Drought Occurrences and Their Characteristics across Selected Spatial Scales in the Contiguous United States
Abstract
:1. Introduction
2. Study Area and Data
3. Methods
3.1. Occurrences of Drought in the Contiguous U.S.
3.2. Drought Characteristics across Spatial Scales in the U.S.
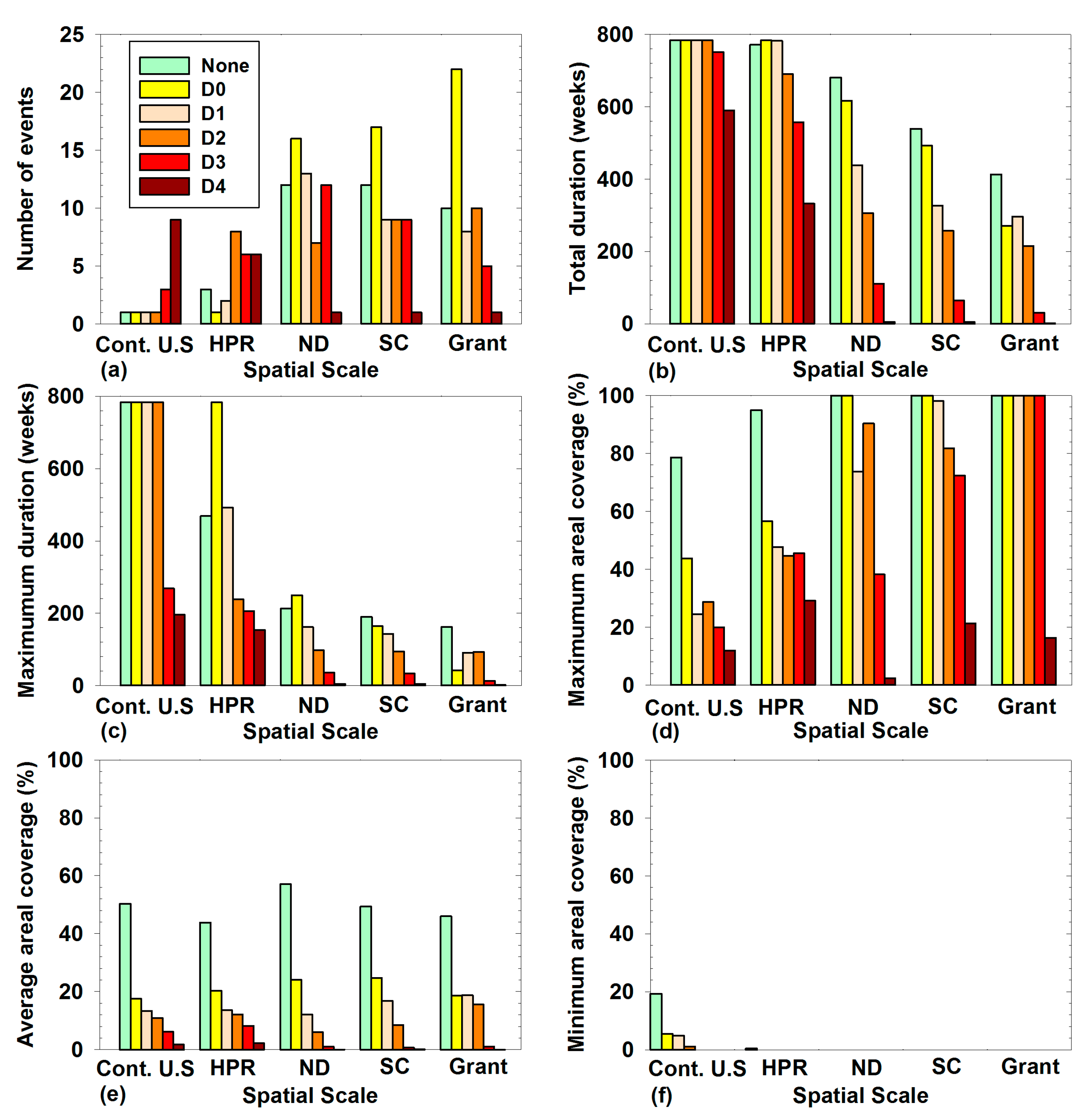
3.2.1. Number of Events
3.2.2. Total Duration
3.2.3. Maximum Duration
3.2.4. Minimum, Maximum, and Average Percentage Area Coverage
4. Results
4.1. Drought Occurrences in the Contiguous U.S.
4.2. Spatial Propagation of Drought Intensity Categories across Spatial Scales in the U.S.
4.3. Characteristics of Droughts across Spatial Scales in the U.S.
5. Conclusions and Discussion
Acknowledgments
Author Contributions
Conflicts of Interest
References
- Dracup, J.A.; Lee, K.S.; Paulson, E.G. On the definition of droughts. Water Resour. Res. 1980, 16, 297–302. [Google Scholar] [CrossRef]
- Tallaksen, L.M.; Madsen, H.; Clausen, B. On the definition and modelling of streamflow drought duration and deficit volume. Hydrol. Sci. J. 1997, 42, 15–33. [Google Scholar] [CrossRef]
- Hisdal, H.; Tallaksen, L.M. Drought Event Definition. In ARIDE Technical Report 2000; University of Oslo: Oslo, Norway, December 2000. [Google Scholar]
- Mc Kee, T.B.; Doeskin, N.J.; Kleist, J. The Relationship of Drought Frequency and Duration to Time Scales. In Proceedings of the 8th Conference on Applied Climatology, Anaheim, CA, USA, 17–22 January 1993; pp. 179–184. [Google Scholar]
- Gillette, H.P. A creeping drought under way. Water Sew. Works 1950, 104, e105. [Google Scholar]
- Wilhite, D.A.; Sivakumar, M.V.K.; Pulwarty, R. Managing drought risk in a changing climate: The role of national drought policy. Weather Clim. Extrem. 2014, 3, 4–13. [Google Scholar] [CrossRef]
- Steinemann, A.C.; Hayes, M.; Cavalcanti, L. Drought indicators and triggers. In Drought and Water Crises: Science, Technology, and Management Issues; Wilhite, D., Ed.; CRC Press–Taylor & Francis group: Boca Raton, FL, USA, 2005; pp. 71–92. [Google Scholar]
- Sawada, Y.; Koike, T.; Jaranilla-Sanchez, P.A. Modeling hydrologic and ecologic responses using a new eco-hydrological model for identification of droughts. Water Resour. Res. 2014, 50, 6214–6235. [Google Scholar] [CrossRef]
- Palmer, W.C. Meteorological Drought; Research Paper No. 45; US Department of Commerce, Weather Bureau: Washington, DC, USA, 1965; p. 58.
- Mc Kee, T.B.; Doeskin, N.J.; Kleist, J. Drought Monitoring with Multiple Time Scales. In Proceedings of the 9th Conference on Applied Climatology, Dallas, TX, USA, 15–20 January 1995; pp. 233–236. [Google Scholar]
- Palmer, W.C. Keeping track of crop moisture conditions, nationwide: The new crop moisture index. Weatherwise 1968, 21, 156–161. [Google Scholar] [CrossRef]
- Shafer, B.; Dezman, L. Development of a Surface Water Supply Index (SWSI) to assess the severity of drought conditions in snowpack runoff areas. In Proceedings of the 50th Western Snow Conference, Reno, NV, USA, 19–23 April 1982; pp. 164–175. [Google Scholar]
- Guttman, N.B. Comparing the palmer drought index and the standardized precipitation index. J. Am. Water Resour. Assoc. 1998, 34, 113–121. [Google Scholar] [CrossRef]
- Heim, R.R. A review of twentieth-century drought indices used in the united states. Bull. Am. Meteorol. Soc. 2002, 83, 1149–1165. [Google Scholar]
- Keyantash, J.; Dracup, J.A. The quantification of drought: An evaluation of drought indices. Bull. Am. Meteorol. Soc. 2002, 83, 1167–1180. [Google Scholar] [CrossRef]
- Narasimhan, B.; Srinivasan, R. Development and evaluation of Soil Moisture Deficit Index (SMDI) and Evapotranspiration Deficit Index (ETDI) for agricultural drought monitoring. Agric. For. Meteorol. 2005, 133, 69–88. [Google Scholar] [CrossRef]
- Mishra, A.K.; Singh, V.P. A review of drought concepts. J. Hydrol. 2010, 391, 204–216. [Google Scholar] [CrossRef]
- Dai, A. Drought under global warming: A review. Wiley Interdiscip. Rev. Clim. Change 2011, 2, 45–65. [Google Scholar] [CrossRef]
- Qin, Y.; Yang, D.; Lei, H.; Xu, K.; Xu, X. Comparative analysis of drought based on precipitation and soil moisture indices in haihe basin of North China during the period of 1960–2010. J. Hydrol. 2015, 526, 55–67. [Google Scholar] [CrossRef]
- Hayes, M.; Svoboda, M.; Wall, N.; Widhalm, M. The Lincoln declaration on drought indices. Bull. Am. Meteorol. Soc. 2011, 92, 485–488. [Google Scholar] [CrossRef]
- Kallis, G. Droughts. Annu. Rev. Environ. Resour. 2008, 33, 85–118. [Google Scholar] [CrossRef]
- Svoboda, M.; LeComte, D.; Hayes, M.; Heim, R.; Gleason, K.; Angel, J.; Rippey, B.; Tinker, R.; Palecki, M.; Stooksbury, D.; et al. The drought monitor. Bull. Am. Meteorol. Soc. 2002, 83, 1181–1190. [Google Scholar]
- Kao, S.C.; Govindaraju, R.S.; Niyogi, D. A spatio-temporal drought analysis for the Midwestern US. In Proceedings of the World Environmental and Water Resources Congress, Kansas City, MO, USA, 17–21 May 2009; pp. 4654–4663. [Google Scholar]
- Hao, Z.; AghaKouchak, A. Multivariate standardized drought index: A parametric multi-index model. Adv. Water Resour. 2013, 57, 12–18. [Google Scholar] [CrossRef]
- Wood, A.W. The University of Washington Surface Water Monitor: An experimental platform for national hydrologic assessment and prediction. In Proceedings of the 22nd conference on hydrology American Meteorology Society annual meeting, New Orleans, LA, USA, 20–24 January 2008. [Google Scholar]
- Lyon, B.; Bell, M.A.; Tippett, M.K.; Kumar, A.; Hoerling, M.P.; Quan, X.W.; Wang, H. Baseline probabilities for the seasonal prediction of meteorological drought. J. Appl. Meteorol. Climatol. 2012, 51, 1222–1237. [Google Scholar] [CrossRef]
- Quan, X.W.; Hoerling, M.P.; Lyon, B.; Kumar, A.; Bell, M.A.; Tippett, M.K.; Wang, H. Prospects for dynamical prediction of meteorological drought. J. Appl. Meteorol. Climatol. 2012, 51, 1238–1252. [Google Scholar] [CrossRef]
- Hao, Z.; AghaKouchak, A.; Nakhjiri, N.; Farahmand, A. Global integrated drought monitoring and prediction system. Sci. Data 2014, 1, 140001. [Google Scholar] [CrossRef] [PubMed]
- Abatzoglou, J.T. Development of gridded surface meteorological data for ecological applications and modelling. Int. J. Climatol. 2013, 33, 121–131. [Google Scholar] [CrossRef]
- Lott, N.; Ross, T. Tracking and Evaluating US Billion Dollar Weather Disaster 1985–2005. Available online: http://www1.ncdc.noaa.gov/pub/data/papers/200686ams1.2nlfree.pdf (accessed on 20 March 2017).
- Cook, E.R.; Seager, R.; Cane, M.A.; Stahle, D.W. North American drought: Reconstructions, causes, and consequences. Earth-Sci. Rev. 2007, 81, 93–134. [Google Scholar] [CrossRef]
- Smith, A.B.; Katz, R.W. US billion-dollar weather and climate disasters: Data sources, trends, accuracy and biases. Nat. Hazards 2013, 67, 387–410. [Google Scholar] [CrossRef]
- Cook, B.I.; Ault, T.R.; Smerdon, J.E. Unprecedented 21st century drought risk in the American southwest and central plains. Sci. Adv. 2015, 1, e1400082. [Google Scholar] [CrossRef] [PubMed]
- Karl, T.R. Some spatial characteristics of drought duration in the United States. J. Clim. Appl. Meteorol. 1983, 22, 1356–1366. [Google Scholar] [CrossRef]
- Leelaruban, N.; Oduor, P.G.; Akyuz, A.; Shaik, S.; Padmanabhan, G. Leveraging a spatio–temporal drought severity and coverage index with crop yield modelled as a stochastic process. Int. J. Hydrol. Sci. Technol. 2012, 2, 219–236. [Google Scholar] [CrossRef]
- Vicente-Serrano, S. Differences in spatial patterns of drought on different time scales: An analysis of the Iberian Peninsula. Water Resour. Manag. 2006, 20, 37–60. [Google Scholar] [CrossRef]
- Logan, K.E.; Brunsell, N.A.; Jones, A.R.; Feddema, J.J. Assessing spatiotemporal variability of drought in the US central plains. J. Arid Environ. 2010, 74, 247–255. [Google Scholar] [CrossRef]
- Gocic, M.; Trajkovic, S. Spatiotemporal characteristics of drought in Serbia. J. Hydrol. 2014, 510, 110–123. [Google Scholar] [CrossRef]
- Mishra, A.K.; Singh, V.P. Drought modeling—A review. J. Hydrol. 2011, 403, 157–175. [Google Scholar] [CrossRef]
- Russo, A.C.; Gouveia, C.M.; Trigo, R.M.; Liberato, M.L.; DaCamara, C.C. The influence of circulation weather patterns at different spatial scales on drought variability in the Iberian Peninsula. Front. Environ. Sci. 2015, 3. [Google Scholar] [CrossRef]
- Wang, Q.; Wu, J.; Lei, T.; He, B.; Wu, Z.; Liu, M.; Mo, X.; Geng, G.; Li, X.; Zhou, H.; Liu, D. Temporal-spatial characteristics of severe drought events and their impact on agriculture on a global scale. Quat. Int. 2014, 349, 10–21. [Google Scholar] [CrossRef]
- Panu, U.S.; Sharma, T.C. Challenges in drought research: Some perspectives and future directions. Hydrol. Sci. J. 2002, 47, S19–S30. [Google Scholar] [CrossRef]
- Demuth, S.; Stahl, K. ARIDE—Assessment of the Regional Impact of Droughts in Europe; Final Report 2001; Institute of Hydrology, University of Freiburg: Freiburg, Germany, 2001. [Google Scholar]
- Hayes, M.J.; Svoboda, M.; Le Comte, D.; Redmond, K.T.; Pasteris, P. Drought monitoring: New tools for the 21st century. In Drought and Water Crises: Science, Technology, and Management Issues; Wilhite, D., Ed.; CRC Press-Taylor & Francis group: Boca Raton, FL, USA, 2005; pp. 53–69. [Google Scholar]
- Svoboda, M.D.; Fuchs, B.A.; Poulsen, C.C.; Nothwehr, J.R. The drought risk atlas: Enhancing decision support for drought risk management in the United States. J. Hydrol. 2015, 526, 274–286. [Google Scholar] [CrossRef]
- The U.S. Drought Monitor. Available online: http://droughtmonitor.unl.edu/ (accessed on 16 July 2017).






| Year | Drought Intensity Categories | ||||
|---|---|---|---|---|---|
| D4 | D3 | D2 | D1 | D0 | |
| 2000 | 6.2 | 17.8 | 43.7 | 70.8 | 90.1 |
| 2001 | 0.8 | 16.6 | 41.0 | 63.2 | 91.2 |
| 2002 | 12.3 | 38.3 | 58.7 | 77.5 | 90.1 |
| 2003 | 7.4 | 34.5 | 53.5 | 58.4 | 63.0 |
| 2004 | 5.4 | 23.0 | 36.4 | 46.1 | 63.0 |
| 2005 | 2.4 | 14.5 | 37.6 | 64.0 | 90.3 |
| 2006 | 5.6 | 27.7 | 49.0 | 68.4 | 82.8 |
| 2007 | 6.2 | 24.1 | 50.8 | 70.5 | 89.0 |
| 2008 | 4.2 | 12.5 | 36.5 | 60.4 | 80.9 |
| 2009 | 2.2 | 5.7 | 20.1 | 47.5 | 78.1 |
| 2010 | 0.0 | 4.4 | 22.5 | 54.1 | 86.6 |
| 2011 | 16.1 | 24.3 | 33.9 | 47.6 | 70.3 |
| 2012 | 16.9 | 42.6 | 67.5 | 81.6 | 83.9 |
| 2013 | 11.7 | 33.5 | 58.5 | 66.6 | 72.0 |
| 2014 | 7.3 | 19.0 | 31.8 | 42.8 | 62.6 |
© 2017 by the authors. Licensee MDPI, Basel, Switzerland. This article is an open access article distributed under the terms and conditions of the Creative Commons Attribution (CC BY) license (http://creativecommons.org/licenses/by/4.0/).
Share and Cite
Leelaruban, N.; Padmanabhan, G. Drought Occurrences and Their Characteristics across Selected Spatial Scales in the Contiguous United States. Geosciences 2017, 7, 59. https://doi.org/10.3390/geosciences7030059
Leelaruban N, Padmanabhan G. Drought Occurrences and Their Characteristics across Selected Spatial Scales in the Contiguous United States. Geosciences. 2017; 7(3):59. https://doi.org/10.3390/geosciences7030059
Chicago/Turabian StyleLeelaruban, Navaratnam, and G. Padmanabhan. 2017. "Drought Occurrences and Their Characteristics across Selected Spatial Scales in the Contiguous United States" Geosciences 7, no. 3: 59. https://doi.org/10.3390/geosciences7030059
APA StyleLeelaruban, N., & Padmanabhan, G. (2017). Drought Occurrences and Their Characteristics across Selected Spatial Scales in the Contiguous United States. Geosciences, 7(3), 59. https://doi.org/10.3390/geosciences7030059
