Comparison of Geogases in Two Cenozoic Sedimentary Basins
Abstract
1. Introduction
2. Materials and Methods
2.1. Location and Tectonic Settings of Study Areas
2.1.1. Meinweg
2.1.2. Bodanrück

2.2. Data Collection
2.2.1. Soil Gas Sampling and Geochemical Analyses
2.2.2. Collection of Tectonic Data
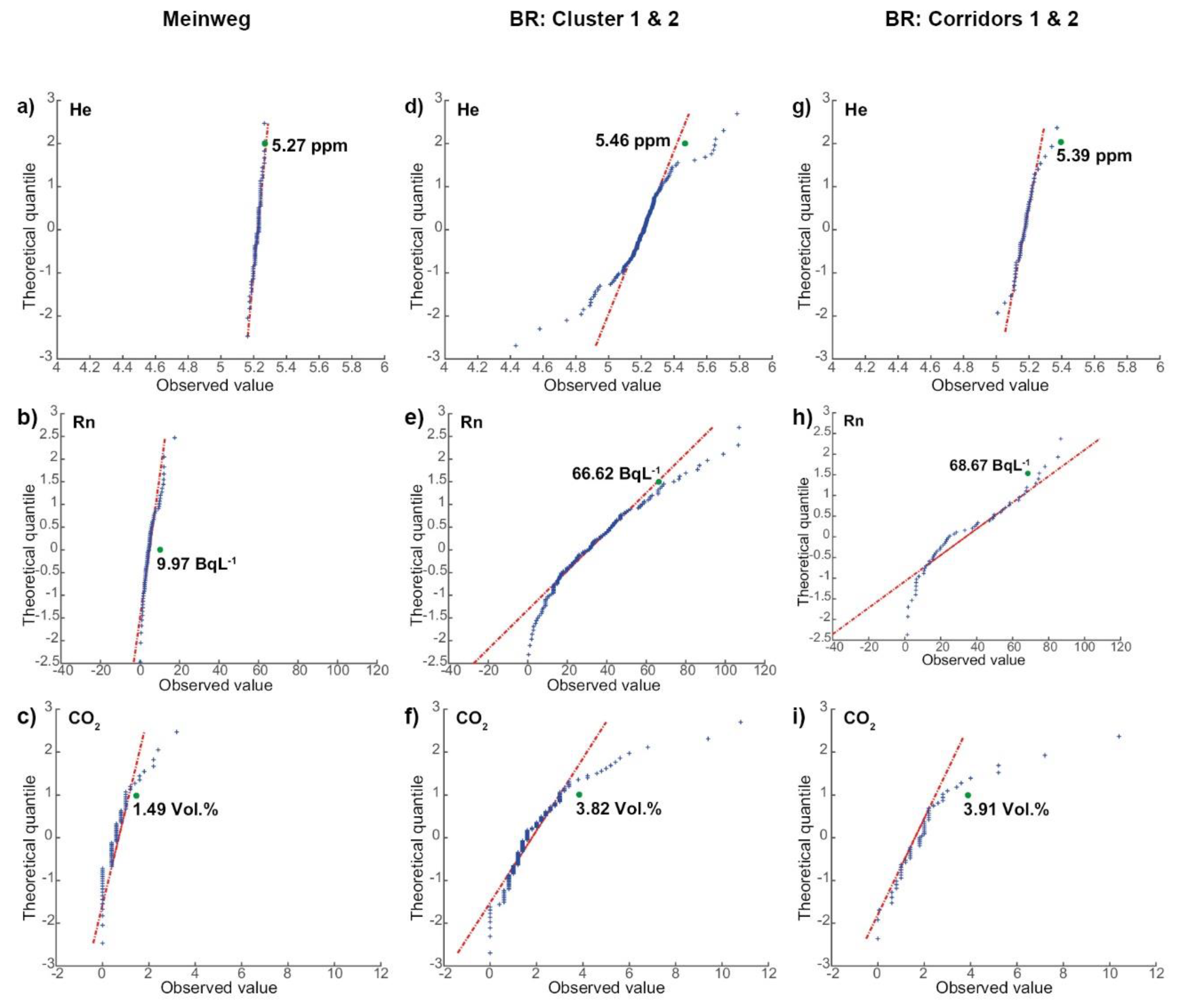
2.3. Exploratory Data Analysis of Soil Gas
| Gas Species | n | Min | Max | Mean | Median | SD | LQ | UQ | IQR | Skew-ness | Shapiro-Wilk Test | t Test (h) | Mean ± 2SD | UIF | Median + 2MAD | Background Values | ||
|---|---|---|---|---|---|---|---|---|---|---|---|---|---|---|---|---|---|---|
| W | H | p | ||||||||||||||||
| Meinweg (ntotal: 222) | ||||||||||||||||||
| He (ppm) | 74 | 5.16 | 5.27 | 5.22 | 5.23 | 0.02 | 5.21 | 5.24 | 0.03 | −0.40 | 0.96 | 1 | 0.01 | 1 | 5.27 | 5.29 | 5.27 | 5.22 a |
| Rn (BqL−1) | 74 | 0.00 | 17.00 | 5.00 | 4.00 | 4.00 | 3.00 | 7.00 | 4.00 | 1.04 | 0.91 | 1 | <0.05 | 1 | 12.32 | 13.41 | 9.97 | 40 b |
| CO2 (vol.%) | 74 | 0.00 | 3.20 | 0.70 | 0.60 | 0.60 | 0.40 | 1.00 | 0.60 | 1.60 | 0.84 | 1 | <0.05 | 1 | 1.91 | 1.90 | 1.49 | <1.5 c |
| Bodanrück | ||||||||||||||||||
| Subsets 1 and 2 of cluster 1 and 2 (ntotal: 427) | ||||||||||||||||||
| He (ppm) | 141 | 4.43 | 5.78 | 5.20 | 5.22 | 0.18 | 5.14 | 5.28 | 0.14 | −0.36 | 0.91 | 1 | <0.05 | 1 | 5.57 | 5.49 | 5.46 | 5.22 a |
| Rn (BqL−1) | 143 | 0.00 | 107.00 | 34.00 | 31.00 | 23.00 | 15.00 | 47.00 | 31.00 | 0.91 | 0.94 | 1 | <0.05 | 1 | 80.16 | 93.58 | 66.62 | 23 d |
| CO2 (vol.%) | 143 | 0.00 | 10.80 | 2.00 | 1.60 | 1.60 | 1.00 | 2.60 | 1.60 | 2.40 | 0.79 | 1 | <0.05 | 1 | 5.19 | 5.00 | 3.82 | <1.5 c |
| Corridors 1 and 2 (ntotal: 168) | ||||||||||||||||||
| He (ppm) | 56 | 2.34 | 5.37 | 5.13 | 5.17 | 0.38 | 5.14 | 5.21 | 0.07 | −6.99 | 0.21 | 1 | <0.05 | 1 | 5.89 | 5.31 | 5.39 | 5.22 a |
| Rn (BqL−1) | 56 | 1.00 | 87.00 | 34.00 | 25.00 | 25.00 | 13.00 | 55.00 | 42.00 | 0.49 | 0.92 | 1 | <0.05 | 1 | 84.35 | 118.75 | 68.67 | 23 d |
| CO2 (vol.%) | 56 | 0.00 | 10.40 | 2.05 | 1.80 | 1.74 | 1.00 | 2.20 | 1.20 | 2.60 | 0.74 | 1 | <0.05 | 1 | 5.52 | 4.00 | 3.91 | <1.5 c |
3. Results
3.1. Gas Composition
3.1.1. Meinweg
3.1.2. Bodanrück
3.2. Spatial Analyses
3.2.1. Meinweg
3.2.2. Bodanrück
4. Discussion
4.1. Meinweg
4.2. Bodanrück
5. Conclusions
Author Contributions
Funding
Data Availability Statement
Acknowledgments
Conflicts of Interest
References
- Wilkinson, M.; Haszeldine, R.S.; Fallick, A.; Odling, N.; Stoker, S.J.; Gatliff, R.W. CO2-Mineral Reaction in a Natural Analogue for CO2 Storage—Implications for Modeling. J. Sediment. Res. 2009, 79, 486–494. [Google Scholar] [CrossRef]
- Gilfillan, S.; Wilkinson, M.; Haszeldine, R.S.; Shipton, Z.; Nelson, S.T.; Poreda, R.J. He and Ne as tracers of natural CO2 migration up a fault from a deep reservoir. Int. J. Greenh. Gas Control 2011, 5, 1507–1516. [Google Scholar] [CrossRef]
- Martinelli, G.; Tamburello, G. Geological and Geophysical Factors Constraining the Occurrence of Earthquake Precursors in Geofluids: A Review and Reinterpretation. Front. Earth Sci. 2020, 8, 596050. [Google Scholar] [CrossRef]
- Ciotoli, G.; Lombardi, S.; Morandi, S.; Zarlenga, F. A multidisciplinary, statistical approach to study the relationships between helium leakage and neotectonic activity in a gas province: The Vasto basin, Abruzzo-Molise (central Italy). AAPG Bull. 2004, 88, 355–372. [Google Scholar] [CrossRef]
- Voltattorni, N.; Sciarra, A.; Quattrocchi, F. The Application of Soil-Gas Technique to Geothermal Exploration: Study of Hidden Potential Geothermal Systems. In Proceedings of the World Geothermal Congress, Bali, Indonesia, 25–29 April 2010; pp. 1–7. [Google Scholar]
- Ma, Y.; Bringemeier, D.; Scheuermann, A.; Molebatsi, T.; Li, L. Fault and fracture zone detection based on soil gas mapping and gamma ray survey at the extension site of an open pit coal mine. In Proceedings of the 12th Coal Operators’ Conference, University of Wollongong & The Australasian Institute of Mining and Metallurgy, Wollongong, NSW, Australia, 16–17 February 2012; pp. 378–386. [Google Scholar]
- Tamburello, G.; Pondrelli, S.; Chiodini, G.; Rouwet, D. Global-scale control of extensional tectonics on CO2 earth degassing. Nat. Commun. 2018, 9, 4608. [Google Scholar] [CrossRef] [PubMed]
- Ciotoli, G.; Lombardi, S.; Zarlenga, F. Natural leakage of helium from Italian sedimentary basins of the Adriatic structural margin. Perspectives for geological sequestration of carbon dioxide. In Advances in the Geological Storage of Carbon Dioxide; Lombardi, S., Altunina, L.K., Beaubien, S.E., Eds.; Springer: Dordrecht, The Netherlands, 2006; pp. 191–202. [Google Scholar]
- Ciotoli, G.; Lombardi, S.; Annunziatellis, A. Geostatistical analysis of soil gas data in a high seismic intermontane basin: Fucino Plain, central Italy. J. Geophys. Res. Earth Surf. 2007, 112, B05407. [Google Scholar] [CrossRef]
- Berberich, G.M.; Grumpe, A.; Klimetzek, D.; Wöhler, C. Are red wood ants (Formica rufa -group) tectonic indicators? A statistical approach. Ecol. Indic. 2016, 61, 968–979. [Google Scholar] [CrossRef]
- Berberich, G.M.; Klimetzek, D.; Paraschiv, M.; Stancioiu, P.T.; Grumpe, A. Biogeostatistics confirm: Even a low total number of red wood ant nests provide new information on tectonics in the East Carpathian Orogen (Romania). Ecol. Indic. 2019, 101, 486–500. [Google Scholar] [CrossRef]
- Del Toro, I.; Berberich, G.M.; Ribbons, R.R.; Berberich, M.B.; Sanders, N.; Ellison, A.M. Nests of red wood ants (Formica rufa-group) are positively associated with tectonic faults: A double-blind test. PeerJ 2017, 5, e3903. [Google Scholar] [CrossRef]
- Berberich, G.M.; Berberich, M.B.; Ellison, A.M.; Wöhler, C. Degassing Rhythms and Fluctuations of Geogenic Gases in A Red Wood-Ant Nest and in Soil in The Neuwied Basin (East Eifel Volcanic Field, Germany). Insects 2018, 9, 135. [Google Scholar] [CrossRef] [PubMed]
- Berberich, G.M.; Berberich, M.B.; Gibhardt, M. Red wood Ants (Formica rufa-group) prefer mature pine forests in Variscan granite environments (Hymenoptera: Formicidae). Fragm. Entom. 2022, 54, 1–18. [Google Scholar] [CrossRef]
- Berberich, G.M.; Ellison, A.M.; Berberich, M.B.; Grumpe, A.; Becker, A.; Wöhler, C. Can a Red Wood-Ant Nest Be Associated with Fault-Related CH4 Micro-Seepage? A Case Study from Continuous Short-Term In-Situ Sampling. Animals 2018, 8, 46. [Google Scholar] [CrossRef]
- Berberich, G.M.; Sattler, T.; Klimetzek, D.; Benk, S.A.; Berberich, M.B.; Polag, D.; Schöler, H.F.; Atlas, E. Halogenation processes linked to red wood ant nests (Formica spp.) and tectonics. J. Atmos. Chem. 2016, 74, 261–281. [Google Scholar] [CrossRef]
- Freund, F. Pre-earthquake signals: Underlying physical processes. J. Southeast Asian Earth Sci. 2011, 41, 383–400. [Google Scholar] [CrossRef]
- Freund, F.; Stolc, V. Nature of Pre-Earthquake Phenomena and their Effects on Living Organisms. Animals 2013, 3, 513–531. [Google Scholar] [CrossRef]
- Bos, N.; Sundström, L.; Fuchs, S.; Freitak, D. Ants medicate to fight disease. Evolution 2015, 69, 2979–2984. [Google Scholar] [CrossRef] [PubMed]
- Kirchner, W. Die Ameisen—Biologie und Verhalten; Verlag C.H. Beck: Munich, Germany, 2007. [Google Scholar]
- Hölldobler, B.; Wilson, E.O. Der Superorganismus—Der Erfolg von Ameisen, Bienen, Wespen und Termiten; Springer: Berlin/Heidelberg, Germany, 2010; p. 604. [Google Scholar]
- Schmidt, G.H. Einfluß von Temperatur und Luftfeuchtigkeit auf die Energiebilanz während der Metamorphose verschiedener Kasten von Formica polyctena Foerst. (Hym.). Z. angew. Entom. 2009, 61, 61–109. [Google Scholar] [CrossRef]
- Lighton, J.R. Discontinuous CO2 Emission in a Small Insect, the Formicine Ant Campoxotus Vicixus. J. Exp. Biol. 1988, 134, 363–376. [Google Scholar] [CrossRef]
- Hetz, S.K.; Bradley, T.J. Insects breathe discontinuously to avoid oxygen toxicity. Nature 2005, 433, 516–519. [Google Scholar] [CrossRef] [PubMed]
- Bense, V.; Van Balen, R.; De Vries, J. The impact of faults on the hydrogeological conditions in the Roer Valley Rift System: An overview. Neth. J. Geosci.-Geol. en Mijnb. 2003, 82, 41–54. [Google Scholar] [CrossRef]
- Schäfer, A.; Utescher, T. Origin, sediment fill, and sequence stratigraphy of the Cenozoic Lower Rhine Basin (Germany) interpreted from well logs. Z. Dt. Ges. Geowiss. Ger. J. Geosci. 2014, 165, 287–314. [Google Scholar]
- Ziegler, P.A. Cenozoic rift system of western and central Europe: An overview. Neth. J. Geosci.-Geol. en Mijnb. 1994, 73, 99–127. [Google Scholar] [CrossRef]
- Campbell, J.; Kümpel, H.-J.; Fabian, M.; Fischer, D.; Görres, B.; Keysers, C.J.; Lehmann, K. Recent movement pattern of the Lower Rhine Embayment from tilt, gravity and GPS data. Neth. J. Geosci.-Geol. en Mijnb. 2002, 81, 223–230. [Google Scholar] [CrossRef]
- Schäfer, A.; Siehl, A. Preface: Rift tectonics and syngenetic sedimentation—The Cenozoic Lower Rhine Basin and related structures. Neth. J. Geosci.-Geol. en Mijnb. 2002, 81, 145–147. [Google Scholar] [CrossRef]
- Trautwein-Bruns, U.; Hilgers, C.; Becker, S.; Urai, J.L.; Kukla, P.A. Fracture and fault systems characterising the intersection between the Lower Rhine Embayment and the Ardennes-Rhenish Massif results from the RWTH-1 well, Aachen, Germany. [Bruch- und Störungssysteme in der Übergangszone zwischen der Niederrheinischen Bucht und dem Rheinischen Schiefergebirge im belgisch-deutschen Grenzbereich Ergebnisse der Bohrung RWTH-1, Aachen, Deutschland]. Z. dt. Ges. Geowiss. 2011, 162, 251–276. [Google Scholar]
- VanBalen, R.; Houtgast, R.; Cloetingh, S. Neotectonics of The Netherlands: A review. Quat. Sci. Rev. 2005, 24, 439–454. [Google Scholar] [CrossRef]
- Hinzen, K.-G. Stress field in the Northern Rhine area, Central Europe, from earthquake fault plane solutions. Tectonophysics 2003, 377, 325–356. [Google Scholar] [CrossRef]
- Reamer, S.K.; Hinzen, K.-G. An Earthquake Catalog for the Northern Rhine Area, Central Europe (1975–2002). Seism. Res. Lett. 2004, 75, 713–725. [Google Scholar] [CrossRef]
- Camelbeeck, T.; Vanneste, K.; Alexandre, P.; Verbeeck, K.; Petermans, K.; Petermans, T.; Rosset, P.; Everaerts, M.; Warnant, R.; Van Camp, M. Relevance of active faulting and seismicity studies to assessments of long-term earthquake activity and maximum magnitude in intraplate northwest Europe, between the Lower Rhine Embayment and the North Sea. In Continental Intraplate Earthquakes: Science, Hazard, and Policy Issues; Stein, S., Mazzotti, S., Eds.; Special Paper 425; Geological Society of America: Boulder, CO, USA, 2007; pp. 193–224. [Google Scholar]
- Gumm, L.P.; Bense, V.F.; Dennis, P.F.; Hiscock, K.M.; Cremer, N.; Simon, S. Dissolved noble gases and stable isotopes as tracers of preferential fluid flow along faults in the Lower Rhine Embayment, Germany. Appl. Hydrogeol. 2015, 24, 99–108. [Google Scholar] [CrossRef]
- Lehmann, K.; Klostermann, J.; Pelzing, R. Paleoseismological Investigations at the Rurrand Fault, Lower Rhine Embayment. Neth. J. Geosci.-Geol. en Mijnb. 2001, 80, 139–154. [Google Scholar] [CrossRef]
- Van Eck, T.; Ahorner, L.; Paulssen, H. The earthquake of the century in Northwestern Europe: The Roermond, the Netherlands, earthquake of April 13,1992. Earthquakes and Volcanoes (USGS). Int. J. Rock Mech. Min. Sci. Geomech. Abstr. 1993, 24, 15–26. [Google Scholar] [CrossRef]
- Camelbeeck, T.; van Eck, T.; Pelzing, R.; Ahorner, L.; Loohuis, J.; Haak, H.W.; Hoang-Trong, P.; Hollnack, D. The 1992 Roermond earthquake, the Netherlands, and its aftershocks. Neth. J. Geosci.-Geol. en Mijnb. 1994, 73, 181–197. [Google Scholar]
- Camelbeeck, T.; van Eck, T. The Roer Valley Graben earthquake of 13 April 1992 and its seismotectonic setting. Terra Nova 1994, 6, 291–300. [Google Scholar] [CrossRef]
- Andeweg, B.; Cloetingh, S. Flexure and ‘Unflexure’ of the North Alpine German-Austrian Molasse Basin: Constraints from Forward tectonic Modelling. In Cenozoic Foreland Basins of Western Europe (Geological Society Special Publications); Mascle, A., Puigdefabregas, C., Luterbacher, H.P., Fernandez, M., Eds.; Geological Society of London: London, UK, 1998; Volume 134, pp. 403–422. [Google Scholar]
- Schreiner, A. Geol. Karte 1:50.000 Baden-Württ. Erl. Bl. Hegau und Westl. Bodensee; Geologisches Landesamt Baden-Württemberg: Freiburg im Breisgau, Germany, 1992.
- Schwarz, H.U. Das Schwäbisch-Fränkische Bruchmuster. Z. dt. Ges. Geowiss. 2012, 163, 411–446. [Google Scholar] [CrossRef]
- Véron, J. The Alpine Molasse Basin-review of petroleum geology and remaining potential. Bull. Für Angew. Geol. 2005, 10, 75–86. [Google Scholar]
- Ernst, W. Störungsabgrenzungen im Umkreis des Überlinger Sees mit Bodengasen. Bull. Ver. Schweiz. Petrol.-Geol. u.-Ing. 1969, 35, 1–11. [Google Scholar] [CrossRef]
- Ernst, W. Tektonische Untersuchungen mit der Gasmethode im westlichen Bodenseegebiet und im Tessin bei Lugano (Schweiz). Bull. Ver. Schweiz. Petrol.-Geol. u.-Ing. 1971, 37, 37–50. [Google Scholar]
- Schreiner, A. Zur Entstehung des Bodenseebeckens. Eiszeitalter u. Gegenwart. 1979, 29, 71–76. [Google Scholar] [CrossRef]
- Müller, H.W.; Naef, H.; Graf, H.R. Geologische Entwicklung der Nordschweiz, Neotektonik und Langzeitszenarien Zürcher Weinland. Nagra Techn. Ber. 2002, ntb 99-08. [Google Scholar]
- Pavoni, N. Seismotektonik Nordschweiz. Nagra Techn. Ber. 1984, ntb 84-45. [Google Scholar]
- Deichmann, N.; Ballarin Dolfin, D.; Kastrup, U. Seismizität der Nord- und Zentralschweiz. Nagra Techn. Ber. 2000, ntb 00-05. [Google Scholar]
- Mälzer, A.; Rösch, H.; Misselwitz, I.; Ebert, M.; Moosmann, D. Höhenänderungen in der Nordschweiz und im Südschwarzwald bis zum Bodensee. Nagra Techn. Ber. 1988, ntb 88-95. [Google Scholar]
- Pfiffner, O.A.; Deichmann, N. Seismotektonik in der Nordschweiz. Nagra Arb. NAB 2014, 14–26. [Google Scholar]
- Ring, U.; Bolhar, R. Tilting, uplift, volcanism and disintegration of the South German block. Tectonophysics 2020, 795, 228611. [Google Scholar] [CrossRef]
- Reinecker, J.; Tingay, M.; Müller, B.; Heidbach, O. Present-day stress orientation in the Molasse Basin. Tectonophysics 2010, 482, 129–138. [Google Scholar] [CrossRef]
- Vanneste, K.; Verbeeck, K.; Camelbeeck, T. A model of composite seismic sources for the Lower Rhine Graben. Poster T33A-2636. In Proceedings of the AGU Fall Meeting, San Francisco, CA, USA, 3–7 December 2012. [Google Scholar]
- BNS. Erdbebenstation Bensberg: Erdbebenkatalog. BNS-Erdbebenstation Bensberg. 2022. Available online: http://www.seismo.uni-koeln.de/catalog/index.htm (accessed on 1 August 2022).
- LGRB. Erdbebendienst Sü–west—Landeserdbebendienst Baden-Württemberg. LGRB|Erdbeben|Jahresbulletins (lgrb-bw.de). 2022. Available online: https://www.service-bw.de/zufi/lebenslagen/5000048 (accessed on 1 August 2022).
- SED. Schweizerischer Erdbebendienst (SED). Alle Erdbeben. SED|Alle Erdbeben (ethz.ch). 2022. Available online: http://www.seismo.ethz.ch/de/home/ (accessed on 1 August 2022).
- Hinkle, M. Concentrations of N2, O2, CO2 and He in Soil Gases Collected over and near the Dixie Valley Known Geothermal Resource Area Northern Dixie Valley, Nevada; Open-File Report 95-0080; US Geological Survey: Reno, NV, USA, 1995; p. 26.
- Baddeley, A.; Rubak, E.; Turner, R. Spatial Point Patterns: Methodology and Applications with R; Chapman and Hall/CRC Press: Boca Raton, FL, USA, 2015. [Google Scholar]
- Wickham, H. ggplot2: Elegant Graphics for Data Analysis; Springer: New York, NY, USA, 2009. [Google Scholar]
- R Core Team. R Version 3.2.2. 2015. Available online: https://www.r-project.or’/ (accessed on 4 January 2016).
- D’Errico, J. Surface Fitting Using Gridfit. Release 11 Nov 2005 (Updated 29 July 2010). 2010. Available online: https://de.mathworks.com/matlabcentral/fileexchange/8998-surface-fitting-using-gridfit (accessed on 1 August 2022).
- Reimann, C.; Filzmoser, P.; Garrett, R.G. Background and threshold: Critical comparison of methods of determination. Sci. Total Environ. 2005, 346, 1–16. [Google Scholar] [CrossRef] [PubMed]
- Tukey, J.W. Exploratory Data Analysis; Addison-Wesley: Boston, MA, USA, 1977. [Google Scholar]
- Shapiro, S.S.; Wilk, M.B. An analysis of variance test for normality (complete samples). Biometrika 1965, 52, 591–611. [Google Scholar] [CrossRef]
- Sinclair, A. Selection of threshold values in geochemical data using probability graphs. J. Geochem. Explor. 1974, 3, 129–149. [Google Scholar] [CrossRef]
- Sinclair, A. A fundamental approach to threshold estimation in exploration geochemistry: Probability plots revisited. J. Geochem. Explor. 1991, 41, 1–22. [Google Scholar] [CrossRef]
- Risdianto, D.; Kusnadi, D. The Application of a Probability Graph in Geothermal Exploration. In Proceedings of the World Geothermal Congress 2010, Bali, Indonesia, 25–29 April 2010; pp. 1–6. [Google Scholar]
- Edwards, A.L. The Correlation Coefficient. In An Introduction to Linear Regression and Correlation; W. H. Freeman: San Francisco, CA, USA, 1976; Chapter 4; pp. 33–46. [Google Scholar]
- Ripley, B.D. Statistical Inference for Spatial Processes; Cambridge University Press: Cambridge, UK, 1991; p. 154. [Google Scholar]
- Davidson, T.A.; Emerson, D.E. Direct determination of the helium 3 content of atmospheric air by mass spectrometry. J. Geophys. Res. Earth Surf. 1990, 95, 3565. [Google Scholar] [CrossRef]
- BfS IMIS. 2022. Available online: www.imis.bfs.de/geoportal (accessed on 23 August 2022).
- Viveiros, F.; Ferreira, T.; Silva, C.; Gaspar, J. Meteorological factors controlling soil gases and indoor CO2 concentration: A permanent risk in degassing areas. Sci. Total Environ. 2009, 407, 1362–1372. [Google Scholar] [CrossRef] [PubMed]
- LfU-BW. Radioaktivität in Baden-Württemberg. Jahresbericht 1998–2001. Radioaktivität und Strahlenschutz. Band 7. Landesanstalt für Umweltschutz Baden-Württemberg. 1. Auflage. 2003. Available online: https://pudi.lubw.de/detailseite/-/publication/85390-Radioaktivit%C3%A4t_in_Baden-W%C3%BCrttemberg._Jahresbericht_1998-2001.pdf (accessed on 1 August 2022).
- Hinkle, D.E.; Wiersma, W.; Jurs, S.G. Applied Statistics for the Behavioral Sciences, 5th ed.; Wadsworth Publishing: Belmont, CA, USA, 2009. [Google Scholar]
- Dubois, G. An Overview of Radon Surveys in Europe; European Commission: Luxembourg, 2005; p. 168. ISBN 92-79-01066-2. [Google Scholar]
- Podugu, N.; Mishra, S.; Wiersberg, T.; Roy, S. Chemical and Noble Gas Isotope Compositions of Formation Gases from a 3 km Deep Scientific Borehole in the Koyna Seismogenic Zone, Western India. Geofluids 2019, 2019, 1078942. [Google Scholar] [CrossRef]
- Baubron, J.-C.; Rigo, A.; Toutain, J.-P. Soil gas profiles as a tool to characterise active tectonic areas: The Jaut Pass example (Pyrenees, France). Earth Planet. Sci. Lett. 2002, 196, 69–81. [Google Scholar] [CrossRef]
- Butt, C.R.M.; Gole, M.J.; Dyck, W. Helium. Handb. Explor. Geochem. 2000, 7, 303–352. [Google Scholar]
- Ammann, M.; Schenker, F. Nachweis von tektonischen Störungen in 2 Bodengasprofilen in der Nordschweiz. Nagra Techn. Ber. 1989, ntb 89-25. [Google Scholar]
- Chiodini, G.; Frondini, F.; Ponziani, F. Deep structures and carbon dioxide degassing in Central Italy. Geothermics 1995, 24, 81–94. [Google Scholar] [CrossRef]
- Etiope, G.; Lombardi, S. Evidence for radon transport by carrier gas through faulted clays in Italy. J. Radioanal. Nucl. Chem. Artic. 1995, 193, 291–300. [Google Scholar] [CrossRef]
- Voltattorni, N.; Cinti, D.; Pizzino, L.; Sciarra, A. Statistical approach for the geochemical signature of two active normal faults in the western Corinth Gulf Rift (Greece). Appl. Geochem. 2014, 51, 86–100. [Google Scholar] [CrossRef]
- Voltattorni, N.; Lombardi, S.; Beaubien, S. Gas migration from two mine districts: The Tolfa (Lazio, Central Italy) and the Neves-Corvo (Baixo Alentejo, Portugal) case studies. J. Geochem. Explor. 2015, 152, 37–53. [Google Scholar] [CrossRef]
- Viveiros, F.; Gaspar, J.L.; Ferreira, T.; Silva, C.; Marcos, M.; Hipólito, A. Mapping of Soil CO2 Diffuse Degassing at São Miguel Island and its Public Health Implications. Azores Archipelago: Volcano Monitoring Perspectives. In Volcanic Geology of São Miguel Island (Azores Archipelago); Gaspar, J.L., Guest, J.E., Duncan, A.M., Barriga, F.J.A.S., Chester, D.K., Eds.; The Geological Society: London, UK, 2015; Chapter 14. [Google Scholar]
- Amundson, R.G.; Davidson, E. Carbon dioxide and nitrogenous gases in the soil atmosphere. J. Geochem. Explor. 1990, 38, 13–41. [Google Scholar] [CrossRef]
- Houtgast, R.F.; van Balen, R.T. Neotectonics of the Roer Valley Rift System, the Netherlands. Global and Planetary Change 27. Glob. Planet. Chang. 2000, 27, 131–146. [Google Scholar] [CrossRef]
- Büchi, U.P.; Schlanke, S.; Müller, E. Zur Geologie der Thermalwasserbohrung Konstanz und ihre sedimentpetrographische Korrelation mit der Erdölbohrung Kreuzlingen. Bull. Ver. Schweiz. Petroleum-Geol. u.-Ing. 1976, 42, 25–33. [Google Scholar]
- Ciotoli, G.; Bigi, S.; Tartarello, C.; Sacco, P.; Lombardi, S.; Ascione, A.; Mazzoli, S. Soil gas distribution in the main coseismic surface rupture zone of the 1980, Ms = 6.9, Irpinia earthquake (southern Italy). J. Geophys. Res. Solid Earth 2013, 119, 2440–2461. [Google Scholar] [CrossRef]
- Baubron, J.C.; Allard, P.; Toutain, J.P. Diffuse volcanic emissions of carbon dioxide from Vulcano Island, Italy. Nature 1990, 344, 51–53. [Google Scholar] [CrossRef] [PubMed]
- Pfanzn, H.; Saßmannshausen, F. Geogenic CO2-Exhalations and Vegetation: Its Possible Use to Predict Volcanic Eruptions; Geophysical Research Abstracts: Munich, Germany, 2008; Volume 10. [Google Scholar]
- Burkhard, M.; Grünthal, G. Seismic source zone characterization for the seismic hazard assessment project PEGASOS by the Expert Group 2 (EG1b). Swiss J. Geosci. 2009, 102, 149–188. [Google Scholar] [CrossRef]
- Das, N.; Chandran, P. Microbial Degradation of Petroleum Hydrocarbon Contaminants: An Overview. Biotechnol. Res. Int. 2011, 2011, 941810. [Google Scholar] [CrossRef]
- Fleet, A.J.; Wycherley, H.; Shaw, H. Large volumes of carbon dioxide in sedimentary basins. Mineral. Mag. 1998, 62A, 460–461. [Google Scholar] [CrossRef]




| Gas | Meinweg | Bodanrück | |||||||
|---|---|---|---|---|---|---|---|---|---|
| Subsets of Cluster 1 and 2 | Corridors 1 and 2 | ||||||||
| He | Rn | CO2 | He | Rn | CO2 | He | Rn | CO2 | |
| He | 1 | 1 | 1 | ||||||
| Rn | −0.2 | 1 | 0.1 | 1 | −0.0 | 1 | |||
| CO2 | −0.2 | 0.5 | 1 | 0.2 | 0.7 | 1 | −0.0 | 0.4 | 1 |
Publisher’s Note: MDPI stays neutral with regard to jurisdictional claims in published maps and institutional affiliations. |
© 2022 by the authors. Licensee MDPI, Basel, Switzerland. This article is an open access article distributed under the terms and conditions of the Creative Commons Attribution (CC BY) license (https://creativecommons.org/licenses/by/4.0/).
Share and Cite
Berberich, G.M.; Berberich, M.B. Comparison of Geogases in Two Cenozoic Sedimentary Basins. Geosciences 2022, 12, 388. https://doi.org/10.3390/geosciences12100388
Berberich GM, Berberich MB. Comparison of Geogases in Two Cenozoic Sedimentary Basins. Geosciences. 2022; 12(10):388. https://doi.org/10.3390/geosciences12100388
Chicago/Turabian StyleBerberich, Gabriele M., and Martin B. Berberich. 2022. "Comparison of Geogases in Two Cenozoic Sedimentary Basins" Geosciences 12, no. 10: 388. https://doi.org/10.3390/geosciences12100388
APA StyleBerberich, G. M., & Berberich, M. B. (2022). Comparison of Geogases in Two Cenozoic Sedimentary Basins. Geosciences, 12(10), 388. https://doi.org/10.3390/geosciences12100388

