Abstract
During an earthquake, excess pore water pressure generation in saturated silty sands causes a reduction in shear strength and even liquefaction of the soil. A comprehensive experimental program consisting of undrained cyclic simple-shear tests was undertaken to explore the key factors affecting the energy-based excess pore water pressure generation models for non-plastic silty sands. The examined influencing factors were non-plastic fines content (less than and greater than the threshold value ≅ 25%), packing density, vertical effective stress, applied cyclic stress ratio, and soil fabric. The relationship between excess pore water pressure ratio and dissipated energy per unit volume was found to be mainly dependent on the relative density and fines content of soil, whereas the cyclic stress ratio, initial vertical effective stress, and soil fabric (i.e. the reconstitution method) appeared to have a minor impact. A revision of the original energy-based model developed for clean sand by Berrill and Davis was proposed to improve prediction accuracy in terms of residual excess pore water pressures versus normalised cumulative dissipated energy. Nonlinear multivariable regression analyses were performed to develop correlations for the calibration parameters of the revised model. Lastly, these correlations were validated through additional cyclic simple-shear tests performed on different silty sands recovered at a site where liquefaction occurred after the 2012 Emilia Romagna (Italy) earthquake.
1. Introduction
The generation of excess pore water pressure (PWP) in saturated clean sands and silty sands during earthquake loading reduces soil strength and stiffness and, in some cases, can induce liquefaction phenomena [1,2,3,4]. Therefore, an accurate prediction of PWP buildup induced by seismic events is a fundamental requirement for assessing the seismic safety and resilience of structures and infrastructures in saturated soils. In addition, liquefaction hazard is expected to be more severe, especially in low-lying coastal areas due to the increase in sea-level associated with climate change effects [5,6,7,8].
Contradictory results regarding the effect of fines content on the undrained cyclic strength of silty sands can be found in the literature. In particular, some studies [9,10,11] showed that the liquefaction resistance (CRR) of silty sands increased with fc, whereas other researchers [12,13,14] highlighted that the addition of fc to clean sand caused a decrease in CRR up to a threshold fines content (fthre), beyond which CRR increased with fc. Threshold fines content (fthre) represents the limiting value of fc separating “sand-dominated” to “fines-dominated” types of behaviour of sand–silt mixtures [15,16,17,18]. These controversial findings suggest that the influence of fines is still a challenging topic and more studies are needed. The different experimental evidences can be explained to some extent by considering the different state variables used in the analysis of test results and the complex types of intergrain contacts, which depend on the fines content, the plasticity of fines, the grading features of host sand and fines, and particle shape [19,20,21,22].
Different methods have been employed in the literature to predict excess PWP induced by seismic events in clean sands and silty sands, namely, stress-based [23,24,25], strain-based [26,27,28], energy-based [29,30,31], and plasticity-theory-based approaches [32,33,34]. Several researchers have developed sophisticated plasticity-theory-based models wherein excess PWP assessment is founded on constitutive models. However, these models often require many parameters that are difficult to be obtained [35,36]. For this reason, stress-based, strain-based, and energy-based models usually implemented with loosely coupled approaches in 1D non-linear analysis codes are the most used in designing [37].
Stress-based models correlate the excess pore water pressure ratio Ru (i.e., the ratio of excess pore water pressure Δu to initial vertical effective stress σ′v0) with the normalised number of applied cycles N/Nf, where N represents the number of applied uniform loading cycles and Nf denotes the number of uniform cycles at the point of liquefaction. Conversely, strain-based models relate Ru to the maximum cyclic shear strain γmax recorded in a specific applied uniform loading cycle. The proposed stress- or strain-based models have been calibrated using laboratory undrained cyclic triaxial [38,39,40], simple shear [3,25,41], and torsional tests [24,42]. In these tests, a sinusoidal shear stress or shear strain loading history is applied, and the increase in excess PWP with the number of loading cycles is measured. Consequently, implementing stress-based and strain-based methods for earthquake site response analyses requires that seismic history is converted to an equivalent motion characterised by constant-amplitude uniform cycles. Such conversion depends on the technique used to choose and count the applied stress cycles and the adopted conversion curve. Thus, the necessary procedures are frequently complex and unreliable [43,44,45]. For this reason, the adopted methodology generally consists of relating earthquake magnitude to the equivalent number of loading cycles [22,46,47,48] even if these correlations often result in inaccurate estimates of the number of equivalent loading cycles [44]. On the other hand, the energy-based models overcome this drawback, relating Ru to the cumulative energy dissipated per unit volume of soil (W) without the need to convert ground motion into uniform cycles. In fact, W is obtained directly from the knowledge of the cyclic stress–strain behaviour of soil. Considering that both PWP buildup and energy dissipated during cyclic loading are linked to the breakdown of the soil skeleton, many studies have been carried out to correlate Ru with cumulative dissipated energy. Nemat-Nasser and Shokooh [49] first proposed an energy-based method for predicting excess PWP generation in the 1970s; afterwards, many efforts were made to develop energy-based models for sands based on extensive laboratory investigations considering different influencing factors, such as relative density, fines content, applied cyclic stress ratio, overburden stress, and initial static shear stress [29,30,40,42,50,51,52,53,54,55,56]. These studies demonstrated that a unique correlation between Ru and W does exist, regardless of the apparatus adopted to carry out laboratory tests (cyclic triaxial, cyclic simple shear, cyclic torsional) and the applied loading history (uniform or random cyclic loading).
In particular, Berrill and Davis [29] proposed the following simple empirical formulation:
where Wn is the cumulative dissipated energy per unit volume of the soil normalised to the initial vertical effective stress, while α and β are empirical parameters to be calibrated through cyclic laboratory tests.
Berrill and Davis [29] showed that Ru-Wn curves obtained from cyclic triaxial tests were less sensitive to the change in β value with respect to α. The latter parameter strongly regulates the shape of the curve.
It is worth noting that the model of Berrill and Davis’s [29] does not provide a limiting value of Ru at liquefaction, as expected in granular soils, and consequently Ru increases continuously with the increase in Wn. This aspect requires particular attention, especially in silty sands, and the present study aims to overcome this drawback. Indeed, when liquefaction is reached according to a selected criterion, excess pore water pressure reaches a constant value, and the cumulative dissipated energy corresponding to this condition attains a limiting value denoted as Wf.
Another well-known energy-based PWP model proposed in the literature is the GMP model [30], expressed through the following equation:
where the pseudo energy capacity PEC (dimensionless) is the calibration parameter of the model, and it can be determined experimentally by following the procedures suggested by Green et al. [30] and Green [57]. The GMP model represents a special case of the more general model of Berrill and Davis [29]; in fact, the GMP model was obtained by setting the empirical constants α and β equal to 1/PEC0.5 and 0.5, respectively.
Actually, the energy-based models proposed by Berrill and Davis [29] and Green et al. [30] are implemented in the 1D non-linear analysis code DEEPSOIL [58]. Nevertheless, although the equations of these models depend on one or two parameters [PEC in Equation (2) and α and β in Equation (1)], the calibration of these parameters from laboratory tests is not simple, and, for this reason, the applications of these models are rather limited. Consequently, correlations for assessing these calibration parameters based on the main factors affecting the Ru-Wn relationship appear helpful for practical purposes.
Polito et al. [40], starting from an extensive database of cyclic triaxial tests, correlated PEC with the relative density (DR) of sands with a fines content (fc) less and higher than 35%, as follows:
where DR and fc are expressed as percentages, and PEC values result in kPa.
Mele et al. [59], using a dataset composed of 43 undrained cyclic triaxial tests and 3 undrained cyclic simple-shear tests carried out on six sands, provided a calibration procedure for the parameters of the Berrill and Davis [29] model. In particular, the authors noted that the two parameters (α and β) are linked, and correlations between in situ CPT or SPT test results and the model parameters were proposed. However, few studies based on cyclic triaxial tests have systematically investigated the effect of fines on energy-based PWP approach and cumulative dissipated energy at liquefaction of silty sands. The main findings gathered from these studies are as follows: (a) the addition of fc (up to 20%) to silica sand reduced the growth in residual excess PWP in the Ru-W plane [56], whereas for carbonate coral sands, an opposite trend was observed for fc < 30% [55]; (b) Wf in silica sands first increased with fines content up to a limiting value of fc and decreased afterwards [56,60,61]. Conversely, for carbonate sands, Qin et al. [55] evidenced a different behaviour, where Wf decreased with fines content up to fc = 30%.
A comprehensive cyclic simple-shear test program was used in the present work to analyse the fundamental factors affecting the development of excess PWP through an energy-based approach for Ticino sand mixed with fines contents ranging from 0% to 40%. The well-known model proposed by Berrill and Davis [29] was properly modified to better capture the experimental data, and specific correlations for the model parameters as a function of packing density and fines content, were provided. The capability of the proposed equations was verified with additional experimental results performed on different silty sands. The topic of the present study falls within the framework of the Tech4You Project “Technologies for Climate Change Adaptation and Quality of Life Improvement”, which is funded by the National Recovery and Resilience Plan (PNRR) and supported by the European Union – NextGenerationEU.
2. Test Materials and Procedure
2.1. Test Materials
The materials tested in this study comprised clean sands and sand–silt mixtures. Ticino sand (TS) is a uniform coarse-to-medium natural sand recovered from the Ticino River in Italy, whereas Emilia Romagna sand (ES) is a poorly graded, medium-to-fine sand. Mixtures of Ticino sand with non-plastic fines were tested, namely, 90% sand/10% fines (TS10), 80% sand/20% fines (TS20), 70% sand/30% fines (TS30), and 60% sand/40% fines (TS40). Since the fthre value for the Ticino–silt mixture was found to be 24.5% [22], the present study takes into account both cases of fc < fthre and fc > fthre. Emilia Romagna’s silty sand (ES40) consists of 40% low-plasticity fines (with a plasticity index less than 8). Both ES and ES40 were recovered from a site where liquefaction phenomena occurred in Italy after the 2012 earthquake.
Grain size distribution curves for all the tested materials are shown in Figure 1, while the material properties are listed in Table 1. On the basis of the grain size distribution curves, the tested materials can be considered susceptible to liquefaction in accordance with Italian Building Code [62].
Figure 1.
Grain size distribution curves of (a) Ticino sand with fines (fc = 0–40%) and (b) Emilia silty sand (fc = 0%, 40%).
Table 1.
Material properties.
2.2. Test Procedure
The NGI-type simple-shear (SS) device adopted to perform undrained cyclic tests on clean sands and sand–silt mixtures is shown in Figure 2. The specimen diameter was 80 mm, and it was laterally confined by a wire-reinforced rubber membrane to prevent lateral deformation of the sample. A detailed description of the SS device was reported by Porcino et al. [63].
Figure 2.
Picture of Geonor/NGI simple-shear apparatus [63].
Except for high-quality undisturbed samples of ES40 taken from an Emilia Romagna site (Italy) [3,64], the specimens were prepared using three different reconstitution methods, namely, moist tamping (MT), water sedimentation (WS), and air pluviation (AP), to represent different soil fabrics, as shown in Figure 3. Ticino sand–silt mixtures were reconstituted only using the moist-tamping method to avoid the segregation phenomenon between the host sand and silt observed for specimens formed by water sedimentation and air pluviation in previous studies [65,66,67]. Considering that some void ratios may not be reachable for certain mixtures, a relative density parameter was used in the present study for comparison purposes, following the example from previous studies [10,11,12,56]. In particular, cyclic simple-shear tests were performed considering a wide range of relative density of tested soils from 26% to 94%.
Figure 3.
Schematic illustration of specimen preparation methods: (a) air pluviation, (b) water sedimentation, and (c) moist tamping (modified from Wichtmann et al. [68]).
The air pluviation method consisted of depositing the sand through a funnel that was traversed laterally to maintain an approximately levelled surface of the soil. After filling the cavity, the excess material over the final grade was siphoned off by applying a slight vacuum. Loose samples were prepared using the above-described procedure while to obtain high-density specimens, when required, the mould was tapped laterally using a small rubber hammer, maintaining at the same time a small seating load on the top of the specimen.
When preparing SS specimens using the water sedimentation method, the sand was spooned gently layer by layer into the water until the height was just above the top of the mould. Relative density values in the range of DR = 37.5 ± 2.5% were initially achieved by following this procedure, regardless of the drop height. Similar to the case for the air-pluviated specimens, higher densities were obtained by tapping the mould laterally while a small seating load was maintained on the sample cap and the drainage lines were kept open.
Finally, the moist-tamping method consisted of preparing a prefixed weight of wet soil (sand or silty sand) in two layers, each of them measuring 10 mm high. First, dry material was prepared at the selected weight ratio to achieve the desired relative density; afterwards, an amount of de-aired water was added to the mixture, which was placed in the reinforced membrane. Each layer was compacted to a reference height. Due to the limited height of the specimen (only 20 mm), the effects of inhomogeneity along its height can be neglected.
In the cyclic simple-shear test, a liquefaction criterion based on the attainment of a 3.75% single-amplitude shear strain (γSA) was adopted, as specified in previous studies [69,70,71]. The test specimens were first consolidated until reaching the desired effective vertical stress σ′v0, ranging from 50 kPa to 130 kPa, and then a cyclic shear stress (τcyc) was applied under stress-controlled conditions. Cyclic stress ratios (CSR = τcyc/σ′v0) ranging from 0.08 to 0.26 were applied to the specimens at a loading frequency of 0.1 Hz. CSRs were applied to the specimens so that liquefaction conditions were achieved in a given number of loading cycles representative of a typical earthquake magnitude. All cyclic tests were performed in constant volume conditions, closely representing undrained conditions in the NGI simple-shear apparatus [72,73]. Under constant-volume simple-shear conditions, the measured change in vertical stress is assumed to be equal to the excess pore water pressure that would develop in a truly undrained test. Constant-volume tests were performed using an automatic control system that suppresses the vertical movement of a specimen by applying changes in vertical load. According to ASTM D8296 [74], constant volume conditions are considered satisfied when a limiting vertical strain of a sample of less than 0.05% is measured during tests. The experimental program comprised 68 cyclic simple-shear tests, as reported in Table 2.
Table 2.
Constant-volume cyclic simple-shear test program.
3. Analysis of Test Results
3.1. Undrained Cyclic Simple-Shear Responses of Silty Sand Specimens
Figure 4 illustrates for two silty sand specimens (TS and TS20) the undrained cyclic simple-shear response in terms of shear stress (τ)–shear strain (γ) curves (Figure 4a,c) and the development of shear strain (Figure 4b,d). Figure 4 shows the two typical behaviours observed in all the CSS tests (Table 2), namely, cyclic mobility (Figure 4a,b) and flow failure response (Figure 4c,d).
Figure 4.
Undrained cyclic simple−shear response of Ticino silty sands: (a) and (b) cyclic mobility; (c) and (d) flow failure.
The cyclic mobility type of the response reveals that the shear strains remained initially negligible for up to 43 cycles; after a few cycles, the sample failed according to the selected failure criterion (γ = 3.75% in single-amplitude). The stress–strain loops exhibited a typical S-shaped trend and developed on both the positive and negative sides of strains, as shown in Figure 4a. On the other hand, when the silty sand exhibited a flow failure type of response (Figure 4c,d), a rapid and uncontrollable development of shear strains was observed when the flow was triggered (Nf = 19).
It is worth noting that a flow failure type of behaviour occurred only in a few CSS tests for mixtures with high fines content (TS20, TS30) with an initial state parameter ranging from 0.066 to 0.188 [76].
Figure 5a,b report the development of the excess pore water pressure ratio (Ru) with the number of cycles (N) for the same specimens shown in Figure 4. The residual pore water pressure ratio Ru,res, i.e. the excess pore water pressure ratio measured at the end of each applied cycle when τcyc = 0 kPa, influences directly soil stiffness and strength [40]. Such values are clearly represented in Figure 5a,b by empty red circles. As expected, the Ru,res continuously increased with an increasing N in both cyclic mobility (Figure 5a,c) and flow failure modes (Figure 5b,d). It is important to observe that Ru,res at the onset of liquefaction could not reach unity, as will be discussed in subsequent sections.
Figure 5.
Excess pore pressure ratio (a,b) and cumulative normalised dissipated energy per unit volume (c,d) plotted against the number of cycles for silty sand specimens.
Figure 5c,d present the cumulative dissipated energy along with N for the two specimens described in Figure 4, corresponding to the cyclic mobility and flow-failure patterns, respectively. The dissipated energy per unit volume in each loading cycle (Wi) was calculated by referring to the hysteresis loops (for example, Figure 4a,c), as follows:
where τ is the applied shear stress and γ is the corresponding shear strain. Then, the cumulative dissipated energy per unit volume (W) was derived as the sum of the dissipated energies of all loading cycles up to N cycles:
Cumulative dissipated energy increased continuously with N cycles, as shown in Figure 5c,d. Notably, just before reaching the liquefaction condition (denoted by the filled red circles), W increases abruptly, especially for specimens exhibiting a flow failure response (Figure 5d). These results are consistent with those reported by other authors, such as Pan and Yang [77] and Zhou et al. [56]. The value of W in correspondence with the triggering of liquefaction (Wf.) was defined as the “capacity energy” of the soil.
Considering that both residual excess pore water pressure and dissipated energy per unit volume increased with N, Ru and W can be easily related to one another, as demonstrated in previous research [29,30,51,54,55,56,78].
3.2. Key Factors Influencing Cyclic Excess Pore Water Pressure in Silty Sands Based on an Energy Approach
In order to calibrate the proposed energy-based model for silty sands based on the experimental data obtained from undrained cyclic simple-shear tests, the dominant factors influencing Ru vs. W relationships were analysed and discussed. Key factors such as relative density, vertical effective stress, applied cyclic stress ratio, fines content, and soil fabric were explored.
3.2.1. Influence of Applied Cyclic Stress Ratio
Figure 6 presents the residual excess pore water pressure ratio (Ru) versus cumulative dissipated energy (W) for clean Ticino sand and the Ticino sand mixture (fc = 20%) tested in the same initial state but subjected to different cyclic stress amplitudes (CSRs).
Figure 6.
Residual excess pore water pressure ratio versus normalised dissipated energy for CSS tests carried out at various cyclic stress ratios: (a) Ticino sand and (b) Ticino silty sand.
There is an apparent non-linear increasing trend between Ru and W, regardless of CSR. It can be observed that CSR does not have a significant effect on pore water pressure generation for both tested materials. This finding also applies to the other mixtures investigated in the present study and it is in accordance with previous research [42,56,79].
The relative independence of Ru-W relationships from the cyclic stress ratio and load shape (i.e. irregular, sinusoidal, triangular) represents one of the main advantages of the models based on energy principles [52,80].
3.2.2. Influence of Fines Content and Packing Density
Figure 7 plots the relationship between Ru and W of TS–fines mixtures characterised by different finescontents equal to 0%, 10%, 20%, 30%, and 40%. The sand–fines mixtures in Figure 7 were reconstituted at a relative density of 58 ± 4% and consolidated at an initial vertical stress of 100 kPa.
Figure 7.
Residual excess pore water pressure ratio versus normalised dissipated energy for Ticino sand mixed with various fines contents.
Figure 7 shows that fc has a remarkable effect on the variation in Ru with respect to W, which means that the addition of fc entails a strengthening effect with a more gradual generation of excess pore water pressure and higher values of the energy required for liquefaction, Wf. These findings are consistent with those reported by other authors [10,11,56,61] and are valid when relative density is selected as a control variable to describe the undrained response of silty sands. Different results can be expected when other control variables, such as the global void ratio, skeleton void ratio, or equivalent granular void ratio, are employed in place of DR [14,81,82]. Another interesting finding is that residual excess pore water pressure at liquefaction decreases with an increase in the amount of non-plastic fines, a finding that is in agreement with previous works [3,83,84].
Figure 8 explores the effect of packing density on the generation of excess pore pressure versus cumulative dissipated energy for two specimens (TS and TS10) consolidated under an initial vertical effective stress of 100 kPa and cyclically sheared at a similar applied stress ratio (CSR = 0.17 ± 0.01).
Figure 8.
Residual excess pore water pressure ratio versus normalised dissipated energy at various relative densities: (a) Ticino sand and (b) Ticino silty sand (fc = 10%).
Figure 8a,b show that when relative density increased excess pore pressure accumulated more slowly, and higher values of capacity energy Wf were measured. Similar experimental evidence was also observed in undrained cyclic triaxial tests performed on Toyoura sand by Yang and Pan [85] (among other authors). An explanation for this behaviour is that when relative density increases, the compressibility of a material decreases, meaning that silty sand behaviour is more dilatant (Chien et al. [86] and Yang and Pan [85], among others). It is also interesting to note that for both specimens the limiting value of Ru (Ru,lim) in correspondence with γSA = 3.75% decreases with an increasing relative density [87].
This comparative analysis shows that DR and fc play significant roles in the development of excess PWP in saturated silty sands when interpreted by using an energy-based approach.
3.2.3. Influence of Vertical Effective Stress
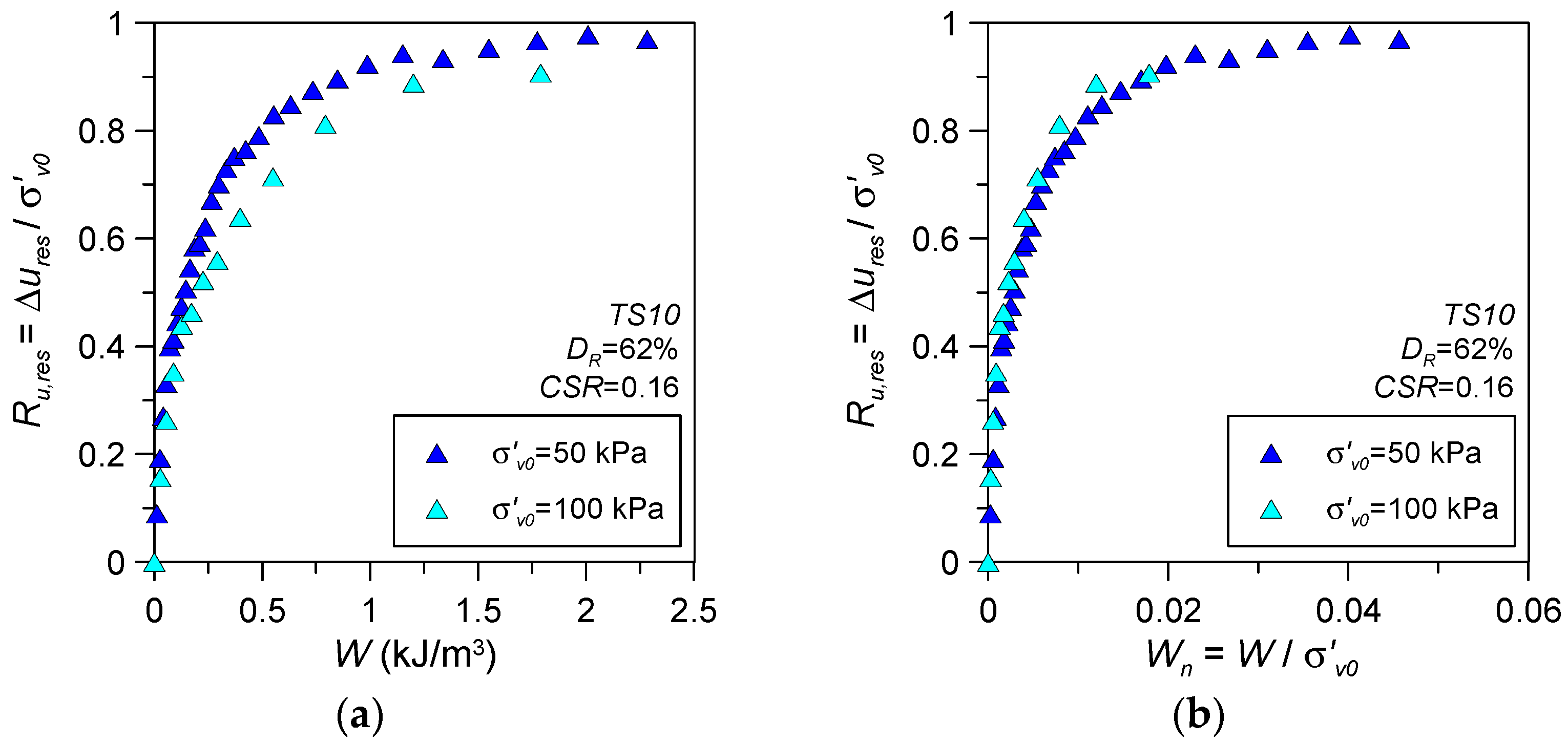
Figure 9 shows the influence of initial vertical effective stress on undrained cyclic response of TS10 in terms of (a) Ru,res versus N and (b) cumulative dissipated energy measured at the end of each cycle.
Figure 9.
Influence of initial vertical effective stress on undrained cyclic response of silty sands in terms of (a) Ru,res and (b) W.
As expected, for TS10 consolidated under σ′v0 = 100 kPa, the development of Ru,res (Figure 9a) is faster than the corresponding specimen consolidated under low values of σ′v0 (50 kPa) so that a lower number of cycles is needed for liquefaction. Similarly, for the specimen tested at σ′v0 = 100 kPa, the W versus N curve (Figure 9b) grows more rapidly with lower values of cumulative dissipated energy at liquefaction compared to the corresponding specimen consolidated under σ′v0 = 50 kPa. This experimental evidence can be explained by the fact that higher material compressibility is expected for higher confining stresses, as demonstrated by different studies in the literature [50,60].
Figure 10a shows the influence of initial vertical effective stress on the undrained cyclic response of TS10 in terms of Ru,res versus W curves. When Ru,res was linked to W, distinct curves were obtained for different σ′v0 values. Consequently, to unify the effects of overburden stress on the relationship between Ru,res and W, a stress-normalised W was introduced, as follows:
Figure 10.
Influence of initial vertical effective stress in silty sands in terms of (a) Ru,res versus W and (b) Ru,res versus Wn.
When normalisation was applied, a unique Ru,res-Wn relationship for different σ′v0 values was obtained, as shown in Figure 10b. The observation that the influence of σ′v0 is negligible in the Ru-Wn relationship is consistent with the results of the study conducted by Konstadinou and Georgiannou [42] (among others). This experimental evidence stresses the importance of normalising cumulative dissipated energy to initial vertical effective stress to unify Ru,res-Wn trends, regardless of the initial vertical effective stress value.
3.2.4. Influence of Initial Soil Fabric/Reconstitution Method
The initial soil fabric of natural soils is relevant in geotechnical engineering analyses. Soil fabric is reproduced in laboratory using reconstitution methods that should reproduce the arrangement of grains as much as possible [65,68,88,89]. In this context, test results gathered from clean Ticino sand were analysed to verify the dependence of the correlation between Ru and W for the initial fabric induced by the sand reconstitution method. Previous research did not thoroughly investigate this aspect, which needs further verification [35,41].
Figure 11 shows the residual excess pore water pressure ratio versus cumulative dissipated energy for Ticino clean sand specimens prepared in the same initial state (a combination of packing density and initial vertical effective stress) but reconstituted using three different reconstitution methods, namely moist tamping, air pluviation, and water sedimentation. Interestingly, different soil fabrics induced by different reconstitution methods do not influence significantly the trend of Ru vs. W. A similar conclusion was made in previous research considering a pore-water-pressure-strain-based approach, while for stress-based PWP models this finding does not appear applicable [41].
Figure 11.
Residual excess pore water pressure ratio versus dissipated energy in Ticino clean sand prepared with different reconstitution methods.
3.3. Modelling of Excess Pore Water Pressure Based on Energy Approach for Silty Sand and Validation
The analysis of key factors influencing the prediction of cyclic excess PWP in silty sands provided in Section 3.2 highlighted that (i) a non-linear increasing trend between Ru,res and W can be observed, and it is dependent on fc, DR, and σ′v0, while CSR and soil fabric appeared to have a negligible effect; (ii) the normalisation of W to σ′v0 allows the incorporation of the effect of overburden stress; and (iii) a limiting excess PWP value less than unity was measured, especially in dense silty sands with high fines content.
The pore water pressure model proposed by Berrill and Davis [29] for clean sands was revised considering the experimental evidence emerging from the present study to predict Ru in silty sands in a satisfactory way. In addition, this section aims to provide a simple calibration procedure for the energy-based pore pressure model to make its use simpler and easier for practitioners.
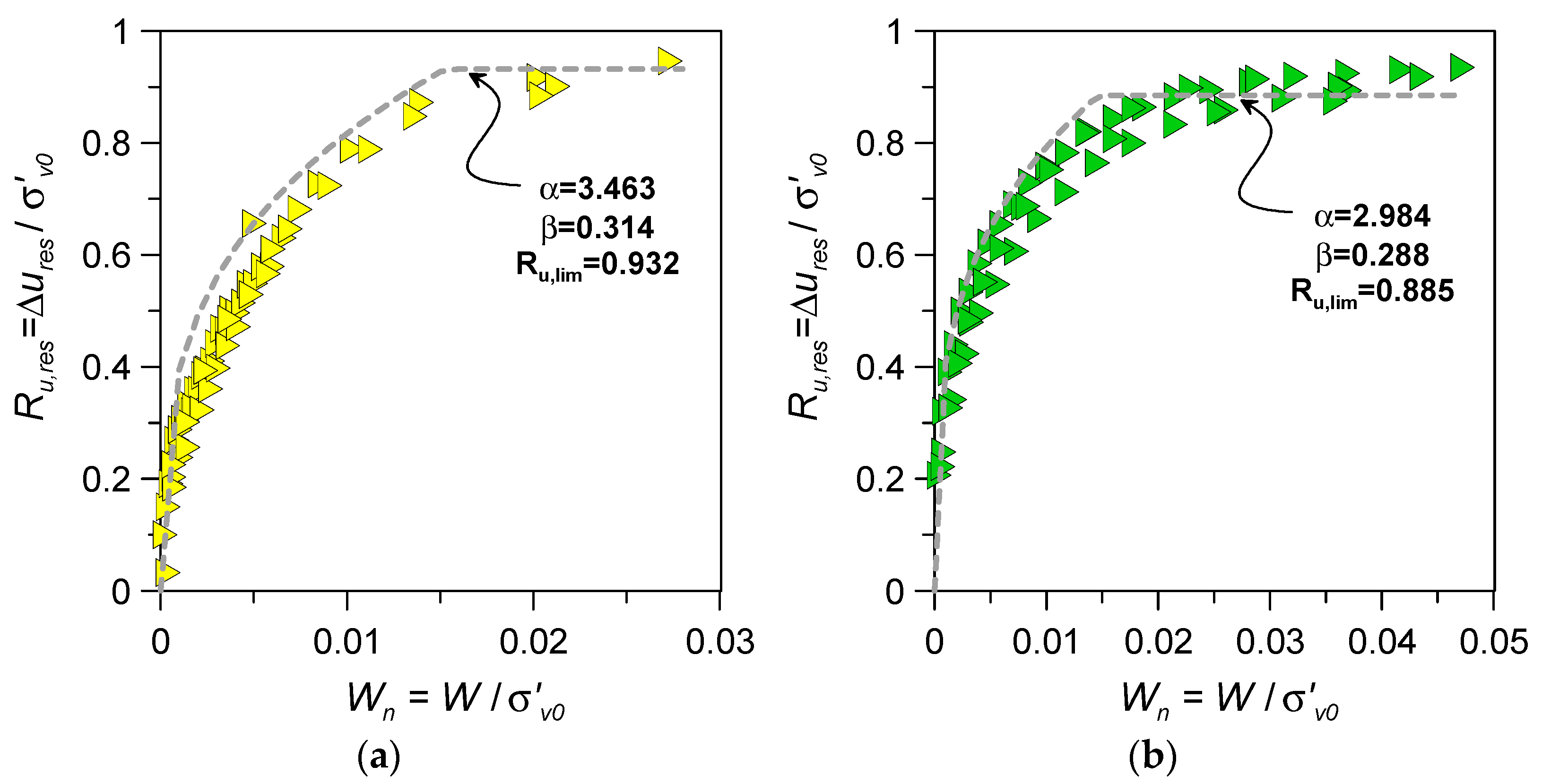
To account for the fact that the value of Ru at liquefaction (Ru,lim) for clean sands and sands containing non-plastic fines can be less than unity, Equation (1) was properly modified, as follows:
In the present study, the calibration parameters α, β, and Ru,lim of the revised model [Equation (7)], corresponding to the best fit of all the experimental data of moist-tamped silty sand specimens, were determined. Figure 12 shows the trend of the calculated empirical parameters as a function of (i) fines content (at the same relative density) and (ii) relative density (at the same fines content).
Figure 12.
Correlations for α, β, and Ru,lim parameters of the revised energy-based PWP model [Equation (7)] as a function of (a,c,e) fc and (b,d,f) DR for silty sands.
The best-fitting correlations (i.e., those with the highest coefficient of determination R2) were obtained using Curve Expert Professional v. 1.0.2 software, which provides a large number of functional equations. The authors properly selected simpler functional forms over complex equations. It is interesting to note that all the model parameters for Ticino–silty sands decrease with an increasing DR and fc.
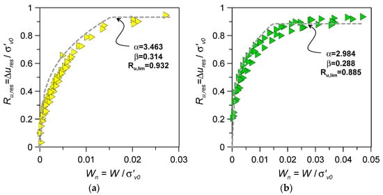
Nonlinear multivariable regression analyses were performed to derive the calibration parameters α, β, and Ru,lim as a function of fc and DR. The proposed equations characterised by the highest coefficient of determination R2 are the following:
The performance of the revised model with respect to the original one proposed for clean sands by Berrill and Davis [29] was verified and illustrated in Figure 13 in the Ru,res-Wn plane. It is notable that when the revised model was applied to the CSS test data for Ticino silty sand, all data points were well located (R2 > 0.91) within a narrow zone bounded by an upper and lower bound defined by the following range of parameters: α = 5.29–2.15, β = 0.25–0.38, and Ru,lim = 0.97–0.91 (Figure 13a).
Figure 13.
Energy-based PWP models applied to undrained cyclic simple-shear tests performed on Ticino silty sands: (a) proposed revised model; (b) original model developed by Berrill and Davis [29].
Conversely, the original model proposed by Berrill and Davis [29] (Figure 13b) is able to predict the response of Ticino clean sand but does not capture adequately the trend of the experimental data for silty sand, especially in the last parts of the tests, thus resulting in lower R2 values (>0.78). The knowledge of model parameters gathered from Equations (8)–(10) can be useful for the non-linear seismic ground response analysis of a site carried out using DEEPSOIL [58].
To validate the proposed correlations for predicting the parameters of the revised model, additional CSS tests performed on reconstituted clean sands and undisturbed silty sands recovered from the Emilia Romagna region (Italy) were analysed. CSS tests were carried out on Emilia clean sand prepared at DR = 60% and consolidated under σ′v0 = 100 kPa, while Emilia silty sand (DR = 32%, fc = 40%) was consolidated under a value of σ′v0 = 130 kPa. For these materials and test conditions, Equations (8)–(10) provide values of the model parameters α, β, and Ru,lim reported in Figure 14. The good performance regarding the model predictions (Figure 14a,b) against the experimental trend highlights that the proposed relationships can be considered reasonable not only for reconstituted silty sands but also for undisturbed silty sands.
Figure 14.
Validation of the proposed methodology for deriving parameters of the revised model: (a) Emilia clean sand (reconstituted); (b) Emilia silty sand (undisturbed).
Finally, the results obtained from the current analysis show the significance of the Ru,lim parameter introduced in the revised energy-based model of silty sands. It allows one to adjust Ru,res-Wn trends to accurately model the observed overall response of sands with fines (fc ≠ 0%). In fact, in these cases, Ru,res increases with Wn up to a limiting PWP value (Ru,lim = 0.88–0.97), which remains approximately constant while increasing further the cumulative dissipated energy up to Wf. The energy required for liquefaction was found to increase with an increasing fines content.
4. Conclusions
This study investigated the excess pore water pressure generation of low-plasticity silty sands using data from 68 undrained cyclic simple-shear tests covering a wide range of fines contents, packing densities, effective vertical stresses, sample preparation methods, and cyclic stress ratios. The test results were interpreted using an energy-based approach to highlight the factors influencing the relationship between excess pore water pressure and cumulative dissipated energy. The relative density of soil was assumed as a reference density index of soil for comparison and analysis. The main conclusions of this study are as follows:
- Two types of undrained cyclic response were observed in clean sand and silty sand, namely cyclic mobility and flow failure. In both types of behaviour, the normalised cumulative dissipated energy and the excess pore water pressure ratio increased with increasing the applied number of cyclic loading, confirming that Ru and W are strongly linked. Notably, just before liquefaction conditions are reached (γSA = 3.75%) W increases abruptly, especially for specimens exhibiting a flow failure response.
- A nonlinear increasing trend between the residual excess pore water pressure ratio Ru,res and normalised dissipated energy Wn was observed for silty sands. The Ru,res-Wn relationship was found to be dependent on the fines content of the mixture as well as relative density, whereas the applied cyclic stress ratio CSR, initial vertical effective stress σ′v0, and the sample reconstitution method/soil fabric appeared to have a minor impact.
- To determine the response of silty sands in a more accurate way, the original energy-based PWP model of Berrill and Davis [29] for clean sands under cyclic loading was properly revised, introducing an additional calibration parameter, namely the limiting value of excess pore water pressure at liquefaction (Ru,lim). It was found that Wf increased with an increasing fines content when tested under the same initial test conditions (DR, σ′v0).
- Specific correlations for the calibration parameters α, β, and Ru,lim of the modified model were developed and proposed for soils with fc ≤ 40%, DR = 26–94%, and CSR = 0.08–0.26. The trends in all the calibration parameters evidenced a decrease with an increasing packing density and fines content of silty sands.
- The validation of the proposed correlations for the model parameters based on the results of CSS tests performed on additional materials, i.e., Emilia Romagna clean sand and silty sand, indicated that such correlations provided accurate predictions of the experimental PWP response, even for undisturbed natural sand–silt mixtures.
The results gathered in the present study can be helpful for practitioners to accurately predict excess pore water pressures in silty sands when analysing nonlinear seismic site response through numerical analysis. The findings gathered in this study are based on specific materials, sample preparation methods (air pluviation, moist tamping, water sedimentation), testing apparatus (constant volume CSS), and initial states (DR, σ′v0). Additional studies considering other silty sands and testing apparatus (i.e. cyclic triaxial, cyclic torsional) are required to reach more definitive conclusions and perform comparisons.
Author Contributions
Conceptualization, G.T. and D.D.P.; methodology, G.T. and D.D.P.; software, G.T.; validation, G.T.; formal analysis, G.T. and D.D.P.; investigation, G.T.; resources, D.D.P.; data curation, G.T.; writing—original draft preparation, G.T. and D.D.P.; writing—review and editing, G.T. and D.D.P.; supervision, D.D.P.; project administration, D.D.P.; funding acquisition, D.D.P. All authors have read and agreed to the published version of the manuscript.
Funding
This research was funded by the National Recovery and Resilience Plan (PNRR), Mission 4, Component 2, Investment 1.4, funded by the European Union—NextGenerationEU for the realization of Innovation Ecosystem Tech4You “Technologies for climate change adaptation and quality of life improvement”, Pilot Project 4.7.1—Open platform “phigital space” (physical and digital) of the type “user profiling” for the advanced and dynamic co-design of interventions on the built and ex novo (Project code: ECS_00000009, CUP: C33C22000290006).
Data Availability Statement
The data presented in this study are available on request from the authors.
Conflicts of Interest
The authors declare no conflicts of interest.
References
- Kramer, S.L. Geotechnical Earthquake Engineering, 1st ed.; Prentice Hall: Upper Saddle River, NJ, USA, 1996; pp. 348–417. [Google Scholar]
- Bray, J.D.; Sancio, R.B.; Durgunoglu, T.; Ohap, A.; Youd, T.L.; Stewart, J.; Seed, R.B.; Cetin, O.K.; Bol, E.; Baturay, M.B.; et al. Subsurface Characterization at Ground Failure Sites in Adapazari, Turkey. J. Geotech. Geoenvironmental Eng. 2004, 130, 673–685. [Google Scholar] [CrossRef]
- Porcino, D.; Diano, V. Laboratory Study on Pore Pressure Generation and Liquefaction of Low-Plasticity Silty Sandy Soils during the 2012 Earthquake in Italy. J. Geotech. Geoenviron. Eng. 2016, 142, 04016048. [Google Scholar] [CrossRef]
- Cavallaro, A.; Capilleri, P.; Grasso, S. Site Characterization by in Situ and Laboratory Tests for Liquefaction Potential Evaluation during Emilia Romagna Earthquake. Geosciences 2018, 8, 242. [Google Scholar] [CrossRef]
- Quilter, P.W.; van Ballegooy, S.; Russ, M. The Effect of Sea Level Rise on Liquefaction Vulnerability. In Proceedings of the 6th International Conference on Earthquake Geotechnical Engineering, Christchurch, New Zealand, 1–4 November 2015. [Google Scholar]
- Monk, C.B.; van Ballegooy, S.; Hughes, M.; Villeneuve, M. Liquefaction vulnerability increase at North New Brighton due to subsidence, sea level rise and reduction in thickness of the non-liquefying layer. Bull. N. Z. Soc. Earthq. Eng. 2016, 49, 334–340. [Google Scholar] [CrossRef]
- Abueladas, A.-R.A.; Niemi, T.M.; Al-Zoubi, A.; Tibor, G.; Kanari, M.; Ben-Avraham, Z. Liquefaction susceptibility maps for the Aqaba-Elat region with projections of future hazards with sea-level rise. Q. J. Eng. Geol. Hydrogeol. 2021, 54, 1–12. [Google Scholar] [CrossRef]
- Dong, L.; Cao, J.; Liu, X. Recent Developments in Sea-Level Rise and Its Related Geological Disasters Mitigation: A Review. J. Mar. Sci. Eng. 2022, 10, 355. [Google Scholar] [CrossRef]
- Amini, F.; Qi, Z. Liquefaction testing of stratified silty sands. J. Geotech. Geoenviron. Eng. 2000, 126, 208–217. [Google Scholar] [CrossRef]
- Pan, K.; Zhou, G.Y.; Yang, Z.X.; Cai, Y.Q. Comparison of cyclic liquefaction behavior of clean and silty sands considering static shear effect. Soil Dyn. Earthq. Eng. 2020, 136, 106338. [Google Scholar] [CrossRef]
- Pan, X.D.; Chen, J.Q.; Pan, K.; Xu, X.; Jiang, J.W.; Yang, Z.X. Cyclic behavior of anisotropically consolidated sand with small amount of fines. Soils Dyn. Earthq. Eng. 2021, 146, 106778. [Google Scholar] [CrossRef]
- Polito, C.P.; Martin, J.R., II. Effects of nonplastic fines on the liquefaction resistance of sands. J. Geotech. Geoenviron. Eng. 2001, 127, 408–415. [Google Scholar] [CrossRef]
- Xenaki, V.C.; Athanasopoulos, G.A. Liquefaction resistance of sand-silt mixtures: An experimental investigation of the effect of fines. Soils Dyn. Earthq. Eng. 2003, 23, 1–12. [Google Scholar] [CrossRef]
- Porcino, D.D.; Triantafyllidis, T.; Wichtmann, T.; Tomasello, G. Application of Critical State Approach to Liquefaction Resistance of Sand-Silt Mixtures under Cyclic Simple Shear Loading. J. Geotech. Geoenviron. Eng. 2021, 147, 04020177. [Google Scholar] [CrossRef]
- Polito, C.P. The Effect of Non-Plastic and Plastic Fines on the Liquefaction of Sandy Soils. Ph.D. Thesis, Department of Civil Engineering, Virginia Tech, Blacksburg, VA, USA, 1999. [Google Scholar]
- Hazirbaba, K. Pore Pressure Generation Characteristics of Sands and Silty Sands: A Strain Approach. Ph.D. Thesis, Department of Civil, Architectural, and Environmental Engineering, University of Texas, Austin, TX, USA, 2005. [Google Scholar]
- Zuo, L.; Baudet, B.A. Determination of the transitional fines content of sand-non plastic fines mixtures. Soils Found. 2015, 55, 213–219. [Google Scholar] [CrossRef]
- Porcino, D.D.; Tomasello, G.; Wichtmann, T. An insight into the prediction of limiting fines content for mixtures of sand with non-plastic fines based on monotonic and cyclic tests. In Proceedings of the 7th International Conference on Earthquake Geotechnical Engineering, Rome, Italy, 17–20 June 2019. [Google Scholar]
- Rees, S. Effect of Fines on the Undrained Behaviour of Christchurch Sandy Soils. Ph.D. Thesis, University of Canterbury, Christchurch, New Zealand, 2010. [Google Scholar]
- Papadopolou, A.I.; Tika, T.M. The effect of fines plasticity on monotonic undrained shear strength and liquefaction resistance of sands. Soils Dyn. Earthq. Eng. 2016, 88, 191–206. [Google Scholar] [CrossRef]
- Wei, X.; Yang, J.; Zhou, Y.-G.; Chen, Y. Influence of particle-size disparity on cyclic liquefaction resistance of silty sands. Géotechnique Lett. 2020, 10, 151–161. [Google Scholar] [CrossRef]
- Tomasello, G.; Porcino, D.D. Earthquake-induce large deformations and failure mechanisms of silty sands in sloped ground conditions. Soils Dyn. Earthq. Eng. 2023, 173, 108056. [Google Scholar] [CrossRef]
- Seed, H.B.; Martin, P.P.; Lysmer, J. The Generation and Dissipation of Pore-Water Pressures during Soil Liquefaction; Geotechnical Report No. EERC; University of California: Berkeley, CA, USA, 1975. [Google Scholar]
- Baziar, M.H.; Shahnazari, H.; Sharafi, H. A laboratory study on the pore pressure generation model for Firouzkooh silty sands using hollow torsional test. Int. J. Civ. Eng. 2011, 9, 126–134. [Google Scholar]
- Hubler, J.F.; Athanasopoulos-Zekkos, A.; Zekkos, D. Pore Pressure Generation of Gravelly Soils in Constant Volume Cyclic Simple Shear. J. Geotech. Geoenviron. Eng. 2023, 149, 04022130. [Google Scholar] [CrossRef]
- Martin, G.R.; Finn, W.D.L.; Seed, H.B. Fundamentals of liquefaction under cyclic loading. J. Geotech. Geoenviron. Eng. 1975, 101, 423–438. [Google Scholar] [CrossRef]
- Vucetic, M.; Dobry, R. Pore Pressure Build-Up and Liquefaction at Level Sandy Sites during Earthquakes; Research Report CE-86-3; Department of Civil Engineering, Rensselaer Polytechnic Institute: Troy, NY, USA, 1986. [Google Scholar]
- Chen, G.; Zhao, D.; Chen, W.; Juang, C.H. Excess Pore-Water Pressure Generation in Cyclic Undrained Testing. J. Geotech. Geoenviron. Eng. 2019, 145, 04019022. [Google Scholar] [CrossRef]
- Berrill, J.B.; Davis, R.O. Energy dissipation and seismic liquefaction of sands: Revised model. Soils Found. 1985, 25, 106–118. [Google Scholar] [CrossRef] [PubMed]
- Green, R.A.; Mitchell, J.K.; Polito, C.P. An energy-based excess pore-water pressure generation model for cohesionless soils. In Proceedings of the John Booker Memorial Symposium, Sydney, Australia, 16–17 November 2000. [Google Scholar]
- Zhang, J.; Ji, X.; Zou, D.; Liu, J.; Kong, X.; Zhou, C.; Fu, Y. Study on the energy-based pore pressure model of coarse-grained soils by eliminating membrane compliance. Acta Geotech. 2023, 18, 6505–6528. [Google Scholar] [CrossRef]
- Elgamal, A.; Yang, Z.; Parra, E.; Ragheb, A. Modeling of cyclic mobility in saturated cohesionless soils. Int. J. Plast. 2003, 19, 883–905. [Google Scholar] [CrossRef]
- Taiebat, M.; Shahir, H.; Pak, A. Study of pore pressure variation during liquefaction using two constitutive models for sand. Soil Dyn. Earthq. Eng. 2007, 27, 60–72. [Google Scholar] [CrossRef]
- Boulanger, R.W.; Ziotopoulou, K. PM4Sand (Version 3): A Sand Plasticity Model for Earthquake Engineering Applications; Report No. UCD/CGM-15/01; Center for Geotechnical Modeling, University of California at Davis: Davis, CA, USA, 2015. [Google Scholar]
- Cetin, K.O.; Bilge, H.T. Cyclic Large Strain and Induced Pore Pressure Models for Saturated Clean Sands. J. Geotech. Geoenviron. Eng. 2012, 138, 309–323. [Google Scholar] [CrossRef]
- Dobry, R.; El-Sekelly, W.; Abdoun, T. Calibration of non-linear effective stress code for seismic analysis of excess pore pressures and liquefaction in the free field. Soils Dyn. Earthq. Eng. 2018, 107, 374–389. [Google Scholar] [CrossRef]
- Pervaiz, U.; Park, D.; Hashah, Y.; Xing, G. Testing performance of pore pressure models implemented in one-dimensional site response analysis program against centrifuge test data measured in mildly sloping ground. Soil Dyn. Earthq. Eng. 2021, 149, 106867. [Google Scholar] [CrossRef]
- Lee, K.L.; Albaisa, A. Earthquake Induced Settlements in Saturated Sands. J. Geotech. Geoenviron. Eng. 1974, 100, 387–406. [Google Scholar]
- Dobry, R.; Pierce, W.G.; Dyvik, R.; Thomas, G.E.; Ladd, R.S. Pore Pressure Model for Cyclic Straining of Sand; Research Report 1985-06; Rensselaer Polytechnic Institute: Troy, NY, USA, 1985. [Google Scholar]
- Polito, C.P.; Green, R.A.; Lee, J. Pore pressure generation models for sands and silty soils subjected to cyclic loading. J. Geotech. Geoenviron. Eng. 2008, 134, 1490–1500. [Google Scholar] [CrossRef]
- Porcino, D.D.; Tomasello, G.; Diano, V. Key factors affecting prediction of seismic pore water pressures in silty sands based on damage parameter. Bull. Earthq. Eng. 2018, 16, 5801–5819. [Google Scholar] [CrossRef]
- Konstadinou, M.; Georgiannou, V.N. Prediction of pore water pressure generation leading to liquefaction under torsional cyclic loading. Soils Found. 2014, 54, 993–1005. [Google Scholar] [CrossRef]
- Green, R.A.; Terry, G.A. Number of Equivalent Cycles Concept for Liquefaction Evaluations-Revisited. J. Geotech. Geoenviron. Eng. 2005, 131, 477–488. [Google Scholar] [CrossRef]
- Biondi, G.; Cascone, E.; Di Filippo, G. Affidabilità di alcune correlazioni empiriche per la stima del numero di cicli di carico equivalente. Riv. Ital. Di Geotec. 2012, 46, 9–39. [Google Scholar]
- Castiglia, M.; Santucci de Magistris, F. Prediction of the number of equivalent cycles for earthquake motion. Bull. Earthq. Eng. 2018, 16, 3571–3603. [Google Scholar] [CrossRef]
- Seed, H.B.; Idriss, I.M. Ground Motions and Soil Liquefaction during Earthquakes; Earthquake Engineering Research Institute: Oakland, CA, USA, 1982. [Google Scholar]
- Idriss, I.M. An update to the seed-idriss simplified procedure for evaluating liquefaction potential. In Proceedings of the TRB Workshop on New Approaches to Liquefaction, Washington, DC, USA, 10 January 1999. [Google Scholar]
- Wei, X.; Yang, J. Characterizing the effects of fines on the liquefaction resistance of silty sands. Soils Found. 2019, 59, 1800–1812. [Google Scholar] [CrossRef]
- Nemat-Nasser, S.; Shokooh, A. A unified approach to densification and liquefaction of cohesionless sand in cyclic shearing. Can. Geotech. J. 1979, 16, 659–678. [Google Scholar] [CrossRef]
- Baziar, M.H.; Sharafi, H. Assessment of silty sand liquefaction potential using hollow torsional tests—An energy approach. Soil Dyn. Earthq. Eng. 2011, 31, 857–865. [Google Scholar] [CrossRef]
- Jafarian, Y.; Towhata, I.; Baziar, M.H.; Noorzad, A.; Bahmanpour, A. Strain energy based evaluation of liquefaction and residual pore water pressure in sands using cyclic torsional shear experiments. Soil Dyn. Earthq. Eng. 2012, 35, 13–28. [Google Scholar] [CrossRef]
- Polito, C.; Green, R.A.; Dillon, E.; Sohn, C. Effect of load shape on relationship between dissipated energy and residual excess pore pressure generation in cyclic triaxial tests. Can. Geotech. J. 2013, 50, 1118–1128. [Google Scholar] [CrossRef]
- Azeiteiro, R.J.N.; Coelho, P.A.L.F.; Taborda, D.M.G.; Grazina, J.C.D. Energy-based evaluation of liquefaction potential under non-uniform cyclic loading. Soil Dyn. Earthq. Eng. 2017, 92, 650–665. [Google Scholar] [CrossRef]
- Porcino, D.D.; Tomasello, G.; Farzalizadeh, R. Pore-pressure generation of sands subjected to cyclic simple shear loading: An energy approach. In Proceedings of the 4th International Conference on Performance-Based Design in Earthquake Geotechnical Engineering, Beijing, China, 15–17 July 2022. [Google Scholar]
- Qin, Y.; Yang, Z.; Du, X.; Wu, Q.; Guoxing, C. An energy-based model for the generation of excess pore water pressure in saturated coral sand. Mar. Georesour. Geotechnol. 2023, 42, 193–204. [Google Scholar] [CrossRef]
- Zhou, G.Y.; Pan, K.; Yang, Z.X. Energy-based assessment of cyclic liquefaction behavior of clean and silty sand under sustained initial stress conditions. Soil Dyn. Earthq. Eng. 2023, 164, 107609. [Google Scholar] [CrossRef]
- Green, R.A. Energy-Based Evaluation and Remediation of Liquefiable Soils. Ph.D. Thesis, Virginia Polytechnic Institute and State University, Blacksburg, VA, USA, 2001. [Google Scholar]
- Hashah, Y.M.A.; Musgrove, M.H.; Harmon, J.A.; Ilhan, O.; Xing, G.; Numanoglu, O.; Groholski, D.R.; Phillips, C.A.; Park, D. DEEPSOIL 7.0, User Manual; Board of Trustees of University of Illinois at Urbana-Champaign: Urbana, IL, USA, 2020. [Google Scholar]
- Mele, L.; Lirer, S.; Flora, A. A simple procedure to calibrate a pore pressure energy-based model from in situ tests. Acta Geotech. 2022, 18, 1569–1591. [Google Scholar] [CrossRef]
- Baziar, M.H.; Jafarian, Y. Assessment of liquefaction triggering using strain energy concept and ANN model: Capacity Energy. Soil Dyn. Earthq. Eng. 2007, 27, 1056–1072. [Google Scholar] [CrossRef]
- Alavi, A.H.; Gandomi, A.H. Energy-based numerical models assessment of soil liquefaction. Geosci. Front. 2012, 3, 541–555. [Google Scholar] [CrossRef]
- NTC D.M. New Technical Standards for Buildings. 2018. Available online: https://www.gazzettaufficiale.it/eli/gu/2018/02/20/42/so/8/sg/pdf (accessed on 11 June 2024).
- Porcino, D.; Caridi, G.; Malara, M.; Morabito, E. An Automated Control System for Undrained Monotonic and Cyclic Simple Shear Tests. In Proceedings of the GeoCongress 2006: Geotechnical Engineering in the Information Technology Age, Atlanta, GA, USA, 26 February–1 March 2006. [Google Scholar]
- Tonni, L.; Gottardi, G.; Amoroso, S.; Bardotti, R.; Bonzi, L.; Chiaradonna, A.; d’Onofrio, A.; Fioravante, V.; Ghinelli, A.; Giretti, D.; et al. Analisi dei fenomeni deformativi indotti dalla sequenza sismica emiliana del 2012 su un tratto di argine del Canale Diversivo di Burana (FE). Riv. Ital. Di Geotec. 2015, 2, 28–58. [Google Scholar]
- Miura, S.; Toki, S. A sample preparation method and its effect on static and cyclic deformation-strength properties of sand. Soils Found. 1982, 22, 61–77. [Google Scholar] [CrossRef]
- Vaid, Y.P.; Negussey, D. Preparation of reconstituted sand specimens. In Advanced Triaxial Testing of Soil and Rock, 1st ed.; Donaghe, R.C., Chaney, R.C., Silver, M.L., Eds.; ASTM International: West Conshohocken, PA, USA, 1988; Volume 1, pp. 405–417. [Google Scholar]
- Wood, F.M.; Yamamuro, J.A.; Lade, P.V. Effect of depositional method on the undrained response of silty sand. Can. Geotech. J. 2008, 45, 1525–1537. [Google Scholar] [CrossRef]
- Wichtmann, T.; Steller, K.; Triantafyllidis, T. On the influence of the sample preparation method on strain accumulation in sand under high-cyclic loading. Soil Dyn. Earthq. Eng. 2020, 131, 106028. [Google Scholar] [CrossRef]
- Vaid, Y.P.; Sivathayalan, S. Static and cyclic liquefaction potential of Fraser Delta sand in simple shear and triaxial tests. Can. Geotech. J. 1996, 33, 281–289. [Google Scholar] [CrossRef]
- Sivathayalan, S.; Ha, D. Effect of static shear stress on the cyclic resistance of sands in simple shear loading. Can. Geotech. J. 2011, 48, 1471–1484. [Google Scholar] [CrossRef]
- Tomasello, G.; Porcino, D.D. Influence of sloping ground conditions on cyclic liquefaction behavior of sand under simple shear loading. Soil Dyn. Earthq. Eng. 2022, 163, 107516. [Google Scholar] [CrossRef]
- Finn, W.D.L. Aspects of constant volume cyclic simple shear. In Proceedings of the Advances in the Art of Testing Soils under Cyclic Conditions, Detroit, MI, USA, 24 October 1985. [Google Scholar]
- Dyvik, R.; Berre, T.; Lacasse, S.; Raadim, B. Comparison of truly undrained and constant volume direct simple shear tests. Géotechnique 1987, 37, 3–10. [Google Scholar] [CrossRef]
- ASTM D8296; Standard Test Method for Consolidated Undrained Cyclic Direct Simple Shear Test under Constant Volume with Load Control or Displacement Control. ASTM International: West Conshohocken, PA, USA, 2019.
- Reyna, F.; Chameau, J.L. Dilatometer Based Liquefaction Potential of Sites in the Imperial Valley. In Proceedings of the Second International Conference on Recent Adavances in Geotechnical Earthquake Engineering and Soil Dynamics, St. Louis, MI, USA, 11–15 March 1991. [Google Scholar]
- Porcino, D.D.; Triantafyllidis, T.; Wichtmann, T.; Tomasello, G. Using different state parameters for characterizing undrained static and cyclic behavior of sand with non-plastic fines. Soil Dyn. Earthq. Eng. 2022, 159, 107318. [Google Scholar] [CrossRef]
- Pan, K.; Yang, Z.X. Evaluation of the Liquefaction Potential of Sand under Random Loading Conditions: Equivalent Approach Versus Energy-Based Method. J. Earthq. Eng. 2020, 24, 59–83. [Google Scholar] [CrossRef]
- Figueroa, J.L.; Saada, A.S.; Liang, L.; Dahisaria, N.M. Evaluation of Soil Liquefaction by Energy Principles. J. Geotech. Eng. 1994, 120, 1554–1569. [Google Scholar] [CrossRef]
- Towhata, I.; Ishihara, K. Shear work and pore water pressure in undrained shear. Soils Found. 1985, 25, 73–84. [Google Scholar] [CrossRef] [PubMed]
- Sassa, K.; Wang, G.; Fukuoka, H.; Vankov, D.A. Shear-displacement-amplitude dependent pore-pressure generation in undrained cyclic loading ring shear tests: An energy approach. J. Geotech. Geoenviron. Eng. 2005, 131, 750–761. [Google Scholar] [CrossRef]
- Yang, J.; Wei, L.M.; Dai, B.B. State variables for silty sands: Global void ratio or skeleton void ratio? Soils Found. 2015, 55, 99–111. [Google Scholar] [CrossRef]
- Rahman, M.M.; Sitharam, T.G. Cyclic liquefaction screening of sand with non-plastic fines: Critical state approach. Geosci. Front. 2020, 11, 429–438. [Google Scholar] [CrossRef]
- Carraro, J.A.H.; Bandini, P.; Salgado, R. Liquefaction resistance of clean and nonplastic silty sands based on cone penetration resistance. J. Geotech. Geoenviron. Eng. 2003, 129, 965–976. [Google Scholar] [CrossRef]
- Boulanger, R.W.; Idriss, I.M. Liquefaction criteria for silts and clays. J. Geotech. Geoenviron. Eng. 2006, 132, 1413–1426. [Google Scholar] [CrossRef]
- Yang, Z.X.; Pan, K. Energy-Based Approach to Quantify Cyclic Resistance and Pore Pressure Generation in Anisotropically Consolidated Sand. J. Mater. Civ. Eng. 2018, 30, 04018203. [Google Scholar] [CrossRef]
- Chien, L.-K.; Oh, Y.-N.; Chang, C.-H. Effects of fines content on liquefaction strength and dynamics settlment of reclaimed soil. Can. Geotech. J. 2002, 39, 254–265. [Google Scholar] [CrossRef]
- Ishihara, K. Liquefaction on flow failure during earthquake. Géotechnique 1993, 43, 351–415. [Google Scholar] [CrossRef]
- Sze, H.Y.; Yang, Y. Failure Modes of Sand in Undrained Cyclic Loading: Impact of Sample Preparation. J. Geotech. Geoenviron. Eng. 2014, 140, 152–169. [Google Scholar] [CrossRef]
- Ghionna, V.N.; Porcino, D. Liquefaction resistance of undisturbed and reconstituted samples of a natural coarse sand from undrained cyclic triaxial tests. J. Geotech. Geoenviron. Eng. 2006, 132, 194–202. [Google Scholar] [CrossRef]
Disclaimer/Publisher’s Note: The statements, opinions and data contained in all publications are solely those of the individual author(s) and contributor(s) and not of MDPI and/or the editor(s). MDPI and/or the editor(s) disclaim responsibility for any injury to people or property resulting from any ideas, methods, instructions or products referred to in the content. |
© 2024 by the authors. Licensee MDPI, Basel, Switzerland. This article is an open access article distributed under the terms and conditions of the Creative Commons Attribution (CC BY) license (https://creativecommons.org/licenses/by/4.0/).













