Topsoil Geochemistry and Land-Use-Related Metal(loid) Risks on Maio Island, Cape Verde
Abstract
1. Introduction
2. Materials and Methods
2.1. Study Area: Cape Verde and Maio Island
2.1.1. Geographical Setting, Climate, and Socioeconomic Framework
2.1.2. Geological and Soil Setting of Maio Island
2.2. Sampling and Chemical Analysis
2.3. Statistical Analysis
2.3.1. Univariate and Multivariate Methods
2.3.2. Geochemical Baselines and Estimated Background Values (EBVs)
2.3.3. Geochemical Mapping and Spatial Analysis
2.3.4. Soil Quality Standards, Regulatory Thresholds, and Land-Use Related Risk Assessment
3. Results and Discussion
3.1. Soil Physico-Chemical Characteristics: pH and Salinity Indicators
3.2. Elemental Composition of Topsoils
3.3. Environmental Geochemical Baselines and Spatial Distribution of Topsoil Metal(loid)s
3.4. Elemental Associations and Geochemical Controls (rPCA)
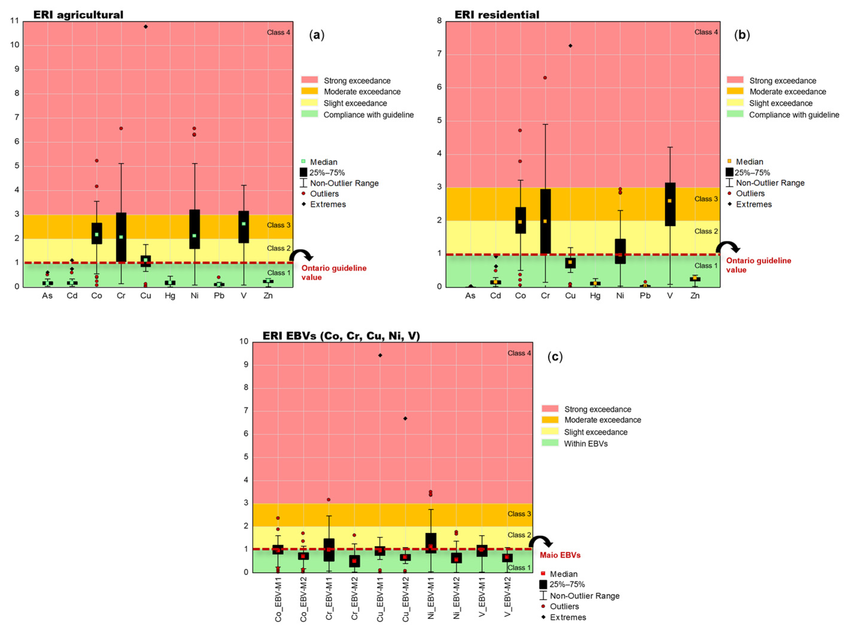
3.5. Environmental Risk Assessment in Relation to Land-Use Scenarios
3.6. Limitations and Future Work
4. Conclusions
Author Contributions
Funding
Data Availability Statement
Acknowledgments
Conflicts of Interest
References
- Bünemann, E.K.; Bongiorno, G.; Bai, Z.; Creamer, R.E.; De Deyn, G.; de Goede, R.; Fleskens, L.; Geissen, V.; Kuyper, T.W.; Mäder, P.; et al. Soil quality—A critical review. Soil Biol. Biochem. 2018, 120, 105–125. [Google Scholar] [CrossRef]
- Cherlet, M.; Hutchinson, C.; Reynolds, J.; Hill, J.; Sommer, S.; von Maltitz, G. World Atlas of Desertification; Publication Office of the European Union: Luxembourg, 2018; Available online: https://wad.jrc.ec.europa.eu/ (accessed on 2 December 2025).
- UNESCO. UNESCO Raises Global Alarm on the Rapid Degradation of Soils. 2024. Available online: https://www.unesco.org/en/articles/unesco-raises-global-alarm-rapid-degradation-soils (accessed on 2 December 2025).
- Kundu, P.; Biswas, S. Securing soil health as the foundation for strengthening planetary health. Soil Secur. 2025, 21, 100205. [Google Scholar] [CrossRef]
- IUSS. International Decade of Soils. 2015. Available online: https://www.iuss.org/wp-content/uploads/2024/01/ids_general_intro_for_egu_and_web_v3.pdf (accessed on 29 November 2025).
- European Commission. First EU Law on Soil Set to Enter into Force. 2025. Available online: https://environment.ec.europa.eu/news/first-eu-law-soil-set-enter-force-2025-12-05_en (accessed on 15 December 2025).
- Costantini, E.A.C.; International Science Council. 2025–2034: Decade of Soil Sciences for Sustainable Development. 2025. Available online: https://council.science/blog/2025-2034-decade-of-soil-sciences-for-sustainable-development/ (accessed on 30 October 2025).
- Smith, D.B.; Reimann, C. Low-density geochemical mapping and the robustness of geochemical patterns. Geochem. Explor. Environ. Anal. 2008, 8, 219–227. [Google Scholar] [CrossRef]
- Reimann, C. Experiences from 30 years of low-density geochemical mapping at the subcontinental to continental scale in Europe. Geochem.: Explor. Environ. Anal. 2022, 22. [Google Scholar] [CrossRef]
- Kome, G.K.; Kundu, C.A.; Okon, M.A.; Enang, R.K.; Mesele, S.A.; Opio, J.; Asamoah, E.; Khurshid, C. Soil pollution mapping across Africa: Potential tool for soil health monitoring. Pollutants 2025, 5, 38. [Google Scholar] [CrossRef]
- Inácio, M.; Pereira, V.; Pinto, M. The soil geochemical atlas of Portugal: Overview and applications. J. Geochem. Explor. 2008, 98, 22–33. [Google Scholar] [CrossRef]
- Neves, O.; Moreno, F.; Pinheiro, D.; Cabral Pinto, M.; Inácio, M. Soil low-density geochemical mapping of technology-critical elements (TCEs) and its environmental implications: The case of lithium in Portugal. Sci. Total Environ. 2024, 934, 173207. [Google Scholar] [CrossRef] [PubMed]
- Birke, M.; Rauch, U.; Stummeyer, J. How robust are geochemical patterns? A comparison of low and high sample density geochemical mapping in Germany. J. Geochem. Explor. 2015, 154, 105–128. [Google Scholar] [CrossRef]
- Bi, R.; Fu, W.; Fu, X. Heavy metal spatial variation mechanism and ecological health risk assessment in volcanic island soils: A case study of Weizhou island, China. Land 2025, 14, 35. [Google Scholar] [CrossRef]
- Cabral Pinto, M.M.S.; Ferreira da Silva, E.A.; Silva, M.M.V.G.; Melo-Gonçalves, P.; Hernández, R.; Marinho, A.P.; Inácio, M.; Rocha, F. Mapping of estimated geochemical background values of some harmful metals in soils of Santiago Island (Cape Verde archipelago). In Progress on Heavy Metals in the Environment; Nriagu, J., Szefer, P., Pacyna, J., Markert, B., Wünschmann, S., Eds.; MARALTEBOOKS-D-11-00053R1 Cap. 10; Maralte Books: Amsterdam, Netherlands, 2012; pp. 101–122. [Google Scholar] [CrossRef]
- Cabral Pinto, M.M.S.; Ferreira da Silva, E.A.; Silva, M.M.V.G.; Melo-Gonçalves, P.; Candeias, C. Environmental risk assessment based on high-resolution spatial maps of potentially toxic elements sampled on stream sediments of Santiago, Cape Verde. Geosciences 2014, 4, 297–315. [Google Scholar] [CrossRef]
- Cabral Pinto, M.M.S.; Ferreira da Silva, E.A.; Silva, M.M.V.G.; Melo-Gonçalves, P. Heavy metals of Santiago Island (Cape Verde) topsoils: Estimated Background Value maps and environmental risk assessment. J. Afr. Earth Sci. 2015, 101, 162–176. [Google Scholar] [CrossRef]
- Marques, R.; Prudêncio, M.I.; Rocha, F.; Cabral Pinto, M.M.S.; Silva, M.M.V.G.; Ferreira da Silva, E. REE and other trace and major elements in the topsoil layer of Santiago Island, Cape Verde. J. Afr. Earth Sci. 2012, 64, 20–33. [Google Scholar] [CrossRef]
- Marques, R.; Waerenborgh, J.C.; Prudêncio, M.I.; Dias, M.I.; Rocha, F.; Ferreira da Silva, E. Iron speciation in volcanic topsoils from Fogo Island (Cape Verde)—Iron oxide nanoparticles and trace elements concentrations. Catena 2014, 113, 95–106. [Google Scholar] [CrossRef]
- Marques, R.; Prudêncio, M.I.; Waerenborgh, J.C.; Rocha, F.; Ferreira da Silva, E.; Dias, M.I.; Madeira, J.; Vieira, B.J.C.; Marques, J.G. Geochemical fingerprints in topsoils of the volcanic Brava Island, Cape Verde. Catena 2016, 147, 522–535. [Google Scholar] [CrossRef]
- Diniz, L.; Carlos, G.; Miranda, C.; Dinis, P.; Marques, R.; Rocha, F.T.; Silva, E.F.d.; Almeida, A.; Cabral Pinto, M. Soil geochemical mapping of the Sal Island (Cape Verde): Ecological and Human Health Risk Assessment. Land 2024, 13, 1139. [Google Scholar] [CrossRef]
- Doran, J.W.; Parkin, T.B. Defining and assessing soil quality. In Defining Soil Quality for a Sustainable Environment; Doran, J.W., Coleman, D.C., Bezdicek, D.F., Stewart, B.A., Eds.; Soil Science Society of America, Inc.: Madison, WI, USA, 1994; pp. 3–21. [Google Scholar] [CrossRef]
- Doran, J.W.; Parkin, T.B. Quantitative indicators of soil quality: A minimum data set. In Methods for Assessing Soil Quality; Doran, J.W., Jones, A.J., Eds.; Soil Science Society of America: Madison, WI, USA, 1996; pp. 25–37. [Google Scholar] [CrossRef]
- Garrigues, E.; Corson, M.S.; Angers, D.A.; van der Werf, H.M.G.; Walter, C. Soil quality in life cycle assessment: Towards development of an indicator. Ecol. Indic. 2012, 18, 434–442. [Google Scholar] [CrossRef]
- Subramanian, S.M.; Payyappallimana, U. Environment, biodiversity, and planetary health: Links between natural systems and human health. In Handbook of Global Health; Haring, R., Kickbusch, I., Ganten, D., Moeti, M., Eds.; Springer: Berlin/Heidelberg, Germany, 2020; pp. 1–14. [Google Scholar] [CrossRef]
- Meisner, J.; Mcleland, H.; Traylor, E.E.; Hermesh, B.; Berg, T.; Roess, A.; Van Patter, L.; Rosenthal, A.; Davidovitch, N.; Rabinowitz, P.M. Relational One Health: A more-than-biomedical framework for more-than-human health, and lessons learned from Brazil, Ethiopia, and Israel. One Health 2024, 18, 100676. [Google Scholar] [CrossRef]
- European Commission. Communication from the Commission to the Council, the European Parliament, the European Economic and Social Committee and the Committee of the Regions—Thematic Strategy for Soil Protection; COM(2006)231 Final; Publications Office of the European Union: Luxembourg, 2006; 12p, Available online: https://eur-lex.europa.eu/LexUriServ/LexUriServ.do?uri=COM:2006:0231:FIN:EN:PDF (accessed on 29 October 2025).
- USEPA. Exposure Factors Handbook—General Factors; U.S. Environmental Protection Agency: Washington, DC, USA, 1997; Volume 1. Available online: https://nepis.epa.gov/Exe/ZyPDF.cgi/3000284R.PDF?Dockey=3000284R.PDF (accessed on 15 November 2025).
- Adriano, D.C. Trace Elements in Terrestrial Environments. In Biogeochemistry, Bioavailability and Risks of Metals, 2nd ed.; Springer: New York, NY, USA, 2001; 867p. [Google Scholar]
- Kabata-Pendias, A.; Mukherjee, A.B. Trace Elements from Soil to Human; Springer: Berlin/Heidelberg, Germany, 2007; 550p. [Google Scholar]
- Lo Medico, F.; Miola, M.; Scopelliti, G.; Varrica, D.; Zuccolini, M.V.; Alaimo, M.G. Geochemical baseline values and spatial distribution of major, trace, and rare earth elements in unpolluted soils of the Sicily region (Italy). Environ. Geochem. Health 2025, 47, 167. [Google Scholar] [CrossRef]
- Santos-Francés, F.; Martinez-Graña, A.; Rojo, P.A.; Sánchez, A.G. Geochemical background and baseline values determination and spatial distribution of heavy metal pollution in soils of the Andes Mountain range (Cajamarca-Huancavelica, Peru). Int. J. Environ. Res. Public Health 2017, 14, 859. [Google Scholar] [CrossRef] [PubMed]
- Salminen, R.; Tarvainen, T. The problem of defining geochemical baselines. A case study of selected elements and geological materials in Finland. J. Geochem. Explor. 1997, 60, 91–98. [Google Scholar] [CrossRef]
- Garrett, R.G. The Management, Analysis and Display of Geochemical Data. Exploration Geochemistry Workshop; Open File 2390; Geological Survey of Canada: Ottawa, ON, Canada, 1991; pp. 9-1–9-41. Available online: https://geochem.nrcan.gc.ca/ftp/data/publications/pub_00225/of2390.pdf (accessed on 17 November 2025).
- Reimann, C.; Garret, R.G. Geochemical background: Concept and reality. Sci. Total Environ. 2005, 350, 12–27. [Google Scholar] [CrossRef]
- Varrica, D.; Lo Medico, F.; Zuccolini, M.V.; Miola, M.; Alaimo, M.G. Geochemical baseline values determination and spatial distribution of trace elements in topsoils: An application in Sicily region (Italy). Sci. Total Environ. 2024, 955, 176951. [Google Scholar] [CrossRef] [PubMed]
- Carvalho, J.; Bonadio, R.; Silveira, G.; Lebedev, S.; Mata, J.; Arroucau, P.; Meier, T.; Celli, N.L. Evidence for high temperature in the upper mantle beneath Cape Verde archipelago from Rayleigh-wave phase-velocity measurements. Tectonophysics 2019, 770, 228225. [Google Scholar] [CrossRef]
- Vales, D.; Dias, N.A.; Rio, I.; Matias, L.; Silveira, G.; Madeira, J.; Weber, M.; Carrilho, F.; Haberland, C. Intraplate seismicity across the Cape Verde swell: A contribution from a temporary seismic network. Tectonophysics 2014, 636, 325–337. [Google Scholar] [CrossRef]
- Ramalho, R.A.S. Building the Cape Verde Islands; Springer: Berlin/Heidelberg, Germany, 2011; 207p. [Google Scholar]
- Correia, F.V.; Brito, E.A.; Soares, E.F.S.; Moniz, C.A.; Pile, E.; Morais, L.E.L.; Neves, A.R.D.L.; Carvalho, M.L.S. Second National Communication of Cape Verde. United Nations Framework Convention for Climate Change; Ministry of Environment Rural Development and Marine Resources, National Institute of Meteorology and Geophysics, Republic of Cape Verde: Praia, Cape Verde, 2010; 144p. [Google Scholar]
- Varela-Lopes, G.E.; Molion, L.C.B. Precipitation patterns in Cape Verde Islands: Santiago Island case study. ACS 2014, 4, 854–865. [Google Scholar] [CrossRef]
- Freire, A.C. Climate Action in Cape Verde: Historical Trends and Future Projections. 2024. Available online: https://portaldoclima.gov.cv/en/2024/08/02/climate-action-in-cape-verde-historical-trends-and-future-projections/ (accessed on 30 November 2025).
- Matos, P.A. Enhancing climate resilience in Cabo Verde: Strategies, challenges, and opportunities. In Climate Policies—Modern Risk-Based Assessment of Investments in Mitigation, Adaptation, and Recovery from Residual Harm; Yohe, G., Smith, J., Eds.; IntechOpen: London, UK, 2024; pp. 1–26. [Google Scholar] [CrossRef]
- INE-CV. Maio em Números. V Recenseamento Geral da População e Habitação (RGPH-2021); Instituto Nacional de Estatística: Praia, Cabo Verde, 2022; 112p, Available online: https://bdmi.ine.cv/site_deploy_api/Uploads/20251126_152716_0d3153b4-40c9-4f72-8d4c-fa2daac850d0.pdf (accessed on 26 February 2026).
- ADB, African Development Bank. Country Focus Report 2023—Cabo Verde—Mobilizing Private Sector Financing for Climate and Green Growth; African Development Bank Group: Abidjan, Côte d’Ivoire, 2023; 48p. [Google Scholar]
- Sequeira, E.; Leão de Sousa, P.; Correia, A.M.; Rolim, J. The current status of irrigated agriculture in Cape Verde and its link to water scarcity. Agronomy 2025, 15, 1625. [Google Scholar] [CrossRef]
- SIERA. Systematic Inventory Evaluation for Risk Assessment. Relatório Final—Cabo Verde; Republic of Cabo Verde/Ministry of Environment, Housing, and Territory (MAHOT): Praia, Cabo Verde, 2013; 45p. Available online: https://portaldoclima.gov.cv/wp-content/uploads/2023/11/Relatorio-SIERA_Cabo-Verde-Risk-2013.pdf (accessed on 2 December 2025).
- FAO; IFAD; UNICEF; WFP; WHO. The State of Food Security and Nutrition in the World 2024—Financing to End Hunger, Food Insecurity and Malnutrition in All Its Forms; FAO: Rome, Italy, 2024; 250p. [Google Scholar] [CrossRef]
- Villaseca, C.; Orejana, D.; Huertas, M.J.; Ancochea, E.; de Ignacio, C.; Mata, J.; Caldeira, R.; García-Rodríguez, M.; Moreno, J.A.; Pérez-Sob, C. The old central igneous complexes of Sal, Boa Vista and Maio islands: Implications for 17 Ma of isotopic evolution of the Cape Verde archipelago. Lithos 2025, 498–499. [Google Scholar] [CrossRef]
- Gomes, A.M. Hidrogeologia e Recursos Hídricos da Ilha de Santiago (Cabo Verde). Ph.D. Thesis, University of Aveiro, Aveiro, Portugal, 2007; 296p. [Google Scholar]
- Madeira, J.; Ramalho, R.S.; Hoffmann, D.L.; Mata, J.; Moreira, M. A geological record of multiple Pleistocene tsunami inundations in an oceanic island: The case of Maio, Cape Verde. Sedimentology 2020, 67, 1529–1552. [Google Scholar] [CrossRef]
- Agues, J.; Freire, S.; Loizos, H.; Morais, A.; Navas, M.; Phillips, R.; Santos, D.; Teixidor, A. Guia de Recursos Naturais e Patrimoniais da Ilha do Maio, Cabo Verde; Fundação Maio Biodiversidade: Cidade do Porto Inglês, Cabo Verde, 2018; 71p. [Google Scholar]
- Ramalho, R.; Helffrich, G.; Schmidt, D.N.; Vance, D. Tracers of uplift and subsidence in the Cape Verde Archipelago. J. Geol. Soc. 2010, 167, 519–538. [Google Scholar] [CrossRef]
- Moreira, M.; Mata, J.; Madeira, J.; Represas, P.; Martins, S. Age dependent variation of the magnetic fabric of dike swarms and implications for the volcanic structure of ocean islands: The example of the Maio Island, Cabo Verde archipelago. Geophys. J. Int. 2025, 243, ggaf293. [Google Scholar] [CrossRef]
- Paepe, P.D.; Klerkx, J.; Hertogen, J.; Plinke, P. Oceanic tholeiites on the Cape Verde Islands: Petrochemical and geochemical evidence. Earth Planet. Sci. Lett. 1974, 22, 347–354. [Google Scholar] [CrossRef]
- Serralheiro, A. Geologia do Ilha de Maio (Cabo Verde); Junta Investigação do Ultramar: Lisboa, Portugal, 1970; 103p. [Google Scholar]
- Represas, P.; Catalão, J.; Montesinos, F.G.; Madeira, J.; Mata, J.; Antunes, C.; Moreira, M. Constraints on the structure of Maio Island (Cape Verde) by a 3D gravity model: Imaging partially exhumed magma chambers. Geophys. J. Int. 2012, 190, 931–940. [Google Scholar] [CrossRef]
- Samrock, L.K.; Hansteen, T.H.; Dullo, W.-C.; Wartho, J.-A. Internal igneous growth, doming and rapid erosion of a mature ocean island: The Miocene evolution of Maio (Cabo Verde). Int. J. Earth Sci. 2022, 111, 1129–1148. [Google Scholar] [CrossRef]
- El-Omla, M.M.; Aboulela, H.A. Environmental and mineralogical studies of the sabkhas soil at Ismailia—Suez Roadbed, southern of Suez Canal District, Egypt. Open J. Geol. 2012, 2, 165–181. [Google Scholar] [CrossRef][Green Version]
- Faria, F.X. Os Solos da Ilha do Maio (República de Cabo Verde); Estudos, Ensaios e Documentos nº 147; Instituto de Investigação Científica Tropical: Lisboa, Portugal, 1987; 88p. [Google Scholar]
- WRB. World Reference Base for Soil Resources 2006. In A Framework for International Classification, Correlation and Communication, 2006 Edition; World Soil Resources Reports Nº. 103; IUSS Working Group, FAO: Rome, Italy, 2006; 103p. [Google Scholar]
- Madeira, M.; Ricardo, R.P. Os solos de Cabo Verde. Seu enquadramento no sistema de referência mundial de solos. Rev. Ciênc. Agrár. 2013, 36, 377–392. [Google Scholar]
- Darnley, A.G.; Björklund, A.; Bolviken, B.; Gustavsson, N.; Koval, P.V.; Plant, J.A.; Steenfelt, A.; Tauchid, M.; Xie, X.; Garrett, R.G.; et al. A Global Geochemical Database for Environmental and Resource Management. Recommendations for International Geochemical Mapping; Final report of IGCP-project 259; UNESCO Publishing: Paris, France, 1995; 122p, Available online: https://www.globalgeochemicalbaselines.eu/datafiles/file/Blue_Book_GGD_IGCP259.pdf (accessed on 1 November 2025).
- Hossain, M.S.; Rahman, G.K.M.M.; Solaiman, A.R.M.; Alam, M.S.; Rahman, M.M.; Mia, M.A.B. Estimating electrical conductivity for soil salinity monitoring using various soil-water ratios depending on soil texture. Commun. Soil Sci. Plant Anal. 2020, 51, 635–644. [Google Scholar] [CrossRef]
- Tukey, J.W. Exploratory Data Analysis; Addison-Wesley Publishing Company: Boston, MA, USA, 1977; 688p. [Google Scholar]
- Aitchison, J. The Statistical Analysis of Compositional Data; Monographs on Statistics and Applied Probability; The Blackburn Press: Caldwell, NJ, USA, 1986; 416p. [Google Scholar]
- Reimann, C.; Filzmoser, P.; Garrett, R.G. Background and threshold: Critical comparison of methods of determination. Sci. Total Environ. 2005, 346, 1–16. [Google Scholar] [CrossRef]
- USEPA. ProUCL, Version 5.2; Statistical Software for Environmental Applications for Data Sets with and Without Nondetect Observations; U.S. Environmental Protection Agency: Washington, DC, USA, 2022. Available online: https://www.epa.gov/land-research/proucl-software (accessed on 5 November 2025).
- Goovaerts, P. Geostatistics for Natural Resources Evaluation; Oxford University Press: Oxford, UK, 1997; 483p. [Google Scholar]
- Webster, R.; Oliver, M.A. Geostatistics for Environmental Scientists, 2nd ed.; John Wiley & Sons: Chichester, UK, 2007; 315p. [Google Scholar]
- Moran, P.A.P. Notes on continuous stochastic phenomena. Biometrika 1950, 37, 17–23. [Google Scholar] [CrossRef] [PubMed]
- Dale, M.R.T.; Fortin, M.-J. Spatial Analysis—A Guide for Ecologists, 2nd ed.; Cambridge University Press: Cambridge, UK, 2014; 438p. [Google Scholar]
- Decreto Nacional Reglamentario 831/93. National Law 24.051, Régimen de Desechos Peligrosos., Anexo II, Tabla 9. Secretaría de Ambiente y Desarrollo Sustentable, Poder Ejecutivo Nacional. Available online: https://exactas.uba.ar/higieneyseguridad/wp-content/uploads/2019/08/Decreto-831-1993-Reglamentaci%C3%B3n-de-la-ley-24.051.pdf (accessed on 10 November 2025).
- Ministry of Housing, Spatial Planning and the Environment. Circular on Target Values and Intervention Values for Soil Remediation; The Netherlands Government Gazette, Nº. 39; Directorate General for Environmental Protection, Department of Soil Protection: Hague, The Netherlands, 2000; Available online: http://www.esdat.net/Environmental%20Standards/Dutch/annexS_I2000Dutch%20Environmental%20Standards.pdf (accessed on 10 November 2025).
- Legislative Decree Nº. 152/2006. Norme in materia ambientale. Allegato 5, Parte IV, Tabella 1. Gazzetta Ufficiale n. 88 del 11 aprile 2006. Supplemento Ordinario n. 96. Available online: https://www.bosettiegatti.eu/info/norme/statali/2006_0152.htm (accessed on 10 November 2025).
- Ministry of the Environment, Finland. Government Decree on the Assessment of Soil Contamination and Remediation Needs 214/2007. Available online: https://www.finlex.fi/en/legislation/translations/2007/eng/214 (accessed on 11 November 2025).
- Department of Environmental Affairs. South Africa Legislation. 2010. Available online: https://cer.org.za/wp-content/uploads/2014/02/natl-norms-and-stds-for-remediation-of-contaminated-land-and-soil-quality.pdf (accessed on 11 November 2025).
- Soltani-Gerdefaramarzi, S.; Ghasemi, M.; Ghanbarian, B. Geogenic and anthropogenic sources identification and ecological risk assessment of heavy metals in the urban soil of Yazd, central Iran. PLoS ONE 2021, 16, e0260418. [Google Scholar] [CrossRef]
- Uchmanowicz, D.; Pyssa, J.; Gajec, M.; Styszko, K. Assessment of potentially toxic elements in agricultural and urban soils of lesser Poland using ICP-MS and uncertainty estimation. Sci. Rep. 2025, 15, 36795. [Google Scholar] [CrossRef]
- Yang, J.; Sunc, Y.; Wang, Z.; Gong, J.; Gao, J.; Tang, S.; Ma, S.; Duan, Z. Heavy metal pollution in agricultural soils of a typical volcanic area: Risk assessment and source appointment. Chemosphere 2022, 304, 135340. [Google Scholar] [CrossRef] [PubMed]
- Ministry of the Environment. Soil, Ground Water and Sediment Standards for Use Under Part XV.1 of the Environmental Protection Act. 2011. Available online: https://www.ontario.ca/page/soil-ground-water-and-sediment-standards-use-under-part-xv1-environmental-protection-act (accessed on 12 November 2025).
- Canadian Council of Ministries of the Environment (CCME). Soil Quality Guidelines for the Protection of Environmental and Human Health Agricultural, Residential/Parkland, Commercial, Industrial. 2025. Available online: https://ccme.ca/en/summary-table (accessed on 13 November 2025).
- Jennings, A.A. Analysis of worldwide regulatory guidance values for the most commonly regulated elemental surface soil contamination. J. Environ. Manag. 2013, 118, 72–95. [Google Scholar] [CrossRef]
- Jennings, A.A. Analysis of worldwide Regulatory Guidance Values for less frequently regulated elemental surface soil contaminants. J. Environ. Manag. 2013, 128, 561–585. [Google Scholar] [CrossRef]
- USDA. Soil Survey Manual. In Agriculture Handbook Nº. 18; United States Department of Agriculture: Washington, DC, USA, 2018. Available online: https://www.nrcs.usda.gov/sites/default/files/2022-09/The-Soil-Survey-Manual.pdf (accessed on 21 November 2025).
- Negacz, K.; Malek, Ž.; de Vos, A.; Vellinga, P. Saline soils worldwide: Identifying the most promising areas for saline agriculture. J. Arid Environ. 2022, 203, 104775. [Google Scholar] [CrossRef]
- Acosta, J.A.; Jansen, B.; Kalbitz, K.; Faz, A.; Martínez-Martínez, S. Salinity increases mobility of heavy metals in soils. Chemosphere 2011, 85, 1318–1324. [Google Scholar] [CrossRef]
- Dœlsch, E.; Macary, H.S.; Van de Kerchove, V. Sources of very high heavy metal content in soils of volcanic island (La Réunion). J. Geochem. Explor. 2006, 88, 194–197. [Google Scholar] [CrossRef]
- Mikulski, S.Z.; Sadłowska, K.; Wiszniewska, J.; Małek, R. Vanadium and cobalt occurrence in the Fe-Ti-V oxide deposits related to Mesoproterozoic AMCG complex in NE Poland. Appl. Sci. 2022, 12, 6277. [Google Scholar] [CrossRef]
- Smith, D.B.; Solano, F.; Woodruff, L.G.; Cannon, W.F.; Ellefsen, K.J. Geochemical and Mineralogical Maps, with Interpretation, for Soils of the Conterminous United States. U.S. Geol. Surv. Sci. Investig. Rep. 2019. [Google Scholar] [CrossRef]
- Kierczak, J.; Pietranik, A.; Pędziwiatr, A. Ultramafic geoecosystems as a natural source of Ni, Cr, and Co to the environment: A review. Sci. Total Environ. 2021, 755, 142620. [Google Scholar] [CrossRef]
- Linhares, D.; Pimentel, A.; Borges, C.; Cruz, J.V.; Garcia, P.; Rodrigues, A. Cobalt distribution in the soils of São Miguel Island (Azores): From volcanoes to health effects. Sci. Total Environ. 2019, 684, 715–721. [Google Scholar] [CrossRef] [PubMed]
- Plumlee, G.S. The environmental geology of mineral deposits. In The Environmental Geochemistry of Mineral Deposits, Part A. Processes, Techniques, and Health Issues; Plumlee, G.S., Logsdon, M.J., Eds.; Reviews in Economic Geology, v. 6A; Society of Economic Geologists: Littleton, CO, USA, 1999; pp. 71–116. [Google Scholar]
- Marques, R.; Prudêncio, M.I.; Rocha, F.; Ferreira da Silva, E.A.; Russo, D.; Costa, C.; Cerqueira, Â. Geoquímica da camada superficial de solos da Ilha do Sal (Cabo Verde). In Proceedings of the XII Congresso Ibérico de Geoquímica/XX Semana de Geoquímica, Évora, Portugal, 22–26 September 2019. [Google Scholar]
- Smith, O.C. Identification and Qualitative Chemical Analysis of Minerals; D. Van Nostrand Company, Inc.: New York, NY, USA, 1946; 331p. [Google Scholar]
- Robinson, P. GGR Handbook of Rock and Mineral Analysis Chapter 2 (Part 1)—Analysis of Geological Materials—1: Sample Preparation Methods. Geostand. Geoanalytical Res. 2025, 49, 9–50. [Google Scholar] [CrossRef]
- Hua, T.; Li, Y.; Hou, B.; Du, Y.; Lu, A.; Li, Y. Chromium immobilization as Cr-spinel by regulation of Fe(II) and Fe(III) concentrations. Minerals 2024, 14, 1024. [Google Scholar] [CrossRef]
- Oze, C.; Fendorf, S.; Bird, D.K.; Coleman, R.G. Chromium geochemistry in serpentinized ultramafic rocks and serpentine soils from the Franciscan complex of California. Am. J. Sci. 2004, 304, 67–101. [Google Scholar] [CrossRef]
- Linhares, D.P.S.; Garcia, P.V.; Rodrigues, A.S. Trace elements in volcanic environments and human health effects. In Trace Metals in the Environment—New Approaches and Recent Advances; Murillo-Tovar, M.A., Saldarriaga-Noreña, H., Saeid, A., Eds.; IntechOpen: London, UK, 2021. [Google Scholar] [CrossRef][Green Version]
- Cicchella, D.; De Vivo, B.; Lima, A. Background and baseline concentration values of elements harmful to human health in the volcanic soils of the metropolitan and provincial areas of Napoli (Italy). Geochem. Explor. Environ. Anal. 2005, 5, 29–40. [Google Scholar] [CrossRef]
- SCVZ. The Cape Verde Islands; Sociedade Caboverdiana de Zoologia: Mindelo, Cabo Verde, 2017; Available online: https://www.scvz.org/cverde.html (accessed on 3 December 2025).
- Gill, T.E. Eolian sediments generated by anthropogenic disturbance of playas: Human impacts on the geomorphic system and geomorphic impacts on the human system. Geomorphology 1996, 17, 207–228. [Google Scholar] [CrossRef]
- Ziyaee, A.; Hirmas, D.R.; Karimi, A.; Kehl, M.; Macpherson, A.L.; Roshanizarmehri, M. Geogenic and anthropogenic sources of potentially toxic elements in airborne dust in northeastern Iran. Aeolian Res. 2019, 41, 100540. [Google Scholar] [CrossRef]
- Fomba, K.W.; Müeller, K.; van Pinxteren, D.; Herrmann, H. Aerosol size-resolved trace metal composition in remote northern tropical Atlantic marine environment: Case study Cape Verde islands. Atmos. Chem. Phys. 2013, 13, 4801–4814. [Google Scholar] [CrossRef]
- Gama, C.; Tchepel, O.; Baldasano, J.M.; Basart, S.; Ferreira, J.; Pio, C.; Cardoso, J.; Borrego, C. Seasonal patterns of Saharan dust over Cape Verde—A combined approach using observations and modelling. Tellus Ser. B Chem. Phys. Meteorol. 2015, 67, 24410. [Google Scholar] [CrossRef]
- Kaiser, H.F. A second-generation Little Jiffy. Psychometrika 1970, 35, 401–415. [Google Scholar] [CrossRef]
- Armiento, G.; Cremisini, C.; Nardi, E.; Pacifico, R. High geochemical background of potentially harmful elements in soils and sediments: Implications for the remediation of contaminated sites. Chem. Ecol. 2011, 27, 131–141. [Google Scholar] [CrossRef]
- Griggs, J.L.; Thomas, D.J.; Fry, R.; Bradham, K.D. Improving the predictive value of bioaccessibility assays and their use to provide mechanistic insights into bioavailability for toxic metals/metalloids. J. Toxicol. Environ. Health B Crit. Rev. 2021, 24, 307–324. [Google Scholar] [CrossRef] [PubMed]
- Cabral Pinto, M.M.S.; Saha, N.; Ordens, C.M.; Pitta-Grós, D.; Carlos, N.; Dinis, P.; Marques, R.; Prudêncio, I.; Rocha, F.; Ferreira da Silva, E.A. Integrated geochemical and mineralogical investigation of soil from the volcanic Fogo Island (Cape Verde): Implications for ecological and probabilistic human health risks. Expo. Health 2023, 15, 1–17. [Google Scholar] [CrossRef]
- CIEH. Professional Practice Note: Reviewing Human Health Risk Assessment Reports Invoking Contaminant Oral Bioavailability Measurements or Estimates; Chartered Institute of Environmental Health: London, UK, 2009; 16p, Available online: https://www.iaeg.info/wp-content/uploads/2019/01/c20_doc-cieh_ppn_bioavailability_final_june09.pdf (accessed on 28 December 2025).








| Metal(loid) | Min | Mean | SD | Med | MAD | Geo Mean | Max | %CV | %rCV | Sk | Krt |
|---|---|---|---|---|---|---|---|---|---|---|---|
| As | 0.5 | 2.1 | 1.39 | 1.9 | 0.75 | 1.8 | 6.9 | 66.5 | 40.5 | 1.97 | 4.82 |
| Cd | 0.04 | 0.2 | 0.22 | 0.2 | 0.07 | 0.2 | 1.1 | 89.9 | 35.9 | 2.86 | 9.10 |
| Co | 1.4 | 42.1 | 21.62 | 41.2 | 8.60 | 33.0 | 99.2 | 51.3 | 20.9 | 0.18 | 0.79 |
| Cr | 10.6 | 151.1 | 96.68 | 138.7 | 67.10 | 120.8 | 440.6 | 64.0 | 48.4 | 1.15 | 1.53 |
| Cu | 2.0 | 82.7 | 112.42 | 69.4 | 15.13 | 52.7 | 669.1 | 135.9 | 21.8 | 5.00 | 26.84 |
| Hg | 0.003 | 0.031 | 0.02 | 0.031 | 0.01 | 0.02 | 0.07 | 59.6 | 38.7 | 0.13 | −0.06 |
| Mn | 61.0 | 1217.3 | 587.80 | 1302.0 | 346.00 | 957.9 | 2164.0 | 48.3 | 26.6 | −0.52 | −0.42 |
| Ni | 3.5 | 93.2 | 64.93 | 79.1 | 29.40 | 69.3 | 242.9 | 69.7 | 37.2 | 1.02 | 0.38 |
| Pb | 0.6 | 5.4 | 3.52 | 5.2 | 2.20 | 4.3 | 18.7 | 64.8 | 42.3 | 1.63 | 5.58 |
| V | 8.0 | 206.1 | 94.55 | 224.0 | 54.00 | 169.2 | 363.0 | 45.9 | 24.1 | −0.37 | −0.43 |
| Zn | 8.3 | 69.7 | 28.59 | 78.5 | 9.55 | 59.0 | 107.8 | 41.0 | 12.2 | −1.05 | 0.16 |
| Metal(loid) | Med Santiago * | Med Sal * | Med Santiago ** | Med Sal ** | Med Brava ** | Med Fogo ** |
|---|---|---|---|---|---|---|
| As | 0.6 | 1.5 | 2.8 | 4.4 | 2.7 | 2.0 |
| Cd | 0.2 | – | – | – | – | – |
| Co | 46.1 | 40.0 | 59.8 | 46.6 | 22.7 | 45.2 |
| Cr | 120.0 | 82.0 | 590.0 | 410.0 | 87.4 | 117.0 |
| Cu | 51.2 | 47.0 | – | – | – | – |
| Hg | 0.02 | – | – | – | – | – |
| Mn | 1300.0 | – | 1803.0 | 1518.0 | 2238.0 | 1518.0 |
| Ni | 136.7 | 165.0 | – | – | – | – |
| Pb | 5.0 | 4.2 | – | – | – | – |
| V | 170.0 | 102.0 | – | – | – | – |
| Zn | 80.0 | 65.1 | 157.0 | 82.2 | 172.0 | 129.0 |
| Metal(loid) | Observed Range | Tukey Range | Med ± 2 × MAD | P5–P95 Range | EBV–M1 | EBV–M2 | EBV–M3 |
|---|---|---|---|---|---|---|---|
| As | 6.4 | 3.3 | 3.0 | 5.3 | 1.7 | 3.4 | 5.7 * |
| Cd | 1.1 | 0.3 | 0.3 | 0.7 | 0.2 | 0.3 | 0.8 ** |
| Co | 97.8 | 56.8 | 34.4 | 74.7 | 42.1 | 58.4 | 89.6 *** |
| Cr | 430.0 | 332.6 | 268.4 | 302.7 | 138.6 | 272.9 | 363.6 *** |
| Cu | 667.0 | 68.7 | 60.5 | 107.0 | 70.6 | 99.7 | (a) |
| Hg | 0.04 | 0.07 | 0.05 | 0.06 | 0.031 | 0.05 | (b) |
| Mn | 2103.0 | 2103.0 | 1384.0 | 1878.0 | 1302.0 | 1994.0 | (b) |
| Ni | 239.4 | 186.0 | 117.6 | 218.1 | 68.6 | 137.9 | (b) |
| Pb | 18.2 | 8.9 | 8.8 | 8.8 | 5.0 | 9.6 | 13.2 *** |
| V | 355.0 | 355.0 | 216.0 | 314.0 | 224.0 | 332.0 | (b) |
| Zn | 99.5 | 98.7 | 38.2 | 94.4 | 77.9 | 97.6 | (a) |
| International RGVs | Land Use Types | As | Cd | Co | Cr | Cu | Hg | Mn | Ni | Pb | V | Zn |
|---|---|---|---|---|---|---|---|---|---|---|---|---|
| Argentinean | Agricultural | 20 | 3 | 40 | 750 | 150 | 0.8 | – | 150 | 375 | 200 | 600 |
| (1993) | Residential | 30 | 5 | 50 | 250 | 100 | 2 | – | 100 | 500 | 200 | 500 |
| Industrial | 50 | 20 | 300 | 800 | 500 | 20 | – | 500 | 1000 | – | 1500 | |
| Dutch (2000) | Target value | 29 | 0.8 | 9 | 100 | 36 | 0.3 | – | 35 | 85 | 42 | 140 |
| Intervention value | 55 | 12 | 240 | 380 | 190 | 10 | – | 210 | 530 | 250 * | 720 | |
| Italian (2006) | Public/Private green areas and residential sites | 20 | 2 | 20 | 150 | 120 | 1 | – | 120 | 100 | 90 | 150 |
| Industrial areas | 50 | 15 | 250 | 800 | 600 | 5 | – | 500 | 1000 | 250 | 1500 | |
| Finnish (2007) | Threshold | 5 | 1 | 20 | 100 | 100 | 0.5 | – | 50 | 60 | 100 | 200 |
| Lower guideline value | 50 | 10 (e) | 100 (e) | 200 (e) | 150 (e) | 2 (e) | – | 100 (e) | 200 (t) | 150 (e) | 250 (e) | |
| Higher guideline value | 100 | 20 | 250 | 300 | 200 | 5 | – | 150 | 750 | 250 | 400 | |
| South African (2010) | All land uses/Protective of the water resource | 5.8 | 7.5 | 300 | – | 16 | 0.93 | 740 | 91 | 20 | 150 | 240 |
| Ontario (2011) | Agricultural | 11 | 1.0 | 19 | 67 | 62 | 0.16 | – | 37 | 45 | 86 | 290 |
| Residential/Parkland/Commercial/Community Property use | 18 | 1.2 | 21 | 70 | 92 | 0.27 | – | 82 | 120 | 86 | 290 | |
| Iran (2013) | All land uses/Protective of the water resource | 18 | 2 | 40 | 110 | 100 | – | – | 50 | 50 | – | 200 |
| Polish (2016) | Residential | 25 | 2 | 50 | 200 | 200 | 5 | – | 150 | 200 | – | 500 |
| Agricultural & allotment gardens (1) | 10 | 2 | 20 | 150 | 100 | 2 | – | 100 | 100 | – | 300 | |
| Agricultural (2) | 20 | 3 | 30 | 300 | 150 | 4 | – | 150 | 250 | – | 500 | |
| Agricultural (3) | 50 | 5 | 50 | 500 | 300 | 5 | – | 300 | 500 | – | 1000 | |
| Forests, historic sites, & protected green areas | 50 | 10 | 100 | 500 | 300 | 10 | – | 300 | 500 | – | 1000 | |
| Industrial | 100 | 15 | 200 | 500 | 600 | 30 | – | 500 | 600 | – | 2000 | |
| Chinese (2018) | Agricultural (pH ≤ 5.5) | 40 | 0.3 | – | 150 | 50 | 1.3 | – | 60 | 70 | – | 200 |
| Agricultural (pH 5.5–6.5) | 40 | 0.3 | – | 150 | 50 | 1.8 | – | 70 | 90 | – | 200 | |
| Agricultural (pH 6.5–7.5) | 30 | 0.3 | – | 200 | 100 | 2.4 | – | 100 | 120 | – | 250 | |
| Agricultural (pH > 7.5) | 25 | 0.6 | – | 250 | 100 | 3.4 | – | 190 | 170 | – | 300 | |
| Canadian (2025) | Agricultural | 12 | 1.4 | 40 | 64 | 63 | 6.6 | – | 45 | 70 | 130 | 250 |
| Residential/Parkland | 12 | 10 | 50 | 64 | 63 | 6.6 | – | 45 | 113 | 130 | 250 | |
| Commercial | 12 | 22 | 300 | 87 | 91 | 24 | – | 89 | 154 | 130 | 410 | |
| Industrial | 12 | 22 | 300 | 87 | 91 | 50 | – | 89 | 600 | 130 | 410 | |
| World Median RGVs (2013) | 20 | 7 | 50 | 100 */250 ** | 200 | 3.5 | 1560 | 112 | 260 | 150 | 600 | |
| EBVs Santiago (2015) | EBV–S | 0.6 | 0.9 | 46 | 118 | 51 | 0.02 | 1300 | 136 | 5 | 169 | 79 |
| EBVs Maio | EBV–M1 | 2 | 0.2 | 42 | 139 | 71 | 0.03 | 1302 | 69 | 5 | 224 | 78 |
| EBV–M2 | 3 | 0.3 | 58 | 273 | 100 | 0.06 | 1994 | 138 | 10 | 332 | 98 |
Disclaimer/Publisher’s Note: The statements, opinions and data contained in all publications are solely those of the individual author(s) and contributor(s) and not of MDPI and/or the editor(s). MDPI and/or the editor(s) disclaim responsibility for any injury to people or property resulting from any ideas, methods, instructions or products referred to in the content. |
© 2026 by the authors. Licensee MDPI, Basel, Switzerland. This article is an open access article distributed under the terms and conditions of the Creative Commons Attribution (CC BY) license.
Share and Cite
Moreno, F.; Pinto, M.C.; Neves, O.; Neto, R. Topsoil Geochemistry and Land-Use-Related Metal(loid) Risks on Maio Island, Cape Verde. Geosciences 2026, 16, 109. https://doi.org/10.3390/geosciences16030109
Moreno F, Pinto MC, Neves O, Neto R. Topsoil Geochemistry and Land-Use-Related Metal(loid) Risks on Maio Island, Cape Verde. Geosciences. 2026; 16(3):109. https://doi.org/10.3390/geosciences16030109
Chicago/Turabian StyleMoreno, Filipa, Marina Cabral Pinto, Orquídia Neves, and Rosana Neto. 2026. "Topsoil Geochemistry and Land-Use-Related Metal(loid) Risks on Maio Island, Cape Verde" Geosciences 16, no. 3: 109. https://doi.org/10.3390/geosciences16030109
APA StyleMoreno, F., Pinto, M. C., Neves, O., & Neto, R. (2026). Topsoil Geochemistry and Land-Use-Related Metal(loid) Risks on Maio Island, Cape Verde. Geosciences, 16(3), 109. https://doi.org/10.3390/geosciences16030109

