribution of Heavy Metals in Sediments

The Newark Bay Estuary has been contaminated by various metal contaminant sources including industrial and municipal point source and non-point source discharges, urban storm water runoff, atmospheric deposition, and CSOs [41,42,43].
XRF data for sediments collected from the Hackensack (n = 8) and Passaic (n = 7) Rivers in summer 2015 show elevated levels of toxic heavy metals including As, Cr, Cu, Pb, and Zn, as well as Fe and Mn (Table 6). Concentrations of heavy metals were determined in different grain size fractions, including very coarse sand (1–2 mm), coarse sand (0.5–1 mm), medium sand (0.25–0.5 mm), fine sand (125–250 μm), very find sand (63–125 μm), as well as silt and clay (<63 μm).
Concentrations of heavy metals in bulk sediment (<2 mm grain size) were calculated based on the grain size distribution determined by sieve analysis and XRF data for each grain size fraction. Sediments from the Hackensack River (n = 8) contained on average: As of 12 ± 3 mg/kg, Cr of 195 ± 64 mg/kg, Cu of 126 ± 46 mg/kg, Fe of 39,467 ± 15,923 mg/kg, Mn of 756 ± 392 mg/kg, Pb of 96 ± 41 mg/kg, and Zn of 286 ± 104 mg/kg (Table 6). Sediments from the Passaic River (n = 7) showed on average: As of 11 ± 5 mg/kg, Cr of 137 ± 40 mg/kg, Cu of 137 ± 55 mg/kg, Fe of 32,433 ± 10,684 mg/kg, Mn of 555 ± 158 mg/kg, Pb of 155 ± 69 mg/kg, and Zn of 346 ± 182 mg/kg (Table 6).
The concentrations of heavy metals in sediments of the urban estuary were compared with sediment quality guidelines, the effects range-low and effects range-median (ERL and ERM), which are concentrations corresponding to the 10th and 50th percentile of the distribution observed in toxic sediment samples, respectively [44]. The guidelines have been used as interpretive tools in many sediment assessments throughout North America and elsewhere. In both sediments from the Hackensack and Passaic Rivers, the average concentrations of As, Cr, Cu, Pb, and Zn were consistently higher than ERL but lower than ERM (Table 6), suggesting that sediment of the urban estuary could occasionally cause toxic effects. However, three sediment samples (476, 492, and 582 mg/kg) from the Passaic River and a sediment sample (421 mg/kg) from the Hackensack River showed Zn concentration higher than ERM (410 mg/kg). The concentrations equivalent to and above the ERM value represent a probable-effects range within which toxic effects would frequently occur [44].
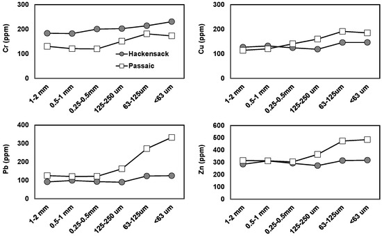
Pb and Zn concentrations were generally higher in the Passaic River sediments than in the Hackensack River sediment, while Cr concentrations were higher in the Hackensack River sediments than in the Passaic River sediments on average (Table 6). Concentrations of Cr, Cu, Pb, and Zn increased with decreasing grain size in the Hackensack and Passaic River sediments (Figure 6). The pattern was more obvious for the Hackensack River sediments than for the Passaic River sediments. It has been reported that trace element concentrations are strongly dependent on grain size, showing higher concentrations with smaller grain sizes, which typically have larger surface areas [45,46].
Rice et al. (1999) reported trace element concentrations in 541 streambed-sediment samples (<63 μm size fraction; silt and clay) collected from 20 study areas across the contiguous United States [46]. For the same grain size fractions (<63 μm), the average concentrations of As (14 ± 2 and 6 ± 5 ppm) in the Hackensack and Passaic River sediments were similar to the medians of As (5–21 ppm) in the streambed sediments from nonurban areas that are least affected by human activities. Average Cr concentrations in silt and clay fractions were 231 ± 66 and 173 ± 24 ppm for the Hackensack River sediments and the Passaic River sediments, respectively, which were significantly higher than the medians of Cr in the nonurban streambed sediments (46–105 ppm). Average Cu concentrations in the silt and clay fractions were 146 ± 60 and 185 ± 61 ppm for the Hackensack River sediments and the Passaic River sediments, respectively, while the medians of Cu in the nonurban streambed sediments were 13–47 ppm. Average Pb concentrations in silt and clay fractions were also remarkably higher in the Hackensack River sediments (125 ± 55 ppm) and the Passaic River sediments (333 ± 168 ppm) than the medians of Pb in nonurban streambed sediments (11–57 ppm). Average Zn concentration in silt and clay fractions were 318 ± 133 and 485 ± 183 ppm in the Hackensack River sediments and the Passaic River sediments, respectively, which were also higher than the medians of Zn in nonurban streambed sediments (69–240 ppm). The sources of heavy metals in the surficial sediments of the urban estuary could be historic industrial wastes dumped in 19th and 20th centuries or on-going discharge of domestic wastes from CSOs or sewage treatment plants.
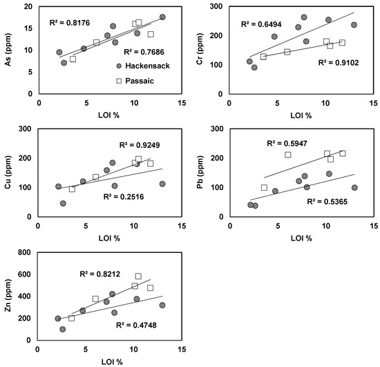
Heavy metals in both Hackensack and Passaic River sediments were positively correlated (Figure 7). As the concentrations of sediment Pb increased, the concentrations of As, Cr, Cu, and Zn in sediments increased, showing R2 of 0.5729 to 0.9093. Heavy metal concentrations in sediments also exhibited overall moderate to strong relationships with sediment organic matter content (R2 = 0.2516 to 0.9249) (Figure 8). Organic matter in sediments may increase the adsorption capacity of sediments for heavy metals such as Zn, Pb, Cu, and Cr [47]. The positive correlations among heavy metals and sediment organic matter suggest that the sediments of the urban estuary have been contaminated by anthropogenic pollution sources containing both elevated levels of heavy metals and organic substances, which could be CSOs or STPs. Sampling of publicly owned treatment works (POTWs), combined sewer overflows (CSOs) and storm water outfalls (SWOs) in the NY–NJ Harbor from 2000 to 2004 reported the presence of toxic heavy metals such as Cd, Pb, and Hg in the effluents, with typically the largest loads of the contaminants found in the effluents from the POTWs because of the volume of their discharge [32]. The elevated concentrations of heavy metals (arsenic, cadmium, copper, chromium, lead, mercury, nickel and zinc) in the Newark Bay Estuary has been reported, which currently pose a potential threat to the aquatic community [5,10,11]. For example, analysis of sediment cores taken from the tidal portion of the Passaic River during the early 1990s detected average metal concentrations ranging from 78 to 593 mg/kg for chromium, 134 to 549 mg/kg for copper, 244 to 633 mg/kg for lead, and 387 to 1146 mg/kg for zinc [48]. Bonnevie et al. (1994) collected and analyzed surficial sediments from three major tributaries to Newark Bay, including the Passaic River and the Hackensack River. The mean concentrations of As (17 ± 16 mg/kg), Cu (237 ± 222 mg/kg), Pb (421 ± 571 mg/kg) and Zn (395 ± 403 mg/kg) measured in the estuary exceeded several benchmark sediment quality values [14]. Chromium is a common pollutant in Hackensack River sediments because Hudson County, NJ was a center for chromate and bichromate chemical manufacturing in the 20th century [49]. It was reported that sediments along the eastern shore of the Hackensack River near its confluence with the Passaic River and Upper Newark Bay contained total chromium ranging between 5 and 9190 mg/kg, while the arithmetic mean and median concentrations of total chromium were 499 and 188 mg/kg, respectively [50]. The previously reported heavy metal concentrations in sediment of the Newark Bay Estuary are comparable to the heavy metal concentration in the Hackensack and Passaic Rivers sediments analyzed by XRF in this study (Table 6).
Average concentrations of heavy metals in the bulk sediments from the Hackensack River (As: 12 ± 3 ppm, Cr: 195 ± 64 ppm, Cu: 126 ± 46 ppm, Pb: 96 ± 41 ppm, and Zn: 286 ± 104 ppm) and Passaic River (As: 11 ± 5 ppm, Cr: 137 ± 40 ppm, Cu: 137 ± 55 ppm, Pb: 155 ± 69 ppm, and Zn: 346 ± 182 ppm) are significantly higher than background metal concentrations for lithosphere (As: 1.5 ppm, Cr: 100 ppm, Cu: 70 ppm, Pb: 14 ppm, and Zn: 80 ppm) and soils (As: 5 ppm, Cr: 65 ppm, Cu: 18 ppm, Pb: 32 ppm, and Zn: 100 ppm) [51] by a factor of approximately 2–8. In contrast, concentrations of heavy metals in the sediments of the Hackensack and Passaic Rivers were similar or slightly higher than the average sediment metal concentrations in adjacent urban estuaries such as the lower Hudson River or the NY–NJ Harbor. Heavy metal concentrations in sediments collected over 100 km along the lower Hudson River during 1994–1996 ranged from 18 to 149 ppm for Cu, from 24 to 177 ppm for Pb, and from 101 to 257ppm for Zn [52]. Mean metal concentrations of sediments collected from six sub-basins (Newark Bay, Lower Harbor, Upper Harbor, Jamaica Bay, western Long Island Sound, and the Bight Apex) of the NY–NJ Harbor in 1993–1994 were 10 ± 2 ppm for As, 78 ± 10 ppm for Cr, 73 ± 17 ppm for Cu, 79 ± 13 ppm for Pb, 170 ± 26 ppm for Zn [53].
The XRF analyses for different grain sizes also showed that finer grains contained higher concentrations of heavy metals (Figure 6). Contaminants associated with fine-grained sediments have a potential to release into the aquatic system by diffusion and resuspension, causing hazardous effects to aquatic species [17,41,43,54]. Surficial sediment is more subject to daily tidal actions and occasional scouring during high river flows, and thus the river movements can cause the contaminated fine surface sediment to be resuspended and redeposited. Heavy metals bound to fine grained sediments may accumulate in turbidity maximum zones where suspended sediments settle down [55,56]. The fine grained sediments containing high levels of heavy metals and nutrients can be tidally transported from the Hackensack River or the Passaic River to the Newark Bay [11]. A large increase in Cd, Pb, and Hg in the Hackensack River was found to correspond generally to higher suspended sediment concentrations during the last stages of the ebb [57]. In addition, organic matter in sediments of the Newark Bay Estuary is largely associated with fine silt and clay grains (Figure 4). Therefore, fine grained surface sediments in the Newark Bay Estuary require special management during environmental cleanup (e.g., sediment dredging) or urban development and construction along the estuary to minimize the disturbance of fine grained sediments because the levels of heavy metals, organic matter, and nutrients in water and sediment of the urban estuary is likely to be significantly affected by the suspension and transport of fine sediment grains such as silt and clay.

4. Conclusions

The Newark Bay Estuary, one of the most urban estuaries in the nation, suffered unregulated industrial and municipal waste discharges due to intense industrialization and urbanization since the late 19th century. As a result, biological diversity and abundance of aquatic species within the estuary have been substantially reduced. Water and surficial sediment samples were collected along the Hackensack and Passaic Rivers as well as the Newark Bay during non-storm periods in summer 2015 and 2016. The Hackensack River was more brackish than the Passaic River due to reduced freshwater discharge below the Oradell Dam. While dissolved oxygen level was lower in the Hackensack River than in the Passaic River or the Newark Bay, concentrations of dissolved nutrients such as nitrate, ammonia, and phosphate were significantly higher in the Hackensack River than in the Passaic River or the Newark Bay. While water quality of the estuary varied to some extent during a tidal cycle, elevated levels of dissolved nutrients and low levels of dissolved oxygen in the Hackensack River were spatially associated with the BCUA’s sewage treatment plant over a tidal cycle. Laboratory measurements showed that sediment oxygen demand and mobilization of nutrients from sediments for a week increased with higher sediment organic matter content. The amount of nutrients mobilized from sediments was significantly higher for the Hackensack and Passaic Rivers than for the Newark Bay.
XRF analyses showed that average concentrations of heavy metals such as As, Cr, Cu, Pb, and Zn in bulk sediments (<2 mm grain size) from the Hackensack and Passaic Rivers were all above ERL (Effects Range–Low) but below ERM (Effects Range–Median). Heavy metals in sediments were positively correlated with each other, and were also associated with sediment organic matter. The concentrations of Cr, Cu, Pb, and Zn in the sediments were generally higher in the finer grain size fractions such as silt and clay. Higher content of sediment organic matter was also associated with finer grain sizes. The results suggest that surficial sediments in the urban estuary could act as both sink and source of nutrients and heavy metals. Fine grained sediments that are typically enriched with heavy metals and organics can be readily suspended and transported upstream and downstream during tidal cycles in the estuary, influencing the biogeochemical cycling of nutrients and heavy metals in coastal wetland ecosystems. It appears that the major sources of nutrients and heavy metals in water and sediment of the Newark Bay Estuary are currently the discharge of domestic wastes from sewage treatment plants (STPs) during non-storm periods as well as combined sewer overflows (CSOs) during storm events. Further research with more frequent and pervasive water and sediment quality monitoring over a complete tidal cycle during dry and wet periods is needed to improve the understanding of the biogeochemical cycling of nutrients and heavy metals in the urban estuary receiving sewage effluents from STPs and CSOs.

Acknowledgments

This work was supported by the National Science Foundation Louis Stokes Alliance for Minority Participation in Science (LSAMP) (grant NSF-0902132) as well as the Northern New Jersey Bridges to Baccalaureate (NNJ-B2B) (grant NSF-1410389). I would like to thank undergraduate research interns including Loraine Mendez, Luis Aguayo, Kaylee Saltos, Christina Rodriguez, and Felix Zamora for field and laboratory work. I would also like to thank Mark Zdziarski and Kaixuan Bu for field investigation and water analyses using ion chromatography.

Conflicts of Interest

The author declares no conflict of interest.

References

  1. Day, J.W.; Hall, C.A.S.; Kemp, W.M.; Yañez-Arancibia, A. Estuarine Ecology, 2nd ed.; John Wiley and Sons: New York, NY, USA, 2012. [Google Scholar]
  2. Mitsch, W.J.; Gosselink, J.G. Wetlands, 2nd ed.; Van Nostrand Reinhold: New York, NY, USA, 1993. [Google Scholar]
  3. Wiegner, T.N.; Seitzinger, S.P.; Breitburg, D.L.; Sanders, J.G. The effects of multiple stressors on the balance between autotrophic and heterotrophic processes in an estuarine system. Estuaries 2003, 26, 352–364. [Google Scholar] [CrossRef]
  4. US Army Corps of Engineers. Hudson-Raritan Estuary Comprehensive Restoration Plan-Version 1; US Army Corps of Engineers: New York, NY, USA, 2016. [Google Scholar]
  5. Crawford, D.W.; Bonnevie, N.L.; Gillis, C.A.; Wenning, R.J. Historical changes in the ecological health of the Newark Bay Estuary, New Jersey. Ecotoxicol. Environ. Saf. 1994, 29, 276–303. [Google Scholar] [CrossRef]
  6. Bienenfeld, A.L.; Golden, L.A.; Garland, J.E. Consumption of fish from polluted waters by WIC participants in East Harlem. J. Urban Health 2003, 80, 349–358. [Google Scholar] [CrossRef] [PubMed]
  7. Crawford, D.W.; Bonnevie, N.L.; Wenning, R.J. Sources of pollution and sediment contamination in Newark Bay, New Jersey. Ecotoxicol. Environ. Saf. 1995, 30, 85–100. [Google Scholar] [CrossRef] [PubMed]
  8. Ecology and Environment Inc. Lower Hackensack River Bergen and Hudson Counties New Jersey-Preliminary Assessment; Technical Direction Document Number: 15–03–0008; Ecology and Environment Inc.: Lancaster, NY, USA, 2015. [Google Scholar]
  9. Louis Berger Group. Remedial Investigation Report for the Focused Feasibility Study of the Lower Eight Miles of the Lower Passaic River; Louis Berger Group: Morristown, NJ, USA, 2014. [Google Scholar]
  10. Shear, N.M.; Schmidt, C.W.; Huntley, S.L.; Crawford, D.W.; Finley, B.L. Evaluation of the factors relating combined sewer overflows with sediment contamination of the lower Passaic River. Mar. Pollut. Bull. 1996, 32, 288–304. [Google Scholar] [CrossRef]
  11. US Fish and Wildlife Service. The Hackensack Meadowlands Initiative: Preliminary Conservation Planning for the Hackensack Meadowlands Hudson and Bergen Counties, New Jersey; US Fish and Wildlife Service: Falls Church, VA, USA, 2007.
  12. Shrestha, P.L.; Su, S.H.; James, S.C.; Shaller, P.J.; Doroudian, M.; Firstenberg, C.E.; Thompson, C.T. Conceptual Site Model for Newark Bay—Hydrodynamics and Sediment Transport. J. Mar. Sci. Eng. 2014, 2, 123–139. [Google Scholar] [CrossRef]
  13. DiLorenzo, J.L.; Filadelfo, R.J.; Surak, C.R.; Litwack, H.S.; Gunawardana, V.K.; Najarian, T.O. Tidal variability in the water quality of an urbanized estuary. Estuaries 2004, 27, 851–860. [Google Scholar] [CrossRef]
  14. Bonnevie, N.L.; Huntley, S.L.; Found, B.W.; Wenning, R.J. Trace metal contamination in surficial sediments from Newark Bay, New Jersey. Sci. Total Environ. 1994, 144, 1–16. [Google Scholar] [CrossRef]
  15. Lodge, J.; Landeck Miller, R.E.; Suszkowski, D.; Litten, S.; Douglas, S. Contaminant Assessment and Reduction Project Summary Report; Hudson River Foundation: New York, NY, USA, 2015. [Google Scholar]
  16. Squibb, K.S.; O’Connor, J.M.; Kneip, T.J. New York/New Jersey Harbor Estuary Program Module 3.1: Toxics Characterization Report; Institute of Environmental Medicine, New York University Medical Center: Tuxedo, NY, USA, 1991. [Google Scholar]
  17. Wenning, R.J.; Bonnevie, N.L.; Huntley, S.L. Accumulation of metals, polychlorinated-biphenyls, and polycyclic aromatic-hydrocarbons in sediments from the lower Passaic River, New Jesrey. Arch. Environ. Contam. Toxicol. 1994, 27, 64–81. [Google Scholar] [CrossRef]
  18. HDR-HydroQual. Summary of Progress on Completing a Dissolved Oxygen Management Plan/TMDL for the NY/NJ Harbor July 2010 to October 2012; HDR Inc.: Omaha, NE, USA, 2012. [Google Scholar]
  19. The New Jersey Harbor Dischargers Group. The New Jersey Harbor Dischargers Group 2010 Water Quality Report; Passaic Valley Sewerage Commission: Newark, NJ, USA, 2012. [Google Scholar]
  20. Shin, J.Y.; Artigas, F.; Hobble, C.; Lee, Y.S. Assessment of anthropogenic influences on surface water quality in urban estuary, northern New Jersey: Multivariate approach. Environ. Monit. Assess. 2013, 185, 2777–2794. [Google Scholar] [CrossRef] [PubMed]
  21. Howarth, R.W. Coastal nitrogen pollution: A review of sources and trends globally and regionally. Harmful Algae 2008, 8, 14–20. [Google Scholar] [CrossRef]
  22. Seitzinger, S.P.; Mayorga, E.; Bouwman, A.F.; Kroeze, C.; Beusen, A.H.W.; Billen, G.; Van Drecht, G.; Dumont, E.; Fekete, B.M.; Garnier, J.; et al. Global river nutrient export: A scenario analysis of past and future trends. Glob. Biogeochem. Cycles 2010, 24. [Google Scholar] [CrossRef]
  23. Van Drecht, G.; Bouwman, A.F.; Harrison, J.; Knoop, J.M. Global nitrogen and phosphate in urban wastewater for the period 1970 to 2050. Global Biogeochem. Cycles 2009, 23. [Google Scholar] [CrossRef]
  24. Alloway, B.J. Heavy Metals in Soils; Blackie and Son Ltd.: Glasgow, UK, 1995. [Google Scholar]
  25. Barbieri, M.; Sappa, G.; Vitale, S.; Parisse, B.; Battistel, M. Soil control of trace metals concentrations in landfills: A case study of the largest landfill in Europe, Malagrotta, Rome. J. Geochem. Explor. 2014, 143, 146–154. [Google Scholar] [CrossRef]
  26. D’Amore, J.J.; Al-Abed, S.R.; Scheckel, K.G.; Ryan, J.A. Methods for speciation of metals in soils: A review. J. Environ. Qual. 2005, 34, 1707–1745. [Google Scholar] [CrossRef] [PubMed]
  27. Jung, H.B.; Yun, S.T.; Mayer, B.; Kim, S.O.; Park, S.S.; Lee, P.K. Transport and sediment-water partitioning of trace metals in acid mine drainage: An example from the abandoned Kwangyang Au-Ag mine area, South Korea. Environ. Geol. 2005, 48, 437–449. [Google Scholar] [CrossRef]
  28. Jung, H.B.; Zamora, F.; Duzgoren-Aydin, N.S. Water Quality Monitoring of an Urban Estuary and a Coastal Aquifer Using Field Kits and Meters: A Community-Based Environmental Research Project. J. Chem. Educ. 2017, 94, 1512–1516. [Google Scholar] [CrossRef]
  29. Heiri, O.; Lotter, A.F.; Lemcke, G. Loss on ignition as a method for estimating organic and carbonate content in sediments: Reproducibility and comparability of results. J. Paleolimnol. 2001, 25, 101–110. [Google Scholar] [CrossRef]
  30. Kiviat, E.; MacDonald, K. Hackensack Meadowlands, New Jersey, Biodiversity: A Review and Synthesis; Hudsonia Ltd.: Annandale, NY, USA, 2002. [Google Scholar]
  31. Tiner, R.W.; Bergquist, H.C. The Hackensack River Watershed, New Jersey/New York Wetland Characterization, Preliminary Assessment of Wetland Functions, and Remotely-sensed Assessment of Natural Habitat Integrity; U.S. Fish and Wildlife Service, National Wetlands Inventory, Ecological Services: Hadley, MA, USA, 2007.
  32. DeGraeve, M. New York-New Jersey Harbor Estuary Program: New Jersey Toxics Reduction Work Plan Study I-G Project Report; Great Lakes Environmental Center: Traverse City, MI, USA, 2008. [Google Scholar]
  33. McCormick, J.M.; Hires, R.I.; Luther, G.W.; Cheng, S.L. Partial recovery of Newark Bay, NJ, following pollution-abatement. Mar. Pollut. Bull. 1983, 14, 188–197. [Google Scholar] [CrossRef]
  34. Steinberg, N.; Suskowski, D.J.; Clark, L.; Way, J. Health of the Harbor: The First Comprehensive Look at the State of the NY/NJ harbor Estuary. A report to the NY/NJ Harbor Estuary Program; Hudson River Foundation: New York, NY, USA, 2004; 82p. [Google Scholar]
  35. Miller, D.C.; Poucher, S.L.; Coiro, L. Determination of lethal dissolved oxygen levels for selected marine and estuarine fishes, crustaceans, and a bivalve. Mar. Biol. 2002, 140, 287–296. [Google Scholar]
  36. Miskewitz, R.; Uchrin, C. In-Stream Dissolved Oxygen Impacts and Sediment Oxygen Demand Resulting from Combined Sewer Overflow Discharges. J. Environ. Eng. 2013, 139, 1307–1313. [Google Scholar] [CrossRef]
  37. Sturm, C.; Dickerson, N. The State of Water Infrasturcture in New Jersey Cities and Why it Matters; New Jersey Future: Trenton, NJ, USA, 2014. [Google Scholar]
  38. HydroQual. Assessment of Pollutant Loadings to New York-New Jersey Harbor; U.S. Environmental Protection Agency: Washington, DC, USA, 1991.
  39. Geyer, W.R.; Signell, R.P. A reassessment of the role of tidal dispersion in estuaries and bays. Estuaries 1992, 15, 97–108. [Google Scholar] [CrossRef]
  40. MacPherson, T.A.; Cahoon, L.B.; Mallin, M.A. Water column oxygen demand and sediment oxygen flux: Patterns of oxygen depletion in tidal creeks. Hydrobiologia 2007, 586, 235–248. [Google Scholar] [CrossRef]
  41. Huntley, S.L.; Iannuzzi, T.J.; Avantaggio, J.D.; Carlson-Lynch, H.; Schmidt, C.W.; Finley, B.L. Combined sewer overflows (CSOs) as sources of sediment contamination in the lower Passaic River, New Jersey. 2. Polychlorinated dibenzo-p-dioxins, polychlorinated dibenzofurans, and polychlorinated biphenyls. Chemosphere 1997, 34, 233–250. [Google Scholar] [CrossRef]
  42. Iannuzzi, T.J.; Huntley, S.L.; Schmidt, C.W.; Finley, B.L.; McNutt, R.P.; Burton, S.J. Combined sewer overflows (CSOs) as sources of sediment contamination in the lower Passaic River, New Jersey. 1. Priority pollutants and inorganic chemicals. Chemosphere 1997, 34, 213–231. [Google Scholar] [CrossRef]
  43. Walker, W.J.; McNutt, R.P.; Maslanka, C.K. The potential contribution of urban runoff to surface sediments of the Passaic River: Sources and chemical characteristics. Chemosphere 1999, 38, 363–377. [Google Scholar] [CrossRef]
  44. Long, E.R.; Macdonald, D.D.; Smith, S.L.; Calder, F.D. Incidence of adverse biological effects within ranges of chemical concentrations in marine and esturine sediments. Environ. Manag. 1995, 19, 81–97. [Google Scholar] [CrossRef]
  45. Horowitz, A.J.; Elrick, K.A. The relation of stream sediment surface area, grain size and composition to trace element chemistry. Appl. Geochem. 1987, 2, 437–451. [Google Scholar] [CrossRef]
  46. Rice, K.C. Trace-element concentrations in streambed sediment across the conterminous United States. Environ. Sci. Technol. 1999, 33, 2499–2504. [Google Scholar] [CrossRef]
  47. Lin, J.G.; Chen, S.Y. The relationship between adsorption of heavy metal and organic matter in river sediments. Environ. Int. 1998, 24, 345–352. [Google Scholar] [CrossRef]
  48. Wallin, J.M.; Hattersley, M.D.; Ludwig, D.F.; Iannuzzi, T.J. Historical assessment of the impacts of chemical contaminants in sediments on benthic invertebrates in the Tidal Passaic River, New Jersey. Hum. Ecol. Risk Assess. 2002, 8, 1155–1176. [Google Scholar] [CrossRef]
  49. Stern, A.H.; Gochfeld, M.; Lioy, P.J. Two decades of exposure assessment studies on chromate production waste in Jersey City, New Jersey-what we have learned about exposure characterization and its value to public health and remediation. J. Expo. Sci. Environ. Epidemiol. 2013, 23, 2–12. [Google Scholar] [CrossRef] [PubMed]
  50. Martello, L.; Fuchsman, P.; Sorensen, M.; Magar, V.; Wenning, R.J. Chromium geochemistry and bioaccumulation in sediments from the lower Hackensack River, New Jersey. Arch. Environ. Contam. Toxicol. 2007, 53, 337–350. [Google Scholar] [CrossRef] [PubMed]
  51. Pais, I.; Benton Jones, J., Jr. The Handbook of Trace Elements; St. Lucie Press: Boca Raton, FL, USA, 1997. [Google Scholar]
  52. Feng, H.; Cochran, J.K.; Lwiza, H.; Brownawell, B.J.; Hirschberg, D.J. Distribution of heavy metal and PCB contaminants in the sediments of an urban estuary: The Hudson River. Mar. Environ. Res. 1998, 45, 69–88. [Google Scholar] [CrossRef]
  53. Adams, D.A.; O’Connor, J.S.; Weisberg, S.B. Sediment Quality of the NY/NJ Harbor System: An Investigation under the Regional Environmental Monitoring and Assessment Program (R-EMAP); U.S. Environmental Protection Agency—Region 2: Edison, NJ, USA, 1998.
  54. Fu, Q.S.; Barkovskii, A.L.; Adriaens, P. Dioxin cycling in aquatic sediments: The Passaic River Estuary. Chemosphere 2001, 43, 643–648. [Google Scholar] [CrossRef]
  55. Feng, H.; Cochran, J.K.; Hirschberg, D.J. Transport and sources of metal contaminants over the course of tidal cycle in the turbidity maximum zone of the Hudson River estuary. Water Res. 2002, 36, 733–743. [Google Scholar] [CrossRef]
  56. Williams, T.P.; Bubb, J.M.; Lester, J.N. Metal accumulation within salt-marsh environments—A review. Mar. Pollut. Bull. 1994, 28, 277–290. [Google Scholar] [CrossRef]
  57. Miskewitz, R.; Su, T.L.; Hires, R.I.; Dimou, K.; Korfiatis, G.P. Tidal variations of heavy metal concentrations in the Hackensack River, New Jersey, USA. J. Mar. Environ. Eng. 2005, 7, 241–248. [Google Scholar]
Figure 1. Sampling locations of water and sediment samples from the Newark Bay Estuary (NB: Newark Bay; HR: Hackensack River; and PR: Passaic River) in summer 2015 and 2016, as well as locations of combined sewer overflows (CSOs) outfalls (small blue circles) and sewage treatment plants (STPs; large yellow circles). Note that sediment samples were collected not from all locations (see Table 4 and Table 5 for sampling locations for sediments).
Figure 1. Sampling locations of water and sediment samples from the Newark Bay Estuary (NB: Newark Bay; HR: Hackensack River; and PR: Passaic River) in summer 2015 and 2016, as well as locations of combined sewer overflows (CSOs) outfalls (small blue circles) and sewage treatment plants (STPs; large yellow circles). Note that sediment samples were collected not from all locations (see Table 4 and Table 5 for sampling locations for sediments).
Geosciences 07 00108 g001
Figure 2. Variations of water quality data (pH, EC, DO, and nutrients) in summer 2016 for the Newark Bay Estuary (Hackensack River, Passaic River, and Newark Bay) as a function of the distance from the mouth of Newark Bay (NB-6).
Figure 2. Variations of water quality data (pH, EC, DO, and nutrients) in summer 2016 for the Newark Bay Estuary (Hackensack River, Passaic River, and Newark Bay) as a function of the distance from the mouth of Newark Bay (NB-6).
Geosciences 07 00108 g002
Figure 3. Correlation between the distance from the Bergen County Utilities Authority (BCUA)’s wastewater treatment plant and dissolved nutrients and oxygen in water samples (n = 20; Table 1 and Table 3) collected from the Hackensack River in summer 2016.
Figure 3. Correlation between the distance from the Bergen County Utilities Authority (BCUA)’s wastewater treatment plant and dissolved nutrients and oxygen in water samples (n = 20; Table 1 and Table 3) collected from the Hackensack River in summer 2016.
Geosciences 07 00108 g003
Figure 4. Correlation between sediment organic matter content (Loss on Ignition %) and the proportion of silt and clay fractions for sediments collected from the Hackensack River, the Passaic River, and the Newark Bay in summer: 2015 (A); and 2016 (B).
Figure 4. Correlation between sediment organic matter content (Loss on Ignition %) and the proportion of silt and clay fractions for sediments collected from the Hackensack River, the Passaic River, and the Newark Bay in summer: 2015 (A); and 2016 (B).
Geosciences 07 00108 g004
Figure 5. Correlation between organic matter content (Loss on Ignition %) and dissolved oxygen consumption as well as concentrations of mobilized nutrients in sediments collected from the Hackensack and Passaic Rivers as well as the Newark Bay in summer 2016.
Figure 5. Correlation between organic matter content (Loss on Ignition %) and dissolved oxygen consumption as well as concentrations of mobilized nutrients in sediments collected from the Hackensack and Passaic Rivers as well as the Newark Bay in summer 2016.
Geosciences 07 00108 g005
Figure 6. Average concentrations of heavy metals in sediments collected from the Hackensack (n = 8) and Passaic (n = 7) Rivers in summer 2015 as a function of sediment grain sizes (<2 mm grain sizes).
Figure 6. Average concentrations of heavy metals in sediments collected from the Hackensack (n = 8) and Passaic (n = 7) Rivers in summer 2015 as a function of sediment grain sizes (<2 mm grain sizes).
Geosciences 07 00108 g006
Figure 7. Correlations of heavy metals in sediments (bulk concentration for <2 mm grain size) collected from the Hackensack and Passaic Rivers in summer 2015.
Figure 7. Correlations of heavy metals in sediments (bulk concentration for <2 mm grain size) collected from the Hackensack and Passaic Rivers in summer 2015.
Geosciences 07 00108 g007
Figure 8. Correlations between LOI % (Loss on Ignition %; sediment organic matter content) and concentrations of heavy metals in sediments (<2 mm grain size) collected from the Hackensack and Passaic Rivers in summer 2015.
Figure 8. Correlations between LOI % (Loss on Ignition %; sediment organic matter content) and concentrations of heavy metals in sediments (<2 mm grain size) collected from the Hackensack and Passaic Rivers in summer 2015.
Geosciences 07 00108 g008
Table 1. Water quality data for samples collected from the Hackensack River (HR), the Passaic River (PR), and the Newark Bay (NB) in summer 2016. Distance (km) indicates the distance from NB-6 located near the mouth of the Newark Bay. Water level data (tidal datum: mean lower low water) at Bergen Point West Reach, NY, are from National Oceanic and Atmospheric Administration (https://tidesandcurrents.noaa.gov).
Table 1. Water quality data for samples collected from the Hackensack River (HR), the Passaic River (PR), and the Newark Bay (NB) in summer 2016. Distance (km) indicates the distance from NB-6 located near the mouth of the Newark Bay. Water level data (tidal datum: mean lower low water) at Bergen Point West Reach, NY, are from National Oceanic and Atmospheric Administration (https://tidesandcurrents.noaa.gov).
Sample IDLATLONGDistance
(km)
pHEC
(mS/cm)
DO
(mg/L)
Nitrate
(mg/L)
Ammonia
(mg/L)
Phosphate
(mg/L)
Water Level
(m)
HR-140.72774.0968.87.9127.2079.70.240.671.92
HR-240.76374.08815.67.7924.00512.40.390.731.86
HR-340.79274.07319.67.7913.81514.21.801.301.62
HR-440.80674.04422.87.6817.85313.30.901.181.37
HR-4-140.80574.04322.97.6716.24313.30.750.931.34
HR-540.84774.03222.97.819.72312.42.831.361.08
HR-640.85674.03128.17.788.33414.22.761.200.93
HR-740.87674.03629.27.765.60414.22.761.010.74
HR-840.88574.03532.57.744.30511.51.410.780.60
HR-940.90774.02633.68.071.2368.00.150.430.45
Min 7.671.2338.00.150.43
Max 8.0727.20714.22.831.36
AVG 7.8012.83512.31.400.96
PR-140.73374.15112.96.748.1546.5<0.020.860.37
PR-240.74674.16515.07.213.3657.70.030.870.49
PR-340.76474.15917.17.571.28510.00.040.720.66
PR-440.78674.14719.87.640.64710.0<0.020.570.78
PR-540.79474.14120.87.610.6259.4<0.020.670.85
PR-640.80274.13821.77.620.6078.3<0.020.610.94
PR-740.81874.13523.77.650.6289.4<0.020.891.18
PR-840.83074.12125.87.730.6399.4<0.020.831.27
PR-940.85274.11928.37.800.62810.60.040.991.40
PR-1040.85774.10730.67.860.6598.3<0.020.851.48
Min 6.740.6046.50.030.57
Max 7.868.15910.60.040.99
AVG 7.541.7279.00.020.79
NB-140.71274.1047.07.6629.7510.60.040.461.31
NB-240.68974.1124.37.7335.789.70.100.391.14
NB-340.67974.1173.27.7835.269.70.060.290.99
NB-440.67274.1242.27.8335.8711.5<0.020.350.74
NB-540.66274.1320.97.9636.088.90.050.20.66
NB-640.65674.1390.08.0435.958.90.030.280.55
Min 7.6629.758.90.030.20
Max 8.0436.0811.50.100.46
AVG 7.8334.779.90.050.33
Table 2. Concentrations of chloride and sulfate in water samples collected from the Hackensack River, the Passaic River, and the Newark Bay in summer 2015. Distance (km) indicates the distance from NB-6 located near the mouth of the Newark Bay. Water level data (tidal datum: mean lower low water) at Bergen Point West Reach, NY, are from National Oceanic and Atmospheric Administration (https://tidesandcurrents.noaa.gov).
Table 2. Concentrations of chloride and sulfate in water samples collected from the Hackensack River, the Passaic River, and the Newark Bay in summer 2015. Distance (km) indicates the distance from NB-6 located near the mouth of the Newark Bay. Water level data (tidal datum: mean lower low water) at Bergen Point West Reach, NY, are from National Oceanic and Atmospheric Administration (https://tidesandcurrents.noaa.gov).
Water BodySample IDLATLONGDistanceChlorideSulfateWater Level
(km)mg/Lm
HR-140.727374.09638.8767410140.33
HR-240.762574.088115.638685310.41
HackensackHR-440.806574.043622.826663170.95
RiverHR-540.857274.031928.110141171.27
HR-640.876674.036129.2605691.44
HR-740.885374.034732.5554601.49
HR-840.906774.025733.6276291.54
PR-140.734274.145312.9402560.13
PR-240.746274.165215.0157280.05
PR-340.764074.158817.1161240.06
PassaicPR-440.783974.147819.8141230.12
RiverPR-540.793574.141220.8140230.29
PR-640.801774.138121.7132210.40
PR-740.813474.137723.7123220.58
PR-840.830374.120525.8124220.83
PR-940.856574.106728.386171.10
NewarkNB-140.678974.11673.2946012741.64
BayNB-240.662474.13230.9989812681.70
NB-340.654374.13980.010,26113291.73
Table 3. Water quality data for the Hackensack River, the Passaic River, and the Newark Bay collected during a tidal cycle (no shade: high water level, gray shade: low water level) in summer 2016. Distance (km) indicates the distance from NB-6 located near the mouth of the Newark Bay. Water level data (tidal datum: mean lower low water) at Bergen Point West Reach, NY, are from National Oceanic and Atmospheric Administration (https://tidesandcurrents.noaa.gov).
Table 3. Water quality data for the Hackensack River, the Passaic River, and the Newark Bay collected during a tidal cycle (no shade: high water level, gray shade: low water level) in summer 2016. Distance (km) indicates the distance from NB-6 located near the mouth of the Newark Bay. Water level data (tidal datum: mean lower low water) at Bergen Point West Reach, NY, are from National Oceanic and Atmospheric Administration (https://tidesandcurrents.noaa.gov).
Water BodySample IDDistance
(km)
pHEC
(mS/cm)
DO
(mg/L)
Nitrate
(mg/L)
Ammonia
(mg/L)
Phosphate
(mg/L)
Water Level
(m)
HR-215.66.7626.70511.50.050.651.58
HR-422.87.3015.20422.11.541.531.55
HR-522.97.3910.853.517.73.731.661.44
HR-628.17.5010.133.516.84.241.761.25
HackensackHR-729.27.638.302.518.63.991.681.17
RiverHR-2-115.67.3225.404.515.10.140.700.89
HR-4-122.87.5615.30319.51.541.380.67
HR-5-122.97.6911.24817.73.341.240.56
HR-6-128.17.768.64418.64.241.170.48
HR-7-129.27.785.75514.21.800.990.40
PR-112.97.0018.6947.70.030.680.67
PR-215.07.3510.9155.9<0.020.740.58
PassaicPR-317.17.595.9267.70.030.590.48
RiverPR-1-112.97.5511.1256.5<0.020.750.17
PR-2-115.07.795.7467.7<0.020.880.15
PR-3-117.18.012.0298.3<0.020.680.12
NB-17.07.6629.7510.60.040.461.31
NB-24.37.7335.789.70.100.391.14
NewarkNB-33.27.7835.269.70.060.290.99
BayNB-1-17.08.0035.968.90.040.300.21
NB-2-14.37.9935.569.7<0.020.480.34
NB-3-13.27.9635.999.7<0.020.240.42
Table 4. Grain size distribution (wt %) for sediments (<2 mm grain size) collected from the Hackensack River (HR) and the Passaic River (PR) in summer 2015. Distance (km) indicates the distance from NB-6 located near the mouth of the Newark Bay.
Table 4. Grain size distribution (wt %) for sediments (<2 mm grain size) collected from the Hackensack River (HR) and the Passaic River (PR) in summer 2015. Distance (km) indicates the distance from NB-6 located near the mouth of the Newark Bay.
Sample IDDistanceCoarse SandMedium SandFine SandSilt + Clay
km1–2 mm0.5–1 mm0.25–0.5 mm125–250 μm63–125 μm<63 μm
HR-19139601611
HR-2151713331999
HR-320211515161121
HR-423171617141323
HR-529271916111215
HR-632251915111318
HR-73317192418912
HR-836201819181115
AVG 181518211215
PR-113141915111131
PR-215221912101126
PR-3183225178513
PR-420121715131132
PR-6211318361977
PR-722162933948
PR-8241222322275
AVG 17212313817
Table 5. Grain size distribution (wt %) for sediments (<2 mm grain size) collected from the Hackensack River (HR), the Passaic River (PR), and the Newark Bay (NB) in summer 2016. Distance (km) indicates the distance from NB-6 located near the mouth of the Newark Bay.
Table 5. Grain size distribution (wt %) for sediments (<2 mm grain size) collected from the Hackensack River (HR), the Passaic River (PR), and the Newark Bay (NB) in summer 2016. Distance (km) indicates the distance from NB-6 located near the mouth of the Newark Bay.
Sample IDDistanceCoarse SandMedium SandFine SandSilt + Clay
km1–2 mm0.5–1 mm0.25–0.5 mm125–250 μm63–125 μm<63 μm
HR-19416382995
HR-216363117845
HR-423283224845
HR-5281223322184
HR-6293823149510
HR-834352616959
HR-936452613735
AVG 2825221356
PR-1132826221267
PR-3172530231057
PR-5212329271354
PR-62224211916911
PR-7245102337187
PR-8268173124119
AVG 21222218107
NB-17811263998
NB-242632301300
NB-33153543600
NB-42223239600
NB-5151966911
NB-6010182129166
AVG 1424381743
Table 6. Average concentrations (mg/kg) of heavy metals in bulk sediments (<2 mm grain size) and different size fractions of sediments collected from the Hackensack (n = 8) and Passaic (n = 7) Rivers in summer 2015. ERL and ERM (the effects range-low and effects range-median, respectively) are sediment quality guidelines (mg/kg).
Table 6. Average concentrations (mg/kg) of heavy metals in bulk sediments (<2 mm grain size) and different size fractions of sediments collected from the Hackensack (n = 8) and Passaic (n = 7) Rivers in summer 2015. ERL and ERM (the effects range-low and effects range-median, respectively) are sediment quality guidelines (mg/kg).
ElementRiverSediment Grain SizeBulk <2 mmERLERM
1–2 mm0.5–1 mm0.25–0.5 mm125–250 μm63–125 μm<63 μm
AsHackensack13141212141412870
Passaic1411121010611
CrHackensack18318220120221423119581370
Passaic130121120151181173137
CuHackensack12713212411814614612634270
Passaic114120141160191185137
FeHackensack47605416903825837914388103874339467
Passaic34940312982924935083443633984932433
MnHackensack729817779901773703756
Passaic579504508600754725555
PbHackensack929993901231259647218
Passaic126121122163272333155
ZnHackensack284312292273314318286150410
Passaic315312304364474485346

Share and Cite

MDPI and ACS Style

Jung, H.B. Nutrients and Heavy Metals Contamination in an Urban Estuary of Northern New Jersey. Geosciences 2017, 7, 108. https://doi.org/10.3390/geosciences7040108

AMA Style

Jung HB. Nutrients and Heavy Metals Contamination in an Urban Estuary of Northern New Jersey. Geosciences. 2017; 7(4):108. https://doi.org/10.3390/geosciences7040108

Chicago/Turabian Style

Jung, Hun Bok. 2017. "Nutrients and Heavy Metals Contamination in an Urban Estuary of Northern New Jersey" Geosciences 7, no. 4: 108. https://doi.org/10.3390/geosciences7040108

APA Style

Jung, H. B. (2017). Nutrients and Heavy Metals Contamination in an Urban Estuary of Northern New Jersey. Geosciences, 7(4), 108. https://doi.org/10.3390/geosciences7040108

Note that from the first issue of 2016, this journal uses article numbers instead of page numbers. See further details here.

Article Metrics

Back to TopTop