Multitemporal Quantification of the Geomorphodynamics on a Slope within the Cratère Dolomieu at the Piton de la Fournaise (La Réunion, Indian Ocean) Using Terrestrial LiDAR Data, Terrestrial Photographs, and Webcam Data
Abstract
1. Introduction
2. Study Area
3. Materials and Methods
3.1. Acquisition and Registration of Ground-Based LiDAR Data
3.2. Acquisition of Terrestrial Photographs
3.3. Acquisition of Webcam Photographs
3.4. SfM and Global Registration of the Point Clouds
- Pictures from each time step were aligned, and tie points were automatically derived by AMP, resulting in a first sparse point cloud, but still without a global referencing.
- GCPs were set on every single picture. Since it is not allowed to enter the crater, there are no markers available inside it. Thus, GCPs were first selected using concise objects in the 2014 TLS point cloud. The GCPs derived from the TLS point cloud were employed for scene triangulation and reconstruction [50], as well as for defining and adjusting the external orientation parameters (scale, rotation, translation) of the image sets [51]. The coordinates of the GCPs were obtained for structures that were clearly visible in both the TLS point cloud and the terrestrial photographs and had remained unchanged throughout the observation period. The criterion for the selection was the visibility of the concise objects/formations (e.g., big boulders, structures in the rock face, which are more stable than others) in both the 2014 TLS and the 2014 terrestrial photographs. A total of 39 GCPs were selected to ensure sufficient reference points in all terrestrial and webcam photographs, considering the geomorphologic changes between 2009 and 2016, and thus the appearance or disappearance of concise objects, especially in the earlier picture pairs (2009–2013). The 2014 terrestrial photographs serve, then, for localization of GCPs in the photographs from other time steps.
- Based on the sparse point cloud and using the available GCPs, the dense cloud of the 2014 terrestrial photographs was derived.
- After referencing the 2014 terrestrial photographs, the dense point cloud was exported as an LAS file and imported into RiSCAN Pro for an ICP adjustment. This was carried out between the 2014 LiDAR point cloud and the 2014 SfM point cloud, with the 2014 LiDAR point cloud serving as the “Master”.
- The final referenced 2014 SfM point cloud and the corresponding orthophotographs were used to identify and extract GCPs for referencing the webcam photographs. After the final adjustment of the sparse cloud in AMP, a dense point cloud for each image pair of the webcam photographs was derived and exported as an LAS file.
- These LAS files were imported into RiSCAN Pro and an ICP adjustment was performed on the base of stable areas (Figure 4). This adjustment was necessary because uplift and subsidence had occurred in the area of the crater over the years due to active volcanism, making coordinates alone unreliable for fitting the individual point clouds. By using stable areas within the Areas of Interest (AoIs), these inconsistencies were avoided, assuming that these uplifts and subsidence did not occur at specific points but had approximately constant values in these areas.
3.5. Two-Step SfM and LiDAR Point Cloud Referencing
3.6. Quantification of Surface Changes
3.7. Error Propagation
4. Results and Discussion
4.1. Useable Photographs for 4D Analysis
4.2. Achieved Accuracies
4.3. Mapping of Surface Changes Based on Webcam Photographs
4.4. Calculation of Surface Changes on the Mapped AoIs
4.4.1. Rockfall Zones
4.4.2. Debris Zones
4.5. Temporal Specification of the Single Events
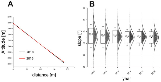
4.6. Geomorphic Perspective
5. Conclusions
5.1. Methodological Aspect
5.2. Geomorphological Aspects
Author Contributions
Funding
Data Availability Statement
Acknowledgments
Conflicts of Interest
References
- Hanagan, C.; La Femina, P.C.; Rodgers, M. Changes in Crater Morphology Associated With Volcanic Activity at Telica Volcano, Nicaragua. Geochem. Geophys. Geosyst. 2020, 21, e2019GC008889. [Google Scholar] [CrossRef]
- Civico, R.; Ricci, T.; Scarlato, P.; Andronico, D.; Cantarero, M.; Carr, B.B.; De Beni, E.; Del Bello, E.; Johnson, J.B.; Kueppers, U.; et al. Unoccupied Aircraft Systems (UASs) Reveal the Morphological Changes at Stromboli Volcano (Italy) before, between, and after the 3 July and 28 August 2019 Paroxysmal Eruptions. Remote Sens. 2021, 13, 2870. [Google Scholar] [CrossRef]
- Tournigand, P.-Y.; Smets, B.; Laxton, K.; Dille, A.; France, L.; Chazot, G.; Ho, C.; Wauthier, C.; Nicholson, E.J.; Kasanzu, H.C.; et al. Remote volcano monitoring using crowd-sourced imagery and Structure-from-Motion photogrammetry: A case study of Oldoinyo Lengai’s active pit crater since the 2007–08 paroxysm. J. Volcanol. Geotherm. Res. 2023, 443, 107918. [Google Scholar] [CrossRef]
- Geshi, N.; Shimano, T.; Chiba, T.; Nakada, S. Caldera collapse during the 2000 eruption of Miyakejima Volcano, Japan. Bull. Volcanol. 2002, 64, 55–68. [Google Scholar] [CrossRef]
- Michon, L.; Staudacher, T.; Ferrazzini, V.; Bachèlery, P.; Marti, J. April 2007 collapse of Piton de la Fournaise: A new example of caldera formation. Geophys. Res. Lett. 2007, 34, 104. [Google Scholar] [CrossRef]
- Duputel, Z.; Rivera, L. Show more The 2007 caldera collapse of Piton de la Fournaise volcano: Source process from very-long-period seismic signals. Geoplanet-Earth Plan. Lett. 2019, 527, 115786. [Google Scholar] [CrossRef]
- Harnett, C.E.; Watson, R.A.; Holohan, E.P.; Schöpfer, M.P.J. Collapse caldera walls: Mechanical controls on slope failure and morphology. J. Volcanol. Geotherm. Res. 2023, 442, 107893. [Google Scholar] [CrossRef]
- Klotz, S.; Le Bouteiller, C.; Mathys, N.; Fontaine, F.; Ravanat, X.; Olivier, J.-E.; Liébault, F.; Jantzi, H.; Coulmeau, P.; Richard, D.; et al. A high-frequency, long-term data set of hydrology and sediment yield: The alpine badland catchments of Draix-Bléone Observatory. Earth Syst. Sci. Data 2023, 15, 4371–4388. [Google Scholar] [CrossRef]
- Barbarella, M.; Fiani, M.; Lugli, A. Landslide monitoring using multitemporal terrestrial laser scanning for ground displacement analysis. Geomat. Nat. Hazards Risk 2015, 6, 398–418. [Google Scholar] [CrossRef]
- Pfeiffer, J.; Zieher, T.; Rutzinger, M.; Bremer, M.; Wichmann, V. Comparison and time series analysis of landslide displacement mapped by airborne, terrestrial and unmanned aerial vehicle based platforms. In Proceedings of the ISPRS Annals of the Photogrammetry, Remote Sensing and Spatial Information Sciences, ISPRS Geospatial Week, Enschede, The Netherlands, 10–14 June 2019. [Google Scholar]
- Saito, H.; Uchiyama, S.; Hayakawa, Y.S.; Obanawa, H. Landslides triggered by an earthquake and heavy rainfalls at Aso volcano, Japan, detected by UAS and SfM-MVS photogrammetry. Prog. Earth Planet Sci. 2018, 5, 15. [Google Scholar] [CrossRef]
- Carr, B.B.; Lev, E.; Vanderkluysen, L.; Moyer, D.; Marliyani, G.I.; Clarke, A.B. The Stability and Collapse of Lava Domes: Insight From Photogrammetry and Slope Stability Models Applied to Sinabung Volcano (Indonesia). Front. Earth Sci. 2022, 10, 813813. [Google Scholar] [CrossRef]
- Stark, M.; Rom, J.; Haas, F.; Piermattei, L.; Fleischer, F.; Altmann, M.; Becht, M. Long-term assessment of terrain changes and calculation of erosion rates in an alpine catchment based on SfM-MVS processing of historical aerial images. How camera information and processing strategy affect quantitative analysis. J. Geomorphol. 2022, 1, 43–77. [Google Scholar] [CrossRef]
- Ravanel, L.; Deline, P. Climate influence on rock-falls in high-Alpine steep rockwalls: The north side of the Aiguilles de Chamonix (Mont Blanc massif) since the end of the ‘Little Ice Age’. Holocene 2010, 21, 357–365. [Google Scholar] [CrossRef]
- Derrien, A.; Villeneuve, N.; Peltier, A.; Michon, L. Multi-temporal airborne structure-from-motion on caldera rim: Hazard, visitor exposure and origins of instabilities at Piton de la Fournaise. Prog. Phys. Geogr. Earth Environ. 2018, 43, 193–214. [Google Scholar] [CrossRef]
- Guerin, A.; Stock, G.M.; Radue, M.J.; Jaboyedoff, M.; Collins, B.D.; Matasci, B.; Avdievitch, N.; Derron, M.-H. Quantifying 40 years of rockfall activity in Yosemite Valley with historical Structure-from-Motion photogrammetry and terrestrial laser scanning. Geomorphology 2020, 356, 107069. [Google Scholar] [CrossRef]
- Gracchi, T.; Stefanelli, C.T.; Rossi, G.; Di Traglia, F.; Nolesini, T.; Tanteri, L.; Casagli, N. UAV-Based Multitemporal Remote Sensing Surveys of Volcano Unstable Flanks: A Case Study from Stromboli. Remote Sens. 2022, 14, 2489. [Google Scholar] [CrossRef]
- Wegner, K.; Stark, M.; Haas, F.; Becht, M. Suitability of terrestrial archival imagery for SfM-MVS based surface reconstruction of steep rock walls for the detection of rockfalls. J. Geomorphol. 2023. [Google Scholar] [CrossRef]
- Rom, J.; Haas, F.; Hofmeister, F.; Fleischer, F.; Altmann, M.; Pfeiffer, M.; Heckmann, T.; Becht, M. Analysing the Large-Scale Debris Flow Event in July 2022 in Horlachtal, Austria Using Remote Sensing and Measurement Data. Geosciences 2023, 13, 100. [Google Scholar] [CrossRef]
- Fontaine, F.R.; Roult, G.; Michon, L.; Barruol, G.; Di Muro, A. The 2007 eruptions and caldera collapse of the Piton de la Fournaise volcano (La Réunion Island) from tilt analysis at a single very broadband seismic station. Geophys. Res. Lett. 2014, 41, 2803–2811. [Google Scholar] [CrossRef]
- Durand, V.; Mangeney, A.; Haas, F.; Jia, X.; Peltier, A.; Hibert, C.; Ferrazzini, V.; Kowalski, P.; Lauret, F.; Brunet, C.; et al. On the link between external forcings and slope instabilities in the Piton de la Fournaise summit crater, Reunion Island. J. Geophys. Rev. Earth Surf. 2018, 123, 2422–2442. [Google Scholar] [CrossRef]
- Durand, V.; Mangeney, A.; Bernard, P.; Jia, X.; Bonilla, F.; Satriano, C.; Saurel, J.-M.; Aissaoui, E.M.; Peltier, A.; Ferrazzini, V.; et al. Repetitive small seismicity coupled with rainfall can trigger large slope instabilities on metastable volcanic edifices. Commun. Earth Environ. 2023, 4, 383. [Google Scholar] [CrossRef]
- Suriñach, E.; Vilajosana, I.; Khazaradze, G.; Biescas, B.; Furdada, G.; Vilaplana, J.M. Seismic detection and characterization of landslides and other mass movements. Nat. Hazards Earth Syst. Sci. 2005, 5, 791–798. [Google Scholar] [CrossRef]
- Walter, M.; Schwaderer, U.; Joswig, M. Seismic monitoring of precursory fracture signals from a destructive rockfall in the Vorarlberg Alps, Austria. Nat. Hazards Earth Syst. Sci. 2012, 12, 3545–3555. [Google Scholar] [CrossRef][Green Version]
- Nobile, A.; Acocella, V.; Ruch, J.; Aoki, Y.; Borgstrom, S.; Siniscalchi, V.; Geshi, N. Steady subsidence of a repeatedly erupting caldera through InSAR observations: Aso, Japan. Bull. Volcanol. 2017, 79, 32. [Google Scholar] [CrossRef]
- Richter, N.; Froger, J.-L. The role of Interferometric Synthetic Aperture Radar in Detecting, Mapping, Monitoring, and Modelling the Volcanic Activity of Piton de la Fournaise, La Réunion: A Review. Remote Sens. 2020, 12, 1019. [Google Scholar] [CrossRef]
- Vanneschi, C.; Di Camillo, M.; Aiello, E.; Bonciani, F.; Salvini, R. SfM-MVS photogrammetry for rock-fall analysis and hazard assessment along the ancient Roman Via Flaminia road at the Furlo Gorge (Italy). ISPRS Int. J. Geo-Inf. 2019, 8, 325. [Google Scholar] [CrossRef]
- Gallo, I.G.; Martínez-Corbella, M.; Sarro, R.; Iovine, G.; López-Vinielles, J.; Hérnandez, M.; Robustelli, G.; Mateos, R.M.; García-Davalillo, J.C. An integration of UAV-based photogramme-try and 3D modelling for rockfall hazard assessment: The Cárcavos case in 2018 (Spain). Remote Sens. 2021, 13, 3450. [Google Scholar] [CrossRef]
- Roncella, R.; Forlani, G.; Fornari, M.; Diotri, F. Landslide monitoring by fixed-base terrestrial stereo-photogrammetry. In Proceedings of the ISPRS Annals of the Photogrammetry, Remote Sensing and Spatial Information Sciences, ISPRS Technical Commission V Symposium, Riva del Garda, Italy, 23–25 June 2014. [Google Scholar]
- Eltner, A.; Kaiser, A.; Abellan, A.; Schindewolf, M. Time lapse structure-from-motion photogrammetry for continuous geomorphic monitoring. Earth Surf. Proc. Landf. 2017, 42, 2240–2253. [Google Scholar] [CrossRef]
- Kromer, R.; Walton, G.; Gray, B.; Lato, M.; Group, R. Development and Optimization of an Automated Fixed-Location Time Lapse Photogrammetric Rock Slope Monitoring System. Remote Sens. 2019, 11, 1890. [Google Scholar] [CrossRef]
- Blanch, X.; Guinau, M.; Eltner, A.; Abellan, A. Fixed photogrammetric systems for natural hazard monitoring with high spatio-temporal resolution. Nat. Hazards Earth Syst. Sci. 2023, 23, 3285–3303. [Google Scholar] [CrossRef]
- Falsaperla, S.; Neri, M.; Pecora, E.; Spampinato, S. Multidisciplinary study of flank instability phenomena at Stromboli volcano, Italy. Geophys. Res. Lett. 2006, 33, 15. [Google Scholar] [CrossRef]
- Calvari, S.; Intrieri, E.; Di Traglia, F.; Bonaccorso, A.; Casagli, N.; Cristaldi, A. Monitoring crater-wall collapse at active volcanoes: A study of the 12 January 2013 event at Stromboli. Bull. Volcanol. 2016, 78, 39. [Google Scholar] [CrossRef]
- Coltelli, M.; d’Aranno, P.J.V.; de Bonis, R.; Tello, J.F.G.; Marsella, M.; Nardinocchi, C.; Pecora, E.; Proietti, C.; Scifoni, S.; Scutti, M.; et al. The Use of Surveillance Cameras for the Rapid Mapping of Lava Flows: An Application to Mount Etna Volcano. Remote Sens. 2017, 9, 192. [Google Scholar] [CrossRef]
- Barnie, T.; Hjörvar, T.; Titos, M.; Sigurðsson, E.M.; Pálsson, S.K.; Bergsson, B.; Ingvarsson, Þ.; Pfeffer, M.A.; Barsotti, S.; Arason, Þ.; et al. Volcanic plume height monitoring using calibrated web cameras at the Icelandic Meteorological Office: System overview and first application during the 2021 Fagradalsfjall eruption. J. Appl. Volcanol. 2023, 12, 4. [Google Scholar] [CrossRef]
- Michon, L.; Saint-Age, F. Morphology of Piton de la Fournaise basaltic shield volcano (La Réunion Island): Characterization and implication in the volcano evolution. J. Geophys. Res. 2008, 113, 2156–2202. [Google Scholar] [CrossRef]
- Le Friant, A.; Lebas, E.; Clément, V.; Boudon, G.; Deplus, C.; De Voogd, B.; Bachèlery, P. A new model for the evolution of La Réunion volcanic complex from complete marine geophysical surveys. Geophys. Res. Lett. 2011, 38, 39. [Google Scholar] [CrossRef]
- Gillot, P.-Y.; Lefèvre, J.-C.; Nativel, P.E. Model for the structural evolution of the volcanoes of Réunion island. Earth Planet. Sci. Lett. 1994, 122, 291–302. [Google Scholar] [CrossRef]
- Famin, V.; Paquez, C.; Danišík, M.; Gardiner, N.J.; Michon, L.; Kirkland, C.L.; Berthod, C.; Friedrichs, B.; Schmitt, A.K.; Monié, P. Multitechnique geochronology of intrusive and explosive activity on Piton des Neiges Volcano, Réunion Island. Geochem. Geophys. Geosyst. 2022, 23, e2021GC010214. [Google Scholar] [CrossRef]
- Lénat, J.-F.; Bachèlery, P. Dynamics of magma transfer at Piton de la Fournaise volcano (Réunion Island, Indian Ocean). In Modeling of Volcanic Processes. Earth Evolution Sciences; King, C.-Y., Scarpa, R., Eds.; Vieweg+Teubner Verlag: Wiesbaden, Germany, 1988; pp. 57–72. [Google Scholar]
- Staudacher, T.; Ferrazzini, V.; Peltier, A.; Kowalski, P.; Boissier, P.; Catherine, P.; Lauret, F.; Massin, F. The April 2007 eruption and the Doloieu crater collapse, two major events at Piton de la Fournaise (La Réunion Island, Indian Ocean). J. Volcanol. Geotherm. Res. 2009, 184, 126–137. [Google Scholar] [CrossRef]
- Garcin, M.; Poisson, B.; Pouget, R. High rates of geomorphological processes in a tropical area: The Remparts river case study (Réunion Island, Indian Ocean). Geomorphology 2005, 67, 335–350. [Google Scholar] [CrossRef]
- Join, J.-L.; Folio, J.-L.; Bourhane, A.; Comte, J.-C. Groundwater Resources on Active Basaltic Volcanoes: Conceptual Models from La Réunion Island and Grande Comore. In Active Volcanoes of the Southwest Indian Ocean Piton de la Fournaise and Karthala; Bachèlery, P., Lénat, J.-F., Di Muro, A., Michon, L., Eds.; Springer: Berlin/Heidelberg, Germany, 2016; pp. 61–70. [Google Scholar]
- Haas, F.; Hilger, L.; Neugirg, F.; Umstädter, K.; Breitung, C.; Fischer, P.; Hilger, P.; Heckmann, T.; Dusik, J.; Kaiser, A.; et al. Quantification and analysis of geomorphic processes on a recultivated iron ore mine on the Italian island Elba using long-time ground-based LIDAR and photogrammetric data by an UAV. Nat. Hazards Earth Syst. Sci. 2016, 16, 1269–1288. [Google Scholar] [CrossRef]
- Zhang, Z. Iterative point matching for registration of free-form curves and surfaces. Int. J. Comput. Vis. 1994, 13, 119–152. [Google Scholar] [CrossRef]
- Micheletti, N.; Chandler, J.H.; Lane, S.N. Investigating the geomorphological potential of freely available and accessible structure-from-motion photo-grammetry using a smartphone. Earth Surf. Proc. Landf. 2015, 40, 473–486. [Google Scholar] [CrossRef]
- Riegl VZ-4000. Available online: http://www.riegl.com/uploads/tx_pxpriegldownloads/RIEGL_VZ-4000_Datasheet_2020-09-14.pdf (accessed on 10 September 2024).
- Conrad, O.; Bechtel, B.; Bock, M.; Dietrich, H.; Fischer, E.; Gerlitz, L.; Wehber, J.; Wichmann, V.; Böhner, J. System for Automated Geoscientific Analyses (SAGA) v. 2.1.4. Geosci. Model Dev. 2015, 8, 1991–2007. [Google Scholar] [CrossRef]
- Westoby, M.J.; Brasington, J.; Glasser, N.F.; Hambrey, M.J.; Reynolds, J.M. ‘Structure-from-Motion’ photogrammetry: A low-cost, effective tool for geoscience applications. Geomorphology 2012, 179, 300–314. [Google Scholar] [CrossRef]
- James, M.R.; Robson, S.; d’Oleire-Oltmanns, S.; Niethammer, U. Optimising UAV topographic surveys with structure-from-motion: Ground control quality, quantity and bundle adjustment. Geomorphology 2017, 280, 51–66. [Google Scholar] [CrossRef]
- James, M.R.; Robson, S.; Smith, M.W. 3-D uncertainty-based topographic change detection with structure-from-motion photogrammetry: Precision maps for ground control and directly georeferenced surveys. Earth Surf. Proc. Landf. 2017, 42, 1769–1788. [Google Scholar] [CrossRef]
- James, M.R.; Antoniazza, G.; Robson, S.; Lane, S.N. Mitigating systematic error in topographic models for geomorphic change detection: Accuracy, precision and considerations beyond off-nadir imagery. Earth Surf. Proc. Landf. 2020, 45, 2251–2271. [Google Scholar] [CrossRef]
- Fey, C.; Wichmann, V. Long-range terrestrial laser scanning forgeomorphological change detection in alpineterrain—Handling uncertainties. Earth Surf. Proc. Landf. 2017, 42, 789–802. [Google Scholar] [CrossRef]
- Heckmann, T. Cut & Fill module for SAGA GIS 2.2.0. 2006. [Google Scholar]
- Brasington, J.; Langham, J.; Rumsby, B. Methodological sensitivity of morphometric estimates of coarse fluvial sediment transport. Geomorphology 2003, 53, 299–316. [Google Scholar] [CrossRef]
- Lane, S.N.; Westaway, R.M.; Murray, H.D. Estimation of erosion and deposition volumes in a large, gravel-bed, braided river using synoptic remote sensing. Earth Surf. Proc. Landf. 2003, 28, 249–271. [Google Scholar] [CrossRef]
- Bennett, G.L.; Molnar, P.; Eisenbeiss, H.; McArdell, B.W. Erosiononal power in the Swiss Alps: Characterization of slope failure in the Illgraben. Earth Surf. Proc. Landf. 2012, 37, 1627–1640. [Google Scholar] [CrossRef]
- Brasington, J.; Rumsby, B.T.; McVey, R.A. Monitoring and modelling morphological change in a braided gravel-bed river using high resolution GPS-based survey. Earth Surf. Proc. Landf. 2000, 25, 973–990. [Google Scholar] [CrossRef]
- Westaway, R.M.; Lane, S.N.; Hicks, D.M. The development of an automated correction procedure for digital photogrammetry for the study of wide, shallow, gravel bed rivers. Earth Surf. Proc. Landf. 2000, 25, 209–226. [Google Scholar] [CrossRef]
- Gomez, C.; Hayakawa, Y.; Obanawa, H. A study of Japanese landscapes using structure from motion derived DSMs and DEMs based on historical aerial photographs: New opportunities for vegetation monitoring and diachronic geomorphology. Geomorphology 2015, 242, 11–20. [Google Scholar] [CrossRef]
- Bakker, M.; Lane, S.N. Archival photogrammetric analysis of river-floodplain systems using Structure from Motion (SfM) methods. Earth Surf. Proc. Landf. 2017, 42, 1274–1286. [Google Scholar] [CrossRef]
- Mueller, S.B.; Varley, N.R.; Kueppers, U.; Lesage, P.; Reyes Davila, G.A.; Dingwell, D.B. Quantification of magma ascent rate through rockfall monitoring at the growing/collapsing lava dome of Volc’an de Colima, Mexico. Solid Earth 2013, 4, 201–213. [Google Scholar] [CrossRef]
- Kuehnert, J.; Mangeney, A.; Capdeville, Y.; Vilotte, J.P.; Stutzmann, E.; Chaljub, E.; Aissaoui, M.; Boissier, P.; Brunet, C.; Kowalski, P.; et al. Rockfall localization based on inter-station ratios of seismic energy. J. Geophys. Res.—Earth Surface 2021, 126. [Google Scholar] [CrossRef]
- Pesci, A.; Teza, G.; Casula, G.; Fabris, M.; Bonforte, A. Remote Sensing and Geodetic Measurements for Volcanic Slope Monitoring: Surface Variations Measured at Northern Flank of La Fossa Cone (Vulcano Island, Italy). Remote Sens. 2011, 5, 2238–2256. [Google Scholar] [CrossRef]
- Ai, L.; Walter, T.R.; Aguilera, F.; Layana, S.; Mania, R.; Kujawa, C.; Zimmer, M.; Inostroza, M. Crater morphology, nested ring structures, and temperature anomalies studied by unoccupied aircraft system data at Lascar volcano, northern Chile. J. Volcanol. Geotherm. Res. 2023, 439, 107840. [Google Scholar] [CrossRef]
- Mourey, J.; Lacroix, P.; Duvillard, P.A.; Marsy, G.; Marcer, M.; Malet, E.; Ravanel, L. Multi method monitoring of rockfall activityalong the classic route up Mont Blanc (4809 m a.s.l.) to encourage adaption by mountaineers. Nat. Hazards Earth Syst. Sci. 2022, 22, 445–460. [Google Scholar] [CrossRef]
- Chandler, R.J. The Inclination of Talus, Arctic Talus Terraces, and Other Slopes Composed of Granular Materials. J. Geol. 1973, 81, 1–14. [Google Scholar] [CrossRef]
- Carson, M.A. Angles of Repose, Angles of Shearing Resistance and Angles of Talus Slopes. Earth Surface Process. 1977, 2, 363–380. [Google Scholar] [CrossRef]
- van Steijna, H.; Boelhouwers, J.; Harris, S.; Hétu, B. Recent research on the nature, origin and climatic relations of blocky and stratified slope deposits. Prog. Phys. Geogr. 2002, 26, 551–575. [Google Scholar] [CrossRef]
- Léopoldès, J.; Jia, X.; Tourin, A.; Mangeney, A. Triggering granular avalanches with ultrasound. Phys. Rev. E 2020, 102, 042901. [Google Scholar] [CrossRef]
- Eltner, A.; Kaiser, A.; Castillo, C.; Rock, G.; Neugirg, F.; Abellán, A. Image-based surface reconstruction in geomorphometry—Merits, limits and developments. Earth Surf. Dyn. 2016, 4, 359–389. [Google Scholar] [CrossRef]
- Chen, Y.; Remy, D.; Froger, L.J.; Peltier, A.; Villeneuve, N.; Darrozes, J.; Perfettini, H.; Bonvalot, S. Long term ground displacement using InSAR and GNSS at Piton de la Fournaise volcano between 2009 and 2014. Remote Sens. Environ. 2017, 194, 230–247. [Google Scholar] [CrossRef]











| Parameter | Riegl VZ-4000 |
|---|---|
| Max. measurement range | 4000 m |
| Min. measurement range | 5 m |
| Field of view | 60° (vertical) × 360° (horizontal) |
| Measurement rate | Max. 230,000 pts./s |
| Accuracy | 15 mm |
| Precision | 10 mm |
| Laser wavelength | Near-infrared |
| Laser beam divergence | 0.15 mrad * |
| Survey Parameter | |
|---|---|
| No. of scan positions | 8 |
| No. of backside scans | 8 |
| Humidity | 30% |
| Temperature | 28 °C |
| Year | 2014 |
| Parameters | Webcam | Webcam | Camera System 3 | Camera System 4 | Camera System 5 |
|---|---|---|---|---|---|
| Type | Pentax | Canon | Pentax | Canon | Nikon |
| Name | K200D | EOS350D | Kx | EOS 1DS Mark III | D610 |
| Resolution | 10.2 MP | 8 MP | 12.2 MP | 21.1 MP | 24.3 MP |
| Focal length | 18 mm | 20 mm | 28 mm | 35 mm | 32 mm |
| Exposure | 1/200 | 1/40 | 1/200 | 1/100 | 1/400 |
| Responsivity | 100 | 100 | 200 | 100 | 100 |
| Aperture | F/8 | F/16 | F/11 | F/8 | F/4.5 |
| Amount of pictures | 390 | 485 | 496 | 92 | 133 |
| Amount of pictures used for data processing | 2 pairs | 4 pairs | 4 pieces | 4 pieces | 4 pieces |
| Year | 10/2009–07/2010 | 12/2010–12/2011 | 2014 | 2015 | 2016 |
| Period | Data Set | LoD on Stable Areas |
|---|---|---|
| 2010–2011 | Webcam–webcam | 0.59 m |
| 2011–2012 | Webcam–webcam | 0.60 m |
| 2012–2014 | Webcam–TLS | 0.69 m |
| 2014–2015 | TLS–terrestrial photographs | 0.26 m |
| 2015–2016 | TLS–terrestrial photographs | 0.45 m |
| 2010–2016 | Webcam–TLS | 0.80 m |
Disclaimer/Publisher’s Note: The statements, opinions and data contained in all publications are solely those of the individual author(s) and contributor(s) and not of MDPI and/or the editor(s). MDPI and/or the editor(s) disclaim responsibility for any injury to people or property resulting from any ideas, methods, instructions or products referred to in the content. |
© 2024 by the authors. Licensee MDPI, Basel, Switzerland. This article is an open access article distributed under the terms and conditions of the Creative Commons Attribution (CC BY) license (https://creativecommons.org/licenses/by/4.0/).
Share and Cite
Wegner, K.; Durand, V.; Villeneuve, N.; Mangeney, A.; Kowalski, P.; Peltier, A.; Stark, M.; Becht, M.; Haas, F. Multitemporal Quantification of the Geomorphodynamics on a Slope within the Cratère Dolomieu at the Piton de la Fournaise (La Réunion, Indian Ocean) Using Terrestrial LiDAR Data, Terrestrial Photographs, and Webcam Data. Geosciences 2024, 14, 259. https://doi.org/10.3390/geosciences14100259
Wegner K, Durand V, Villeneuve N, Mangeney A, Kowalski P, Peltier A, Stark M, Becht M, Haas F. Multitemporal Quantification of the Geomorphodynamics on a Slope within the Cratère Dolomieu at the Piton de la Fournaise (La Réunion, Indian Ocean) Using Terrestrial LiDAR Data, Terrestrial Photographs, and Webcam Data. Geosciences. 2024; 14(10):259. https://doi.org/10.3390/geosciences14100259
Chicago/Turabian StyleWegner, Kerstin, Virginie Durand, Nicolas Villeneuve, Anne Mangeney, Philippe Kowalski, Aline Peltier, Manuel Stark, Michael Becht, and Florian Haas. 2024. "Multitemporal Quantification of the Geomorphodynamics on a Slope within the Cratère Dolomieu at the Piton de la Fournaise (La Réunion, Indian Ocean) Using Terrestrial LiDAR Data, Terrestrial Photographs, and Webcam Data" Geosciences 14, no. 10: 259. https://doi.org/10.3390/geosciences14100259
APA StyleWegner, K., Durand, V., Villeneuve, N., Mangeney, A., Kowalski, P., Peltier, A., Stark, M., Becht, M., & Haas, F. (2024). Multitemporal Quantification of the Geomorphodynamics on a Slope within the Cratère Dolomieu at the Piton de la Fournaise (La Réunion, Indian Ocean) Using Terrestrial LiDAR Data, Terrestrial Photographs, and Webcam Data. Geosciences, 14(10), 259. https://doi.org/10.3390/geosciences14100259

