Next Article in Journal
Oxygen Isotopes from Apatite of Middle and Late Ordovician Conodonts in Peri-Baltica (The Holy Cross Mountains, Poland) and Their Climatic Implications
Previous Article in Journal
Quantifying Strombolian Activity at Etna Volcano
 
 
Font Type:
Arial Georgia Verdana
Font Size:
Aa Aa Aa
Line Spacing:
Column Width:
Background:
Article

Evaluating Sexual Dimorphism in Postcranial Elements of Eurasian Extinct Stephanorhinus etruscus (Falconer, 1868) (Mammalia, Rhinocerotidae)

Paleo[Fab]Lab, Dipartimento di Scienze della Terra, Università di Firenze, Via G. La Pira 4, 50121 Firenze, Italy
*
Author to whom correspondence should be addressed.
Geosciences 2022, 12(4), 164; https://doi.org/10.3390/geosciences12040164
Submission received: 26 February 2022 / Revised: 14 March 2022 / Accepted: 4 April 2022 / Published: 7 April 2022
(This article belongs to the Section Sedimentology, Stratigraphy and Palaeontology)

Abstract

Sexual dimorphism has been poorly evaluated or investigated in Pleistocene Eurasian Stephanorhinus species, leaving a gap in our knowledge about their morphometric variability. Among the representatives of this genus, S. etruscus is the most abundant species, with several remains collected from Western European localities, allowing us to investigate the presence of sexual dimorphism in the limb bones of this taxon. We considered measurements taken on 45 postcranial variables and three different statistical metrics to identify patterns of bimodality in the dataset. This work represents the first application of sex-combined statistical analysis to a dataset composed of individuals from various European localities. The morphometrical analyses revealed that a relatively weak sexual dimorphism is present in all the considered bones. Larger forelimbs and hindlimbs are interpreted as belonging to adult males of S. etruscus, similarly to what was observed in the modern Sumatran rhino, where males are a little bit larger than females. The recognition of a weak sexual dimorphism in the postcranial bones of S. etruscus increases our understanding of the paleoecology of this extinct taxon. However, only a better study of the morphological and morphometrical variability of the crania of fossil rhinoceroses could deeply contribute to the investigation of the social habits and behavior of these taxa.

1. Introduction

Sexual dimorphism represents a common feature of many mammals, and it affects the body size and morphometry of several species [1,2,3,4]. The family Rhinocerotidae displays a certain degree of sexual dimorphism in extant and fossil species. Among the extant rhinoceroses, Groves [5] detected dimorphic characters in the width of the nasal bones, the height of the occiput, and the width of the mastoids on the crania of the Indian rhinoceros (Rhinoceros unicornis). Guérin [6] and Groves [5] documented a larger size of female individuals in respect to males in Rhinoceros sondaicus. The scant available samples analysed by the above-mentioned authors suggested that males and females of R. sondaicus display a large overlap in nasal width, but with males having a well-developed horn [5,7]. According to Pocock [7] and Groves [5], nasal width differs in males and females of Dicerorhinus sumatrensis, at least in the mainland and Sumatran forms but not in the Bornean subspecies (cf. [5]). Furthermore, wild Sumatran rhinoceros males are proportionally larger than females [5]. Owen-Smith [8] pointed out that Ceratotherium simum (the white rhino) is sexually dimorphic in body size and horn size whereas Diceros bicornis (the black rhino) is monomorphic. According to Rachlow and Berger [9], adult male white rhinos have larger horn bases than adult females.
Sexual dimorphism has been documented in cranial remains of some Neogene Rhinocerotidae lineages [10,11,12,13,14,15,16,17,18,19,20]. The early Miocene Menoceras arikarense shows horn bosses with a degree of dimorphism comparable to modern ruminants [17,19]. Individuals of the North American genera Teleoceras and Aphelops can be easily distinguished in male and female groups based on tusk size [12,14,15,16,18]. In Eurasia, Cerdeño and Sánchez [20] detected sexual dimorphism in the development of i2, as tusks, in Alicornops simorrensis and Aceratherium incisivum. Deng [10] and Chen et al. [21] observed that male individuals of Chiloterium wimani had bigger tusks, more robust mandibles, and wider skulls than females. In the elasmotherine Iranotherium morgani, Deng [11] discovered one qualitatively dimorphic character (males have a hemispherical hypertrophy on zygomatic arches while female individuals have no such structure) and several quantitative sexually dimorphic characters in the development of the nasal horn boss, in the width of the zygomatic arches, and in the width of the anterior part of the nasals. Lu et al. [13] noted that in Plesiaceratherium gracile both lower tusks and upper incisors are sexually dimorphic. Lastly, Borsuk-Bialynicka [22] discovered that several cranial dimensions of Coelodonta antiquitatis were bimodal (such as the width of occiput, the maximum length, the orbit–nuchal crest, the orbit–nares lengths, and the width of the zygomatic arches). Studies on dimorphic characters in postcranial remains, which are often the most abundant element in the Rhinocerotidae fossil record, are currently limited to a few North American taxa [15,16,17,23], and no studies have been previously conducted on this topic within Quaternary species.
Although some research on cranial material has been carried out [24,25,26], sexual dimorphism has been poorly evaluated or investigated in Pleistocene Eurasian Stephanorhinus species, leaving a gap in our knowledge about their morphometric variability. Among the representatives of this genus, S. etruscus represents the most abundant species, with numerous remains collected from Western European localities. The aim of this contribution is therefore to detect possible sexual dimorphic characters in the measurements of postcranial material referred to the extinct S. etruscus.

2. Materials and Methods

We considered measurements taken on 45 postcranial variables of main weightbearing limb elements including radius, third metacarpal (MCIII), tibia, astragalus, calcaneum, and third metatarsal (MTIII). The humerus and femur of S. etruscus were not included in this study; despite being good indicators of dimorphism, these two bones are often damaged and/or deformed. Linear measurements and bone circumferences were collected by direct study of material housed in various European institutions and from published material (Supplementary Materials S1 and S2). All the considered limb bones belong to adult individuals with completely fused epiphyses. Because of the disarticulated nature of S. etruscus remains, it was impossible to determine the sex of the material a priori in any postcranial element. Therefore, it was necessary to apply different methods. Mihlbachler [16,17] found that sex-combined summary statistics were capable of pinpointing strong sexual dimorphism, identifying patterns of bimodality in the sex-combined assemblage of bones against the null expectation of a unimodal normal distribution. Three different statistical metrics were used to identify patterns of bimodality in the data: (1) in mammals, sexually dimorphic variables, such as tusks in Teleoceras [15,17], tend to yield coefficients of variation that exceed a value of 10 [27]; (2) a Shapiro–Wilk test of normality (W) was used to test for deviation from a unimodal normal distribution. Significant results indicate deviation from normality. Sall & Lehman [28] recommended an alpha level (p) for this test < 0.1; (3) an additional mean to verify the presence of dimorphism is the coefficient of bimodality (b). A value of b greater than 0.55 usually indicates a bimodal or polymodal distribution [29,30]. The Shapiro–Wilk test of normality was developed in R Environment version 3.6.1 [30] with the package stats(), version 3.6.1. The bimodality coefficient b was developed in R Environment version 3.6.1 [31] with the package mouse trap() version 3.1.5 [32]. All graphs were obtained in R Environment version 3.6.1 (2019) [31] with the package ggplot2() version 3.3.3 [33]. Mathematical equations used to calculate statistical metrics can be found in Supplementary Materials S3.
Measurement abbreviations: APDb, calcaneum anterior–posterior diameter of the beak; APDm, astragalus anterior–posterior diameter of the medial face; APDS, anterior-posterior diameter of the shaft; APDs, calcaneum anterior–posterior diameter of the tuber calcanei; DAPD, anterior–posterior diameter of the distal epiphysis; DAPDa, anterior– posterior diameter of the distal articular surface; DTD, transverse diameter of the distal epiphysis; DTDa, transverse diameter of the distal articular surface; Hm, height of the medial face of astragalus; Hmax, maximum height; Hl, height of the lateral face of astragalus; Htm, height of the medial lip of the trochlea; Htl, height of the lateral lip of the trochlea; Lmax, maximal length; PAPD, anterior–posterior diameter of the proximal epiphysis; PTD, transverse diameter of the proximal epiphysis; TDl, transverse diameter between the lips of the trochlea; TDmax, astragalus maximum transverse diameter; TDmp, calcaneum minimum posterior transverse diameter; TDS, transverse diameter of the shaft; TDs, calcaneum transverse diameter of the tuber calcanei; TDst, transverse diameter of the sustentaculum talii.
Other abbreviations: CV, coefficient of variation; max, maximum; min, minimum; N, number of observations; Pr. < W, p value for Shapiro–Wilk test of normality; SD, standard deviation.

3. Results

Specimens from Upper Valdarno are well-represented within the considered dataset; accordingly, a statistical analysis and a graphical representation of this sample have been attempted (Supplementary Materials S2). Bivariate plots of selected measurements, such as the Lmax, DTD and DTP, show the presence of two possible clusters in the radius, tibia, MCIII, and MTIII (Supplementary Material S3: Figures S1–S6). However, statistical metrics were not able to identify a clear bimodal distribution due to the low number of values (Supplementary Materials S3: Tables S1–S6).
Considering the dataset as a whole, four measurements on 45 (9%) show a bimodality coefficient (b) greater than or equal to 0.55, and six others are very close to this value. Eight measurements (18%) have a high coefficient of variation (CV > 10) and 16 (35%) deviate from the normal trend of the distribution curve (p-value < 0.1), suggesting that some postcranial characters of S. etruscus are bimodal.
A closer look at the postcranial data reveals which postcranial variables have a higher probability to be sexually dimorphic. Only the APDS of the radius (Table 1) yields a coefficient of bimodality higher than 0.55. The same variable shows a relatively high coefficient of variation.
The DAPD has a relatively high coefficient of variation and deviates significantly from normality, similarly to PTD. Concerning the results obtained for the tibia (Table 2), it is possible to observe that only the PTD passes all three tests and shows a low p-value for the Shapiro–Wilk test of normality, indicating a strong deviation from normality.
Moreover, the APDS also yields a high coefficient of variance, while the Lmax and TDS deviate significantly from normality and have relatively high (≈0.5) coefficients of bimodality. For the astragalus (Table 3) and calcaneum (Table 4), despite the high number of measurements, coefficients of variation are rather low and only one measurement, Hmax, yields a high coefficient of bimodality.
However, eight measurements in the astragalus and calcaneum deviate considerably from a normal distribution. This could be due to the presence of a weak signal of dimorphism, supported also by a relatively high (≈0.5) coefficient of bimodality, or to the presence of some outliers in the dataset. In the third metatarsals (Table 5) the DTD passes all three tests, while the APDs of proximal and distal epiphyses have a high coefficient of variation; other measurements such as APDS and Lmax have a coefficient of variation close to 10 and, just for Lmax, a relatively high coefficient of bimodality, possibly indicating a faint signal of bimodality. In the third metacarpal (Table 6), only the Lmax and the PTD deviate significantly from the normal distribution, with Lmax having a relatively high coefficient of bimodality.
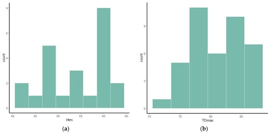
Frequency histograms and bivariate plots of postcranial dimensions are shown in Figure 1, Figure 2, Figure 3, Figure 4, Figure 5, Figure 6, Figure 7, Figure 8, Figure 9, Figure 10, Figure 11 and Figure 12. Using these two types of visual representation, it is easier to observe the bimodal distribution in the dataset. Due to the small number of complete specimens, the values collected from the radius are too scattered to be grouped in two clusters (Figure 7). Histograms of tibia’s Lmax, calcaneum’s Hmax and metapodials’ Lmax (Figure 2, Figure 4, Figure 5 and Figure 6) show that there are two different values around which the measurements are distributed, while the histogram on astragalus (Figure 3) shows a less evident bimodal distribution. Bivariate plots (Figure 7, Figure 8, Figure 9, Figure 10, Figure 11 and Figure 12) allow better underlining of the presence of two clusters, in particular for the astragalus, calcaneum, and MTIII (Figure 9, Figure 10 and Figure 12). The tibia and MCIII bivariate plots (Figure 8 and Figure 11) suggest the presence of two different clusters, but in both cases the cluster made up of the smallest individuals contains only a few specimens.

4. Discussion

Three sex-combined statistical methods allowed us to detect a weak signal of sexual dimorphism for each considered postcranial element of S. etruscus. The results that indicate a possible bivariate distribution for each statistical analysis and for each postcranial element are summarized in Table 7.
The presence of sexual dimorphism in fossil Rhinocerotidae has been investigated primarily on cranial remains [10,11,12,13,14,15,16,17,18,22], but little has been done on the variability of the postcranial elements [13,15,16,17]. This is mainly related to the frequently disarticulated nature of the remains and the need of a large dataset for comparison. Mead [15] observed that the Miocene rhinoceros Teleoceras major from the Ashfall beds shows a high degree of dimorphism in both the anterior and posterior limbs. Mihlbachler [16], using sex-combined summary statistics, confirmed the presence of sexual dimorphism in the postcranial elements of Teleoceras major and observed it for the first time in Teleoceras proterum and Aphelops malacorhinus. Mihlbachler [17] investigated the presence of sexual dimorphism in the limbs of M. arikarense but did not find any clear evidence of sex variance. Lastly, Lu et al. [13] suggested that female individuals of P. gracile were longer and taller while male individuals were generally smaller but more robust.
Pleistocene Stephanorhinus species have been the subject of numerous morphological and morphometric studies in Europe, but only a few of them discussed the presence of sexually dimorphic characters, in particular on cranial remains. Thenius [34] suggested that there are a few adult specimens of the Etruscan rhinoceros in which the nasal septum is not ossified, probably representing females. A distinction between males and females in Stephanorhinus was then suggested on the basis of the nasal width [35]. To the contrary, Loose [24] reported that the variability of nasal horns is so large that it is impossible to correlate its development with the sex of the animal. No inquiry was made into postcranial remains [22].
Due to its abundance and geographic distribution [36], S. etruscus is the Quaternary Eurasian Stephanorhinus that is best suited to be tested for sexual dimorphism.
Here, using sex-combined summary statistics, we detected the presence of a bimodality distribution for some measurements in all of the considered bones (Table 1, Table 2, Table 3, Table 4, Table 5 and Table 6). The total length of the bones and the diameters of the epiphyses are the measurements that are more often bimodal or at least weakly bimodal. The astragalus (Table 3) and calcaneum (Table 4) are weakly bimodal in some characters such as Tdmax, DTDa, TDl, Htm, and APDm for the astragalus and Hmax, TDs, and TDst for the calcaneum. Even though it was impossible to determine the sex of the studied material a priori, the use of frequency histograms (Figure 1, Figure 2, Figure 3, Figure 4, Figure 5 and Figure 6) and, above all, bivariate plots (Figure 7, Figure 8, Figure 9, Figure 10, Figure 11 and Figure 12) shows that two clusters exist among the considered specimens. Bivariate plots can represent the bimodality signal obtained through the use of sex-combined summary statistics, highlighting that some adult individuals were taller and more robust than others.
More importantly, we observed that some adult specimens collected from the same locality, and therefore geographically and temporally close to each other, are plotted in two different clusters and are, in many cases, widely separated (Figure 7, Figure 8, Figure 9, Figure 10, Figure 11 and Figure 12). As a result, individuals from Valdarno (the most frequently represented locality in the dataset and the type area of the species), Pietrafitta, Olivola, and Senèze suggest that morphometrical variation attributable to sexual dimorphism is not overshadowed by the variability related to the geographical and temporal distribution of the species. However, the analysis of the Valdarno sample only (Supplementary Materials S2) did not strongly support the bimodality patterns observed through bivariate plots (Tables S1–S6) due to the too small number of observations. Only a few measurements (e.g., DTD of MTIII) are indeed statistically significant.
Accordingly, we can assume that S. etruscus shows a relatively weak degree of sexual dimorphism in the limbs’ dimensions. In extant Indian, Sumatran, African [8,9,37,38,39], and fossil [15,16,18] Rhinocerotidae, males are larger than females; thus it is possible to hypothesize that in S. etruscus males were also slightly larger than females.

5. Conclusions

The abundance of S. etruscus in the fossil record allows us to investigate the presence of sexual dimorphism in the limb bones of this taxon. Moreover, the present work represents the first application of sex-combined statistical analysis to a dataset composed of individuals from various European localities. The morphometrical analyses revealed that quantifiable relatively weak sexual dimorphism is present in all the considered bones (Table 1, Table 2, Table 3, Table 4, Table 5 and Table 6). Adult S. etruscus males probably exhibited slightly larger forelimbs and hindlimbs than females; S. etruscus, similarly to African rhinos, had extremely reduced or absent incisors [36], and it is therefore logical to assume that males confronted each other using their horns.
However, the results obtained for the Valdarno dataset demonstrated the limits of the applied statistical methods.
The recognition of a relatively weak sexual dimorphism in the postcranial bones of S. etruscus furthers our understanding of the paleoecology of this extinct taxon. However, only a better study of the morphological and morphometrical variability of the cranium of this fossil rhinoceros could deeply contribute to the investigation of the sociability and behavior of the species.

Supplementary Materials

The following supporting information can be downloaded at: https://www.mdpi.com/article/10.3390/geosciences12040164/s1, Supplementary Material S1. Supplementary Material S2, Analysis on Upper Valdarno specimens. Supplementary Material S3, Statistical methods applied on the considered sample. References [25,40,41,42,43,44,45,46] are cited in the Supplementary Materials.

Author Contributions

Conceptualization, L.P. and A.F.; methodology, L.P. and A.F.; software, A.F.; validation, L.P. and A.F.; formal analysis, A.F.; investigation, L.P.; resources, L.P. and A.F.; data curation, L.P. and A.F.; writing—original draft preparation, L.P. and A.F.; writing—review and editing, L.P.; visualization, L.P. and A.F.; supervision, L.P.; project administration, L.P.; funding acquisition, L.P. All authors have read and agreed to the published version of the manuscript.

Funding

L.P. thanks the European Commission’s Research Infrastructure Action, EU-SYNTHESYS project AT-TAF-2550, DE-TAF-3049, GB-TAF-2825, HU-TAF-3593, HU-TAF-5477, ES-TAF-2997; part of this research received support from the SYNTHESYS Project, http://www.synthesys.info/ (2013–2016, accessed on 15 February 2022) which is financed by European Community Research Infrastructure Action under the FP7 “Capacities” Program. This paper has been developed within the research project “Ecomorphology of fossil and extant Hippopotamids and Rhinocerotids” granted to L.P. by the University of Florence (“Progetto Giovani Ricercatori Protagonisti” initiative).

Institutional Review Board Statement

Not applicable.

Informed Consent Statement

Not applicable.

Data Availability Statement

Not applicable.

Acknowledgments

We thank all the curators of the involved and cited Museum and Institutions. In addition, we thank the Editorial Office of the Journal as well as three Reviewers for their useful suggestions and comments that greatly improved the manuscript. The authors thank Lorenzo Rook from the University of Florence for his constant support during the making of this work.

Conflicts of Interest

The authors declare no conflict of interest.

References

  1. Andersson, M. Sexual Selection; Princeton University Press: Princeton, FL, USA, 1994. [Google Scholar]
  2. Berger, J.; Cunningham, C. Bison: Mating and Conservation in Small Populations; Columbia University Press: New York, NY, USA, 1994. [Google Scholar]
  3. Janis, C. Evolution of horns in ungulates: Ecology and paleoecology. Biol. Rev. 1982, 57, 261–318. [Google Scholar] [CrossRef]
  4. Jarman, P. Mating system and sexual dimorphism in large, terrestrial, mammalian herbivores. Biol. Rev. Camb. Philos. Soc. 1983, 58, 485–520. [Google Scholar] [CrossRef]
  5. Groves, C. Phylogeny of the living species of rhinoceros. J. Zool.Syst. Evol. 1982, 21, 293–313. [Google Scholar] [CrossRef]
  6. Guérin, C. Les Rhinoceros (Mammalia, Perissodactyla) du Miocène Terminal au Pleistocène Supérieur en Europe Occidentale Comparaison avec les Espèces Actuelles; Département des Sciences de la Terre, Université Claude-Bernard: Lyon, France, 1980; pp. 27–43. [Google Scholar]
  7. Pocock, R.I. A sexual difference in the skulls of Asiatic rhinocheroses. Proc. Zool. Soc. Lond. 1946, 115, 319–322. [Google Scholar]
  8. Owen-Smith, R.M. Megaherbivores: The Influence of Very Large Body Size on Ecology; Cambridge University Press: Oakleigh, Australia, 1988. [Google Scholar]
  9. Rachlow, J.L.; Berger, J. Conservation implications of patterns of horn regeneration in dehorned white rhinos. Conserv. Biol. 1997, 11, 84–91. [Google Scholar] [CrossRef]
  10. Deng, T. Cranial ontogenesis of Chilotherium (Perissodactyla, Rhinocerotidae). In Proceedings of the Eighth Annual Meeting of the Chinese Society of Vertebrate Paleontology; China Ocean Press: Beijing, China, 1 October 2001; Volume 8, pp. 101–112. [Google Scholar]
  11. Deng, T. New discovery of Iranotherium morgani (Perissodactyla, Rhinocerotidae) from the late Miocene of the Linxia Basin in Gansu, China, and its sexual dimorphism. J. Vertebr. Paleontol. 2005, 25, 442–450. [Google Scholar] [CrossRef]
  12. Lambert, W.D. The Fauna and Paleoecology of the Late Miocene Moss Acres Racetrack Site, Marion County, Florida. Ph.D. Thesis, University of Florida, Gainesville, FL, USA, 1994; 365p. [Google Scholar]
  13. Lu, X.; Deng, T.; Zeng, X.; Li, F. Sexual Dimorphism and Body Reconstruction of a Hornless Rhinocerotid, Plesiaceratherium gracile, From the Early Miocene of the Shanwang Basin, Shandong, China. Front. Ecol. Evol. 2000, 8, 13. [Google Scholar] [CrossRef]
  14. Matthew, W.D. A review of the rhinoceroses with a description of Aphelops material from the Pliocene of Texas. Bull. Univ. Calif. Dep. Geol. Sci. 1932, 20, 411–480. [Google Scholar]
  15. Mead, A.J. Sexual dimorphism and paleoecology in Teleoceras, a North American rhinoceros. Paleobiology 2000, 26, 689–706. [Google Scholar] [CrossRef]
  16. Mihlbachler, M.C. Linking sexual dimorphism and sociality in rhinoceroses: Inisghts frp, Teleoceras proterum and Aphelops malacorhinus from the Late Miocene of Florida. Bull. Fla. Mus. Nat. Hist. 2005, 45, 495–520. [Google Scholar]
  17. Mihlbachler, M.C. Sexual Dimorphism and Mortality Bias in a Small Miocene North American Rhino, Menoceras arikarense: Insights into the Coevolution of Sexual Dimorphism and Sociality in Rhinos. J. Mammal. Evol. 2007, 14, 217–238. [Google Scholar] [CrossRef]
  18. Osborn, H.F. A complete skeleton of Teleoceras fossiger: Notes upon the growth and sexual characteristics. Bull. Am. Mus. Nat. Hist. 1898, 10, 51–59. [Google Scholar]
  19. Peterson, O.A. The American diceratheres. Mem. Carnegie Mus. 1920, 7, 399–477. [Google Scholar] [CrossRef]
  20. Cerdeño, E.; Sánchez, B. Intraspecific variation and evolutionary trends of Alicornops simorrense (Rhinocerotidae) in Spain. Zool. Scr. 2000, 29, 275–305. [Google Scholar] [CrossRef]
  21. Chen, S.; Deng, T.; Hou, S.; Shi, Q.; Pang, L. Sexual dimorphism in perissodactyl rhinocerotid Chilotherium wimani from the late Miocene of the Linxia Basin (Gansu, China). Acta Palaeontol. Pol. 2010, 55, 587–597. [Google Scholar] [CrossRef][Green Version]
  22. Borsuk-Bialynicka, M. Studies on the Pleistocene rhinoceros Coelodonta antiquitatis (Blomenbach). Palaeontol. Pol. 1973, 29, 5–95. [Google Scholar]
  23. Mihlbachler, M.C. Demography of late Miocene rhinoceroses (Teleoceras proterum and Aphelops malacorhinus) from Florida: Linking mortality and sociality in fossil assemblages. Paleobiology 2003, 29, 412–428. [Google Scholar] [CrossRef]
  24. Loose, H. Pleistocene Rhinocerotidae of W. Europe with reference to the recent two-horned species of Africa and S.E. Scr. Geol. 1975, 33, 1–60. [Google Scholar]
  25. Mazza, P.; Sala, B.; Fortelius, M. A small latest Villafranchian (late Early Pleistocene) rhinoceros from Pietrafitta (Perugia, Umbria, Central Italy), with notes on the Pirro and Westerhoven rhinoceroses. Palaeontogr. Ltalica 1993, 80, 25–50. [Google Scholar]
  26. Pandolfi, L.; Bartolini-Lucenti, S.; Cirilli, O.; Bukhsianidze, M.; Lordkipanidze, D.; Rook, L. Paleoecology, biochronology, and paleobiogeography of Eurasian Rhinocerotidae during the Early Pleistocene: The contribution of the fossil material from Dmanisi (Georgia, Southern Caucasus). J. Hum. Evol. 2021, 156, 1–13. [Google Scholar] [CrossRef]
  27. Mihlbachler, M.; Lucas, S.; Emry, R. The holotype specimen of Menodus giganteus and the “insoluble” problem of Chadronian brontothere taxonomy: New Mexico. Mus. Nat. Hist. Sci. Bull. 2004, 26, 129–135. [Google Scholar]
  28. Sall, J.; Lehman, A. JMP Start Statistics: A Guide to Statistics and Data Analysis Using JMP and JMP IN Software; Duxbury: New York, NY, USA, 1996. [Google Scholar]
  29. Bryant, D. Age-frequency profiles of micromammals and population density dynamics of Proheteromys floridanus (Rodentia) from the early Miocene Thomas Farm site, Florida (U.S.A.). Palaegeogr. Palaeoclimatol. Palaeoecol. 1991, 85, 1–14. [Google Scholar] [CrossRef]
  30. SAS Institute Inc. User Guide: Statistics; SAS Institute Inc.: Cary, NC, USA, 1985. [Google Scholar]
  31. R Foundation. R: A Language and Environment for Statistical Computing; R Foundation for Statistical Computing: Vienna, Austria, 2020; Available online: https://www.R-project.org/ (accessed on 5 April 2022).
  32. Kieslich, P.; Henninger, F.; Wulff, D.; Haslebeck, J.; Schulte-Mecklenbeck, M. Mouse-tracking: A practical guide to implementation and analysis. In A Handbook of Process Tracing Methods; Schulte-Mecklenbeck, M., Kühberger, A., Johnson, J., Eds.; Routledge: New York, NY, USA, 2019; pp. 111–130. [Google Scholar]
  33. Wickham, H. ggplot2: Elegant Graphics for Data Analysis; Springer: New York, NY, USA, 2016. [Google Scholar]
  34. Thenius, E. Die verknöcherte Nasenscheidewand bei Rhinocerotiden und ihr systematischer Wert. Zum Geschlechtsdimorphismus fossiler Rhinocerotiden. Schweiz. Palaeontol. Abh. 1955, 71, 1–17. [Google Scholar]
  35. Azzaroli, A. Rinoceronti pliocenici del Valdarno Inferiore. Palaeontogr. Ital. 1962, 57, 11–20. [Google Scholar]
  36. Pandolfi, L.; Cerdeño, E.; Codrea, V.; Kotsakis, T. Biogeography and chronology of the Eurasian extinct rhinoceros Stephanorhinus etruscus (Mammalia, Rhinocerontidae). C. R. Palavol. 2017, 16, 762–773. [Google Scholar] [CrossRef]
  37. Dinerstein, E. The Return of the Unicorns: The Natural History and Conservation of the Greater One-Horned Rhinoceros; Columbia University Press: New York, NY, USA, 2003. [Google Scholar]
  38. Dinerstein, E.; Price, L. Demography and Habitat Use by Greater One-Horned Rhinoceros in Nepal. J. Wildl. Manag. 1991, 55, 401–411. [Google Scholar] [CrossRef]
  39. van Strien, N.J. The Sumatran Rhinoceros in the Gunung Leuser National Park, Sumatra, Indonesia; Its Distribution, Ecology and Conservation; Privately Published: Doorn, The Netherlands, 1985. [Google Scholar]
  40. Guérin, C.; Heintz, E. Dicerorhinus etruscus (Falconer, 1859), Rhinocerotidae, Mammalia, du Villafranchien de La Puebla de Valverde (Ternel, Espagne). Bull. Du Mus. D’histoire Nat. Paris 1971, 18, 13–22. [Google Scholar]
  41. Lacombat, F. Les Rhinocéros fossiles des sites préhistoriques de l’Europe méditerranéenne et du Massif central, paléontologie et implications biochronologiques. Brit. Archeol. Rep. 2005, 1419, 1–175. [Google Scholar]
  42. Fortelius, M.M. Stephanorhinus (Mammalia:Rhinocerotidae) of the Western European Pleistocene, with a revision of S. etruscus (Falconer, 1868). Palaeontogr. Ital. 1993, 80, 63–155. [Google Scholar]
  43. Guérin, C. Les rhinocéros (Mammalia, Perissodactyla) du gisement villafranchien moyen de Saint-Vallier (Drôme). Geobios 2004, 37, 259–278. [Google Scholar] [CrossRef]
  44. Ruiz-Bustos, A. Estudio de unos restos de Dicerorhinus etruscus, Falconer, encontrados en Granada. Cuadernos Cienc. Biol. 1973, 2, 2–89. [Google Scholar]
  45. Santafe-Llopis, J.V.; Casanovas-Cladellas, M.L. Dicerorhinus etruscus brachycephalus (Mammalia, Perissodactyla) de los yacimientos pleistocénicos de la cuenca Guadix-Baza (Venta Micena y Huéscar) (Granada, España). Paleont. Evol. Mem. Esp. 1987, 1, 237–254. [Google Scholar]
  46. Cerdeño, E. Revisión de la Sistemática de los Rinocerontes del Neógeno de España. Ph.D. Thesis, Universidad Complutense de Madrid, Madrid, Spain, 1984; 429p. [Google Scholar]
Figure 1. (a) Frequency distribution of the maximum length (Lmax) and (b) the anterior–posterior diameter of the shaft in the radius of S. etruscus.
Figure 1. (a) Frequency distribution of the maximum length (Lmax) and (b) the anterior–posterior diameter of the shaft in the radius of S. etruscus.
Geosciences 12 00164 g001
Figure 2. Frequency distribution of the maximum length (Lmax) in the tibia of S. etruscus.
Figure 2. Frequency distribution of the maximum length (Lmax) in the tibia of S. etruscus.
Geosciences 12 00164 g002
Figure 3. (a) Frequency distribution of the height of the trochlea’s medial lip (HTm) and (b) the maximum transverse diameter in the astragalus of S. etruscus.
Figure 3. (a) Frequency distribution of the height of the trochlea’s medial lip (HTm) and (b) the maximum transverse diameter in the astragalus of S. etruscus.
Geosciences 12 00164 g003
Figure 4. Frequency distribution of the maximum height (Hmax) in the calcaneum of S. etruscus.
Figure 4. Frequency distribution of the maximum height (Hmax) in the calcaneum of S. etruscus.
Geosciences 12 00164 g004
Figure 5. Frequency distribution of the maximum length (Lmax) in the MCIII of S. etruscus.
Figure 5. Frequency distribution of the maximum length (Lmax) in the MCIII of S. etruscus.
Geosciences 12 00164 g005
Figure 6. Frequency distribution of the maximum length (Lmax) in the MTIII of S. etruscus.
Figure 6. Frequency distribution of the maximum length (Lmax) in the MTIII of S. etruscus.
Geosciences 12 00164 g006
Figure 7. Scatterplot between the maximum length (Lmax) and the proximal transverse diameter (PTD) of the radius.
Figure 7. Scatterplot between the maximum length (Lmax) and the proximal transverse diameter (PTD) of the radius.
Geosciences 12 00164 g007
Figure 8. Scatterplot between the maximum length (Lmax) and the proximal transverse diameter (PTD) of the tibia.
Figure 8. Scatterplot between the maximum length (Lmax) and the proximal transverse diameter (PTD) of the tibia.
Geosciences 12 00164 g008
Figure 9. Scatterplot between the maximum transverse diameter (Tdmax) and the maximum height (Hmax) of astragalus.
Figure 9. Scatterplot between the maximum transverse diameter (Tdmax) and the maximum height (Hmax) of astragalus.
Geosciences 12 00164 g009
Figure 10. Scatterplot between the maximum height (Hmax) and the transverse diameter of the sustentaculum talii (TDst) of the calcaneum.
Figure 10. Scatterplot between the maximum height (Hmax) and the transverse diameter of the sustentaculum talii (TDst) of the calcaneum.
Geosciences 12 00164 g010
Figure 11. Scatterplot between the maximum length (Lmax) and the distal transverse diameter (DTD) of the MCIII.
Figure 11. Scatterplot between the maximum length (Lmax) and the distal transverse diameter (DTD) of the MCIII.
Geosciences 12 00164 g011
Figure 12. Scatterplot between the maximum length (Lmax) and the distal transverse diameter (DTD) of the MTIII.
Figure 12. Scatterplot between the maximum length (Lmax) and the distal transverse diameter (DTD) of the MTIII.
Geosciences 12 00164 g012
Table 1. Sex-combined statistics for radius variables.
Table 1. Sex-combined statistics for radius variables.
VariableMeanSDMin.Max.NCVbPr < W
Lmax374.16829.23737328.52384.997.8139510.2790.4068
PTD86.66763.8455247492214.4370940.4420.00654
PAPD59.01184.40466446.566.8227.4640380.2630.2037
TDS46.10103.15661339.554196.8471610.3940.2897
APDS36.9553.87188428.6841.461410.477290.550.124
DTD85.40253.80287977.994124.4528900.3130.6228
DAPD56.24885.65438250.769910.052430.4170.0445
Abbreviations: SD, standard deviation; min., minimum; max. maximum; N, number of observations; CV, coefficient of variation; b, coefficient of bimodality; Pr < W, probability value of Shapiro–Wilk test of univariate normality. Variables that exceed the threshold are in bold.
Table 2. Sex-combined statistics for tibia variables.
Table 2. Sex-combined statistics for tibia variables.
VariableMeanSDMin.Max.NCVbPr < W
Lmax357.66519.42609327384165.3436780.4870.091
PTD104.13511.87361781171911.402130.5520.009
PAPD112.62075.522146103.2115.2154.9033150.3190.289
TDS52.4352.6895694656285.1293390.4780.044
APDS49.386475.61295641621811.365370.3590.562
DTD87.526217.47751473.3108298.5431720.3280.278
DAPD62.31694.1561295570.4306.6693450.3830.757
Abbreviations as in Table 1. Variables that exceed the threshold are in bold.
Table 3. Sex-combined statistics for astragalus variables.
Table 3. Sex-combined statistics for astragalus variables.
VariableMeanSDMin.Max.NCVbPr < W
TDmax81.05554.2330487388405.2224070.340.07
Hm68.884233.18671862.2375264.6261930.3770.93
DAPDa42.838132.7807235.8446.36166.4912270.240.12
DTDa66.304234.2850015872266.4626360.5020.046
TDl54.395194.4084314861.5278.1044510.5020.063
DTD68.525414.7311995878376.9042990.40.44
Hl71.203082.55782865.7876.7263.59230.320.84
DAPD41.220362.9469143647297.1491710.3160.64
Htm54.109136.85126941.2632412.661950.520.031
APDm50.147444.64013337.556.97399.2529810.470.033
Htl58.417893.37529453.2264.2195.7778420.430.39
Hmax74.018795.9280355884338.0088250.410.34
Abbreviations as in Table 1. Variables that exceed the threshold are in bold.
Table 4. Sex-combined statistics for calcaneum variables.
Table 4. Sex-combined statistics for calcaneum variables.
MisuraMediaSDMin.Max.NCVbPr < W
Hmax117.41425.18844105123264.418920.610.003
APDs63.611854.5052452.571277.082390.370.14
TDs43.684622.56585939.248265.8735990.420.088
APDb60.043215.0325265068.4288.3815070.290.6
TDst70.685654.5608856076.19236.4523490.520.042
TDmp34.051483.27968225.439.16279.6315390.40.32
Abbreviations as in Table 1. Variables that exceed the threshold are in bold.
Table 5. Sex-combined statistics for third metatarsal variables.
Table 5. Sex-combined statistics for third metatarsal variables.
VariableMeanSDMin.Max.NCVbPr < W
Lmax171.763910.69157152.18186189.6774190.5330.2184
DTD49.66855.12373938552010.315870.6330.0034
TDS40.727083.2343393348.94247.9414960.2220.2821
PTD47.661793.15763740.3652.35286.6250930.3870.4216
PAPD40.2284.6448552948.832011.546320.240.5871
DAPD35.961053.58577727.71441910.00000.2260.3462
APDS21.623912.04041816.6825239.4359340.3230.5977
Abbreviations as in Table 1. Variables that exceed the threshold are in bold.
Table 6. Sex-combined statistics for third metacarpal variables.
Table 6. Sex-combined statistics for third metacarpal variables.
VariableMeanSDMin.Max.NCVbPr < W
Lmax192.37848.544863179.12203.97184.4386460.5410.02388
DTD56.16852.58450951.6660204.6013490.4190.2127
TDS46.95082.28090743.451.32254.8580810.3790.3772
PTD50.91523.2983754257.09246.6250920.4140.007299
PAPD44.29881.96781440.0749184.4421290.2100.7993
DAPD39.832301.55225137.242133.8969690.3590.7297
APDS19.25251.55108416.421.89198.0565330.4100.4253
Abbreviations as in Table 1. Variables that exceed the threshold are in bold.
Table 7. Summary table of the number of variables that exceed the limit value for each statistical analysis.
Table 7. Summary table of the number of variables that exceed the limit value for each statistical analysis.
BoneCVbPr < W
Radius2(1)12(1)
Tibia213
Astragalus1(1)0(3)5(1)
Calcaneum0(1)1(1)3(1)
MCIII00(1)2
MTIII3(2)1(1)1
Abbreviations: CV, coefficient of variation; b, coefficient of bimodality; Pr < W, probability value of Shapiro–Wilk test of univariate normality. Variables that are very close to the limit value are shown in brackets (9 < CV < 10; 0.5 < b < 0.55; 0.1 < PrW < 0.2).
Publisher’s Note: MDPI stays neutral with regard to jurisdictional claims in published maps and institutional affiliations.

Share and Cite

MDPI and ACS Style

Faggi, A.; Pandolfi, L. Evaluating Sexual Dimorphism in Postcranial Elements of Eurasian Extinct Stephanorhinus etruscus (Falconer, 1868) (Mammalia, Rhinocerotidae). Geosciences 2022, 12, 164. https://doi.org/10.3390/geosciences12040164

AMA Style

Faggi A, Pandolfi L. Evaluating Sexual Dimorphism in Postcranial Elements of Eurasian Extinct Stephanorhinus etruscus (Falconer, 1868) (Mammalia, Rhinocerotidae). Geosciences. 2022; 12(4):164. https://doi.org/10.3390/geosciences12040164

Chicago/Turabian Style

Faggi, Andrea, and Luca Pandolfi. 2022. "Evaluating Sexual Dimorphism in Postcranial Elements of Eurasian Extinct Stephanorhinus etruscus (Falconer, 1868) (Mammalia, Rhinocerotidae)" Geosciences 12, no. 4: 164. https://doi.org/10.3390/geosciences12040164

APA Style

Faggi, A., & Pandolfi, L. (2022). Evaluating Sexual Dimorphism in Postcranial Elements of Eurasian Extinct Stephanorhinus etruscus (Falconer, 1868) (Mammalia, Rhinocerotidae). Geosciences, 12(4), 164. https://doi.org/10.3390/geosciences12040164

Note that from the first issue of 2016, this journal uses article numbers instead of page numbers. See further details here.

Article Metrics

Back to TopTop