Why Engineers Should Not Attempt to Quantify GSI
Abstract
1. Introduction
1.1. Important Definitions
- Quantity. A quantity in the physical sciences is often a property that has both a numerical magnitude and a unit. Key features of quantities include additivity and continuity. An example of a quantity is length (e.g., the width of a table is 20 (numerical magnitude) centimeters (unit)). This quantity is additive and continuous [8]. In contrast, empirical classifications used in rock engineering (e.g., RQD [9], RMR [10,11], Q-system [12], and GSI [3,4,13]) contain a numerical magnitude, but they remain dimensionless properties that are not additive (e.g., it would be meaningless to say that adding a GSI of 50 and a GSI of 30 would yield a GSI of 80) or continuous (ratings used in classification schemes are ordinal measurements, in which the measurement represents an ordered relationship among the variable’s observations). While dimensionless quantities can be found in other fields and includes countable numbers, ratios, proportions, angles, and physical constants, contrary to rock mass classification schemes, these dimensionless quantities are not dependent on experience.
- To quantify. To quantify is to express or measure the quantity. It is not synonymous with assigning a number to a description because that number does not always represent a quantity. As discussed later in the paper, attempts to quantify GSI rely upon parameters that are themselves not a quantity, and therefore it is not possible to quantify them. As a result, there cannot exist a quantified GSI or quantified GSI chart. Methods proposed to quantify the GSI chart misuse both the term quantity and the related action of quantifying. What rock engineers are attempting to do is just to assign numbers to geological descriptions. This is no different than arbitrarily assigning numbers to colors. In the remainder of the paper, we elect to use the expressions quantification of GSI or quantified GSI solely for the purpose of referring to published work on this subject; however, we recommend that the terms quantification and quantified be abandoned when referring to GSI.
- Scales of Measurements. According to [14], there exist four different levels of measurements (Table 1). Each scale is strictly limited to specific statistical operations. For instance, only interval and ratio scales allow for the calculation of means and standard deviations, whereas nominal and ordinal measurements are limited to medians and percentiles [15]. This aspect is ignored by many, and examples of probabilistic analysis are often proposed in the rock engineering literature despite the ordinal nature of many of the parameters—like GSI—used in design practice.
- Accuracy and precision. Accuracy is the difference between a measurement and its true value, while precision represents how close independent measures are to each other and is largely affected by random errors [16]. An accurate GSI (or any other rock mass classification value) does not exist because there is no true value for it, only an interpreted value. Precise GSI estimates would only exist if multiple independent assessments are close to one another. The quantification of the original GSI approach produces a condition by which we have witnessed engineers who are not familiar with geological problems referring to GSI values with decimal precision, which is clearly not acceptable.
- Equation, equivalency, and correlation. This argument will be further discussed in Section 2, but the use of what Feenberg [17] calls accidental functions is all too common in rock engineering practice. Accidental functions are mathematical expressions linked to personal interpretations, which may lead to extending their use outside of the limited scope and range of conditions for which they were defined. Correlations between rock mass classification systems provide a good example of accidental functions [2]. Furthermore, equations representing a physical law/relating physical quantities would need to be dimensionally consistent/homogeneous. Either equations presented for rock mass classification/characterization problems represent a physical law, and therefore they must be dimensionally homogeneous, or they do not represent a physical property, in which case we should stop treating them like mathematical equations and instead emphasize that they just represent a non-universal, but site-specific relationship between a given set of mostly qualitative variables. In this paper, we will purposely use the term equivalency in lieu of equation when referring to empirical correlations between GSI and other classification systems to avoid an impression of mathematical validity.
2. Evolution of GSI and Different Variations
| [35,39] |
where are the large-scale waviness and small-scale smoothness, respectively, from RMi; is the joint alteration rating from Q, and s is the joint spacing of the joint set |
| [40] |
| Improved parameter originally proposed by [35,39] Where is the block volume calculated from joint spacings and angles without the consideration of the joint persistence and is the joint persistence factor and is defined as With representing a joint set in the rock mass |
| [37] |
Where is the block volume (determined with several methods outlined in [27]), is the joint size and continuity factor in RMi [27], is the joint roughness factor in RMi (similar to the factor in [12] Q), and is the joint alteration factor in RMi (similar to the factor in [12] Q) |
| [38] |
| [36] |
| for Jv ≤ 100 for RQD/Jn ≤ 100 Where , , , , and are the ratings for length (persistence), aperture, roughness, infilling, and weathering for the surface conditions of discontinuities in the RMR89 chart, respectively; is the volumetric joint count; and is the spacing of the discontinuities |
| [41] |
Where is the mean true spacing for the ith discontinuity set and NDS is the number of sets present in the rock mass |
| [42] |
| [43] |
| [44] |
| for RMR2011 proposed by [45] for RMRVALE proposed by [46] for RMRSantos proposed by [47] with a W2 weathering grade for RMRSantos proposed by [47] with a W3 weathering grade for RMRSantos proposed by [47] with a W4 weathering grade for RMR14 proposed by [48] |
| [31] |
Where is the structure rating and is the joint condition digital imaging rating |
| [49] |
Where , , and are the ratings corresponding to roughness, weathering, and infilling from JCond89, respectively |
| Authors | Proposed Quantified GSI Chart |
|---|---|
| [50] | Quantified GSI chart based on SCR (summation of RMR89 roughness, weathering, and infilling ratings) and SR (based on volumetric joint count) |
| [51] | Quantified GSI chart for very poor and poor rock masses |
| [52] | Quantified GSI chart for granite based on the rock core length (RCL) to assess the structure of the rock mass and the rock mineral condition (RMC) and surface condition rating (SCR) to assess the joint condition |
| [53] | Quantified GSI chart based on the discontinuity volume density and weathering curing degree |
| [54] | Quantified GSI chart based on basic quality index (BQ) and structure condition rating (SCR) |
| [55] | Quantified GSI chart based on attribute mathematics theory |
3. General Limitations of the Quantified GSI Charts
3.1. The Problem with Using Arbitrary Measurement Scales
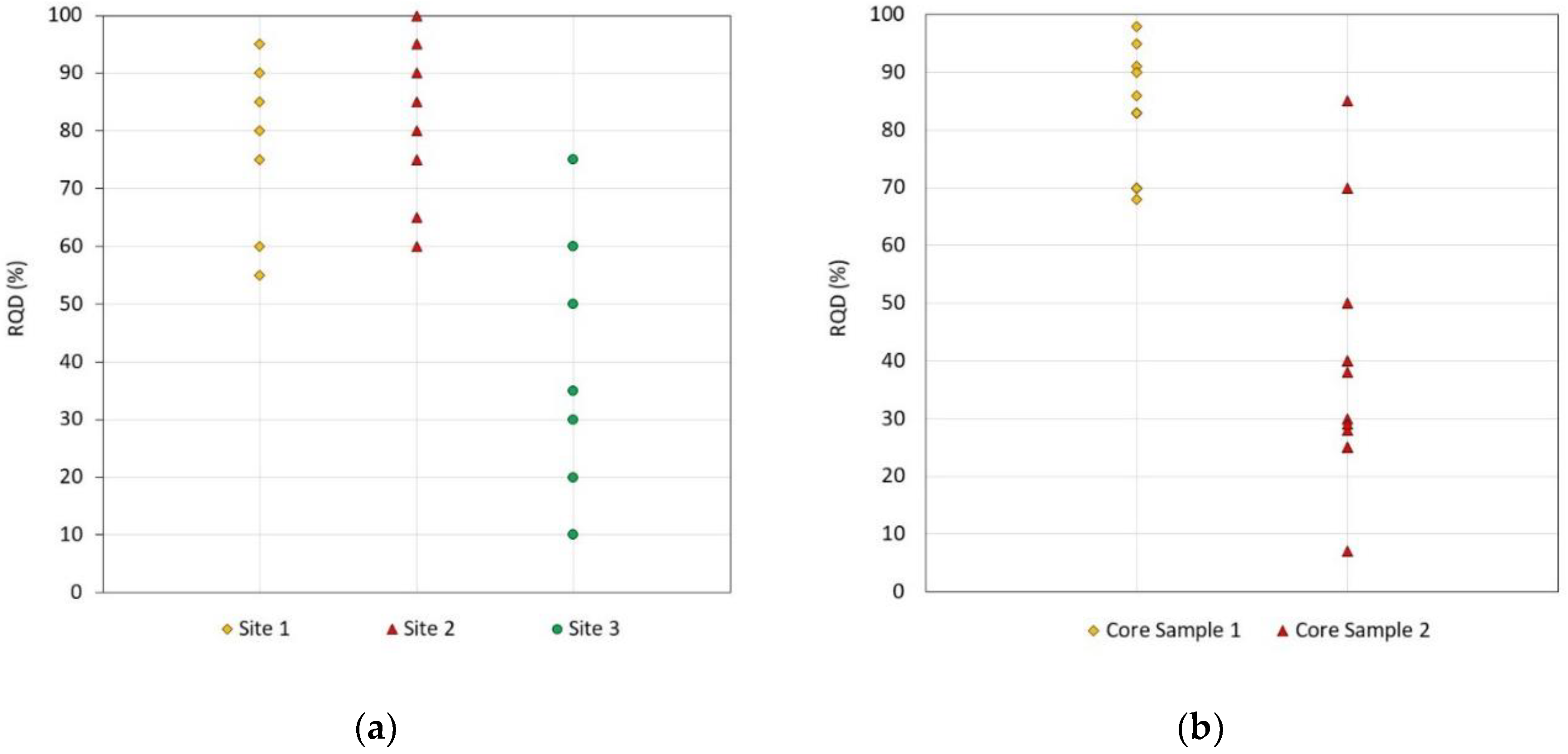
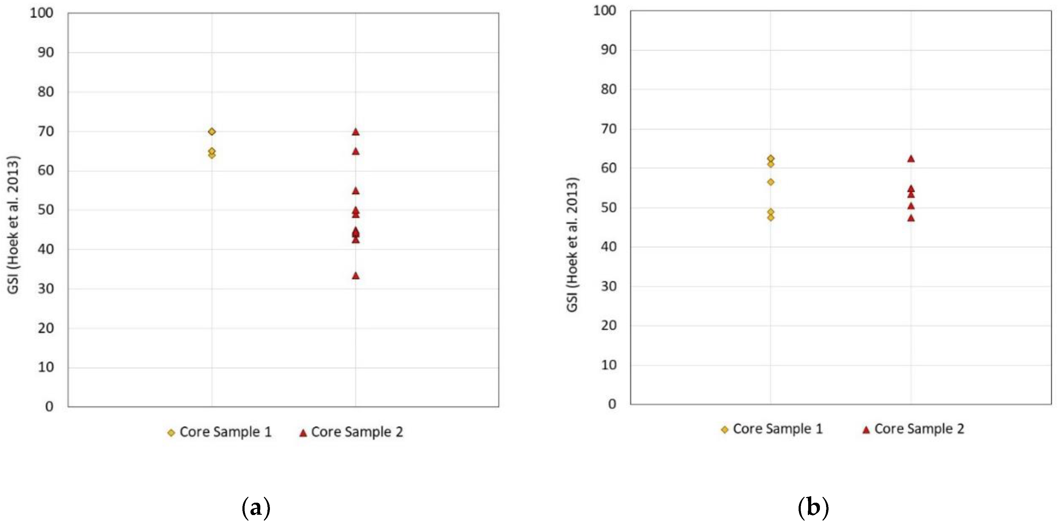
3.2. Using RQD to Quantify GSI
3.3. GSI Quantification Does Not Improve Precision
3.4. GSI Quantification and Practicality of Data Collection
3.5. GSI Quantification Methods and Geology
4. Machine Learning
5. Recommendations
- There is no need to quantify the original GSI table. If required for design purposes, engineers should use the original qualitative GSI table—while being aware of its limitations—since there is no apparent advantage in terms of design analysis of using any of the proposed quantification methods. On the contrary, the quantification of qualitative assessments creates a false conviction that rock engineering design is governed by a universal set of deterministic parameters and rules. None of the proposed GSI quantification methods can be defined as being bias-free since they all largely rely upon qualitative information that is impacted by subjective interpretation (engineering judgment does not necessarily provide an objective perspective).
- Using a qualitative approach to GSI would force engineers and geologists to pay more attention to data collection methods and geological descriptions. At the same time, emphasizing the qualitative nature of the rock mass classification system would require engineers to accept that they should be used and determined independently from each other.
- When first introduced in 1994, it was postulated that GSI was equivalent to RMR76. By now, proposing different methods to quantify GSI, we are claiming that the correlations listed in Table 3 have somehow superseded the original equivalency between GSI and RMR76, and therefore it would not be possible to compare GSI ratings estimated using the different methods among them or with historical GSI data. Indeed, if the new correlations were to provide estimates of GSI that do not differ from those derived using the original GSI table, there would not be a clear incentive for engineers to use any of the proposed quantification methods. From a mechanistic perspective, it is not clear how the same rock mass quality rating (GSI) can be defined by the contribution of a diverse number of different parameters (see Table 3 and Appendix A).
- There is a need to develop classification systems that are more objective and better suited for integrating with ML. In this context, the use of connectivity parameters [2,62,63] offer a quantitative avenue to rock mass characterization. Connectivity parameters use the relationships between the average number of intersections per fracture, average fracture length per unit area (2D problems) or average fracture area per unit volume (3D problems), and number of fractures (per unit area or per unit volume). The advantage of using connectivity parameters rather than classification systems is the ability of the former to better differentiate whether rock mass behavior may occur as a stress-driven damage accumulation process, or a combination of stress-driven failure and sliding along existing fractures (concept of rock bridge potential in [2]), by using numerical models to compare the connectivity of natural fracture networks before and after failure.
- At the same time, we need to understand the limitations of ML, which should not be considered a tool to reduce or remove subjectivity, nor should it be used as a tool that, in the context of rock engineering design, could provide more precise or accurate predictions. There is no such thing as ML objectivity unless the data used in the ML analysis is exclusively quantitative and free of human factors.
- Paying closer attention to the words used in engineering standards and documents and ensuring that the correct terminology is used. As described by [7], there is an apparent advantage of using terminology and methods that have an underlying scientific tone when presenting and explaining engineering problems.
6. Conclusions
Author Contributions
Funding
Data Availability Statement
Conflicts of Interest
Appendix A
















References
- Yang, B.; Mitelman, A.; Elmo, D.; Stead, D. Why the future of rock mass classification systems requires revisiting its empirical past. Q. J. Rock Eng. Hydrogeol. 2021, 55, qjegh2021-039. [Google Scholar]
- Elmo, D.; Mitelman, A.; Yang, B. An examination of rock engineering knowledge through a philosophical lens. Geosciences 2022, 12, 174. [Google Scholar] [CrossRef]
- Hoek, E. Strength of rock and rock masses. ISRM News J. 1994, 2, 4–16. Available online: https://www.scirp.org/(S(351jmbntvnsjt1aadkposzje))/reference/ReferencesPapers.aspx?ReferenceID=2026007 (accessed on 26 September 2022).
- Hoek, E.; Kaiser, P.K.; Bawden, W.F. Support of Underground Excavations in Hard Rock. 1995. Available online: ==https://www.mirarco.org/wp-content/uploads/Books/Support_of_Underground_Excavations_in_Hard_Rock.pdf (accessed on 26 September 2022).
- Kaiser, P.K. Mueller Award: From common to best practices in underground rock engineering. In Rock Mechanics for Natural Resources and Infrastructure Development; Da Fontoura, S.A., Rocca, R.J., Pavón Mendoza, J.F., Eds.; Taylor & Francis Group: Abingdon, UK, 2019; pp. 141–179. [Google Scholar]
- Barton, N. Continuum or discontinuum: GSI or JRC. Invited keynote lecture. In Proceedings of the Geotechnical Challenges in Mining, Tunnelling and Underground Structures (ICGCMTU2021), Online, 20–21 December 2021. [Google Scholar]
- Bruce, R.V. The launching of Modern American Science 1846–1876; Knopf: New York, NY, USA, 1987. [Google Scholar]
- Hölder, O. Die Axiome der Quantität und die Lehre vom Mass. Ber. Über Verh. Königlich Sachs. Ges. Wiss. Leipz. Math.-Physicke Kl. 1901, 53, 1–64. [Google Scholar]
- Deere, D.U.; Merritt, A.H.; Coon, R.F. Engineering Classification of In-Situ Rock; Air Force Weapons Laboratory: Albuquerque, NM, USA, 1969. [Google Scholar]
- Bieniawski, Z.T. Engineering classification of jointed rock masses. Trans. S. Afr. Inst. Civ. Eng. 1973, 15, 335–344. [Google Scholar]
- Bieniawski, Z.T. Engineering Rock Mass Classifications—A Complete Manual for Engineers and Geologists in Mining, Civil and Petroleum Engineering; Wiley: New York, NY, USA, 1989. [Google Scholar]
- Barton, N.R.; Lien, R.; Lunde, J. Engineering classification of rock masses for the design of tunnel support. Rock Mech. 1974, 6, 189–239. [Google Scholar] [CrossRef]
- Hoek, E.; Brown, E.T. The Hoek-Brown failure criterion and GSI—2018 edition. J. Rock Mech. Geotech. Eng. 2018, 11, 445–463. [Google Scholar] [CrossRef]
- Stevens, S.S. On the theory of scales of measurement. Science 1946, 103, 677–680. [Google Scholar] [CrossRef]
- Harrison, J.P. Rock engineering design and the evolution of Eurocode 7. In Proceedings of the EG50 2017—Engineering Geology 50 Conference, Portsmouth, UK, 5–7 July 2017. [Google Scholar]
- Pérez-Díaz, L.; Alcalde, J.; Bond, C.E. Handling uncertainty in the geosciences: Identification, mitigation and communication. Solid Earth 2020, 11, 889–897. [Google Scholar] [CrossRef]
- Feenberg, A. The concept of function in critical theory of technology. In Philosophy of Technology after the Empirical Turn, Philosophy of Engineering and Technology; Franssen, M., Vermaas, P., Kroes, P., Meijers, A., Eds.; Springer: Cham, Switzerland, 2016; Volume 23, pp. 283–303. [Google Scholar]
- Marinos, P.; Hoek, E. GSI: A geologically friendly tool for rock mass strength estimation. In Proceedings of the ISRM International Symposium, Melbourne, Australia, 19–26 November 2000; Available online: https://static.rocscience.cloud/assets/resources/learning/hoek/2000-GSI-A-Geologically-Friendly-Tool-for-Rock-Mass-Strength-Estimation.pdf (accessed on 26 September 2022).
- Marinos, V.; Marinos, P.; Hoek, E. The geological strength index: Applications and limitations. Bull. Eng. Geol. Environ. 2005, 64, 55–65. Available online: https://static.rocscience.cloud/assets/resources/learning/hoek/2005-The-GSI-Applications-and-Limitations.pdf (accessed on 26 September 2022). [CrossRef]
- Hoek, E.; Brown, E.T. Empirical strength criterion for rock masses. J. Geotech. Eng. Div. 1980, 106, 1013–1035. [Google Scholar] [CrossRef]
- Hoek, E.; Brown, E.T. Practical estimates of rock mass strength. Int. J. Rock Mech. Min. Sci. 1997, 34, 1165–1186. [Google Scholar] [CrossRef]
- Hoek, E.; Marinos, P.; Benissi, M. Applicability of the geological strength index (GSI) classification for very weak and sheared rock masses—the case of the Athens Schist Formation. Bull. Eng. Geol. Environ. 1998, 57, 151–160. [Google Scholar] [CrossRef]
- Hoek, E. Tunnel support in weak rock. Keynote address. In Proceedings of the Symposium of Sedimentary Rock Engineering, Taipei, Taiwan, 20–22 November 1998; Available online: https://static.rocscience.cloud/assets/resources/learning/hoek/1998-Tunnel-Support-in-Weak-Rock.pdf (accessed on 26 September 2022).
- Hoek, E.; Marinos, P. Predicting tunnel squeezing problems in weak heterogeneous rock masses. Tunn. Tunn. Int. 2000, 32, 45–51. [Google Scholar]
- Hoek, E.; Karzulovic, A. Rock mass properties for surface mines. In Slope Stability in Surface Mining; Hustralid, W.A., McCarter, M.K., van Zyl, D.J.A., Eds.; Society for Mining, Metallurgical and Exploration (SME): Littleton, CO, USA, 2000; Available online: https://static.rocscience.cloud/assets/resources/learning/hoek/Rock-Mass-Properties-for-Surface-Mines-2000.pdf (accessed on 26 September 2022).
- Hoek, E.; Marinos, P.G.; Marinos, V.P. Characterisation and engineering properties of tectonically undisturbed but lithologically varied sedimentary rock masses. Int. J. Rock Mech. Min. Sci. 2005, 42, 277–285. [Google Scholar] [CrossRef]
- Palmstrom, A. RMi—A Rock Mass Characterization System for Rock Engineering Purposes. Ph.D. Thesis, University of Oslo, Oslo, Norway, 1995. [Google Scholar]
- Sonmez, H.; Gokceoglu, C.; Ulusay, R. An application of fuzzy sets to the geological strength index (GSI) system used in rock engineering. Eng. Appl. Artif. Intell. 2003, 16, 251–269. [Google Scholar] [CrossRef]
- Hong, K.; Han, E.; Kang, K. Determination of geological strength index of jointed rock mass based on image processing. J. Rock Mech. Geotech. Eng. 2017, 9, 702–708. [Google Scholar] [CrossRef]
- Bozkir, A.S.; Nefeslioglu, H.A.; Kartal, O.; Sezer, E.; Gokceoglu, C. Geological strength index prediction by vision and machine learning methods. In Proceedings of the ISRM International Symposium—EUROCK 2020, Physical event not held, June 2020. [Google Scholar]
- Yang, S.; Liu, S.; Zhang, N.; Li, G.; Zhang, J. A fully automatic-image-based approach to quantifying the geological strength index of underground rock mass. Int. J. Rock Mech. Min. Sci. 2021, 140, 104585. [Google Scholar] [CrossRef]
- Zeni, M.A.; Peroni, R.D.L.; Santos, F.A.G.D. Semiautomatic determination of the geological strength index using SfM and ANN techniques. Int. J. Geomech. 2021, 21, 04021245. [Google Scholar] [CrossRef]
- Singh, J.; Pradhan, S.P.; Singh, M. Characterization of a fractured rock mass using geological strength index (GSI): A discrete fracture network (DFN) and machine learning (ML) approach. In Proceedings of the EGU General Assembly 2022, Vienna, Austria, 23–27 May 2022. [Google Scholar] [CrossRef]
- Forscher, B. Chaos in the brickyard. Science 1963, 142, 339. [Google Scholar] [CrossRef]
- Cai, M.; Kaiser, P.K.; Uno, H.; Tasaka, Y. Estimation of rock mass formation modulus and strength of jointed hard rock masses using the GSI system. Int. J. Rock Mech. Min. Sci. 2004, 41, 3–19. [Google Scholar] [CrossRef]
- Morelli, G.L. Alternative quantification of the geological strength index chart for jointed rocks. Geotech. Geol. Eng. 2017, 35, 2803–2816. [Google Scholar] [CrossRef]
- Russo, G. A new rational method for calculating the GSI. Tunn. Undergr. Space Technol. 2009, 24, 103–111. [Google Scholar] [CrossRef]
- Hoek, E.; Carter, T.G.; Diederichs, M.S. Quantification of the geological strength index chart. In Proceedings of the 47th US Rock Mechanics/Geomechanics Symposium, American Rock Mechanics Association, San Francisco, CA, USA, 23–26 June 2013. [Google Scholar]
- Cai, M.; Kaiser, P.K. Visualization of rock mass classification systems. Geotech. Geol. Eng. 2006, 24, 1089–1102. [Google Scholar] [CrossRef]
- Kim, B.H.; Cai, M.; Kaiser, P.K.; Yang, H.S. Estimation of block sizes for rock masses with non-persistent joints. Rock Mech. Rock Eng. 2007, 40, 169–192. [Google Scholar] [CrossRef]
- Schlotfeldt, P.; Carter, T.G. A new and unified approach to improved scalability and volumetric fracture intensity quantification for GSI and rockmass strength and deformability estimation. Int. J. Rock Mech. Min. Sci. 2018, 110, 48–67. [Google Scholar] [CrossRef]
- Winn, K.; Wong, L.N.Y. Quantitative GSI determination of Singapore’s sedimentary rock mass by applying four different approaches. Geotech. Geol. Eng. 2019, 37, 2103–2119. [Google Scholar] [CrossRef]
- Zhang, Q.; Huang, X.; Zhu, H.; Li, J. Quantitative assessments of the correlations between rock mass rating (RMR) an geological strength index (GSI). Tunn. Undergr. Space Technol. 2019, 83, 73–81. [Google Scholar] [CrossRef]
- Campos, L.A.; Filho, F.A.F.; Costa, T.A.V.; Marques, E.A.G. New GSI correlations with different RMR adjustments for an eastern mine of the Quadrilatero Ferrifero. J. South Am. Earth Sci. 2020, 102, 102647. [Google Scholar] [CrossRef]
- Bieniaski, Z.T. Misconceptions in the applications of rock mass classifications and their corrections. In Proceedings of the Seminar on Advanced Geotechnical Characterization for Tunnel Design, Madrid, Spain, 29 June 2011. [Google Scholar]
- BVP. Mapeamento Litoestrutural e Geomecânico da Mina do Tamanduá VALE (Relatório Técnico Nº VL 707.07-09-E-CA-RT-03-034-01”. 2008.
- Santos, Y.L.O.P.; Chaves, S.S.; Paredes, J.P.; Zenobio, A.A. Proposta de Índice de Ajuste (dw) Utilizando o arau de Intemperismo no uistema RMR (rock mass rating) de Classificação do gaciço sochoso. In Proceedings of the Anais VII Congresso Brasileiro de Mina a Céu Aberto e Mina Subterrânea, Belo Horizonte, Brazil, 10–12 July 2012. [Google Scholar]
- Celada, B.; Tardaguila, I.; Rodriguez, A.; Varona, P.; Bieniawski, Z.T. Actualización y mejora del RMR. Ingeopres 2014, 234, 18–22. [Google Scholar]
- Xia, K.; Chen, C.; Wang, T.; Pang, H.; Liu, X. Quantification of the GSI and D values in the Hoek-Brown criterion using the rock quality designation (RQD) and discontinuity surface condition rating (SCR). Bull. Eng. Geol. Environ. 2022, 81, 1–21. [Google Scholar] [CrossRef]
- Sonmez, H.; Ulusay, R. Modifications to the geological strength index (GSI) and their applicability to stability of slopes. Int. J. Rock Mech. Min. Sci. 1999, 36, 743–760. [Google Scholar] [CrossRef]
- Osgoui, R.R.; Ulusay, R.; Unal, E. An assistant tool for the geological strength index to better characterize poor and very poor rock masses. Technical note. Int. J. Rock Mech. Min. Sci. 2010, 47, 690–697. [Google Scholar] [CrossRef]
- Lin, D.; Sun, Y.; Zhang, W.; Yuan, R.; He, W.; Wang, B.; Shang, Y. Modifications to the GSI for granite in drilling. Bull. Eng. Geol. Environ. 2014, 73, 1245–1258. [Google Scholar] [CrossRef]
- Xiaohu, H.; Changming, W.; Tianzuo, W.; Zhiming, Z. Quantification of geological strength index based on discontinuity volume density of rock masses. Int. J. Heat Technol. 2015, 33, 255–261. [Google Scholar]
- Feng, W.; Dong, S.; Wang, Q.; Yi, X.; Liu, Z.; Bai, H. Improving the Hoek-Brown criterion based on the disturbance factor and geological strength index quantification. Int. J. Rock Mech. Min. Sci. 2018, 108, 96–104. [Google Scholar] [CrossRef]
- Li, L.; Yang, G.; Liu, H.; Song, S.; Fan, H. A quantitative model for the geological strength index based on attribute mathematics and its application. Bull. Eng. Geol. Environ. 2021, 80, 6897–6911. [Google Scholar] [CrossRef]
- Renani, H.R.; Martin, C.D.; Cai, M. An analytical model for strength of jointed rock masses. Tunn. Undergr. Space Technol. 2019, 94, 103159. [Google Scholar] [CrossRef]
- Pells, P.J.; Bieniawski, Z.T.; Hencher, S.R.; Pells, S.E. Rock quality designation (RQD): Time to rest in peace. Can. Geotech. J. 2017, 54, 825–834. [Google Scholar] [CrossRef]
- Yang, B.; Elmo, D.; Stead, D. Questioning the use of RQD in rock engineering and its implications for rock engineering design. In Proceedings of the 54th US Rock Mechanics/Geomechanics Symposium, American Rock Mechanics Association, Golden, CO, USA, 28 June–1 July 2020. [Google Scholar]
- Elmo, D.; Stead, D. The role of behavioural factors and cognitive biases in rock engineering. Rock Mech. Rock Eng. 2021, 54, 2109–2128. [Google Scholar] [CrossRef]
- Morelli, G.L. Variability of the GSI index estimated from different quantitative methods. Geotech. Geol. Eng. 2015, 33, 983–995. [Google Scholar] [CrossRef]
- Marinos, V.; Carter, T.G. Maintaining geological reality in application of GSI for design of engineering structures in rock. Eng. Geol. 2018, 239, 282–297. [Google Scholar] [CrossRef]
- Xu, C.; Dowd, P.A.; Fowell, R.J. A connectivity index for discrete fracture networks. Math. Geol. 2006, 38, 611–634. [Google Scholar] [CrossRef]
- Alghalandis, Y.F.; Dowd, P.A.; Xu, C. Connectivity field: A measure for characterising fracture networks. Math. Geosci. 2015, 47, 63–83. [Google Scholar] [CrossRef]
- Smith, N. The Chronicle of Higher Education—Review Section. 2021.








| Nominal Words, letters and alpha numeric symbols are used to classify data. | Ordinal The measurement represents an ordered relationship among the variable’s observations. | Interval Distances along a measurement scale (intervals) used to classify, order and compare measurements. | Ratio Interval measurement for which zero is permitted. |
| Example: weathering classes used in core logging, hardness field identification. | Example: several parameters used in rock mass classification systems. | Example: fracture length, fracture aperture. | Example: tensile strength, rock compressive strength. |
| Qualitative Assessment | Quantitative Measurement | ||
| Permissible statistics | |||
| Number of cases; Mode | |||
| Median; Percentile | |||
| Mean; Standard Deviation | |||
| Coefficient of Variation | |||
| GSI = RMR76′ for RMR76′ > 18 |
| GSI = RMR89′—5 for RMR89′ > 23 |
| GSI = 9lnQ + 44 for RMR76′ ≤ 18 or RMR89′ ≤ 23 |
Publisher’s Note: MDPI stays neutral with regard to jurisdictional claims in published maps and institutional affiliations. |
© 2022 by the authors. Licensee MDPI, Basel, Switzerland. This article is an open access article distributed under the terms and conditions of the Creative Commons Attribution (CC BY) license (https://creativecommons.org/licenses/by/4.0/).
Share and Cite
Yang, B.; Elmo, D. Why Engineers Should Not Attempt to Quantify GSI. Geosciences 2022, 12, 417. https://doi.org/10.3390/geosciences12110417
Yang B, Elmo D. Why Engineers Should Not Attempt to Quantify GSI. Geosciences. 2022; 12(11):417. https://doi.org/10.3390/geosciences12110417
Chicago/Turabian StyleYang, Beverly, and Davide Elmo. 2022. "Why Engineers Should Not Attempt to Quantify GSI" Geosciences 12, no. 11: 417. https://doi.org/10.3390/geosciences12110417
APA StyleYang, B., & Elmo, D. (2022). Why Engineers Should Not Attempt to Quantify GSI. Geosciences, 12(11), 417. https://doi.org/10.3390/geosciences12110417

