Experimental Investigation on the Effect of Sequences of Unsteady Flows on Bedload Sediment Transport
Abstract
1. Introduction
2. Materials and Methods
3. Results and Discussion
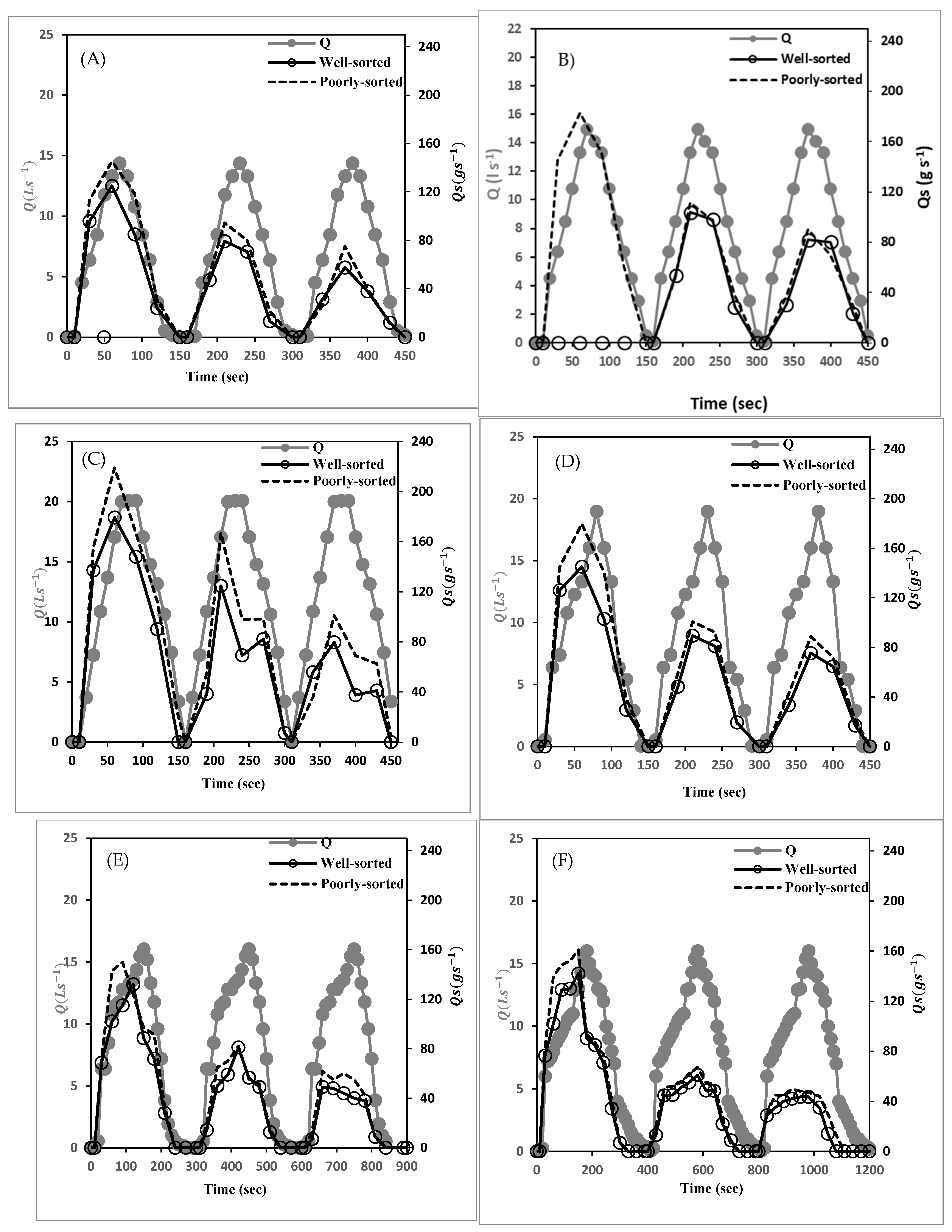
3.1. Dynamics of Sediment Transport during Repetitions of Hydrographs
3.2. Trends of Hysteresis in the Transport of Sediments during Repetition of Hydrographs
3.3. Changes in Bed Grain Size during the Repetition of Hydrographs
4. Conclusions
Author Contributions
Funding
Data Availability Statement
Acknowledgments
Conflicts of Interest
References
- Hooke, J.M. Extreme Sediment Fluxes in a Dryland Flash Flood. J. Sci. Rep. 2019, 9, 1686. [Google Scholar] [CrossRef] [PubMed]
- Reid, I.; Laronne, J.B. Bed Load Sediment Transport in an Ephemeral Stream and a Comparison with Seasonal and Perennial Counterparts. J. Water Resour. Res. 1995, 31, 773–781. [Google Scholar] [CrossRef]
- Hassan, M.A.; Egozi, R.; Parker, G. Experiments on the Effect of Hydrograph Characteristics on Vertical Grain Sorting in Gravel Bed Rivers. J. Water Resour. Res. 2006, 42. [Google Scholar] [CrossRef]
- Nouh, M. Methods of Estimating Bed Load Transport Rates Applied to Ephemeral Streams. In Sediment Budgets (Processing of the Porto Alegre Symposium); IAHS Publication: Wallingford, UK, 1988; Number 174. [Google Scholar]
- Mao, L. The Effect of Hydrographs on Bed Load Transport and Bed Sediment Spatial Arrangement. J. Geophys. Res. Earth Surf. 2012, 117. [Google Scholar] [CrossRef]
- Reid, I.; Frostick, L.E. Dynamics of Bedload Transport in Turkey Brook, a Coarse-Grained Alluvial Channel. Earth Surf. Process. Landf. 1986, 11, 143–155. [Google Scholar] [CrossRef]
- Lucia, A.; Recking, A.; Martin-Duque, J.F.; Storz-Peretz, Y.; Laronne, J.B. Continuous monitoring of bedload discharge in a small, steep sandy channel. J. Hydrol. 2013, 497, 37–50. [Google Scholar] [CrossRef]
- Halfi, E.; Thappeta, S.K.; Johnson, J.P.L.; Reid, I.; Laronne, J.B. Transient bedload transport during flashflood bores in a desert gravel-bed channel. J. Water Resour. Res. 2003, 59, e2022WR033754. [Google Scholar] [CrossRef]
- Mrokowska, M.M.; Rowiński, P.M. Impact of Unsteady Flow Events on Bedload Transport: A Review of Laboratory Experiments. J. Water 2019, 11, 907. [Google Scholar] [CrossRef]
- Gunsolus, E.H.; Binns, A.D. Effect of Morphologic and Hydraulic Factors on Hysteresis of Sediment Transport Rates in Alluvial Streams. J. River Res. Appl. 2017, 34, 183–192. [Google Scholar] [CrossRef]
- Mao, L. The effects of flood history on sediment transport in gravel-bed rivers. J. Geomorphol. 2018, 322, 196–205. [Google Scholar] [CrossRef]
- Ahanger, M.A.; Asawa, G.L.; Lone, M.A. Experimental Study of Sediment Transport Hysteresis. J. Hydraul. Res. 2008, 46, 628–635. [Google Scholar] [CrossRef]
- Luo, M.; Jiang, Y.; Wang, S.; Liu, X.; Huang, E. The effect of stress history on fluctuation of bedload transport rate and bed topography in gravel-bed streams. J. Hydrol. 2023, 616, 128732. [Google Scholar] [CrossRef]
- Khosravi, K.; Chegini, A.H.N.; Binns, A.D.; Daggupati, P.; Mao, L. Difference in the Bed Load Transport of Graded and Uniform Sediments during Floods: An Experimental Investigation. J. Hydrol. Res. 2019, 50, 1645–1664. [Google Scholar] [CrossRef]
- Stark, K.; Cadol, D.; Varyu, D.; Laronne, J.B. Direct, continuous measurements of ultra-high sediment fluxes in a sandy gravel-bed ephemeral river. Geomorphology 2021, 382, 107682. [Google Scholar] [CrossRef]
- Malutta, S.; Kobiyama, M.; Chaffe, P.L.B.; Bonumá, N.B. Hysteresis Analysis to Quantify and Qualify the Sediment Dynamics: State of the Art. J. Water Sci. Technol. 2020, 81, 2471–2487. [Google Scholar] [CrossRef]









| Classification | (mm) * | (mm) | (mm) | (mm) | (mm) | (mm) |
|---|---|---|---|---|---|---|
| Poorly sorted | 1.60 | 6 | 2.2 | 4.1 | 2 | 8 |
| Well sorted | 1.29 | 3.1 | 5.2 | 4.1 | 3 | 5 |
Disclaimer/Publisher’s Note: The statements, opinions and data contained in all publications are solely those of the individual author(s) and contributor(s) and not of MDPI and/or the editor(s). MDPI and/or the editor(s) disclaim responsibility for any injury to people or property resulting from any ideas, methods, instructions or products referred to in the content. |
© 2024 by the authors. Licensee MDPI, Basel, Switzerland. This article is an open access article distributed under the terms and conditions of the Creative Commons Attribution (CC BY) license (https://creativecommons.org/licenses/by/4.0/).
Share and Cite
Askari, Z.; Mao, L.; Khodashenas, S.R.; Esmaili, K. Experimental Investigation on the Effect of Sequences of Unsteady Flows on Bedload Sediment Transport. Geosciences 2024, 14, 193. https://doi.org/10.3390/geosciences14070193
Askari Z, Mao L, Khodashenas SR, Esmaili K. Experimental Investigation on the Effect of Sequences of Unsteady Flows on Bedload Sediment Transport. Geosciences. 2024; 14(7):193. https://doi.org/10.3390/geosciences14070193
Chicago/Turabian StyleAskari, Zahra, Luca Mao, Saeed Reza Khodashenas, and Kazem Esmaili. 2024. "Experimental Investigation on the Effect of Sequences of Unsteady Flows on Bedload Sediment Transport" Geosciences 14, no. 7: 193. https://doi.org/10.3390/geosciences14070193
APA StyleAskari, Z., Mao, L., Khodashenas, S. R., & Esmaili, K. (2024). Experimental Investigation on the Effect of Sequences of Unsteady Flows on Bedload Sediment Transport. Geosciences, 14(7), 193. https://doi.org/10.3390/geosciences14070193

