Pilot Study on Fingerprinting the Isotopic Signatures of Fossiliferous Limestones as a Tool for Forensic Investigation of Fossil Trafficking (Cretaceous Crato Formation, Brazil)
Abstract
1. Introduction


| Locality | City (State) | Sampled Interval (Formation) | Latitude | Longitude | References |
|---|---|---|---|---|---|
| Nine Mile Canyon, Little Mesa, and Fossil Basin | Duchesne (Utah); La Barge and Kemmerer (Wyoming) (USA) | Green River Fm. (Eocene) | 39° 47.1′ N 38° 38.3′ N 41° 47.3′ N | 110° 23.8′ W 108° 21.1′ W 110° 32.2′ W | [44] and this work |
| Codó, Grajaú and Imperatriz | Codó, Grajaú and Imperatriz (Maranhão) | Codó Fm. (Lower Cretaceous) | 4° 33.6′ S 5° 44.7′ S 5° 31.6′ S | 43° 57.7′ W 46° 6.6′ W 47° 29.4′ W | [43] |
| Guaribas Section | Araripe (Ceará) | C6 unit (except 7 Cuts) | 7° 11.7′ S | 40° 4.2′ W | [32] |
| Salamanca | Missão Velha (Ceará) | C6 unit (except 7 Cuts) | 7° 12.9′ S | 39° 11.7′ W | [32] |
| Perta da Hora | Serrita (Pernambuco) | C6 unit (except 7 Cuts) | 7° 40.4′ S | 39° 18.0′ W | [45] |
| West Porteiras | Porteiras (Ceará) | C6 unit (except 7 Cuts) | 7° 31.9′ S | 39° 9.4′ W | [45,46] |
| K-Drilling | Crato (Ceará) | C1–C5 units | 7° 10.2′ S | 39° 28.9′ W | [45] |
| Caldas Quarry | Barbalha (Ceará) | C3 and C6 units (except 7 Cuts) | 7° 21.4′ S | 39° 22.0′ W | [46] |
| Batateira River | Crato (Ceará) | C3–C6 units (except 7 Cuts) | 7° 15.3′ S | 39° 27.4′ W | [32,45,46] |
| Santana do Cariri Quarries | Santana do Cariri (Ceará) | C6 unit (except 7 Cuts) | 7° 11.3′ S | 39° 43.7′ W | [46] |
| Nova Olinda Quarries | Nova Olinda (Ceará) | C6 unit (including 7 Cuts) | 7° 7.4′ S | 39° 42.0′ W | [32,47] |
| Tatajuba Quarry | Santana do Cariri (Ceará) | 7 Cuts | 7° 7.4′ S | 39° 49.8′ W | [47] |

2. Geological Background
Stratigraphy of the Crato Formation
3. Previous Stable Oxygen and Carbon Isotope Studies on the Crato Formation Limestone
4. Materials and Methods
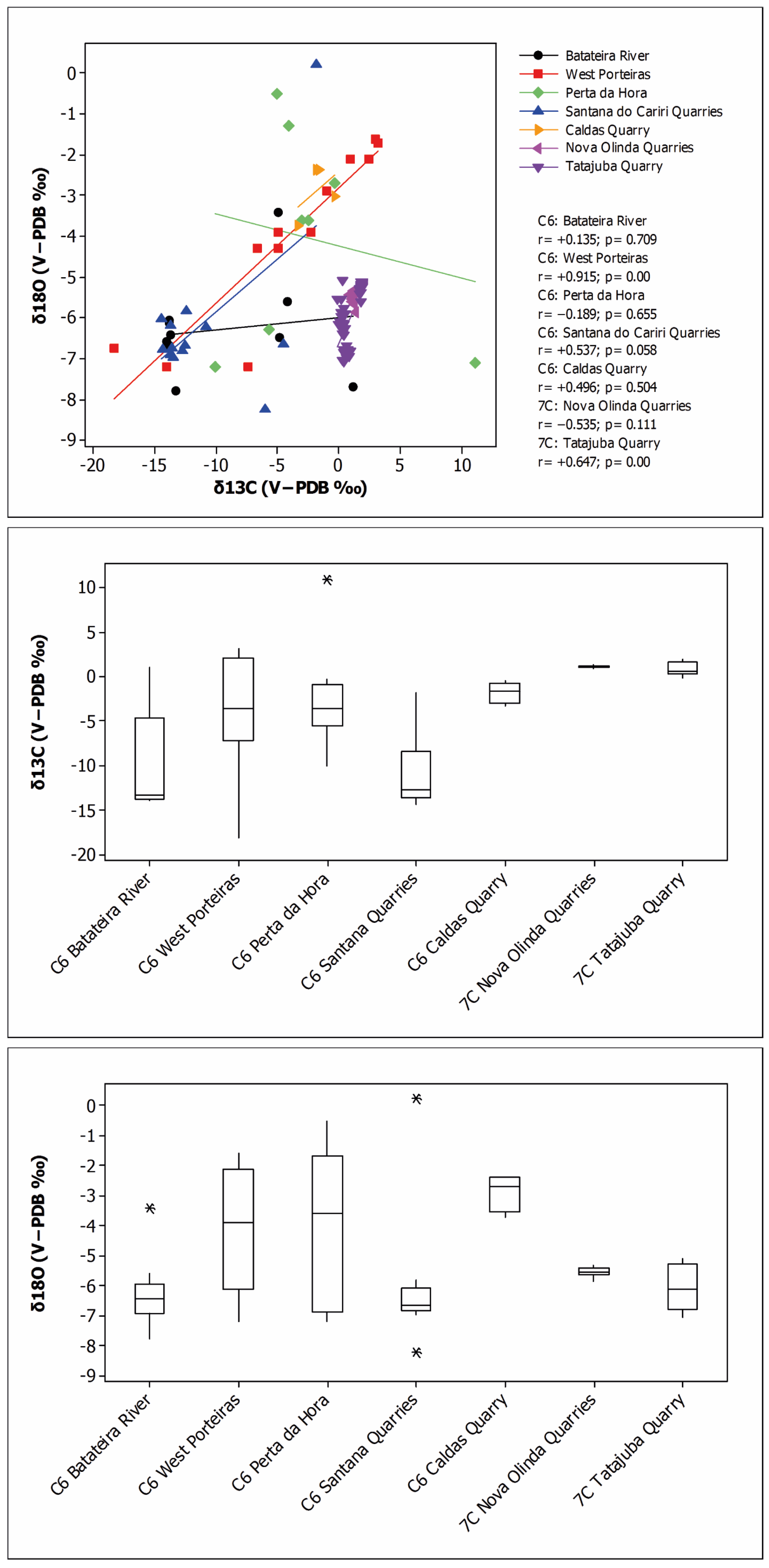
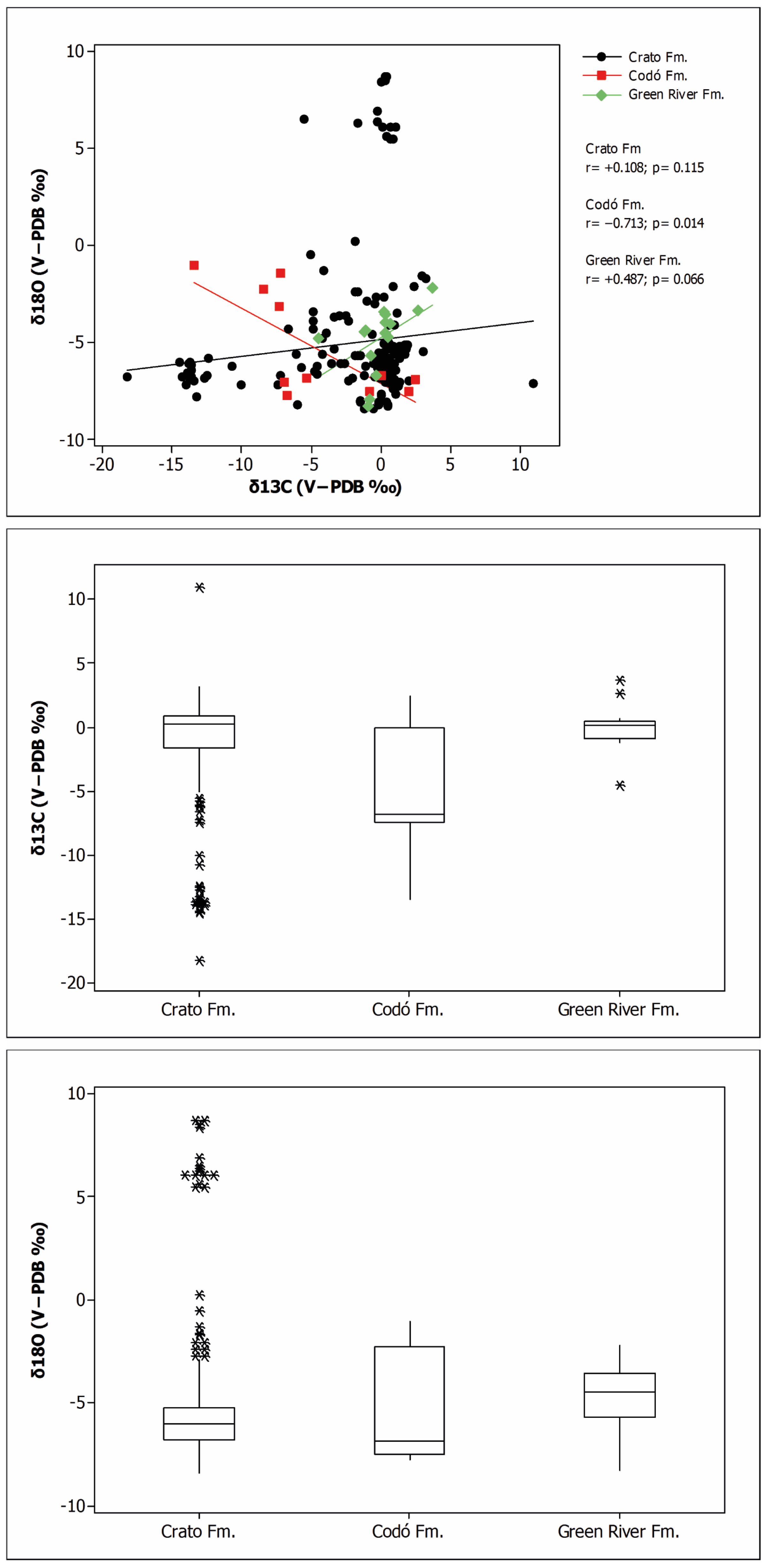
5. Results and Interpretation
General Description of Groupings
6. Discussion—Implications for Forensic Investigation of Fossil-Bearing Limestone
7. Conclusions
Author Contributions
Funding
Data Availability Statement
Acknowledgments
Conflicts of Interest
References
- Raja, N.B.; Dunne, E.M. Fossil Trafficking, Fraud, and Fakery. In Art Crime in Context; Oosterman, N., Yates, D., Eds.; Studies in Art, Heritage, Law and the Market 6; Springer: Cham, Switzerland, 2022; pp. 61–79. [Google Scholar] [CrossRef]
- Donnelly, L.J.; Pirrie, D. Crimes associated with geological materials: Mining, minerals, metals and fossils. Geol. Today 2024, 40, 159–164. [Google Scholar] [CrossRef]
- Pye, K.; Croft, D.J. Forensic Geoscience: Introduction and Overview. In Forensic Geoscience: Principles, Techniques and Applications; Geological Society, London, Special Publications: London, UK, 2004; Volume 232, pp. 1–5. [Google Scholar] [CrossRef]
- Ruffell, A.; McKinley, J. Forensic geoscience: Applications of geology, geomorphology and geophysics to criminal investigations. Earth-Sci. Rev. 2005, 69, 235–247. [Google Scholar] [CrossRef]
- Morgan, R.M.; Bull, P.A. Forensic geoscience and crime detection. Minerva Medicolegale 2007, 127, 73–89. [Google Scholar]
- Ruffell, A.; McKinley, J. Geoforensics; John Wiley & Sons: Hoboken, NJ, USA, 2008; p. 332. ISBN 978-0-470-75884-7. [Google Scholar]
- Somma, R. Advances in flipped classrooms for teaching and learning forensic geology. Educ. Sci. 2022, 12, 403. [Google Scholar] [CrossRef]
- Somma, R. Unraveling crimes with geosciences. Atti Accad. Peloritana Pericolanti-Cl. Sci. Fis. Mat. Nat. 2023, 101, 2. [Google Scholar] [CrossRef]
- Somma, R. Tracking the route walked by Missing Persons and Fugitives: A Geoforensics casework (Italy). Geosciences 2023, 13, 335. [Google Scholar] [CrossRef]
- Ruffell, A. Searching for the IRA “disappeared”: Ground-penetrating radar investigation of a churchyard burial site. Northern Ireland. J. Forensic Sci. 2005, 50, 1430–1435. [Google Scholar] [CrossRef]
- Rawlins, B.G.; Kemp, S.J.; Hodgkinson, E.H.; Riding, J.B.; Vane, C.H.; Poulton, C.; Freeborough, K. Potential and pitfalls in establishing the provenance of earth-related samples in forensic investigations. J. Forensic Sci. 2006, 51, 832–845. [Google Scholar] [CrossRef]
- Morgan, R.M.; Bull, P.A. The philosophy, nature and practice of forensic sediment analysis. Prog. Phys. Geogr. 2007, 31, 43–58. [Google Scholar] [CrossRef]
- Morgan, R.M.; Freudiger-Bonzon, J.; Nichols, K.H.; Jellis, T.; Dunkerley, S.; Zelazowski, P.; Bull, P.A. The forensic analysis of sediments recovered from footwear. In Criminal and Environmental Soil Forensics; Springer: Berlin/Heidelberg, Germany, 2009; pp. 253–269. ISBN 978-1-4020-9204-6. [Google Scholar] [CrossRef]
- Sacchi, E.; Nicosia, U. Forensic paleontology: A tool for “intelligence” and investigation. J. Forensic Sci. 2013, 58, 651–657. [Google Scholar] [CrossRef]
- Bogusz, I.; Bogusz, M.; Żelazna-Wieczorek, J. Diatoms from inland aquatic and soil habitats as indestructible and nonremovable forensic environmental evidence. J. Forensic Sci. 2022, 67, 1490–1504. [Google Scholar] [CrossRef]
- Marra, A.C.; Di Silvestro, G.; Somma, R. Palaeontology applied to criminal investigation. AAPP Phys. Math. Nat. Sci./Atti Accad. Peloritana Pericolanti Cl. Sci. Fis. Mat. Nat. 2023, 101, A4. [Google Scholar] [CrossRef]
- Spoto, S.E.; Barone, S.; Somma, R. An introduction to forensic geosciences. Atti Accad. Peloritana Pericolanti-Cl. Sci. Fis. Mat. Nat. 2023, 101, A1. [Google Scholar] [CrossRef]
- Somma, R.; Sutton, L.; Byrd, J.H. Forensic geology applied to the search for homicide graves. Atti Accad. Peloritana Pericolanti-Cl. Sci. Fis. Mat. Nat. 2023, 101, A5. [Google Scholar] [CrossRef]
- Cox, R.J.; Peterson, H.L.; Young, J.; Cusik, C.; Espinoza, E.O. The forensic analysis of soil organic by FTIR. Forensic Sci. Int. 2000, 108, 107–116. [Google Scholar] [CrossRef]
- Morgan, R.M.; Bull, P.A. Data interpretation in forensic sediment and soil geochemistry. Environ. Forensics 2006, 7, 325–334. [Google Scholar] [CrossRef]
- West, J.B.; Hurley, J.M.; Dudás, F.Ö.; Ehleringer, J.R. The stable isotope ratios of marijuana. II. Strontium isotopes relate to geographic origin. J. Forensic Sci. 2009, 54, 1261–1269. [Google Scholar] [CrossRef]
- Madureira-Carvalho, Á.; Ribeiro, H.; Newman, G.; Brewer, M.J.; Guedes, A.; Abreu, I.; Noronha, F.; Dawson, L. Geochemical analysis of sediment samples for forensic purposes: Characterisation of two river beaches from the Douro River, Portugal. Aust. J. Forensic Sci. 2020, 52, 222–234. [Google Scholar] [CrossRef]
- Spoto, S.E.; Somma, R.; Crea, F. Using a forensic-based learning approach to teach geochemistry. Atti Accad. Peloritana Pericolanti-Cl. Sci. Fis. Mat. Nat. 2021, 99, A31. [Google Scholar] [CrossRef]
- Sharp, Z. Stable Isotope Geochemistry; Pearson Prentice Hall: Upper Saddle River, NJ, USA, 2007; 344p. [Google Scholar]
- Swart, P.K. The geochemistry of carbonate diagenesis: The past, present and future. Sedimentology 2015, 62, 1233–1304. [Google Scholar] [CrossRef]
- Ueda, M.; Bell, L.S. Paired stable carbon and oxygen isotope analyses of human enamel for forensic human geolocation: An exploratory study. J. Forensic Sci. 2023, 68, 382–398. [Google Scholar] [CrossRef]
- Pilgrim, T.S.; Watling, R.; Grice, K. Application of trace element and stable isotope signatures to determine the provenance of tea (Camellia sinensis) samples. Food Chem. 2010, 118, 921–926. [Google Scholar] [CrossRef]
- Mazarakioti, E.C.; Zotos, A.; Thomatou, A.A.; Kontogeorgos, A.; Patakas, A.; Ladavos, A. Inductively coupled plasma-mass spectrometry (ICP-MS), a useful tool in authenticity of agricultural products’ and foods’ origin. Foods 2022, 11, 3705. [Google Scholar] [CrossRef]
- Chien, H.J.; Zheng, Y.F.; Wang, W.C.; Kuo, C.Y.; Hsu, Y.M.; Lai, C.C. Determination of adulteration, geographical origins, and species of food by mass spectrometry. Mass Spectrom. Rev. 2023, 42, 2273–2323. [Google Scholar] [CrossRef]
- Artavia, G.; Cortés-Herrera, C.; Granados-Chinchilla, F. Selected instrumental techniques applied in food and feed: Quality, safety and adulteration analysis. Foods 2021, 10, 1081. [Google Scholar] [CrossRef]
- Varejão, F.G.; Silva, V.R.; Assine, M.L.; Warren, L.V.; Matos, S.A.; Rodrigues, M.G.; Fürsich, F.T.; Simões, M.G. Marine or freshwater? Accessing the paleoenvironmental parameters of the Caldas Bed, a key marker bed in the Crato Formation (Araripe Basin, NE Brazil). Braz. J. Geol. 2021, 51, 1–12. [Google Scholar] [CrossRef]
- Varejão, F.G.; Warren, L.V.; Simões, M.G.; Buatois, L.A.; Mangano, M.G.; Rumbelsperger, A.M.; Assine, M.L. Mixed siliciclastic-carbonate sedimentation in an evolving epicontinental sea: Aptian record of marginal marine settings in the interior basins of north-eastern Brazil. Sedimentology 2021, 68, 2125–2164. [Google Scholar] [CrossRef]
- Kunzmann, L.; Coiffard, C.; Westerkamp, A.P.; Batista, M.E.; Uhl, D.; Solorzano-Kraemer, M.M.; Mendes, M.; do Nascimento, D.R., Jr.; Iannuzzi, R.; da Silva Filho, W.F. Crato Flora: A 115-million-year-old window into the Cretaceous World of Brazil. In Brazilian Paleofloras; Iannuzzi, R., Roessler, R., Kunzmann, L., Eds.; Springer: Berlin/Heidelberg, Germany, 2021; pp. 1–40. [Google Scholar] [CrossRef]
- Viana, M.S.; Neumann, V.H. Membro Crato da Formação Santana, Chapada do Araripe, CE. In Sítios Geológicos e Paleontológicos do Brasil; Schobbenhaus, C., Campos, D.A., Queiroz, E.T., Winge, M., Berbert-Born, M.L., Eds.; DNPM/CPRM: Brasília, Brazil, 2002; pp. 12–120. Available online: https://sigep.eco.br/sitio005/sitio005.pdf (accessed on 6 October 2024).
- Catalina, L. Mercado Internacional: Perfil Online Leiloa Fossil Traficado do Cariri Cearense. Ceará. 2020. O Povo Online. 2020. Available online: https://www.opovo.com.br/noticias/cariri/2020/11/11/mercado-internacional--perfil-online-leiloa-fossil-traficado-do-cariri-cearense.html (accessed on 10 December 2022).
- Catalina, L. Quem São e o Que Pensam os Paises que Mais Traficam Fósseis do Cariri. 2022. O Povo Online. 2022. Available online: https://mais.opovo.com.br/reportagens-especiais/mundo-dos-fosseis/2022/03/02/quem-sao-e-o-que-pensam-os-paises-que-mais-traficam-fosseis-do-cariri.html#:~:text=Ao%20analisar%20tr%C3%AAs%20d%C3%A9cadas%20de,foram%20lideradas%20por%20pesquisadores%20estrangeiros (accessed on 8 September 2023).
- Andrade, R.A. No Rastro dos Fósseis Contrabandeados. Revista Pesquisa FAPESP. 2021. Available online: https://revistapesquisa.fapesp.br/no-rastro-dos-fosseis-contrabandeados/ (accessed on 7 October 2024).
- Brazil. Decree-Law No. 4,146, of March 4, 1942; Presidency of the Republic: Rio de Janeiro, Brazil, 1942. Available online: http://www.planalto.gov.br/ccivil_03/decreto-lei/1937-1946/Del4146.htm (accessed on 10 December 2022).
- Brazil. Constitution of the Federative Republic of Brazil of 1988; Presidency of the Republic: Brasília, Brazil, 1988. Available online: http://www.planalto.gov.br/ccivil_03/Constituicao/Constituicao.htm (accessed on 9 December 2022).
- Brazil. Law No. 8,176, of February 8, 1991; Presidency of the Republic: Brasília, Brazil, 1991. Available online: http://www.planalto.gov.br/ccivil_03/LEIS/L8176.htm (accessed on 27 April 2021).
- Brazil. Decree No. 98.830, of January 15, 1990; Presidency of the Republic: Brasília, Brazil, 1990. Available online: https://www.planalto.gov.br/ccivil_03/decreto/1990-1994/d98830.htm (accessed on 27 April 2021).
- Assine, M.L.; Perinotto, J.D.J.; Custódio, M.A.; Neumann, V.H.; Varejão, F.G.; Mescolotti, P.C. Depositional sequences of the Alagoas Member of the Araripe Basin, Northeast Brazil. Bol. Geociências Petrobras 2014, 22, 3–28. [Google Scholar]
- Bahniuk, A.M.; Anjos, S.; França, A.B.; Matsuda, N.; Eiler, J.; McKenzie, J.A.; Vasconcelos, C. Development of microbial carbonates in the Lower Cretaceous Codó Formation (north-east Brazil): Implications for interpretation of microbialite facies associations and palaeoenvironmental conditions. Sedimentology 2015, 62, 155–181. [Google Scholar] [CrossRef]
- Della Porta, G. Carbonate build-ups in lacustrine, hydrothermal, and fluvial settings: Comparing depositional geometry, fabric types, and geochemical signature. In Microbial Carbonates in Space and Time: Implications for Global Exploration and Production; Bosence, D.W., Gibbons, K.A., Le Heron, D.P., Morgan, W.A., Pritchard, T., Vining, B.A., Eds.; Geological Society of London: London, UK, 2015. [Google Scholar] [CrossRef]
- Neumann, V.H. Estratigrafía, Sedimentología, Geoquímica y Diagénesis de los Sistemas Lacustres Aptienses-Albienses de la Cuenca de Araripe (Noreste de Brasil). Stratigraphy, Sedimentology, Geochemistry, and Diagenesis of the Aptian-Albian Lacustrine Systems of the Araripe Basin (Northeast Brazil). Ph.D. Thesis, University of Barcelona, Barcelona, Spain, 1999. [Google Scholar]
- Silveira, A.C. Geochemical, sedimentological, and stratigraphic characterization of the carbonate layer of level C6 of the Crato Formation (Pre-Salt, Aptian) of the Araripe Basin, NE Brazil. Ph.D. Thesis, Universidade Federal de Pernambuco, Fortaleza, Brazil, 2019. [Google Scholar]
- Heimhofer, U.; Ariztegui, D.; Lenniger, M.; Hesselbo, S.P.; Martill, D.M.; Rios-Netto, A.M. Deciphering the depositional environment of the laminated, Crato fossil beds (Early Cretaceous, Araripe Basin, North-eastem Brazil). Sedimentology 2010, 57, 677–694. [Google Scholar] [CrossRef]
- Lindoso, R.M. A Biota da Formação Codó (Aptiano, Bacia do Parnaíba), Nordeste do Brasil: Aspectos Paleoambientais e Paleobiogeográficos. Ph.D. Thesis, Federal University of Rio de Janeiro, Rio de Janeiro, Brazil, 2016. [Google Scholar]
- Assine, M.L. Bacia do Araripe. Bol. Geociências Petrobras 2007, 15, 371–389. [Google Scholar]
- Ponte, F.C.; Appi, C.J. Proposta de revisão da coluna litoestratigráfica da Bacia do Araripe. Proposal for a revision of the lithostratigraphic column of the Araripe Basin. In 36th Congresso Brasileiro de Geologia, 1990, Natal. Anals; Sociedade Brasileira de Geologia: Brasilia, Brazil, 1990; Volume 1, pp. 211–226. [Google Scholar]
- Assine, M.L. Análise estratigráfica da bacia do Araripe, Nordeste do Brasil. Stratigraphic analysis of the Araripe Basin, Northeast Brazil. Rev. Bras. Geociências 1992, 22, 289–300. [Google Scholar] [CrossRef]
- Rosa, M.C.; Morales, N.; Assine, M.L. Transtensional tectonics during the Gondwana breakup in northeastern Brazil: Early Cretaceous paleostress inversion in the Araripe Basin. Tectonophysics 2023, 846, 229666. [Google Scholar] [CrossRef]
- Almeida, F.F.M.; Leonardos, O.H., Jr.; Valença, J. Granitic Rocks of northeast South America; IUGS/UNESCO Symposium: Recife, Brazil, 1967; p. 41. [Google Scholar]
- Ponte, F.C.; Ponte Filho, F.C. Evolução tectônica e classificação da Bacia do Araripe. Geological structure and tectonic evolution of the Araripe Basin. In Report of the Departamento Nacional de Produção Mineral; Departamento Nacional de Produção Mineral: Recife, Brazil, 1996; p. 68. [Google Scholar]
- Prosser, S. Rift-related linked depositional systems and their seismic expression. Geol. Soc. London Spec. Publ. 1993, 71, 35–66. [Google Scholar] [CrossRef]
- Fambrini, G.L.; Silvestre, D.C.; Barreto, A.M., Jr.; Silva Filho, W.F. Estratigrafia da Bacia do Araripe: Estado da arte, revisão crítica e resultados novos. Stratigraphy of the Araripe Basin: State of the art, critical review, and new results. Geol. USP Sér. Cient. 2020, 20, 169–212. [Google Scholar] [CrossRef]
- Neumann, V.H.; Aragão, M.A.; Valença, L.M.; Leal, J.P. Lacustrine environments. In Siliciclastic Sedimentary Environments of Brazil, 1st ed.; Silva, A.J., Aragão, M.A., Magalhães, A.J., Eds.; Beca-BALL: São Paulo, Brazil, 2008; pp. 132–168. [Google Scholar]
- Santos, F.H.; Azevedo, J.M.; Nascimento, D.R., Jr.; Souza, A.C.; Mendes, I.; Limaverde, S. Facies analysis and petrography of a Crato Member section in Nova Olinda (CE): Contributions to the depositional and diagenetic history of the Neoaptian in the Araripe Basin. Geol. USP Sér. Cient. 2017, 17, 3–18. [Google Scholar] [CrossRef]
- Chagas, D.B. Análise Faciológica Frente ao Controle Paleoambiental Baseado na Palinologia do Intervalo Aptiano/Albiano da Bacia do Araripe (Sub-Bacias Cariri e Feira Nova), NE do Brasil. Facies Analysis Based on Paleoenvironmental Control Using Palynology of the Aptian-Albian Interval of the Araripe Basin (Cariri and Feira Nova Sub-Basins), NE Brazil. Ph.D. Thesis, Federal University of Ceará, Fortaleza, Brazil, 2017. [Google Scholar]
- Goldberg, K.; Premaor, E.; Bardola, T.; Sousa, P.A. Aptian marine ingression in the Araripe Basin: Implications for paleogeographic reconstruction and evaporite accumulation. Mar. Pet. Geol. 2019, 107, 214–221. [Google Scholar] [CrossRef]
- Salgado-Campos, V.M.; Carvalho, I.S.; Bertolino, L.C.; Duarte, T.A.; Araújo, B.C.; Borghi, L. Clay mineralogy and lithogeochemistry of lutites from the Lower Cretaceous Crato Member, Araripe Basin, NE Brazil: Implications for paleoenvironmental, paleoclimatic and provenance reconstructions. J. S. Am. Earth Sci. 2021, 110, 103329. [Google Scholar] [CrossRef]
- Neumann, V.H.; Cabrera, L. Características hidrogeológicas gerais, mudanças de salinidade e caráter endorreico do Sistema lacustre Cretáceo do Araripe, NE Brasil/General hydrogeological characteristics, salinity changes, and endorheic nature of the Cretaceous lacustrine system of Araripe, NE Brazil. Rev. Geolog. UFC 2002, 15, 43–54. [Google Scholar]
- Corecco, L.; Bezerra, F.I.; Silva Filho, W.F.; Nascimento Júnior, D.R.; Silva, J.H.; Felix, J.L. Petrological meaning of ethnostratigraphic units: Laminated limestone of the Crato Formation, Araripe Basin, NE Brazil. Pesqui. Geociênc. 2022, 49, e121139. [Google Scholar] [CrossRef]
- Felix, J.L. Perfil etnobioestratigráfico (informa) das minas de Nova Olinda, Formação Crato da Bacia do Araripe. Master’s Thesis, Federal University of Ceará, Fortaleza, Brazil, 2017. [Google Scholar]
- Salvador, A. International Stratigraphic Guide: A Guide to Stratigraphic Classification, Terminology, and Procedure; Geological Society of America: Boulder, CO, USA, 1994. [Google Scholar]
- Petri, S.; Coimbra, A.M.; Amaral, G.; Ojeda, H.A.; Fúlfaro, V.J.; Ponçano, W.L. Brazilian Code of Stratigraphic Nomenclature, Stratigraphic Nomenclature Guide. Rev. Bras. Geociênc. 1986, 16, 370–415. [Google Scholar] [CrossRef]
- Oriel, S.S.; Chairman, H.G.; Hay, W.W.; Kottlowski, F.E.; Patton, J.B. North American Stratigraphic Code. Am. Assoc. Pet. Geol. Bull. 1983, 67, 841–875. [Google Scholar]
- Oriel, S.S.; Chairman, H.G.; Hay, W.W.; Kottlowski, F.E.; Patton, J.B. North American Stratigraphic Code. Am. Assoc. Pet. Geol. Bull. 2005, 89, 1547–1591. [Google Scholar]
- Scoffin, T.P. An Introduction to Carbonate Sediments and Rocks; Chapman and Hall: New York, NY, USA, 1987; p. 274. [Google Scholar]
- Leggitt, V.L.; Cushman, R.A., Jr. Complex caddisfly-dominated bioherms from the Eocene Green River Formation. Sediment. Geol. 2001, 145, 377–396. [Google Scholar] [CrossRef]
- Witte, R.S.; Witte, J.S. Estatística, 7th ed.; Editora LTC: Rio de Janeiro, Brazil, 2005. [Google Scholar]
- Martill, D.M.; Heimhofer, U. Stratigraphy of the Crato Formation. In The Crato Fossil Beds of Brazil: Window into an Ancient World; Martill, D.M., Bechly, G., Loveridge, R.F., Eds.; Cambridge University Press: Cambridge, UK, 2007; pp. 25–43. [Google Scholar]
- Brazil. Decree No. 3.689, of October 3, 1941; Presidency of the Republic: Brasília, Brazil, 1941. Available online: https://www.planalto.gov.br/ccivil_03/decreto-lei/del3689.htm (accessed on 25 August 2025).






| Group | n | Max | Min | Mean | SD | Q1 | Median | Q3 | IQR |
|---|---|---|---|---|---|---|---|---|---|
| δ18O Crato | 213 | 8.70 | −8.40 | −4.98 | 3.54 | −6.78 | −6.03 | −5.21 | 1.58 |
| δ13C Crato | 213 | 11.00 | −18.22 | −1.30 | 4.36 | −1.58 | 0.34 | 0.90 | 2.48 |
| δ18O Codó | 11 | −1.04 | −7.76 | −5.29 | 2.69 | −7.51 | −6.86 | −2.25 | 5.26 |
| δ13C Codó | 11 | 2.52 | −13.40 | −4.70 | 4.96 | −7.35 | −6.77 | 0.01 | 7.36 |
| δ18O Green River | 15 | −2.22 | −8.27 | −4.80 | 1.69 | −5.66 | −4.46 | −3.56 | 2.10 |
| δ13C Green River | 15 | 3.69 | −4.45 | −0.05 | 1.82 | −0.90 | 0.20 | 0.49 | 1.40 |
| δ18O C6 | 170 | 0.23 | −8.25 | −5.72 | 1.47 | −6.78 | −5.99 | −5.25 | 1.53 |
| δ13C C6 | 170 | 11.00 | −18.22 | −1.47 | 4.77 | −1.87 | 0.37 | 1.01 | 2.88 |
| δ18O C1-5 | 43 | 8.70 | −8.40 | −2.07 | 6.61 | −6.90 | −6.10 | 6.10 | 13.00 |
| δ13C C1-5 | 43 | 1.10 | −7.20 | −0.61 | 1.94 | −1.20 | 0.00 | 0.70 | 1.90 |
| δ18O C6 BR | 10 | −3.40 | −7.79 | −6.29 | 1.22 | −6.95 | −6.47 | −5.95 | 1.01 |
| δ13C C6 BR | 10 | 1.10 | −13.94 | −9.49 | 5.67 | −13.79 | −13.42 | −4.65 | 9.14 |
| δ18O C6 WP | 12 | −1.60 | −7.21 | −4.00 | 2.08 | −6.14 | −3.90 | −2.10 | 4.04 |
| δ13C C6 WP | 12 | 3.20 | −18.22 | −4.15 | 6.73 | −7.20 | −3.60 | 2.02 | 9.23 |
| δ18O C6 PH | 8 | −0.50 | −7.20 | −4.04 | 2.58 | −6.90 | −3.60 | −1.65 | 5.25 |
| δ13C C6 PH | 8 | 11.00 | −10.00 | −2.45 | 6.13 | −5.53 | −3.55 | −0.85 | 4.68 |
| δ18O C6 SQ | 13 | 0.23 | −8.25 | −6.14 | 2.01 | −6.87 | −6.68 | −6.11 | 0.76 |
| δ13C C6 SQ | 13 | −1.80 | −14.45 | −11.06 | 4.16 | −13.67 | −12.72 | −8.38 | 5.29 |
| δ18O C6 CQ | 4 | −2.38 | −3.73 | −2.88 | 0.64 | −3.56 | −2.71 | −2.38 | 1.18 |
| δ13C C6 CQ | 4 | −0.39 | −3.32 | −1.79 | 1.20 | −2.94 | −1.73 | −0.71 | 2.24 |
| δ18O 7C NQ | 10 | −5.34 | −5.85 | −5.55 | 0.15 | −5.63 | −5.54 | −5.43 | 0.20 |
| δ13C 7C NQ | 10 | 1.32 | 0.84 | 1.13 | 0.14 | 1.04 | 1.16 | 1.24 | 0.20 |
| δ18O 7C TQ | 60 | −5.10 | −7.06 | −6.06 | 0.68 | −6.81 | −6.14 | −5.30 | 1.51 |
| δ13C 7C TQ | 60 | 1.93 | −0.14 | 0.86 | 0.66 | 0.34 | 0.60 | 1.71 | 1.37 |
| δ18O 7C | 74 | −3.47 | −7.41 | −5.94 | 0.76 | −6.78 | −5.89 | −5.30 | 1.47 |
| δ13C 7C | 74 | 1.93 | −0.14 | 0.90 | 0.61 | 0.41 | 0.73 | 1.66 | 1.24 |
| δ18O above 7C | 58 | 0.23 | −8.25 | −5.67 | 1.75 | −6.83 | −6.15 | −4.80 | 2.03 |
| δ13C above 7C | 58 | 3.20 | −18.22 | −5.09 | 6.24 | −12.84 | −3.11 | 0.36 | 13.20 |
| δ18O LL | 113 | 0.23 | −8.25 | −5.92 | 1.38 | −6.82 | −6.19 | −5.54 | 1.29 |
| δ13C LL | 113 | 3.20 | −18.22 | −2.32 | 5.29 | −3.34 | 0.30 | 0.72 | 4.05 |
| δ18O CCR | 28 | −2.10 | −8.19 | −5.44 | 1.33 | −5.55 | −5.27 | −5.17 | 0.38 |
| δ13C CCR | 28 | 2.40 | −2.03 | 1.25 | 1.02 | 0.50 | 1.75 | 1.83 | 1.33 |
Disclaimer/Publisher’s Note: The statements, opinions and data contained in all publications are solely those of the individual author(s) and contributor(s) and not of MDPI and/or the editor(s). MDPI and/or the editor(s) disclaim responsibility for any injury to people or property resulting from any ideas, methods, instructions or products referred to in the content. |
© 2025 by the authors. Licensee MDPI, Basel, Switzerland. This article is an open access article distributed under the terms and conditions of the Creative Commons Attribution (CC BY) license (https://creativecommons.org/licenses/by/4.0/).
Share and Cite
Pimentel de Sousa, M.A.; do Nascimento Junior, D.R.; Bahniuk, A.M.; Della Porta, G. Pilot Study on Fingerprinting the Isotopic Signatures of Fossiliferous Limestones as a Tool for Forensic Investigation of Fossil Trafficking (Cretaceous Crato Formation, Brazil). Geosciences 2025, 15, 403. https://doi.org/10.3390/geosciences15100403
Pimentel de Sousa MA, do Nascimento Junior DR, Bahniuk AM, Della Porta G. Pilot Study on Fingerprinting the Isotopic Signatures of Fossiliferous Limestones as a Tool for Forensic Investigation of Fossil Trafficking (Cretaceous Crato Formation, Brazil). Geosciences. 2025; 15(10):403. https://doi.org/10.3390/geosciences15100403
Chicago/Turabian StylePimentel de Sousa, Marcos Antônio, Daniel Rodrigues do Nascimento Junior, Anelize Manuela Bahniuk, and Giovanna Della Porta. 2025. "Pilot Study on Fingerprinting the Isotopic Signatures of Fossiliferous Limestones as a Tool for Forensic Investigation of Fossil Trafficking (Cretaceous Crato Formation, Brazil)" Geosciences 15, no. 10: 403. https://doi.org/10.3390/geosciences15100403
APA StylePimentel de Sousa, M. A., do Nascimento Junior, D. R., Bahniuk, A. M., & Della Porta, G. (2025). Pilot Study on Fingerprinting the Isotopic Signatures of Fossiliferous Limestones as a Tool for Forensic Investigation of Fossil Trafficking (Cretaceous Crato Formation, Brazil). Geosciences, 15(10), 403. https://doi.org/10.3390/geosciences15100403

