Petrologic and Minerochemical Trends of Acapulcoites, Winonaites and Lodranites: New Evidence from Image Analysis and EMPA Investigations †
Abstract
:1. Introduction
2. Materials and Methods
| Element | Mineral Phases |
|---|---|
| Si | Silicates |
| S | Sulfides |
| Fe | Fe/Ni alloys and secondary oxides |
| Al | Plagioclase |
| Ca | Apatite and clinopyroxene |
| P | Apatite |
| Mg | Olivine and orthopyroxene |
| Meteorite Name | Thin Section Label | Classification | Institution |
|---|---|---|---|
| Allan Hills 81187 | ALH 81187 | acapulcoite | JSC-ARES |
| Allan Hills 81261 | ALH 81261 | acapulcoite | JSC-ARES |
| Allan Hills 77081 | ALHA77081-11-8 | acapulcoite | JSC-ARES |
| Asuka 881902 | A881902-141-3 | acapulcoite | AMRC-NIPR |
| Dhofar 290 | DHO 290 | acapulcoite | Vernad |
| Graves Nunataks 98028 | GRA 98028 | acapulcoite | JSC |
| Northwest Africa 1052 | MSP 2377 | acapulcoite | MSP |
| Northwest Africa 1054 | MSP 2378 | acapulcoite | MSP |
| Northwest Africa 3008 | NWA 3008 | acapulcoite | Hamb |
| Northwest Africa 1058 | MSP 2264 | winonaite | MSP |
| Northwest Africa 1463 | UCLA NWA 1463 | winonaite | UCLA |
| Pontlyfni | BM1975, M6 P6851 | winonaite | NHM |
| Queen Alexandra Range 94535 | QUE 94535 | winonaite | JSC-ARES |
| Yamato 74025 | Y74025-52-1 | winonaite | AMRC-NIPR |
| Yamato 74063 | Y74063-52-4 | acapulcoite | AMRC-NIPR |
| Yamato 74357 | Y74357-62-1 | lodranite | AMRC-NIPR |
| Yamato 791491 | Y791491-51-1 | lodranite | AMRC-NIPR |
| Yamato 8005 | Y8005-51-3 | winonaite | AMRC-NIPR |

3. Results and Discussion
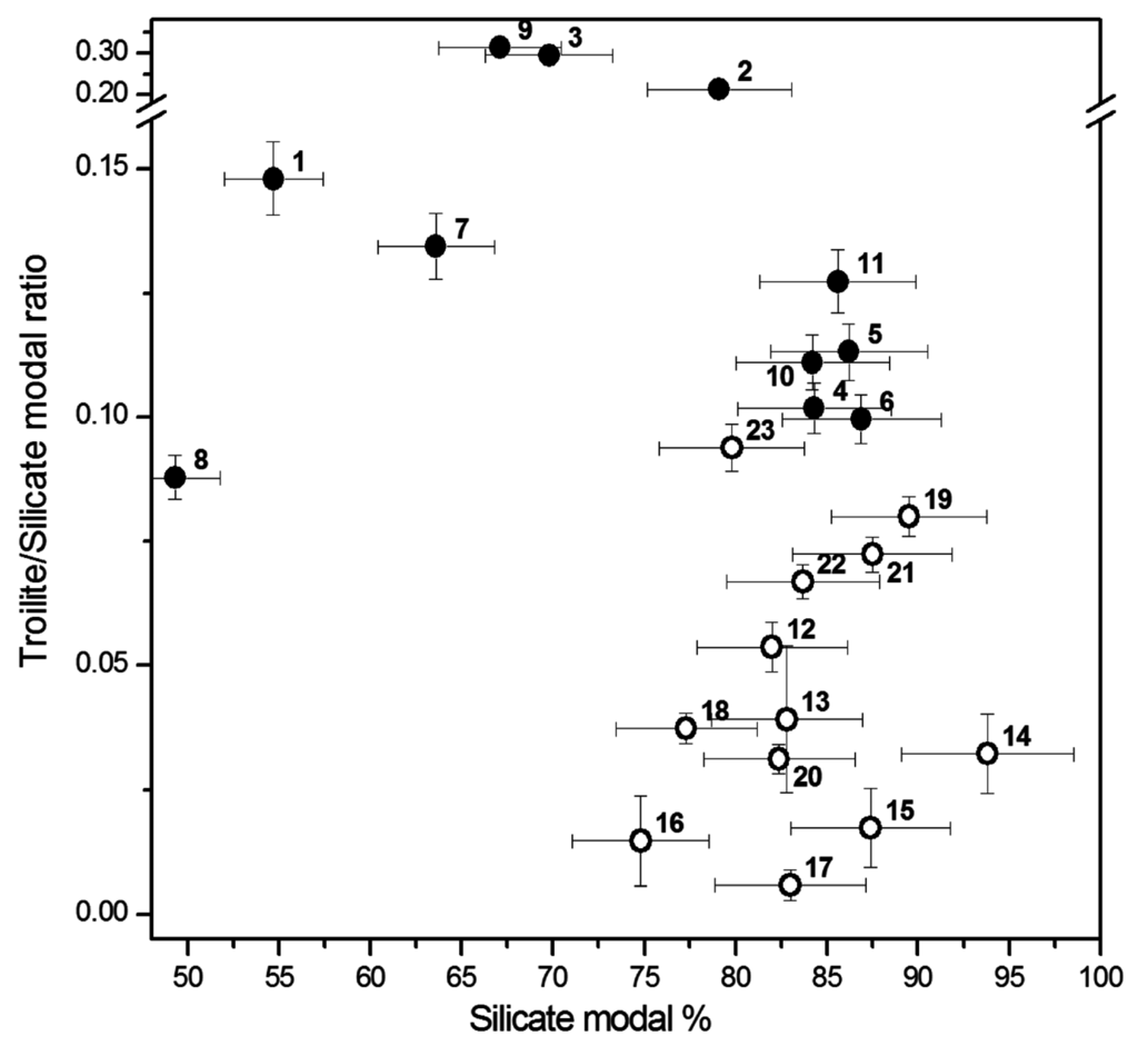
3.1. Textural Features

| Mineral Phases | Samples | |||||||||||||||||
|---|---|---|---|---|---|---|---|---|---|---|---|---|---|---|---|---|---|---|
| Yamato 74357 | Yamato 791491 | Yamato 8005 | QUE 94535 | ALH 81187 | ALH 81261 | ALHA 77081 | Yamato 74025 | Yamato 74063 | GRA 98028 | Asuka 881902 | NWA 1052 | NWA 1054 | NWA 3008 | NWA 1058 | NWA 1463 | DHO 290 | Pontlyfni | |
| Silicates | 83.0 ± 7 | 77.3 ± 10 | 54.7 ± 10 | 84.3 ± 4 | 82.4 ± 4 | 87.5 ± 6 | 83.7 ± 2.3 | 86.9 ± 3 | 86.2 ± 5 | 69.8 ± 3 | 79.1 ± 6 | 84.2 ± 5 | 85.6 ± 5 | 89.5 ± 5 | 63.6 ± 5 | 49.3 ± 6 | 79.8 ± 5 | 67.1 ± 5 |
| Opaque phases | 17.7 ± 10 | 21.3 ± 10 | 44.5 ± 8 | 15.3 ± 1 | 16.8 ± 3 | 12.1 ± 5 | 14.4 ± 2.3 | 11.6 ± 3 | 16.0 ± 2 | 30.3 ± 3 | 22.0 ± 8 | 15.8 ± 2 | 16.1 ± 2 | 10.5 ± 1 | 27.1 ± 2 | 51.1 ± 10 | 24.5 ± 3 | 33.8 ± 2 |
| Fe/Ni alloys | 13.4 ± 10 | 14.1 ± 8 | 12.2 ± 10 | 1.4 ± 1 | 6.0 ± 3 | 5.5 ± 4 | 8.8 ± 2.1 | 2.5 ± 1 | 4.6 ± 2 | 3.9 ± 3 | 3.3 ± 1 | 4.2 ± 2 | 3.2 ± 2 | 2.1 ± 1 | 13.1 ± 3 | 42.9 ± 8 | 7.1 ± 2 | 10.9 ± 2 |
| Troilite | 0.4 ± 0.1 | 2.4 ± 0.4 | 5.8 ± 0.5 | 6.5 ± 2 | 1.9 ± 1 | 5.9 ± 3 | 5.6 ± 0.6 | 8.2 ± 3 | 8.4 ± 1.4 | 16.3 ± 2 | 14.5 ± 2 | 6.2 ± 1.5 | 7.5 ± 2 | 3.2 ± 1 | 7.0 ± 2 | 4.0 ± 2 | 5.6 ± 2 | 19.1 ± 2 |
| Oxides | 3.9 ± 0.7 | 4.8 ± 1 | 26.5 ± 4 | 7.3 ± 3 | 9.0 ± 2 | 0.8 ± 0.3 | n.d. | 0.7 ± 0.2 | 3.0 ± 2 | 10.2 ± 2 | 4.2 ± 2 | 5.3 ± 2 | 5.3 ± 1.5 | 5.3 ± 2 | 7.0 ± 2 | 4.3 ± 2 | 11.6 ± 2 | 3.9 ± 1.5 |
| Diopside | 2.5 ± 1.2 | 0.5 ± 0.1 | 5.1 ± 2 | 3.1 ± 1 | 0.8 ± 0.2 | 7.0 ± 1 | 3.2 ± 1.1 | 7.3 ± 0.3 | 5.9 ± 1.4 | 6.5 ± 2 | 4.6 ± 2 | 5.3 ± 1.5 | 5.3 ± 1.3 | 10.5 ± 2 | 6.4 ± 1 | 4.3 ± 2 | 2.0 ± 2 | 5.0 ± 1.5 |
| Plagioclase | n.d. | n.d. | 7.7 ± 3 | 7.8 ± 0.6 | 6.6 ± 1.5 | 13.2 ± 3 | 12.8 ± 1.4 | 14.5 ± 1.4 | 13.1 ± 3 | 10.4 ± 2 | 12.6 ± 3 | 15.8 ± 3 | 16.0 ± 2 | 15.8 ± 2 | 9.6 ± 2 | 4.3 ± 3 | 9.3 ± 3 | 9.1 ± 3 |
| Olivine | 65.3 ± 5 | 31.3 ± 7 | 11.6 ± 5 | 24.5 ± 5 | 32.7 ± 7 | 25.5 ± 2 | 26.7 ± 2.2 | 21.2 ± 3 | 24.0 ± 3.5 | 26.6 ± 6 | 24.9 ± 3 | 26.3 ± 4 | 26.7 ± 3 | 36.8 ± 4 | 33.8 ± 4 | 18.8 ± 2 | 30.3 ± 5 | 32.0 ± 4 |
| Orthopyroxene | 15.2 ± 7 | 43.6 ± 1 | 29.6 ± 3 | 48.2 ± 5 | 39.6 ± 10 | 40.2 ± 1 | 38.8 ± 1.0 | 43.0 ± 3 | 41.1 ± 2 | 27.5 ± 4 | 37.6 ± 5 | 36.8 ± 3 | 37.4 ± 3 | 26.3 ± 2 | 18.8 ± 2 | 21.4 ± 5 | 36.8 ± 3 | 21.0 ± 3 |
| Chromite | n.d. | 1.5 ± 1 | 0.3 ± 0.1 | n.d. | 0.1 ± 0.2 | 1.1 ± 0.8 | 1.9 ± 1.6 | 0.1 ± 0.1 | 0.3 ± 0.1 | 0.4 ± 0.2 | 0.1 ± 0.1 | 0.1 ± 0.1 | 0.5 ± 0.1 | n.d. | 0.4 ± 0.1 | n.d. | n.d. | n.d. |
| Apatite | n.d. | n.d. | n.d. | n.d. | 0.4 ± 0.2 | 0.4 ± 0.1 | 0.4 ± 0.1 | n.d. | 0.7 ± 0.1 | 1.2 ± 1 | 0.3 ± 0.1 | n.d. | 0.4 ± 0.1 | n.d. | 1.2 ± 0.8 | 1.4 ± 0.3 | 0.3 ± 0.1 | n.d. |
| Weathering * | 22.3 ± 10 | 20.2 ± 10 | 39.6 ± 7 | 32.1 ± 9 | 35.5 ± 10 | 7.3 ± 3.0 | n.d. | 5.6 ± 2 | 16.1 ± 7 | 26.1 ± 6 | 17.0 ± 4 | 26.3 ± 4 | 26.7 ± 5 | 35.1 ± 6 | 22.1 ± 6 | 8.3 ± 3 | 33.8 ± 5 | 10.1 ± 4 |


GRA 98028:
Y-74063:
Y-74025:
A-881902:
NWA 1058:
NWA 1463:
| Meteorite Name | N° of Chondrules | Chondrules Dimensions’ ranges (μm) | Modal Abundances (%) | ||||||||
|---|---|---|---|---|---|---|---|---|---|---|---|
| Silicates | Opaques | Fe/Ni Alloys | Troilite | Oxides | Diopside | Plagioclase | Olivine | Orthopyroxene | |||
| GRA 98028 | 5 | 200–800 | 74–87 (70) | 8–28 (30) | 2–4 (4) | 5–14 (16) | 3–15 (10) | 4–9 (7) | 10–15 (10) | 21–33 (27) | 25–46 (28) |
| Y-74063 | 3 | 200–500 | 93–95 (86) | 3–8 (16) | 0–1 (5) | 2–6 (8) | 1–6 (3) | 9–22 (6) | 9–14 (13) | 13–26 (24) | 44–54 (41) |
| Y-74025 | 4 | 300–500 | 80–85 (87) | 13–19 (12) | 0–4 (3) | 9–18 (8) | 0–1 (1) | 1–12 (7) | 10–17 (15) | 30–41 (21) | 17–32 (43) |
| A-881902 | 5 | 300–800 | 76–85 (79) | 8–13 (22) | 0–4 (3) | 2–12 (15) | 2–3 (4) | 2–9 (5) | 7–14 (13) | 25–34 (25) | 28–36 (38) |
| NWA 1058 | 2 | 800–1500 | 82–90 (64) | 8–16 (27) | 6–12 (13) | 2–4 (7) | 0–12 (7) | 2–10 (6) | 1–12 (10) | 37–38 (34) | 20–50 (19) |
| NWA 1463 | 2 | 1250–1500 | 30–55 (49) | 4–14 (51) | 2–12 (43) | 2 (4) | 2 (4) | 8–85 (4) | 15–23 (19) | 4–8 (21) | 10–25 (17) |
3.2. Mineral Chemistry
3.2.1. Plagioclase
3.2.2. Olivine

3.2.3. Pyroxene

3.3. Reduction State
- (1)
- (Mg,Fe)2SiO4 (olivine) + C → MgSiO3 (enstatite) + Fe + CO
- (2)
- 2(Mg,Fe)2SiO4 (olivine) + C → 2MgSiO3 (enstatite) + 2Fe + CO2

3.4. Metamorphic Temperature

4. Discussion and Conclusions
- -
- -
- The oxygen isotopic composition is different from that of the acapulcoite-lodranite group [26].
- -
- The high reduction degree might suggest that the parental body of these meteorites formed in an area of the solar system with an oxygen fugacity lower than that of the acapulcoites-lodranites formation area.
- -
- Some samples display an inequigranular texture, with visible shock and rapid cooling features like metal veinlets in silicates.
- -
- Some samples (i.e., Pontlyfni) contain relict chondrules, which is in contrast with the high metamorphic degree required for a marked reduction state.
Acknowledgments
Author Contributions
Conflicts of Interest
References
- Rubin, A.E. Petrogenesis of acapulcoites and lodranites: A shock-melting model. Geochim. Cosmochim. Acta 2007, 71, 2383–2401. [Google Scholar] [CrossRef]
- Herrin, J.S.; Mittlefehldt, D.W.; Jones, J.H. Early metal records; metal inclusions in acapulcoite-lodranite silicates. In Proceedings of the 68th Annual Meteoritical Society Meeting, Gatlinburg, TN, USA, 12–16 September 2005.
- McSween, H.Y., Jr. Meteorites and Their Parent Planets, 2nd ed.; Cambridge University Press: Cambridge, UK, 1999; p. 324. [Google Scholar]
- Mittlefehldt, D.W.; Lindström, M.M.; Bogard, D.D.; Garisson, D.H.; Field, S.W. Acapulco- and Lodran-like achondrites: Petrology, geochemistry, chronology and origin. Geochim. Cosmochim. Acta 1996, 60, 867–882. [Google Scholar] [CrossRef]
- Dobrica, E.; Moine, B.N.; Poitrasson, F.; Toplis, M.J.; Bascou, J. Rare earth element insight into the petrologic evolution of the Acapulcoite-Lodranite parent body. In Proceedings of the 39th Lunar and Planetary Science Conference, League City, TX, USA, 10–14 March 2008.
- Morikawa, N.; Nakamura, N. Silicate melt migration in acapulcoite-lodranite source inferred from alkali and REE abundances (abstract). In Proceedings of the 60th Annual Meteoritical Society Meeting, Maui, HI, USA, 21–25 July 1997.
- Rubin, A.E. Shock features in acapulcoites and lodranites: Implications for the origin of primitive achondrites. In Proceedings of the 37th Lunar and Planetary Science Conference, League City, TX, USA, 13–17 March 2006.
- Floss, C. Complexities on the acapulcoite-lodranite parent body: Evidence from trace element distributions in silicate minerals. Meteorit. Planet. Sci. 2000, 35, 1073–1085. [Google Scholar] [CrossRef]
- Herrin, J.S.; Mittlefehldt, D.W.; Humayun, M. Thermal constraints from siderophile trace elements in acapulcoite-lodranite metals. In Proceedings of the 37th Lunar and Planetary Science Conference, League City, TX, USA, 13–17 March 2006.
- Lee, D.C. 182Hf-182W chronometry and the early evolution history in the acapulcoite-lodranite parent body. Meteorit. Planet. Sci. 2008, 43, 675–684. [Google Scholar] [CrossRef]
- Touboul, M.; Kleine, T.; Bourdon, B.; van Orman, J.A.; Maden, C.; Zipfel, J. Hf–W thermochronometry: II. Accretion and thermal history of the acapulcoite–lodranite parent body. Earth Planet. Sci. Lett. 2009, 284, 168–178. [Google Scholar] [CrossRef]
- Crowther, S.A.; Whitby, J.A.; Busfield, A.; Holland, G.; Busemann, H.; Gilmour, J.D. Collisional modification of the acapulcoite/lodranite parent body revealed by the iodine-xenon system in lodranites. Meteorit. Planet. Sci. 2009, 44, 1151–1159. [Google Scholar] [CrossRef]
- McCoy, T.J.; Keil, K.; Clayton, R.N.; Mayeda, T.K.; Bogard, D.D.; Garrison, D.H.; Wieler, R. A petrologic and isotopic study of lodranites: Evidence for early formation as partial melt residues from heterogeneous precursors. Geochim. Cosmochim. Acta 1997, 61, 623–637. [Google Scholar] [CrossRef]
- McCoy, T.J.; Keil, K.; Muenow, D.W.; Wilson, L. Partial melting and melt migration in the acapulcoite-lodranite parent body. Geochim. Cosmochim. Acta 1997, 61, 639–650. [Google Scholar] [CrossRef]
- Floss, C. LEW 86220: Evidence for melt migration on the acapulcoite-lodranite parent body. In Proceedings of the 31st Lunar and Planetary Science Conference, Houston, TX, USA, 13–17 March 2000.
- Takeda, H.; Mori, H.; Hiroi, T.; Saito, J. Mineralogy of new Antarctic achondrites with affinity to Lodran and a model of their evolution in an asteroid. Meteoritics 1994, 29, 830–842. [Google Scholar] [CrossRef]
- Patzer, A.; Hill, D.H.; Boynton, W.V. Evolution and classification of acapulcoites and lodranites from a chemical point of view. Meteorit. Planet. Sci. 2004, 39, 61–85. [Google Scholar] [CrossRef]
- Patzer, A.; Hill, D.H.; Boynton, W.V. An extended classification scheme for the acapulcoites and lodranites. In Proceedings of the 34th Lunar and Planetary Science Conference, League City, TX, USA, 17–21 March 2003.
- Hidaka, Y.; Yamaguchi, A.; Shirai, N.; Sekimoto, S.; Ebihara, M. Lithophile element characteristics of Acapulcoite-Lodranite and Winonaites: Implications for the chemical composition of their precursor materials. In Proceedings of the 43rd Lunar and Planetary Science Conference, The Woodlands, TX, USA, 19–23 March 2012.
- Hunt, A.C.; Benedix, G.K.; Kreissig, K.; Hammond, S.; Strekopytov, S.; Rehkamper, M. Using geochemical data to assess the evolution of the Winonaite-IAB parent body. In Proceedings of the 43rd Lunar and Planetary Science Conference, The Woodlands, TX, USA, 19–23 March 2012.
- Davis, A.M.; Ganapathy, R.; Grossman, L. Pontlyfni—A differentiated meteorite related to the group IAB irons. Earth Planet. Sci. Lett. 1977, 35, 19–24. [Google Scholar] [CrossRef]
- Benedix, G.K.; McCoy, T.J.; Keil, K.; Bogard, D.D.; Garrison, D.H. A petrologic and isotopic study of winonaites: Evidence for early partial melting, brecciation, and metamorphism. Geochim. Cosmochim. Acta 1998, 62, 2535–2553. [Google Scholar] [CrossRef]
- Benedix, G.K.; McCoy, T.J.; Keil, K.; Love, S.G. A petrologic study of the IAB iron meteorites: Constraints on the formation of the IAB-Winonaite parent body. Meteorit. Planet. Sci. 2000, 35, 1127–1141. [Google Scholar] [CrossRef]
- Mittlefehldt, D.W.; McCoy, T.J.; Goodrich, C.A.; Kracher, A. Non-chondritic meteorites from asteroidal bodies. Rev. Mineral. Geochem. 1998, 36, 4.1–4.195. [Google Scholar]
- Schulz, T.; Upadhyay, D.; Münker, C.; Mezger, K. Formation and exposure history of non-magmatic iron meteorites and winonaites: Clues from Sm and W isotopes. Geochim. Cosmochim. Acta 2012, 85, 200–212. [Google Scholar] [CrossRef]
- Clayton, R.N.; Mayeda, T.K. Oxygen isotope studies of achondrites. Geochim. Cosmochim. Acta 1996, 60, 1999–2017. [Google Scholar] [CrossRef]
- Clayton, R.N.; Mayeda, T.K.; Nagahara, H. Oxygen isotope relationships among primitive achondrites. In Proceedings of the 23rd Lunar and Planetary Science Conference, Houston, TX, USA, 16–20 March 1992; pp. 231–232.
- Moggi Cecchi, V.; Pratesi, G.; Caporali, S. Petrologic and minerochemical investigation of acapulcoites, winonaites and lodranites: New evidences from image analysis and EMPA data. In Proceedings of the 42nd Lunar and Planetary Science Conference, The Woodlands, TX, USA, 7–11 March 2011.
- Prinz, M.; Waggoner, D.G.; Hamilton, P.J. Winonaites: A primitive achondritic group related to silicate inclusions in IAB irons. In Proceedings of the 11th Lunar and Planetary Science Conference, Houston, TX, USA, 17–21 March 1980; pp. 902–904.
- Kimura, M.; Tsuchiyama, A.; Fukuoka, T.; Iimura, Y. Antartic primitive achondrites, Yamato-74025, -75300, and -75305: Their mineralogy, thermal history, and the relevance to winonaites. Proc. NIPR Symp. Antarct. Meteor. 1992, 5, 165–190. [Google Scholar]
- Irving, A.J.; Rumble, D. Oxygen isotopes in brachina, SAH 99555 and NWA 1054. In Proceedings of the 69th Annual Meteoritical Society Meeting, Zürich, Switzerland, 6–11 August 2006.
- Prinz, M.; Nehru, C.E.; Delaney, J.S.; Weisberg, M. Silicate in IAB and IIICD irons, winonaites, lodranites and Brachina: A primitive and modified-primitive group. In Proceedings of the 14th Lunar and Planetary Science Conference, Houston, TX, USA, 14–18 March 1983; pp. 616–617.
- Benedix, G.K.; Lauretta, D.S. Thermodynamic constraints on the formation history of acapulcoites. In Proceedings of the 37th Lunar and Planetary Science Conference, League City, TX, USA, 13–17 March 2006.
- El Goresy, A.; Zinner, E.; Pellas, P.; Caillet, C. A menagerie of graphite morphologies in the Acapulco meteorite with diverse carbon and nitrogen isotopic signatures: Implications for the evolution history of acapulcoite meteorites. Geochim. Cosmochim. Acta 2006, 69, 4535–4556. [Google Scholar] [CrossRef]
- Rubin, A.E. Postshock annealing and postannealing shock in equilibrated ordinary chondrites: Implications for the thermal and shock histories of chondritic asteroids 1. Geochim. Cosmochim. Acta 2004, 68, 673–689. [Google Scholar] [CrossRef]
- Takeda, H.; Huston, T.J.; Lipschutz, M.E. On the chondrite-achondrite transition: Mineralogy and chemistry of Yamato 74160 (LL7). Earth Planet. Sci. Lett. 1984, 71, 329–339. [Google Scholar] [CrossRef]
- Buseck, P.R. Phosphide from meteorites: Barringerite, a new iron-nickel mineral. Science 1969, 165, 169–171. [Google Scholar] [CrossRef] [PubMed]
- Holzheid, H.; Palme, H.; Chakraborty, S. The activities of NiO, CoO and FeO in silicate melts. Chem. Geol. 1997, 139, 21–38. [Google Scholar] [CrossRef]
- Herrin, J.S.; Mittlefehldt, D.W.; Humayun, M. History of metal veins in acapulcoite-lodranite clan meteorite GRA 95209. In Proceedings of the 69th Annual Meteoritical Society Meeting, Zürich, Switzerland, 6–11 August 2006.
- Burkhardt, C.; Witt-Eickschen, G.; Palme, H. Thermometry of Landes silicate inclusions and acapulcoites based on in situ trace element analyses. In Proceedings of the 69th Annual Meteoritical Society Meeting, Zürich, Switzerland, 6–11 August 2006.
- Floss, C. Acapulcoite—Lodranite petrogenesis: Clues from trace element distributions in individual minerals. In Proceedings of the 29th Lunar and Planetary Science Conference, Houston, TX, USA, 16–20 March 1998.
- Airieau, S.A.; Farquhar, J.; Thiemens, M.H.; Leshin, L.A.; Bao, H.; Young, E. Planetesimal sulfate and aqueous alteration in CM and CI carbonaceous chondrites. Geochim. Cosmochim. Acta 2005, 69, 4167–4172. [Google Scholar] [CrossRef]
- Choi, B.G.; Ouyang, X.; Wasson, J.T. Classification and origin of IAB and IIICD iron meteorites. Geochim. Cosmochim. Acta 1995, 59, 593–612. [Google Scholar] [CrossRef]
- Benedix, G.; Lauretta, D.; McCoy, T. Thermodynamic constraints on the formation conditions of winonaites and silicate-bearing IAB irons. Geochim. Cosmochim. 2005, 69, 5123–5131. [Google Scholar] [CrossRef]
- Floss, C. Acapulcoite complexities: Clues from trace element distributions. In Proceedings of the 65th Annual Meteoritical Society Meeting, Los Angeles, CA, USA, 21–26 July 2002.
- Scott, E.R.D.; Krot, T.V.; Goldstein, J.I.; Benedix, G.K. Thermal and impact histories and origin of Winonaites and IAB iron meteorites. In Proceedings of the 77th Annual Meeting of the Meteoritical Society, Casablanca, Morocco, 8–13 September 2014.
- Grady, M.; Pratesi, G.; Moggi Cecchi, V. Atlas of Meteorites, 1st ed.; Cambridge University Press: Cambridge, UK, 2014; p. 314. [Google Scholar]
- Greenwood, R.C.; Franchi, I.A.; Gibson, J.M.; Benedix, G.K. Oxygen isotope variation in primitive achondrites: The influence of primordial, asteroidal and terrestrial processes. Geochim. Cosmochim. Acta 2012, 94, 146–163. [Google Scholar] [CrossRef]
© 2015 by the authors; licensee MDPI, Basel, Switzerland. This article is an open access article distributed under the terms and conditions of the Creative Commons Attribution license (http://creativecommons.org/licenses/by/4.0/).
Share and Cite
Cecchi, V.M.; Caporali, S. Petrologic and Minerochemical Trends of Acapulcoites, Winonaites and Lodranites: New Evidence from Image Analysis and EMPA Investigations. Geosciences 2015, 5, 222-242. https://doi.org/10.3390/geosciences5030222
Cecchi VM, Caporali S. Petrologic and Minerochemical Trends of Acapulcoites, Winonaites and Lodranites: New Evidence from Image Analysis and EMPA Investigations. Geosciences. 2015; 5(3):222-242. https://doi.org/10.3390/geosciences5030222
Chicago/Turabian StyleCecchi, Vanni Moggi, and Stefano Caporali. 2015. "Petrologic and Minerochemical Trends of Acapulcoites, Winonaites and Lodranites: New Evidence from Image Analysis and EMPA Investigations" Geosciences 5, no. 3: 222-242. https://doi.org/10.3390/geosciences5030222
APA StyleCecchi, V. M., & Caporali, S. (2015). Petrologic and Minerochemical Trends of Acapulcoites, Winonaites and Lodranites: New Evidence from Image Analysis and EMPA Investigations. Geosciences, 5(3), 222-242. https://doi.org/10.3390/geosciences5030222

